政府、企业、消费者关于绿色生产的三方博弈
The Tripartite Game between the Government, Enterprises and Consumers on Green Production
DOI: 10.12677/mos.2025.144321, PDF, HTML, XML,   
作者: 王欣月, 李军祥, 王 昕:上海理工大学管理学院,上海;上海理工大学智慧应急管理学院,上海
关键词: 政府监管企业决策演化博弈仿真分析Government Regulation Business Decision-Making Evolutionary Game Simulation Analysis
摘要: 一直以来,企业的生产行为都是多方关注、多方投入的重要命题。为了探究政、企、消费者三方决策的相互关系,寻求新时代政企平衡、绿色生产的新机遇,本文立足于目前生产消费环境,构建了以政府、企业为主体的演化博弈模型后,引入了相关消费者决策影响因素,并分析了三方的决策影响关系和不同决策下的收益,最终在Matlab2019中对三个主体进行不同策略环境下的仿真推演。并得出以下结论:政府引导企业绿色生产行为上,无论是监管还是补贴,都可提高企业选择绿色生产的概率,但是其促进效果会在超过一定范围后逐渐削弱;因市场相关性前提,消费者的策略行为受政企双方决策影响不大;企业的生产决策存在边界值,而若无政府积极引导,企业大概率会选择传统生产;企业的生产决策会反作用于政府决策,形成制衡关系。
Abstract: For a long time, the production behavior of enterprises has been an important proposition of multi-party attention and multi-party investment. In order to explore the interrelationship between the decision-making of the government, enterprises and consumers, and seek new opportunities for the balance between government and enterprises and green production in the new era, this paper constructs an evolutionary game model with the government and enterprises as the main body based on the current production and consumption environment, introduces the relevant consumer decision-making influencing factors, analyzes the decision-making influence relationship of the three parties and the benefits under different decisions, and finally simulates the three subjects in different strategic environments in Matlab2019. The following conclusions are drawn: the government’s guidance of enterprises’ green production behavior, whether it is supervision or subsidies, can increase the probability of enterprises choosing green production, but its promotion effect will gradually weaken after exceeding a certain range; due to the premise of market relevance, consumers’ strategic behavior is not greatly affected by the decisions of both government and enterprises. There is a boundary value in the production decision of enterprises, and if there is no active guidance from the government, enterprises are likely to choose traditional production; the production decision of the enterprise will react to the government’s decision-making, forming a relationship of checks and balances.
文章引用:王欣月, 李军祥, 王昕. 政府、企业、消费者关于绿色生产的三方博弈[J]. 建模与仿真, 2025, 14(4): 685-698. https://doi.org/10.12677/mos.2025.144321

1. 引言

生产企业降低能耗和排放是实现国家低碳发展与绿色转型的关键任务。2023年发布的《新时代的中国绿色发展》白皮书及2024年《习近平经济思想研究》均强调加快形成绿色生产方式,推动产业结构优化升级[1]。然而,我国生产企业绿色发展仍面临诸多挑战。

从经济学视角看,企业绿色发展具有经济外部性。不确定性因素多、政府监管与支持有限,导致企业消极绿色生产行为的可能性增加。因此,抑制消极行为、激发企业绿色动力极为必要。学术界对生产企业绿色发展和政企互动困境进行了广泛研究,主要集中在绿色发展理念、行为及绿色建筑发展。研究表明,绿色发展是一种可持续利用环境和资源的模式,与社会、经济和自然紧密相连,环境问题的严峻性是企业绿色发展的主要驱动力。其中,学者通过构建计算实验模拟模型,模拟了中国生产企业绿色发展的全过程,并从计量经济学角度分析了“一带一路倡议”政策对生产企业绿色发展水平的影响[2]。胡莉莉等使用超效率SBM-GML模型,衡量农业产值增长率和绿色全要素生产率效率值,运用面板固定效应模型探究分析[3]。刘琦铀等人考虑到政府和第三方检测机构对于绿色农产品的发展,引入高斯随机白噪音进行随机演化博弈[4]。供应链方面,杨霞等并不针对特定行业,而借助碳交易、碳补贴等模拟不同情景并进行数据仿真[5]。碳中和背景下,邵举平等构建了碳税政策下由制造商与零售商构成的两级供应链,并通过拓展的库恩–塔克法求解[6]。尚雅茹等考虑到行业特性困难,基于现实林业碳汇融资机制,进行了不同情形下的碳排放企业研究[7]。另外,演化博弈研究揭示了多个因素对绿色技术创新的影响机制。胡姜等发现政府对绿色技术创新的补贴力度越大,企业选择创新策略的可能性越高。其次,金融机构的支持对绿色技术创新具有显著的促进作用[8]。蒙大斌等发现,绿色金融政策对“两高”企业融资成本的负向影响主要体现在股权融资成本上,而对债权融资成本则具有正向影响[9]。王丹等指出,可观的合作创新收益能够增强企业和学研机构的合作意愿,而降低公众参与成本则有助于提高公众的参与积极性[10]。孙鹏等构建了中央政府、地方政府和企业之间的三方演化博弈模型,分析了中央环保督察制度对企业绿色创新行为的影响,发现持续的政策监督和强化的监管力度能够有效推动企业从传统生产向绿色创新转型[11]。王利莎等则基于平台生态标签情境,构建了消费者与制造商之间的演化博弈模型,分析了消费者绿色意识对制造商漂绿行为的影响[12]

绿色发展行为是实现绿色发展的关键手段,但当前研究多集中于工业企业,忽略了消费者参与的重要性。本文基于演化博弈理论,构建了包含社会公众参与的生产企业绿色发展演化博弈模型,从政府政策和社会公众监管角度,探讨如何抑制生产企业的消极绿色生产行为,为绿色发展提供新视角。

2. 模型构建

2.1. 模型描述

在考虑消费者参与的前提下,建立一个关于绿色发展的政企博弈模型,生产企业同时考虑经济效益与环境效益,政府部门只考虑环境效益,三者均为有限理性。上述博弈群体会根据其他博弈主体的行为来动态调整自身策略。政府部门、生产企业和消费者们均有两种行为策略。政府可以选择积极的绿色发展引导支持策略或消极的传统策略。生产企业可以选择进行绿色创新生产策略或维持传统生产方式策略。消费者有支持企业绿色生产产品或传统产品两种策略。

2.2. 模型假设与符号意义

考虑消费者的政企三方博弈模型假设:

1) 政府可以选择提供引导支持补贴(概率为x)或不提供补贴(概率为 1x )。生产企业进行绿色创新生产的概率为y,而维持传统生产方式的概率则为 1y 。消费者可以选择购买绿色产品(概率为z)或传统产品(概率为 1z )。

2) 对于政府而言,对生产绿色产品的企业给予补贴,最大补贴为 T 1 ,补贴系数为 β ,同时,也会对维持传统生产方式的企业进行额外征税 F g ,对积极购买绿色产品的消费者进行补贴 T 2 ,若企业和消费者选择生产绿色创新和绿色产品,则会对社会产生正向效益 E 1 E 2 ,政府未进行补贴,生产企业不进行绿色创新,社会环境质量未改善致使社会福利降低W

3) 对于企业而言,企业可以选择生产绿色产品或传统产品。生产绿色产品的成本为 C 1 ,传统产品生产成本为 C 2 ,企业绿色产品的市场需求由产品价格和产品环保度共同决定。因此假设绿色产品的市场需求函数为: N 1 =Na P 1 +kg ,传统产品的市场需求函数为 N 2 =Ka P 2 kg ,其中N为常数, a,k 分别为市场需求对价格和环保程度的敏感系数,g为产品的环保程度,绿色产品和传统产品价格为 P 1 P 2 ,即企业生产绿色产品可获得 P 1 ( Na P 1 +kg ) 收益,即 P 1 N 1 ,生产传统产品则获得 P 2 ( Na P 2 kg ) 收益, P 2 N 2

4) 对于消费者而言,消费者可以选择购买绿色产品或传统产品。消费者购买绿色产品和传统产品所付出的成本为 P 1 P 2 ,可获得的效用分别为 R 1 R 2 ,当消费者倾向购买绿色产品,而生产企业维持传统产品,将会使市场缩减造成生产企业市场损失为 F s

2.3. 模型假设与符号意义

Table 1. Model symbols and their definitions

1. 模型符号及其定义

符号

定义

x

政府进行补贴的概率

y

生产企业进行绿色生产创新的概率

续表

z

消费者购买绿色产品的概率

T 1

政府对生产绿色产品的企业最大补贴

β=n

政府对企业的补贴系数

F g

政府对维持传统产品企业进行征税

E 1

企业生产绿色产品可为社会带来环境正向效益提升

E 2

消费者使用绿色产品为社会增加的正向效益

T 2 .

政府对购买绿色产品的消费者进行奖励

W

政府未进行补贴,生产企业不进行绿色创新,社会环境质量未改善致使社会福利降低

C 1

生产企业生产绿色产品成本

C 2

生产企业生产传统产品成本

P 1

绿色产品价格

P 2

传统产品的价格

N 1

绿色产品市场需求

N 2

传统产品的市场需求

a

价格敏感系数

k

绿色产品投入系数

g

产环保程度

F s

当消费者倾向购买绿色产品,而生产企业维持传统产品致使市场缩减造成生产企业市场损失

R 1

消费者购买绿色产品可获得效用

R 2

消费者购买传统产品可获得效用

1) 根据上表1的假设,可进一步得出政府、生产企业和消费者的支付矩阵如下表2

Table 2. Government-Producer-Consumer tripartite game model payment matrix

2. 政府–生产企业–消费者三方博弈模型支付矩阵

政府补贴(x)

生产企业

创新绿色产品(y)

维持传统生产( 1y )

消费者

购买绿色产品(z)

E 1 + E 2 β T 1 T 2

E 2 + F g T 2

P 1 ( Na P 1 +kg ) C 1 +β T 1

P 2 ( Na P 2 kg ) C 2 F g F s

R 1 P 1 + T 2

R 1 P 1 + T 2

购买传统产品( 1z )

E 1 β T 1

F g

P 1 ( Na P 1 +kg ) C 1 +β T 1

P 2 ( Na P 2 kg ) C 2 F g

R 2 P 2

R 2 P 2

政府不补贴( 1x )

生产企业

创新绿色产品(y)

维持传统生产( 1y )

续表

续表

消费者

购买绿色产品(z)

E 1 + E 2

E 2 W

P 1 ( Na P 1 +kg ) C 1

P 2 ( Na P 2 kg ) C 2 F s

R 1 P 1

R 1 P 1

购买传统产品( 1z )

E 1

W

P 1 ( Na P 1 +kg ) C 1

P 2 ( Na P 2 kg ) C 2

R 2 P 2

R 2 P 2

2.4. 复制动态方程

表2的博弈支付矩阵可以分别计算出政府补贴策略的期望收益为 U 11 ,选择不补贴策略的期望收益为 U 12 以及政府的平均收益 U 1 ¯ ,复制动态方程为 dx/ dt ,具体求解如下:

U 11 =yz( E 1 + E 2 β T 1 T 2 )+y( 1z )( E 1 β T 1 ) +z( 1y )( E 2 + F g T 2 )+( 1y )( 1z )( F g ) (1)

U 12 =yz( E 1 + E 2 )+y( 1z )( E 1 )+z( 1y )( E 2 W )+( 1y )( 1z )( W ) (2)

进而由 U 1 ¯ =x U 11 +( 1x ) U 12 可得:

F( x )= dx/ dt =x( U 11 U 1 ¯ )=x( 1x )( y( F g Wβ T 1 )z T 2 +W+ F g ) (3)

同理,生产企业采取生产绿色产品的期望收益为 U 21 ,采取维持传统产品的期望收益为 U 22 ,平均期望收益为 U 2 ¯ ,复制动态方程为 dy/ dt

U 21 =xz( P 1 ( Na P 1 +kg ) C 1 +β T 1 ) +x( 1z )( P 1 ( Na P 1 +kg ) C 1 +β T 1 ) +z( 1x )( P 1 ( Na P 1 +kg ) C 1 ) +( 1x )( 1z )( P 1 ( Na P 1 +kg ) C 1 ) (4)

U 22 =xz( P 2 ( Na P 2 kg ) C 2 F g F s ) +x( 1z )( P 2 ( Na P 2 kg ) C 2 F g ) +z( 1x )( P 2 ( Na P 2 kg ) C 2 F s ) +( 1x )( 1z )( P 2 ( Na P 2 kg ) C 2 ) (5)

进而由 U 2 ¯ =y U 21 +( 1y ) U 22 ,可得:

F( y )= dy/ dt =y( U 21 U 2 ¯ ) =y( 1y )( C 2 C 1 + P 1 ( Na P 1 +kg ) P 2 ( Na P 2 kg )+x( F g +β T 1 )+z F s ) (6)

假设消费者购买绿色产品的期望收益为 U 31 ,选择购买传统产品的期望收益为 U 32 ,平均收益为 U 3 ¯ ,复制动态方程为 dz/ dt

U 31 =xy[ R 1 P 1 + T 2 ]+x( 1y )( R 1 P 1 + T 2 ) +y( 1x )( R 1 P 1 )+( 1x )( 1y )( R 1 P 1 ) (7)

U 32 =xy[ R 2 P 2 ]+x( 1y )( R 2 P 2 ) +y( 1x )( R 2 P 2 )+( 1x )( 1y )( R 2 P 2 ) (8)

进而由 U 3 ¯ =z U 31 +( 1z ) U 32 ,可得:

F( z )= dz/ dt =z( U 31 U 3 ¯ )=z( 1z )( P 2 P 1 + R 1 R 2 +x T 2 ) (9)

2.5. 三方演化路径分析

(1) 政府演化路径分析

对于消费者而言,消费者可以选择购买绿色产品或传统产品。消费者购买绿色产品和传统产品所付出的成本为 P 1 P 2 ,可获得的效用分别为 R 1 R 2 ,当消费者倾向购买绿色产品,而生产企业维持传统产品,将会使市场缩减造成生产企业市场损失为 F s

根据复制动态方程定理,对政府的稳定性进行分析。由上节所述可知政府的复制动态方程, F( x )= dx/ dt =x( U 11 U 1 ¯ )=x( 1x )( y( F g Wβ T 1 )z T 2 +W+ F g ) ,则 F ( x )=( 12x )( y( F g Wβ T 1 )z T 2 +W+ F g ) ,令 G( z )=y( F g Wβ T 1 )z T 2 +W+ F g ,则 F ( x )=( 12x )G( z ) ,所以政府博弈策略有以下几种情况:

1) 若 G( z )=0 时, z= z * = y( F g Wβ T 1 )+W+ F g T 2 ,那么 F( x )0 ,此时 F ( x )0

2) 若 G( z )0 ,即 z z * ,则 x 1 =1 x 2 =0 是两个ESS,对 G( z ) 求导得 G ˙ ( z )= T 2 <0 ,进行讨论:

z * <z F ( x 2 )<0 F ( x 1 )>0 ,所以此时 x 2 =0 为ESS,意味着消费者购买绿色产品的概率 z * <z ,政府将选择不进行补贴的策略。若 z * >z F ( x 2 )>0 F ( x 1 )<0 ,所以此时 x 1 =1 为ESS,意味着消费者购买绿色产品的概率 z * >z ,政府将选择进行补贴策略,如图1

Figure 1. Analysis of the evolution path of government

1. 政府演化路径分析图

(2) 生产企业演化路径分析

由上节所述生产企业的复制动态方程, F( y )= dy/ dt =y( U 21 U 2 ¯ )=y( 1y )( C 2 C 1 + P 1 ( Na P 1 +kg ) P 2 ( Na P 2 kg )+x( F g +β T 1 )+z F s ) ,则 F ( y )=( 12y )( C 2 C 1 + P 1 ( Na P 1 +kg ) P 2 ( Na P 2 kg )+x( F g +β T 1 )+z F s ) ,令 G( x )= C 2 C 1 + P 1 ( Na P 1 +kg ) P 2 ( Na P 2 kg )+x( F g +β T 1 )+z F s ,则 F ( y )=( 12y )G( x ) ,所以生产企业的博弈策略有以下几种情况:

1) 若 G( x )=0 时, x= x * = ( C 2 C 1 + P 1 ( Na P 1 +kg ) P 2 ( Na P 2 kg )+z F s ) F g +β T 1 ,那么 F( y )0 ,此时 F ( y )0 ,即所有 y 水平都是ESS。

2) 若 G( x )0 ,即 x x * ,则 y 1 =1 y 2 =0 是两个ESS,对 G( x ) 求导得 G ˙ ( x )= F 1 + T 1 >0 ,分以下几种情况讨论:

① 若 x * >x F ( y 1 )>0 F ( y 2 )<0 ,所以此时 y 2 =0 为ESS,意味着系统稳定状态为当政府补贴的概率 x * >x ,生产企业将选择生产传统产品策略。

② 若 x * <x F ( y 1 )<0 F ( y 2 )>0 ,所以此时 y 1 =1 为ESS,意味着系统稳定状态为当政府补贴的概率 x * <x ,生产企业将选择生产绿色产品策略。如图2所示。

Figure 2. Analysis diagram of the evolution path of the production enterprise

2. 生产企业演化路径分析图

(3) 消费者演化路径分析

分析过程同上,此处不再赘述,如图3

① 若 x * <x F ( z 1 )<0 F ( z 2 )>0 ,所以此时 z 1 =1 为ESS,意味着系统稳定状态为当政府进行补贴的概率 x * <x ,消费者将选择购买绿色产品策略。

② 若 x * >x F ( z 1 )>0 F ( z 2 )<0 ,所以此时 z 2 =0 为ESS,意味着系统稳定状态为当政府补贴的概率 x * >x ,消费者将选择购买传统产品策略。

Figure 3. Analysis of the consumer evolution path

3. 消费者演化路径分析图

2.6. 稳定均衡点分析

F( x )=0,F( y )=0,F( z )=0 可以得到系统均衡点为: E 1 ( 0,0,0 ), E 2 ( 1,0,0 ), E 3 ( 1,1,0 ), E 4 ( 0,0,1 ), E 5 ( 0,1,1 ), E 6 ( 0,1,0 ), E 7 ( 1,0,1 ), E 8 ( 1,1,1 ) 根据演化博弈理论,满足雅可比矩阵的所有特征值都为负时,均衡点为系统的演化稳定点(ESS),对不同均衡点的稳定性进行分析,得到雅可比矩阵的特征值如表3所示。

根据复制动态方程 F( x )F( y )F( z ) 可得雅可比矩阵 J 如下所示:

J=[ F( x ) dx F( x ) dy F( x ) dz F( y ) dx F( y ) dy F( y ) dz F( z ) dx F( z ) dy F( z ) dz ]

Table 3. Judgment of the eigenvalue and stability of the equilibrium point of the system

3. 系统均衡点特征值及稳定性判断

均衡点

特征值 ( λ 1 , λ 2 , λ 3 )

结果

E 1 ( 0,0,0 )

Fg+W

C 2 C 1 +( Na P 1 +kg ) P 1 ( Na P 2 kg ) P 2 ,

P 2 P 1 + R 1 R 2

不稳定

E 2 ( 1,0,0 )

FgW

P 2 P 1 + R 1 R 2 + T 2

C 2 C 1 +Fg+ T 1 n+( Na P 1 +kg ) P 1 ( Na P 2 kg ) P 2

ESS

E 3 ( 0,1,0 )

T 1 n

C 1 C 2 ( Na P 1 +kg ) P 1 +( Na P 2 kg ) P 2 ,

P 2 P 1 + R 1 R 2

ESS

E 4 ( 0,0,1 )

Fg T 2 +W

P 1 P 2 R 1 + R 2

C 2 C 1 +Fs+( Na P 1 +kg ) P 1 ( Na P 2 kg ) P 2

ESS

E 5 ( 1,1,0 )

T 1 n

P 2 P 1 + R 1 R 2 + T 2

C 1 C 2 Fg T 1 n( Na P 1 +kg ) P 1 +( Na P 2 kg ) P 2

不稳定

E 6 ( 1,0,1 )

T 2 FgW

P 1 P 2 R 1 + R 2 T 2

C 2 C 1 +Fg+Fs+ T 1 n+( Na P 1 +kg ) P 1 ( Na P 2 kg ) P 2

ESS

E 7 ( 0,1,1 )

T 2 T 1 n

P 1 P 2 R 1 + R 2

C 1 C 2 Fs( Na P 1 +kg ) P 1 +( Na P 2 kg ) P 2

ESS

续表

E 8 ( 1,1,1 )

T 2 + T 1 n

P 1 P 2 R 1 + R 2 T 2

C 1 C 2 FgFs T 1 n( Na P 1 +kg ) P 1 +( Na P 2 kg ) P 2

不稳定

E 9 ( x * , y * , z * )

鞍点

情况一:当满足条件: P 2 P 1 + R 1 R 2 + T 2 <0, C 2 C 1 +Fg+ T 1 n+( Na P 1 +kg ) P 1 ( Na P 2 kg )P2<0 E 2 ( 1,0,0 ) 是演化稳定点,此时 R 1 P 1 + T 2 < R 2 P 2 ,此时对于消费者而言,购买传统产品的净收益大于购买绿色产品的净收益, ( Na P 1 +kg ) P 1 C 1 + C 1 +Fg+ T 1 n<( Na P 2 kg ) P 2 C 2 Fg ,此时对于生产企业而言,生产绿色产品的净收益小于生产传统产品的净收益,而对于政府而言,政府此时的策略选择恒为对生产企业和消费者进行补贴,即均衡点为 E 2 ( 1,0,0 )

情况二:当满足条件: C 1 C 2 ( Na P 1 +kg ) P 1 +( Na P 2 kg ) P 2 <0, P 2 P 1 + R 1 R 2 <0 E 3 ( 0,1,0 ) 是演化稳定点,此时 R 1 P 1 + T 2 < R 2 P 2 ,此时对于消费者而言,与上述情况一致,购消费者选择购买传统产品, ( Na P 1 +kg ) P 1 C 1 >( Na P 2 kg ) P 2 C 2 ,此时对于生产企业而言,在没有政府补贴情况下,生产绿色产品的净收益大于生产传统产品的净收益,选择生产绿色产品,而对于政府而言,政府此时的策略选择恒为不补贴,即均衡点为 E 3 ( 0,1,0 )

情况三:当满足条件: Fg T 2 +W<0, P 1 P 2 R 1 + R 2 <0, C 2 C 1 +Fs+( Na P 1 +kg ) P 1 ( Na P 2 kg ) P 2 <0 E 4 ( 0,0,1 ) 是演化稳定点,此时: Fg+W< T 2 ,政府对消费者进行补贴的支出大于自身不补贴的损失,政府倾向选择不进行补贴策略, R 1 P 1 > R 2 P 1 ,此时对于消费者而言,选择绿色产品的收益大于购买传统产品的收益,消费者选择购买绿色产品, ( Na P 1 +kg ) P 1 C 1 <( Na P 2 kg ) P 2 C 2 Fs ,此时对于生产企业而言,在没有政府补贴情况下,生产绿色产品的净收益小于生产传统产品的净收益,选择生产传统产品,此时均衡点为 E 4 ( 0,0,1 )

情况四:当满足条件: T 2 FgW<0, P 1 P 2 R 1 + R 2 T 2 <0, C 2 C 1 +Fg+Fs+ T 1 n+( Na P 1 +kg ) P 1 ( Na P 2 kg ) P 2 <0 E 6 ( 1,0,1 ) 是演化稳定点,此时: Fg+W> T 2 ,与情况三相反,政府对消费者进行补贴的支出小于自身不补贴的损失,政府倾向选择进行补贴策略, R 2 P 2 T 2 < R 1 P 1 + T 2 ,此时对于消费者而言,选择绿色产品的收益大于购买传统产品的收益,消费者选择购买绿色产品, ( Na P 1 +kg )P 1 C 1 + T 1 n<( Na P 2 kg ) P 2 C 2 FgFs ,此时对于生产企业而言,生产绿色产品的净收益小于生产传统产品的净收益,选择生产传统产品,此时均衡点为 E 6 ( 1,0,1 )

情况五:当满足条件: P 1 P 2 R 1 + R 2 <0, C 1 C 2 Fs( Na P 1 +kg ) P 1 +( Na P 2 kg )P2<0 E 7 ( 0,1,1 ) 是演化稳定点,此时: R 2 P 2 < R 1 P 1 ,此时对于消费者而言,选择绿色产品的收益大于购买传统产品的收益,消费者选择购买绿色产品, ( Na P 2 kg ) P 2 C 2 Fs<( Na P 1 +kg ) P 1 C 1 ,此时对于生产企业而言,生产绿色产品的净收益大于生产传统产品的净收益,选择生产绿色产品,此时均衡点为 E 7 ( 0,1,1 )

2.7. 仿真分析

经典博弈模型的理论分析难以直观反映参数对系统演化稳定的影响。为验证演化稳定分析的有效性,结合文献、政策文件和专家意见,对模型参数进行具体赋值,并利用Matlab进行数值仿真,如图4

1) 对系统稳定性分析

(a) (b)

(c) (d)

(e)

Figure 4. Simulation analysis diagram of the system evolution path

4. 系统演化路径仿真分析图

2) 对初始概率的仿真分析

Figure 5. Initial probabilistic simulation analysis diagram

5. 初始概率仿真分析图

图5可知,在系统稳定性分析的基础上,对初始概率进行仿真分析发现,随着初始概率的增加,系统收敛至稳定点的速度加快,且演化时长显著缩短,表明初始概率的变化对演化速率具有重要影响。进一步分析表明,初始概率的差异可能导致系统趋向不同的均衡状态,揭示了初始条件在演化路径选择中的关键作用。

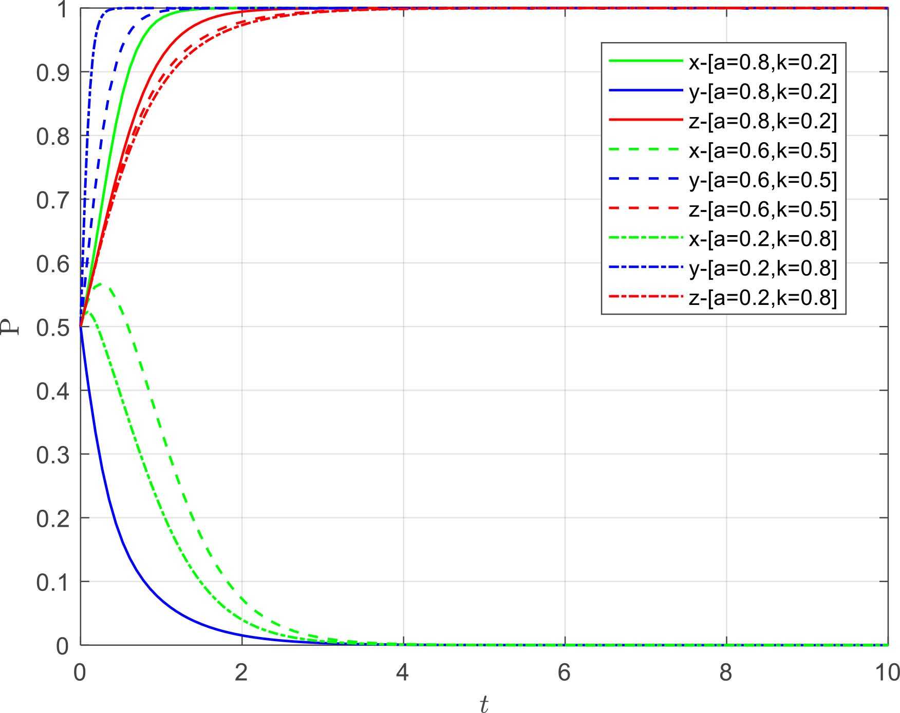
3) 对价格敏感系数和绿色产品投入系数的仿真分析

Figure 6. Simulation analysis diagram of price sensitivity coefficient and green product input coefficient

6. 价格敏感系数、绿色产品投入系数仿真分析图

图6可知,在不同的价格敏感系数和绿色产品投入系数下,系统演化稳定策略将产生不同的变化,具体表现为当价格敏感系数高,绿色产品投入系数低的情况下,此时系统将向 E 4 ( 0,0,1 ) 演化,当价格敏感系数降低,绿色产品投入系数升高,即a从0.8降至0.6,k从0.2升至0.4,绿色企业的策略从生产传统产品转向生产绿色产品,表明价格敏感系数的降低显著提升了绿色产品的市场需求。尽管绿色产品投入系数的增加可能对需求产生一定影响,但价格敏感系数的变化对市场需求的作用更为显著。这一策略转向揭示了价格敏感系数在均衡选择中的主导作用,说明绿色企业在权衡投入与市场需求后,倾向于选择生产绿色产品以实现更优的均衡状态。

4) 对绿色产品价格的仿真分析

Figure 7. Simulation analysis chart of green product prices

7. 绿色产品价格仿真分析图

图7可以看出,绿色产品价格的上升对三方策略产生了不同程度的影响,其中绿色企业受影响最为显著。随着P1的升高,绿色企业从生产传统产品转向生产绿色产品,原因是高价格下生产绿色产品的收益更高。然而,此时政府倾向于退出调控,因为企业和消费者已达到稳定均衡状态。当P1进一步上升时,政府和消费者分别选择退出和不购买绿色产品,表明绿色产品的合理定价对三方策略具有关键影响。进一步分析显示,价格过高可能导致市场需求的萎缩,从而破坏系统的均衡稳定性,说明绿色产品的定价需在收益与市场需求之间寻求平衡。

5) 政府对生产绿色产品的企业最大补贴的仿真分析

Figure 8. Simulation analysis diagram of government subsidies

8. 政府补贴仿真分析图

图8,随着政府对绿色产品生产企业的补贴增加,对三方主体的影响相对有限,主要表现为企业和消费者更快地趋向稳定状态(即生产绿色产品和选择购买)。这表明,政府补贴的增加虽未显著改变均衡结果,但加速了系统向绿色产品推广的演化进程。进一步分析显示,补贴政策通过降低企业生产成本和消费者购买门槛,间接促进了绿色产品的市场接受度,从而在长期均衡中推动了绿色经济的转型。

6) 对消费者购买绿色产品可获得效用的仿真分析

Figure 9. Simulation analysis diagram of product green utility

9. 产品绿色效用仿真分析图

图9可以看出,随着消费者购买绿色产品可获得效用的增大,主要变化方为消费者的策略变化,当消费者购买绿色产品可获得效用较小,消费者选择不购买绿色产品,随着R1的增大,当R1从5增大到7的时候,策略发生变化,转变为宣传购买绿色产品,说明消费者在选择购买绿色产品的时候,不仅考虑他的价格,绿色产品所能带来的效益是影响消费者决策的重要因素。

7) 对传统产品的价格的仿真分析

Figure 10. Simulation analysis chart of traditional product prices

10. 传统产品价格仿真分析图

图10可以看出传统产品的价格的影响较大,对于三方的影响均有体现,具体表现为当传统产品的价格较小,企业将选择生产传统产品,随着P2稍微增大,此时表现为企业生产绿色产品,消费者购买绿色产品,随着P2的继续增大,最终表现为由于传统产品价格过高,消费者将选择购买绿色产品,但由于价格升高,并存收益的增大,此时企业依旧可能选择生产传统产品,但此时绿色产品价格低于传统产品,市场需求大于传统产品,但收益小于传统产品,这将导致市场失衡,因此政府将选择进行补贴对市场进行调控,最终稳定策略表现为 E 6 ( 1,0,1 )

3. 结论

通过仿真分析,本文验证了由政府、绿色企业和消费者组成的三维系统演化模型的有效性。

本文分析了由政府、绿色企业和消费者组成的三维系统,探讨了初始概率、价格敏感系数、绿色产品投入系数、绿色产品价格、政府补贴、消费者效用以及传统产品价格等因素对系统演化路径的影响。研究发现:政府、企业和消费者对绿色策略的初始接受度和参与意愿对系统演化具有重要影响,而随着价格敏感系数的降低和绿色产品投入系数的增加,系统策略转向绿色产品生产,表明价格敏感系数对市场需求的影响更为关键。同时,绿色产品价格的升高、绿色产品效用的提升对绿色企业策略影响显著,政府补贴的影响有限但也对绿色行为实施存在积极作用。另外,传统产品价格的变化对三方策略有显著影响。随着传统产品价格的升高,消费者转向绿色产品,但企业可能因传统产品收益较高而继续生产传统产品,导致市场失衡。可得结论如下:政府或鼓励宣传,或补贴引导,来提高企业、消费者的初始参与意愿;政府、企业和消费者应加强协同合作,形成政策合力,共同推动绿色转型;企业应根据市场需求和消费者价格敏感度,优化价格策略;同时进行技术创新和品牌建设,提升消费者效用感知。这些措施旨在促进政府、企业和消费者之间的协同合作,加速绿色发展的实现。

参考文献

[1] 张中祥. 碳达峰、碳中和目标下的中国与世界——绿色低碳转型、绿色金融、碳市场与碳边境调节机制[J]. 人民论坛∙学术前沿, 2021(14): 69-79.
[2] 俞海, 宁晓巍, 张强, 等. 新质生产力本身就是绿色生产力的理论内涵与实践向度[J]. 环境污染与防治, 2024, 46(6): 771-776.
[3] 胡莉莉, 孙晓娟, 刘凤楠. 中国区域农业生产用能、农业经济增长及农业能源碳排放关系研究——基于绿色全要素生产率视角[J]. 南京农业大学学报(社会科学版), 2024, 24(3): 174-186.
[4] 刘琦铀, 林丽婷, 张成科. 基于随机演化博弈视角的绿色农产品生产与合谋监管研究[J]. 北方园艺, 2024(11): 119-126.
[5] 杨霞, 何刚, 吴传良, 等. 碳交易机制下政府与重污染企业碳减排演化博弈分析[J]. 安全与环境学报, 2023, 23(11): 4097-4107.
[6] 邵举平, 周将军, 孙延安. “碳中和”背景下基于演化博弈与双层规划的供应链减排动力研究[J]. 运筹与管理, 2023, 32(12): 79-85.
[7] 尚雅茹, 白春光, 郭雨. 碳中和背景下碳排放企业林业碳汇项目融资模式选择策略研究[J/OL]. 系统工程理论与实践: 1-21.
https://link.cnki.net/urlid/11.2267.n.20240711.1716.038, 2024-07-25.
[8] 胡姜, 李雪涛, 王逸雯. 绿色技术创新中多元异质性主体演化博弈研究[J]. 运筹与管理, 2023, 32(12): 71-78.
[9] 蒙大斌, 李新宇, 李磊. 绿色金融政策与“两高”企业融资成本——信号博弈下绿色创新的中介反应[J]. 科技进步与对策, 2024, 41(18): 23-32.
[10] 王丹, 梁靖涵, 张瑞雪. “双碳”背景约束下绿色技术创新四方演化博弈及仿真[J]. 运筹与管理, 2024, 33(11): 72-77.
[11] 孙鹏, 黄锦辉, 李杰, 等. 中央环保督察、政商关系与企业绿色创新——影响机理与扩散路径[J]. 财经研究, 2024, 50(7): 95-110.
[12] 王利莎, 王子琳, 王永昭. 平台生态标签情境下的漂绿行为演化与监管研究[J]. 管理评论, 2025, 37(2): 224-236.