创新平台生态系统多主体竞合关系演化博弈分析
Evolutionary Game Analysis of Coopetition Relationship of Multi-Agent in Innovation Platform Ecosystem
摘要: 创新平台生态系统多主体间竞合关系影响系统的价值创造。为探究多主体竞合关系的演化过程,本研究通过分析创新平台生态系统多主体的竞合行为逻辑,构建了平台企业、互补商和用户三方演化博弈模型,以Matlab软件为工具仿真分析不同主体竞合行为与参数变化下的演化博弈过程及其变化规律。结果表明:(1) 创新平台生态系统的多主体竞合策略组合(异质平台,异质产品,购买)是理想的均衡状态;(2) 技术创新能力、技术互补水平、协同收益、平台激励、市场接受度、投机收益等是影响平台企业、互补商和用户竞合策略选择的重要因素,可通过调控这些因素来促使各方竞合策略演化为稳定均衡状态,从而促进创新平台生态系统良好发展。
Abstract: The coopetition relationship of multi-agents in the innovation platform ecosystem influences the creation of value in the ecosystem. In order to explore the evolution process of the multi-agent coopetition relationship, by analyzing the multi-agent coopetition behavior logic of the innovation platform ecosystem, this study constructs a three-party evolutionary game model of platform enterprises, complementors and users. In addition, using MATLAB software as a tool, this study simulates and analyzes the evolutionary game process and its changing patterns under different competitive and cooperative behaviors of various entities and parameter variations. It is found that: (1) The combination of multi-agent strategies (heterogeneous platforms, heterogeneous products, purchases) in the innovation platform ecosystem is the ideal equilibrium; (2) Technological innovation capacity, the degree of technological complementarity, mutual benefit, platform incentives, market acceptance, speculative benefit and so on are key factors influencing the coopetition strategy options of platform enterprises, complementors and users to actively. These key factors can be regulated to encourage all parties to choose the evolution and stability strategy for the good development of the innovation platform ecosystem.
文章引用:苑博雅. 创新平台生态系统多主体竞合关系演化博弈分析[J]. 电子商务评论, 2025, 14(4): 2257-2274. https://doi.org/10.12677/ecl.2025.1441131

1. 引言

随着人工智能、物联网、云计算等数字技术的快速发展,创新平台生态系统应运而生,成为推动企业创新发展的新兴力量[1]。在创新平台生态系统中,平台企业致力于搭建创新基础架构,吸引互补商基于平台核心产品或技术添加互补性产品、技术或服务[2],以期拓展和丰富创新平台生态系统的产品和服务功能,更好地满足用户多样化的需求。例如:华为企业通过构建鸿蒙生态系统,汇聚众多开发者参与其中,不断完善各类应用场景,吸引更多用户的加入,进而实现系统的可持续发展。可见,创新平台生态系统实现良好发展的关键目标是拓展和完善系统多样化功能,吸引用户加入,从而激发网络效应,快速实现系统内的价值创造[3]。这一目标的实现需要多方资源的协同整合和互补协作[4],离不开系统内各参与主体的协同创新。然而,创新平台生态系统中各主体在协同创新过程中,因为价值创造而合作,又因为价值获取而竞争[5],主体间形成合作与竞争并存的局面。若多主体竞合关系处理不当,势必会影响系统的可持续发展。虽已有少量文献[6] [7]基于合作或竞争单一视角对主体间竞合关系进行研究,但大多基于静态或横截面视角进行分析。实际上,由于市场环境、技术变革和企业发展诉求的动态变化,平台企业、互补商和用户会根据情境演变选择不同的竞合策略[8],而不同主体竞合策略的调整也会导致主体间竞合关系发生改变,例如平台企业会在互补市场潜在利润增大情况下进入互补市场,与互补商展开竞争[9],而互补商会采取多平台嵌入、退出等策略应对平台企业的威胁,这就导致主体间竞合关系处于不断调整和配置中。因此有必要基于动态视角分析创新平台生态系统多主体竞合关系的演化,探讨如何实现多主体间竞合关系的均衡发展。

综上,本研究通过分析创新平台生态系统平台企业、互补商和用户竞合策略,建立三方竞合关系演化博弈模型,刻画多主体竞合关系的演化发展规律和推动机制,以期丰富和完善多主体竞合关系动态演化研究,为创新平台生态系统多主体的竞合策略选择提供借鉴意义。

2. 竞合理论

20世纪90年代中期,Brandenburger和Nalebuff正式提出了竞合理论,并将博弈理论作为理论框架对其进行了研究[10]。二位学者认为,竞合的思想蕴含在价值创造和获取中,价值创造的过程本质是合作,价值获取的过程本质是竞争。根据竞合理论,企业间的合作与竞争是一种非零和博弈,能够实现双赢。目前竞合理论多用于分析企业间战略关系互动,被应用于不同研究领域。例如:在产业集群领域,魏江等[11]根据竞合理论剖析集群企业之间的竞争与合作的内在机制,提出集群企业技术能力整合的有效路径;在互联网行业领域,马蔷等[12]基于竞合理论,研究了我国互联网产业的竞争与合作关系,通过分析我国互联网产业中不同企业之间的竞争、企业与其他产业之间的合作等方面,为互联网产业的升级和转型提供了有益的参考;在市场营销领域,张宇飞等[13]从营销角度探讨了竞合理论的应用,认为竞合可以帮助企业在营销中获得更多的利润和市场份额;在制造行业领域,李庆雪等[14]构建了先进制造企业和服务提供商的竞合策略演化博弈模型,探究了产品服务互补程度、信任、风险、吸收能力等因素对先进制造企业和服务提供商竞合行为的影响机理;在创新生态领域,刘静[15]基于竞合理论分析了平台企业和依赖者间的竞合关系,并阐述了竞合关系与创新生态系统耦合演化发展过程,提出了平台企业在系统中竞合策略建议。

综上所述,竞合理论在不断演化发展中,获得学术界和企业界的关注认可。这一理论的提出可以帮助企业找出合作和竞争之间的平衡点,从而实现更好的竞争优势和价值创造。因此,本研究运用竞合理论开展研究,深入探讨创新平台生态系统中平台企业、互补商和用户之间竞合关系的演化趋势与结果,旨在理解创新平台生态系统情境下主体间竞合关系的演化规律。

3. 创新平台生态系统多主体竞合策略分析

面对环境的动态变革、市场的激烈竞争及技术的快速迭代,创新平台生态系统需要尽快完善系统内多样化的功能,建立起竞争优势,实现价值创造。在这一过程中,平台企业、互补商和用户等参与主体可能展开积极合作策略促进资源的重新配置和转化以实现价值创造[16],也可能为谋取自身利益最大化而采取投机行为或减少资源投入等策略[17]。因此创新平台生态系统价值创造过程也是平台企业、互补商和用户等主体竞合策略的演化博弈过程,彼此间的竞合策略选择影响到创新平台生态系统的演化稳定及其价值创造的实现。

3.1. 平台企业竞合策略分析

平台企业作为创新平台生态系统的主导企业,掌握平台核心技术和资源,并通过激励互补商和用户双方参与,促进多主体间价值创造[18]。一方面,平台企业通过构建技术基础设施,定制技术接口,吸引不同类型互补商的加入,激发其开发符合用户需求的产品、技术或服务。且平台企业积极将不同技术领域、业务模式的合作伙伴纳入生态,拓展生态系统的服务领域,满足用户多场景需求,丰富生态系统多样性[19]。但另一方面,平台企业也会考虑到技术适配成本、市场需求不确定等带来的风险,会选择集中在某一特定细分市场发展,集聚同类型技术资源,构建同质平台。故平台企业有异质平台和同质平台两种策略选择。

3.2. 互补商竞合策略分析

互补商是在创新平台生态系统中提供互补性产品或服务的独立开发商,它们以平台为基础所开发的产品、服务或技术,能够拓展平台产品或服务的多样性[20],增强用户体验。一方面,互补商为获取平台支持和协同创新选择投入技术、资源等创新成本,为用户开发异质性产品与服务[5],满足用户的个性化与差异化需求,从而提高用户的满意度和忠诚度。另一方面,出于对研发成本和风险的考虑,互补商可能选择开发市场上已有的产品,通过借鉴现有的技术和设计降低自身的开发成本,从而获取收益。但过于同质化的产品或技术也会导致自身差异化水平降低,失去异质化需求的用户,最终影响创新平台生态系统的声誉和收益。故互补商有异质产品和同质产品两种策略选择。

3.3. 用户竞合策略分析

用户是创新平台生态系统提供的产品或服务的最终消费者,也是创新平台生态系统发展的重要基础[21]。由于用户所处的信息环境更加复杂,其对产品的需求更趋向于个性化和定制化[22],用户的消费偏好也影响着创新平台生态系统中的平台企业与互补商之间的战略互动[23]。用户通过向平台企业和互补商方反馈自己的使用体验、提出意见建议,促使平台企业和互补商能够快速准确地识别和满足自身需求,从而实现自己的价值诉求。同时,用户消费感知也显著影响他们的购买意愿[24],若平台所提供的产品或服务无法满足用户的价值诉求,用户为了追求更优质的产品与服务可能选择购买其他平台的产品或服务,从而影响平台企业和互补商的价值创造,最终导致整个创新平台生态系统的崩溃。故用户有购买和不购买两种策略选择。

4. 创新平台生态系统多主体竞合策略演化博弈模型构建

4.1. 基本假设与参数设定

(1) 参与主体。在博弈过程中,共有三方博弈主体,分别是平台企业、互补商和用户。三方主体都具有有限理性,在进行策略选择时追求自身利益最大化。

(2) 策略集。平台企业的策略集为(异质平台,同质平台),平台企业选择异质平台策略的概率为 x( 0x1 ) ,选择同质平台策略的概率为 1x ;互补商的策略集为(异质产品,同质产品),互补商选择异质产品策略的概率为 y( 0y1 ) ,选择同质产品策略的概率为 1y ;用户的策略集为(购买,不购买),用户选择“购买”策略的概率为 z( 0z1 ) ,选择“不购买”策略的概率为 1z

(3) 常规收益。平台企业、互补商和用户都具有相对独立的获利能力,在不同策略选择中都能够获得常规收益,分别为 I 1 I 2 I 3 ( I 1 , I 2 , I 3 >0 )。

(4) 额外收益。当平台企业选择异质平台策略时,能够提供更多样化的服务和产品吸引更多用户,由此产生的额外收益为 D 1 ( D 1 >0 ) ;互补商在选择异质产品时,由于其提供的多样化互补组件增加用户粘性,产生的额外收益是 D 2 ( D 2 >0 ) 。用户在创新平台生态系统内享受相关商品与服务获得的额外收益为 U ( U>0 )。

(5) 技术成本投入和技术创新能力。平台企业构建异质平台需要投入一定的技术研发成本,记为 C 1 ( C 1 >0 ) ,互补商开发多样化产品或服务的技术研发投入成本为 C 2 ( C 2 >0 ) ,且这种研发投入成本与技术创新能力 β( β>0 ) 相关。为简化计算,设 β 越大,代表技术创新能力越弱,则平台企业和互补商的技术研发成本分别为 β C 1 β C 2 ;用户购买服务或产品的付费成本为 Q 1 ( Q 1 >0 ) 。若用户选择购买时,而平台企业构建同质平台,互补商开发同质产品,产生的损失为 Q 2 ( Q 2 >0 ) ,即用户寻求多样化服务或服务未被满足产生的成本。

(6) 平台激励成本。平台企业选择构建异质平台时,需要通过补贴政策(如现金奖励,优惠补贴)激励互补商开发异质产品,吸引用户购买,此时平台企业对互补商、用户的激励成本分别为 S 2 S 3 ( S 2 , S 3 >0 )。

(7) 协同收益与技术资源互补度。当平台企业选择异质平台、互补商选择异质产品且用户选择购买时,三方会通力合作,完善创新平台生态系统的技术服务,从而产生较高的协同收益 R ( R>0 ),协同收益与技术资源互补程度 λ ( 0λ1 )有关,且协同收益由三方博弈主体进行分配,平台企业、互补商和用户协同收益分配系数分别为 m 1 m 2 m 3 ( 0 m 1 , m 2 , m 3 1 m 1 + m 2 + m 3 =1 )。

(8) 投机收益。当平台企业选择同质平台,但互补商提供异质产品或服务且用户购买时,平台企业会获得投机收益 F 1 ( F 1 >0 );同理,当互补商开发同质产品,但平台企业提供异质平台且用户购买时,互补商会获得投机收益 F 2 ( F 2 >0 );当用户不购买,但平台企业和互补商提供异质产品或服务时,用户会获得投机收益 F 3 ( F 3 >0 )。

(9) 机会成本。平台企业因构建同质平台而造成的潜在市场损失为 N 1 ( N 1 >0 ) ;互补商因提供同质产品而造成的潜在市场损失为 N 2 ( N 2 >0 ) ;用户选择不购买时产生的潜在市场损失为 N 3 ( N 3 >0 )

(10) 市场接受度。市场接受度对平台企业、互补商额外收益的影响程度为 α( α>0 ) 。当 0<α<1 时,代表用户对多样化产品或服务接受能力比较弱,超出了用户的学习水平或承担能力等;当 α=1 时,代表用户能正常接受多样化产品或服务;当 α>1 时,代表用户异质性需求程度很高,愿意为多样化产品或服务付出相应成本。平台企业、互补商额外收益分别为 α D 1 α D 2

(11) 额外损失。系统成员在合作创新过程中建立了信任或良好形象,促进了各方之间共享信息、共担风险、长期合作的意愿。相应地,若有一方违背,则会产生相应的声誉、信任损失或者无法追求到满足自身需求的损失,分别为 J 1 J 2 J 3 ( J 1 , J 2 , J 3 >0 )。

综上所述,本研究演化博弈模型参数假设如表1所示。

Table 1. Parameters involved evolutionary game model

1. 演化博弈模型涉及参数

参数

含义

I 1

平台企业的常规收益

I 2

互补商的常规收益

I 3

用户的常规收益

D 1

平台企业开发异质平台的额外收益

D 2

互补商提供异质产品的额外收益

U

用户购买多样化产品或服务时获得的额外收益

Q 1

用户使用服务或产品的付费成本

Q 2

用户寻求多样化服务或服务未被满足产生的成本

C 1

平台企业的技术研发投入成本

C 2

互补商的技术研发投入成本

β

技术创新能力水平

R

三方合作的协同收益

λ

资源与技术互补程度

m 1

平台企业的协同收益分配系数

m 2

互补商的协同收益分配系数

m 3

用户的协同收益分配系数

S 2

平台企业对互补商的补贴

S 3

平台企业对用户的补贴

F 1

平台企业的投机收益

F 2

互补商的投机收益

F 3

用户的投机收益

N 1

平台企业因构建同质平台而产生的机会成本

N 2

互补商因提供同质产品而产生的机会成本

N 3

用户选择不购买时产生的机会成本

J 1

平台企业的声誉、信任损失

J 2

互补商的声誉、信任损失

J 3

用户无法享受满足自身需求的损失

α

市场接受度

4.2. 三方博弈策略选择

基于上述假设及对参数的设置,创新平台生态系统平台企业、互补商和用户的演化博弈收益矩阵如表2所示。

Table 2. Payoff matrix of three-way game

2. 三方博弈收益矩阵

策略组合

平台企业

互补商

用户

(1, 1, 1)

I 1 +α D 1 β C 1 + m 1 λR S 2 S 3

I 2 +α D 2 β C 2 + m 2 λR+ S 2

I 3 +U Q 1 + m 3 λR+ S 3

(1, 1, 0)

I 1 +α D 1 β C 1 S 2

I 2 +α D 2 β C 2 + S 2

I 3 + F 3 N 3 J 3

(1, 0, 1)

I 1 +α D 1 β C 1 S 3

I 2 + F 2 N 2 J 2

I 3 +U Q 1 + S 3

(1, 0, 0)

I 1 +α D 1 β C 1

I 2 N 2 J 2

I 3 N 3 J 3

(0, 1, 1)

I 1 + F 1 N 1 J 1

I 2 +α D 2 β C 2

I 3 +U Q 1

(0, 1, 0)

I 1 N 1 J 1

I 2 +α D 2 β C 2

I 3 N 3 J 3

(0, 0, 1)

I 1 N 1 J 1

I 2 N 2 J 2

I 3 Q 2

(0, 0, 0)

I 1 J 1

I 2 J 2

I 3 J 3

根据表2,平台企业选择异质平台、同质平台的收益和平台企业的平均期望收益分别为:

E 11 =yz( I 1 +α D 1 β C 1 + m 1 λR S 2 S 3 )+y( 1z )( I 1 +α D 1 β C 1 S 2 ) +z( 1y )( I 1 +α D 1 β C 1 S 3 )+( 1y )( 1z )( I 1 +α D 1 β C 1 ) (1)

E 12 =yz( I 1 + F 1 N 1 J 1 )+y( 1z )( I 1 N 1 J 1 ) +z( 1y )( I 1 N 1 J 1 )+( 1y )( 1z )( I 1 J 1 ) (2)

E 1 ¯ =x E 11 +( 1x ) E 12 (3)

则平台企业采取策略的复制动态方程为:

F( x )=x( 1x )[ ( m 1 λR F 1 N 1 )yz+( N 1 S 2 )y+( N 1 S 3 )z+ J 1 β C 1 +α D 1 ] (4)

同理,互补商选择异质产品、同质产品的收益、互补商的平均期望收益、互补商采取策略的复制动态方程分别为:

E 21 =xz( I 2 +α D 2 β C 2 + m 2 λR+ S 2 )+x( 1z )( I 2 +α D 2 β C 2 + S 2 ) +z( 1x )( I 2 +α D 2 β C 2 )+( 1x )( 1z )( I 2 +α D 2 β C 2 ) (5)

E 22 =xz( I 2 + F 2 N 2 J 2 )+x( 1z )( I 2 N 2 J 2 ) +z( 1x )( I 2 N 2 J 2 )+( 1x )( 1z )( I 2 J 2 ) (6)

E 2 ¯ =y E 21 +( 1y ) E 22 (7)

G( y )=y( 1y )[ ( m 2 λR F 2 N 2 )xz+( N 2 + S 2 )x+ N 2 z+ J 2 β C 2 +α D 2 ] (8)

用户选择购买、不购买的收益、用户的平均期望收益、用户采取策略的复制动态方程分别为:

E 31 =xy( I 3 +U Q 1 + m 3 λR+ S 3 )+x( 1y )( I 3 +U Q 1 + S 3 ) +y( 1x )( I 3 +U Q 1 )+( 1x )( 1y )( I 3 Q 2 ) (9)

E 32 =xy( I 3 + F 3 N 3 J 3 )+x( 1y )( I 3 N 3 J 3 ) +y( 1x )( I 3 N 3 J 3 )+( 1x )( 1y )( I 3 J 3 ) (10)

E 3 ¯ =z E 31 +( 1z ) E 32 (11)

H( z )=z( 1z ) [ ( m 3 λR F 3 N 3 + Q 1 Q 2 U )x +( N 3 Q 1 + Q 2 +U+ S 3 )x+ ( N 3 Q 1 + Q 2 +U )+ J 3 Q 2 ] (12)

根据复制动态方程(4)、(8)和(12),可以得到三方演化博弈的雅可比矩阵 J 为:

J=[ F( x ) x F( x ) y F( x ) z G( y ) x G( y ) y G( y ) z H( z ) x H( z ) y H( z ) z ]

4.3. 三方演化博弈模型稳定性分析

4.3.1. 演化稳定策略分析

分析平台企业、互补商和用户的演化稳定策略需要对其复制动态方程求一阶导数以及构造相关函数。根据公式(4)、(8)、(12)可得:

F ( x )=( 12x )[ ( m 1 λR F 1 N 1 )yz+( N 1 S 2 )y+( N 1 S 3 )z+ J 1 β C 1 +α D 1 ] (13)

G ( y )=( 12y )[ ( m 2 λR F 2 N 2 )xz+( N 2 + S 2 )x+ N 2 z+ J 2 β C 2 +α D 2 ] (14)

H ( z )=( 12z ) [ ( m 3 λR F 3 N 3 + Q 1 Q 2 U )xy +( N 3 Q 1 + Q 2 +U+ S 3 )x+ ( N 3   Q 1 + Q 2 +U )y+ J 3 Q 2 ] (15)

μ( y )=( m 1 λR F 1 N 1 )yz+( N 1 S 2 )y+( N 1 S 3 )z+ J 1 β C 1 +α D 1 (16)

π( x )=( m 2 λR F 2 N 2 )xz+( N 2 + S 2 )x+ N 2 z+ J 2 β C 2 +α D 2 (17)

θ( y )=( m 3 λR F 3 N 3 + Q 1 Q 2 U )xy+( N 3 Q 1 + Q 2 +U+ S 3 )x +( N 3 Q 1 + Q 2 +U )y+ J 3 Q 2 (18)

μ ( y )= N 1 S 2 +( m 1 λR F 1 N 1 )z (19)

π ( x )= N 2 + S 2 +( m 2 λR F 2 N 2 )z (20)

θ ( y )= N 3 Q 1 + Q 2 +U+( m 3 λR F 3 N 3 + Q 1 Q 2 U )x (21)

根据以上公式,下面对平台企业、互补商和用户的演化稳定策略进行分析。

(1) 平台企业竞合策略演化稳定分析

根据微分方程稳定性定理可知,平台企业选择异质平台的策略的概率处于稳定状态,必须满足 F( x )=0 并且 F ( x )<0 。下面对 F ( x ) 的符号进行讨论。

情况一:当 μ ( y )>0 时,可以得到 μ( y ) 是关于 y 的增函数,因此当 y= β C 1 J 1 α D 1 z( N 1 S 3 ) N 1 S 2 +z( m 1 λR F 1 N 1 ) = y * 时,有 μ( y )=0 ,此时 F( x )= F ( x )=0 ,则所有的 x 都处于演化稳定状态;当 y> y * 时,有 μ( y )>0 ,此时 F( 1 )=0 并且 F ( 1 )<0 ,则 x=1 是平台企业的演化稳定策略;反之,当 y< y * 时, x=0 是平台企业的演化稳定策略。

情况二:当 μ ( y )<0 时,可以得到 μ( y ) 是关于 y 的减函数,因此当 y= y * 时,有 μ( y )=0 ,此时 F( x )= F ( x )=0 ,则所有的 x 都处于演化稳定状态;当 y< y * 时,有 μ( y )>0 ,此时 F( 1 )=0 并且 F ( 1 )<0 ,则 x=1 是平台企业的演化稳定策略;反之,当 y> y * 时,有 μ( y )<0 ,此时 F( 0 )=0 并且 F ( 0 )<0 ,则 x=0 是平台企业的演化稳定策略。

(2) 互补商竞合策略演化稳定分析

根据微分方程稳定性定理可知,若互补商选择异质产品策略的概率处于稳定状态,必须满足 G( y )=0 并且 G ( y )<0 。下面对 G ( y ) 的符号进行讨论。

情况一:当 π ( x )>0 时,可以得到 π( x ) 是关于 x 的增函数,因此当 x= β C 2 J 2 α D 2 z N 2 N 2 + S 2 +z( m 2 λR F 2 N 2 ) = x * 时,有 π( x )=0 ,此时 G( y )= G ( y )=0 ,则所有的 y 都处于演化稳定状态;当 x> x * 时,有 π( x )>0 ,此时 G( 1 )=0 并且 G ( 1 )<0 ,则 y=1 是互补商的演化稳定策略;反之,当 x< x * 时, y=0 是平台企业的演化稳定策略。

情况二:当 π ( x )<0 时,可以得到 π( x ) 是关 x 的减函数,因此当 x= x * 时,有 π( x )=0 ,此时 G( y )= G ( y )=0 ,则所有的 y 都处于演化稳定状态;当 x< x * 时,有 π( x )>0 ,此时 G( 1 )=0 并且 G ( 1 )<0 ,则 x=1 是互补商的演化稳定策略;反之,当 x> x * 时,有 π( x )<0 ,此时 G( 0 )=0 并且 G ( 0 )<0 ,则 y=0 是互补商的演化稳定策略。

(3) 用户竞合策略演化稳定分析

根据微分方程稳定性定理可知,若用户选择购买策略的概率处于稳定状态,必须满足 H( z )=0 并且 H ( z )<0 。下面对 H ( z ) 的符号进行讨论。

情况一:当 θ ( y )>0 时,可以得到 θ( y ) 是关于 y 的增函数,因此当 y= Q 3 J 3 x( N 3 Q 1 + Q 2 +U+ S 3 ) N 3 Q 1 + Q 2 +U+x( m 3 λR F 3 N 3 + Q 1 Q 2 U ) = y ** 时,有 θ( y )=0 ,此时 H( z )= H ( z )=0 ,则所有的 z 都处于演化稳定状态;当 y> y ** 时,有 θ( y )>0 ,此时 H( 1 )=0 并且 H ( 1 )<0 ,则 z=1 是用户的演化稳定策略;反之,当 y< y ** 时, z=0 是用户的演化稳定策略。

情况二:当 θ ( y )<0 时,可以得到 θ( y ) 是关于 y 的减函数,因此当 y= y ** 时,有 θ( y )=0 ,此时 H( z )= H ( z )=0 ,则所有的 z 都处于演化稳定状态;当 y< y ** 时,有 θ( y )>0 ,此时 H( 1 )=0 并且 H ( 1 )<0 ,则 z=1 是用户的演化稳定策略;反之,当 y> y ** 时,有 θ( y )<0 ,此时 H( 0 )=0 并且 H ( 0 )<0 ,则 z=0 是用户的演化稳定策略。

4.3.2. 演化均衡点稳定性分析

根据李雅普诺夫判别法,若雅可比矩阵 J 的特征值都为负值,则该均衡点为演化稳定点(ESS);若雅可比矩阵 J 至少有一个正的特征值,则该均衡点为不稳定点。令公式同时等于0,可以得到以下均衡点:(1, 1, 1),(1, 1, 0),(1, 0, 1),(1, 0, 0),(0, 1, 1),(0, 1, 0),(0, 0, 1),(0, 0, 0)。将均衡点代入雅可比矩阵 J 并求得相应的特征值,如表3所示。

Table 3. Characteristics of each equilibrium point

3. 各均衡点的特征值

均衡点

特征值1

特征值2

特征值3

E 1 ( 1,1,1 )

F 1 N 1 J 1 + S 2 + S 3 +β C 1 α D 1 m 1 λR

F 2 N 2 J 2 S 2 +β C 2 α D 2 m 2 λR

F 3 N 3 J 3 S 3 + Q 1 U m 3 λR

E 2 ( 1,1,0 )

S 2 N 1 J 1 +β C 1 α D 1

β C 2 N 2 S 2 J 2 α D 2

J 3 F 3 + N 3 Q 1 + S 3 +U+ m 3 λR

E 3 ( 1,0,1 )

S 3 N 1 J 1 +β C 1 α D 1

J 2 F 2 + N 2 + S 2 β C 2 +α D 2 + m 2 λR

Q 1 N 3 J 3 S 3 U

E 4 ( 1,0,0 )

β C 1 α D 1 J 1

J 2 + N 2 + S 2 β C 2 +α D 2

J 3 + N 3 Q 1 + S 3 +U

E 5 ( 0,1,1 )

J 1 F 1 + N 1 S 2 S 3 β C 1 +α D 1 + m 1 λR

β C 2 N 2 J 2 α D 2

Q 1 N 3 J 3 U

E 6 ( 0,1,0 )

J 1 + N 1 S 2 β C 1 +α D 1

β C 2 J 2 α D 2

J 3 + N 3 Q 1 +U

E 7 ( 0,0,1 )

J 1 + N 1 S 3 β C 1 +α D 1

J 2 + N 2 β C 2 +α D 2

Q 2 J 3

E 8 ( 0,0,0 )

J 1 β C 1 +α D 1

J 2 β C 2 +α D 2

J 3 Q 2

下面对系统的演化稳定性进行讨论。

情况一:当 F 1 N 1 J 1 + S 2 + S 3 +β C 1 α D 1 m 1 λR<0 F 2 N 2 J 2 S 2 +β C 2 α D 2 m 2 λR<0 F 3 N 3 J 3 S 3 + Q 1 U m 3 λR<0 同时成立时,系统的稳定点为 E 1 ( 1,1,1 ) ,即三方博弈主体的策略组合最终会趋向于(异质平台,异质产品,购买)。

情况二:当 S 3 N 1 J 1 +β C 1 α D 1 <0 J 2 F 2 + N 2 + S 2 β C 2 +α D 2 + m 2 λR<0 Q 1 N 3 J 3 S 3 U<0 同时成立时,系统的稳定点为 E 3 ( 1,0,1 ) ,即三方博弈主体的策略组合最终会趋向于(异质平台,同质产品,购买)。

情况三:当 β C 1 α D 1 J 1 <0 J 2 + N 2 + S 2 β C 2 +α D 2 <0 J 3 + N 3 Q 1 + S 3 +U<0 同时成立时,系统的稳定点为 E 4 ( 1,0,0 ) ,即三方博弈主体的策略组合最终会趋向于(异质平台,同质产品,不购买)。

情况四:当 J 1 β C 1 +α D 1 <0 J 2 β C 2 +α D 2 <0 J 3 Q 2 <0 同时成立时,系统的稳定点为 E 8 ( 0,0,0 ) ,即三方博弈主体的策略组合最终会趋向于(同质平台,同质产品,不购买)。

5. 数值仿真分析

根据稳定性分析,各参数的数值对博弈系统最终稳定演化趋势具有直接影响。为直观反映各参数数值变化对系统稳定性的影响,刻画系统演化趋势,本研究运用MATLAB软件进行数值仿真分析。基于上述假设条件,借鉴相关文献和专家意见对相关参数的设定,对各变量赋初始值,如表4所示。

Table 4. Initial parameter settings

4. 初始参数值设定

参数

赋值

参数

赋值

D 1

30

S 2

7

D 2

20

S 3

4

U

12

F 1

26

Q 1

10

F 2

14

Q 2

12

F 3

10

C 1

20

N 1

20

C 2

18

N 2

10

β

1

N 3

7

R

100

J 1

15

λ

0.5

J 2

6

m 1

0.4

J 3

2

m 2

0.3

α

1

m 3

0.3

5.1. 初始意愿变化对系统演化的影响

根据初始仿真数值对随机的初始意愿组合进行演化仿真,对应的博弈主体行为策略演化轨迹如图1

Figure 1. System evolution chart

1. 系统演化图

所示。结果表明,不管平台企业、互补商和用户的初始意愿如何,在各参数的数值满足演化稳定条件时,系统的演化稳定策略最终都是E1 (1, 1, 1),即平台企业、互补商和用户的策略集最终会演化为(异质平台,异质产品,购买)。为了避免三方主体初始意愿变化对其他参数的影响,下面设定平台企业、互补商和用户的初始意愿为(0.5, 0.5, 0.5),基于初始参数值设定,探究各参数变化对演化稳定策略的影响。

5.2. 技术成本投入与技术创新能力对系统演化的影响

通过数值仿真得到 C 1 C 2 β 变动对三方竞合策略演化结果的影响,如图2所示。结果表明:当平台企业和互补商技术成本投入不断增加时,平台企业最终会选择同质平台,互补商最终会选择同质产品;当技术创新能力 β 越弱,系统演化稳定策略会从(1, 1, 1)变化为(0, 0, 0)。

Figure 2. The impact of technology cost inputs and technological innovation capabilities on system evolution

2. 技术成本投入与技术创新能力对系统演化的影响

对于平台企业和互补商来说,随着技术成本的不断增加,双方的创新收益不足以抵消各自的投入成本,就会导致平台企业维持平台正常运营出现困难,互补商难以持续投入到异质产品的研发,从而促使平台企业倾向同质平台,互补商选择同质产品,以此来降低研发成本,维持平台正常运行;由于在完善创新平台生态系统的多样化产品和服务的过程中,现有技术资源是有限的,平台企业和互补商需要整合利用现有的技术资源,对其进行发展和创造。若平台企业和互补商的技术创新水平较弱,说明两方无法更好地吸收和利用技术资源,需要进一步投入学习和经济成本,从而会导致产品或服务价格的提升。这意味着用户在创新平台生态系统中可能享受到价格偏高,性能不稳定的产品,最终选择不会购买。

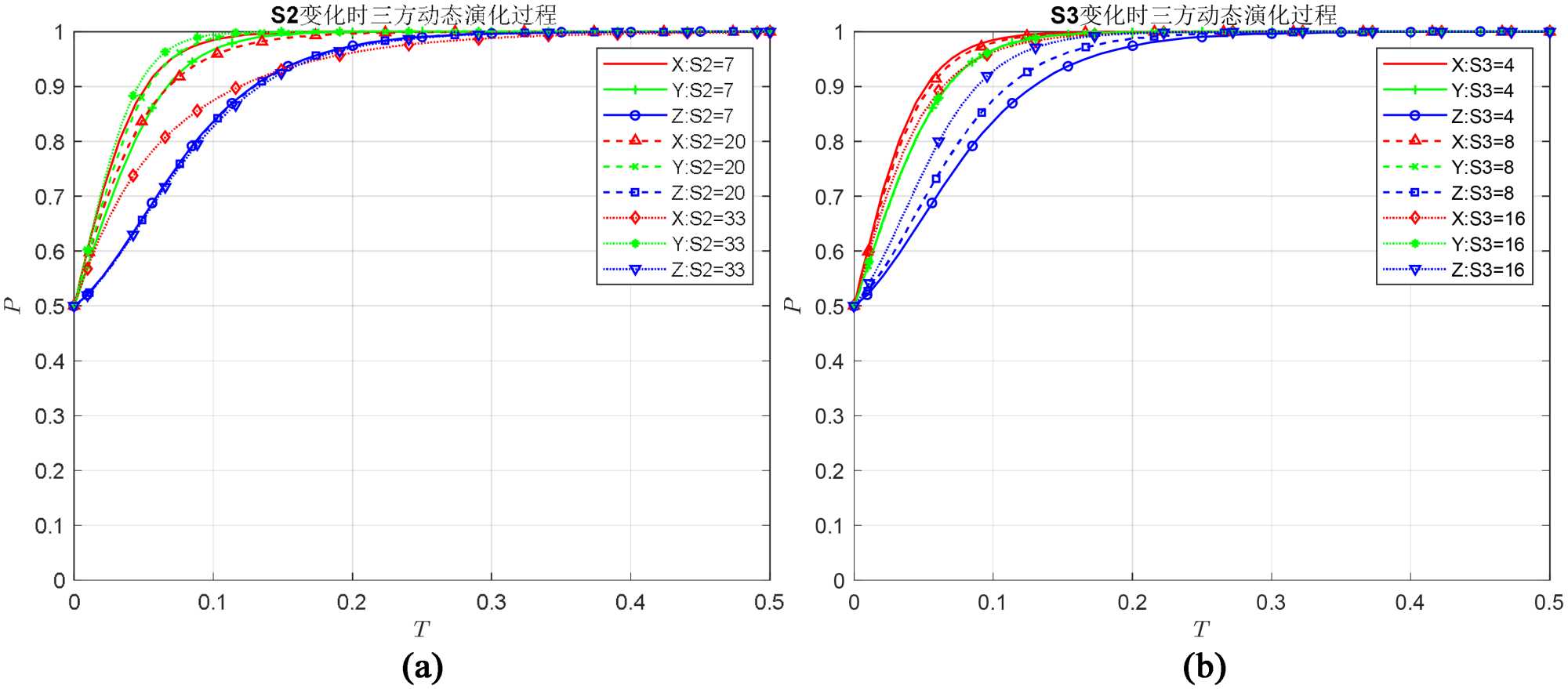
5.3. 平台激励成本对系统演化的影响

通过数值仿真得到 S 2 S 3 变动对三方竞合策略演化结果的影响,如图3所示。结果表明,当平台激励成本不断增加时,互补商向异质产品策略的演化速度会加快,用户向购买策略的演化速度会加快;当平台企业激励成本越高时,平台企业向异质平台策略的演化速度会减缓。因此,平台企业要明确创新平台生态系统在市场中的定位和长期发展目标,有针对性地制定激励方案避免过度激励造成成本浪费。

Figure 3. The impact of platform incentive costs on system evolution

3. 平台激励成本对系统演化的影响

5.4. 技术互补程度以及共同收益对系统演化的影响

通过数值仿真得到 λ R 变动对三方竞合策略演化结果的影响,如图4所示。结果表明,当平台企业与互补商的技术、资源互补程度越高时,会加快博弈方的策略组合向(1, 1, 1)演化的速度;当三方协同创新的收益增加时,同样也会影响弈方的策略组合向(1, 1, 1)演化的速度。相对于平台企业和互补商,技术互补程度 λ 和共同收益 R 对于用户的影响程度更大。平台企业与互补商的技术、资源互补程度越高,意味着双方能整合各自优势,为用户提供更优质、多样化的服务。协同收益的提高也会使平台企业和互补商有更多资金投入去优化产品或服务。产品或服务水平的提高直接影响了用户的消费体验,而平台企业和互补商在前期投入大量的成本,需要一定的利润积累才能感知到变化。

5.5. 市场接受度对系统演化的影响

通过数值仿真得到 α 变动对三方竞合策略演化结果的影响,如图5所示。结果表明,市场接受度的提高会导致平台企业选择异质平台策略的速度变快、互补商选择异质产品策略的速度变快、用户选择购买策略的速度变快;市场接受度 α 的变化对平台企业和互补商的策略选择影响较大,对用户的影响较小。 α 的不断增大意味着用户异质性需求程度越强,用户倾向于购买多样化产品、技术或服务,而用户的

Figure 4. The impact of Degree of technological complementarity and mutual benefit on system evolution

4. 技术互补程度以及共同收益对系统演化的影响

Figure 5. The impact of market acceptance on system evolution

5. 市场接受度对系统演化的影响

大量涌入会激发较强的网络效应,促使平台企业和互补商希望抓住创新平台生态系统内的商机,因此平台企业和互补商会加速选择开发异质性产品或服务。

5.6. 投机收益和机会成本对系统演化的影响

通过数值仿真得到 F 1 F 2 F 3 N 1 N 2 N 3 变动对三方竞合策略演化结果的影响,如图6所示。结果表明,投机收益的增加会导致平台企业最终选择同质平台策略,互补商选择同质产品策略,用户选择不购买策略。机会成本的降低会减缓平台企业向异质平台演化的速度,减缓互补商向异质产品演化的速度,减缓用户向购买策略演化的速度。博弈方自身投机收益和机会成本的变化对自己的策略选择影响较大,对其他博弈方影响较小。

Figure 6. The impact of speculative gains and opportunity costs on system evolution

6. 投机收益和机会成本对系统演化的影响

各主体投机收益的增加代表着各主体可能会将更多的资源投入到投机活动中,放弃与其他参与主体协同创新,这不利于主体间竞合关系的良性演化,故创新平台生态系统可以通过设置惩罚成本来监督每个主体的策略选择,减少投机行为。各主体机会成本的减少代表着多主体协同创新的动力降低。对于平台企业来说,机会成本降低意味着选择异质平台的潜在收益减少,平台企业会衡量每个策略选择的成本和收益,会在异质平台策略选择上犹豫不决。类似地,互补商和用户也会考虑到合作收益的减少,进而减慢自身向合作策略的演化速度。

5.7. 额外损失对系统演化的影响

通过数值仿真得到 J 1 J 2 J 3 变动对三方竞合策略演化结果的影响,如图7所示。结果表明,当平台企业选择同质平台策略的额外损失越大时,平台企业向异质平台策略演化的速度变快;当互补商选择同质产品策略的额外损失越大时,互补商向异质产品策略演化的速度变快;当用户选择不购买策略的额外损失越大时,用户向购买策略演化的速度变快。因此,平台企业、互补商和用户需要通过协同策略降低三方的额外损失,平台企业可以通过数据分析帮助互补商精准识别产品同质化风险,并为用户提供

Figure 7. The impact of additional loss on system evolution

7. 额外损失对系统演化的影响

免费体验等活动减少用户的试错成本。互补商可以借助平台数据加速研发异质产品或服务,满足用户多样化需求,降低用户放弃购买的概率。而用户也可通过体验反馈帮助平台企业和互补商更好了解市场需求,以便及时优化产品或服务。三方主体协同合作可以促进其竞合关系的良性演化,从而增强创新平台生态系统的稳定性。

6. 结论与建议

6.1. 结论

本研究主要结论如下:

(1) 当平台企业、互补商和用户的竞合策略达到(异质平台,异质产品,购买)时,多主体间的竞合关系处于理想的均衡状态。

(2) 平台企业、互补商技术成本投入的提高以及技术创新能力的降低,均不利于三方主体的竞合策略向理想均衡状态方向演化。大量的三方协同收益和较高的技术资源互补水平有利于平台企业、互补商和用户竞合策略向理想均衡状态方向演化。

(3) 平台企业的激励措施能够提高互补商和用户的合作意愿,但投机收益的提高也会导致平台企业采取同质平台策略,互补商选择同质产品策略,用户选择不购买策略。信任、信誉损失的增加会加快平台企业、互补商和用户竞合策略向策略集(异质平台,异质产品,购买)方向演化,各主体应谨慎考虑不同策略选择下的收益和损失。

(4) 平台企业、互补商和用户的策略选择也会受到市场接受度和机会成本的影响。当用户对于异质性产品或服务接受度越高时,平台企业和互补商会加强合作,共同丰富创新平台生态系统的多样化功能。此外,较高的机会成本也会导致各主体倾向合作策略,避免产生一些潜在损失。

6.2. 建议

本研究针对平台企业、互补商和用户的竞合策略选择提出相关建议,以期促进创新平台生态系统的平稳发展。

在创新平台生态系统中,平台企业应快速吸引互补商和用户的加入,并与其建立长期合作的关系。具体来说,平台企业需要围绕底层算法、技术架构等核心技术加大研发投入,不断优化平台界面,降低互补商的准入门槛以及提高用户的使用流畅度。同时,平台企业应针对互补商、用户制定灵活性的激励机制,例如资金支持、流量倾斜等,通过这些措施吸引互补商和用户加入,实现网络效应正循环。此外,平台企业可以加强创新平台生态系统参与企业间的交流互动,如技术研讨、资源交互、合作攻关等,深入了解用户端的需求,反向刺激互补商的创新研发,提高产品或服务在市场上的接受度。

在创新平台生态系统中,互补商需要判断与平台企业的业务匹配度和价值观契合度,选择与其相配的平台企业进行合作。面对平台企业的技术标准要求,互补商需要积极投入研发成本以提升平台适配能力与技术创新能力。同时,互补商充分利用平台企业的补贴和激励政策,以低成本开展符合市场需求的互补性创新活动,快速成长为创新平台生态系统的重要参与者。此外,互补商需要重视产品或服务的质量,加强自身的品牌建设,以提高互补商在市场上的信誉度。

在创新平台生态系统中,用户首先需要准确理解创新平台生态系统的新产品或功能,衡量这些产品或功能是否满足自身实际需求,规避因认知偏差或决策失误导致的非必要成本。其次,用户需要积极参与创新平台生态系统的创新活动,例如产品测试、社区讨论等,向平台企业和互补商反馈使用体验和改进建议,促进技术创新和产品优化,间接提升平台企业和互补商的合作稳定性。

本研究基于演化博弈和数值仿真法分析了技术创新能力、技术资源互补度、平台激励、市场接受度以及相关收益成本等参数对平台企业、互补商和用户竞合关系的影响机理,对于创新平台生态系统下三方主体如何通过竞合博弈实现价值创造具有现实指导意义。由于时间和能力限制,本研究还存在一定局限有待今后的研究进一步解决,一方面,本研究在构建演化博弈模型过程中,未考虑政府政策对主体间竞合关系的影响,然而政府的行为决策会对三方主体的竞合策略选择造成一定的影响,未来研究可将政府作为博弈主体加入演化博弈模型;另一方面,本研究是依据专家意见以及相关参考文献对参数进行赋值,可能存在一定的理想性,未来可以结合企业实际运营情况获取一手数据,使仿真结果更具有参考意义。

参考文献

[1] Barile, S., Simone, C., Iandolo, F. and Laudando, A. (2022) Platform-Based Innovation Ecosystems: Entering New Markets through Holographic Strategies. Industrial Marketing Management, 105, 467-477.
https://doi.org/10.1016/j.indmarman.2022.07.003
[2] Gawer, A. (2014) Bridging Differing Perspectives on Technological Platforms: Toward an Integrative Framework. Research Policy, 43, 1239-1249.
https://doi.org/10.1016/j.respol.2014.03.006
[3] 王节祥, 衡予婧, 胡乾韬, 等. 数字平台与集群企业价值共创的演进机制[J]. 管理评论, 2024, 36(11): 274-288.
[4] 钟琦, 杨雪帆, 吴志樵. 平台生态系统价值共创的研究述评[J]. 系统工程理论与实践, 2021, 41(2): 421-430.
[5] 李宇, 历娇楠. 平台所有者进入互补市场对平台互补企业创新的影响机制[J]. 科技管理研究, 2024, 44(22): 102-112.
[6] 马蔷, 李雪灵, 刘京, 等. 数据资源对企业竞合战略选择的影响机理研究——基于平台理论的多案例研究[J]. 经济管理, 2018, 40(2): 37-54.
[7] 郭元源, 陈意锒, 池仁勇. 与鲨鱼共游: 合法性视角下边缘互补者竞合感知对价值创造的影响研究[J]. 研究与发展管理, 2024, 36(1): 80-93.
[8] Boudreau, K.J. and Jeppesen, L.B. (2014) Unpaid Crowd Complementors: The Platform Network Effect Mirage. Strategic Management Journal, 36, 1761-1777.
https://doi.org/10.1002/smj.2324
[9] Zhu, F. and Liu, Q. (2018) Competing with Complementors: An Empirical Look at Amazon.Com. Strategic Management Journal, 39, 2618-2642.
https://doi.org/10.1002/smj.2932
[10] Nalebuff, B.J. and Brandenburger, A.M. (1997) Co-Opetition: Competitive and Cooperative Business Strategies for the Digital Economy. Strategy & Leadership, 25, 28-33.
https://doi.org/10.1108/eb054655
[11] 魏江, 曹建萍, 焦豪. 基于竞合理论的集群企业技术能力整合机理研究[J]. 科学学与科学技术管理, 2008(6): 135-141.
[12] 马蔷, 李雪灵, 刘京, 等. 数据资源对企业竞合战略选择的影响机理研究——基于平台理论的多案例研究[J]. 经济管理, 2018, 40(2): 37-54.
[13] 张宇飞, 张雅文. 竞合理论下的东北地区冰雪产业协同发展与差异化营销策略[J]. 辽宁体育科技, 2021, 43(2): 6-11.
[14] 李庆雪, 张迎新, 兰仲伟, 等. 先进制造企业与服务提供商竞合策略演化博弈分析[J/OL]. 计算机集成制造系统, 1-19.
https://doi.org/10.13196/j.cims.2024.0167, 2025-03-25.
[15] 刘静. 创新生态系统内平台型企业竞合演化研究[J]. 全国流通经济, 2024(17): 105-108.
[16] 孙新波, 张媛, 王永霞, 等. 数字价值创造: 研究框架与展望[J]. 外国经济与管理, 2021, 43(10): 35-49.
[17] 关新华, 谢礼珊. 价值共毁: 内涵、研究议题与展望[J]. 南开管理评论, 2019, 22(6): 88-98.
[18] Hein, A., Schreieck, M., Riasanow, T., Setzke, D.S., Wiesche, M., Böhm, M., et al. (2020) Digital Platform Ecosystems. Electronic Markets, 30, 87-98.
https://doi.org/10.1007/s12525-019-00377-4
[19] Wang, C.H., Chang, C. and Lee, Z.C.R. (2022) Business-to-Business Platform Ecosystem Practices and Their Impacts on Firm Performance: Evidence from High-Tech Manufacturing Firms. Journal of Manufacturing Technology Management, 33, 1005-1026.
https://doi.org/10.1108/jmtm-07-2021-0253
[20] 李佳, 冯天丽, 万代彬. 战略行动场域理论研究新进展[J]. 外国经济与管理, 2023(11): 1-15.
[21] Chen, Y. and Sun, Y. (2021) Determinants of Platform Ecosystem Health: An Exploration Based on Grounded Theory. Journal of Business Economics and Management, 22, 1142-1159.
https://doi.org/10.3846/jbem.2021.15047
[22] 高举红, 张芯睿. C2M平台生态系统价值共创演化博弈分析[J]. 天津大学学报(社会科学版), 2023, 25(5): 426-441.
[23] Panico, C. and Cennamo, C. (2020) User Preferences and Strategic Interactions in Platform Ecosystems. Strategic Management Journal, 43, 507-529.
https://doi.org/10.1002/smj.3149
[24] 何琦, 胡斌, 王如意. 平台动态激励、消费采纳与数字内容创新——基于三方主体演化博弈分析[J]. 运筹与管理, 2022, 31(9): 41-48.