一种低剖面轻量化星载薄膜C/X双频反射阵列天线
A Low-Profile Lightweight Spaceborne Thin-Film C/X Dual-Band Reflectarray Antenna
DOI: 10.12677/ja.2026.151001, PDF, HTML, XML,   
作者: 窦栋新:中国科学院空天信息创新研究院,北京;中国科学院电气电子与通信工程学院,北京;王 楠*:中国科学院空天信息创新研究院,北京
关键词: 双频段单层轻量化反射阵列天线Dual-Band Single-Layer Lightweight Reflectarray Antenna
摘要: 本文提出了一种用于卫星通信的轻型星载C/X双频段薄膜反射阵列天线,该天线设计在厚度为20 μm的聚酰亚胺薄膜上。该双频段反射阵列单元由一个工作在C频段的单元和四个工作在X频段的相同单元组成,所有单元均设计在同一层上。C频段单元为2 × 2网格状结构,由四个非封闭矩形框架构成。四个X频段单元分别部署在C频段单元的每个网格中,每个X频段单元由一个圆环和两个呈中心对称分布的弧形分支组成。由于采用了聚酰亚胺薄膜基板,该反射阵列天线的重量仅为0.57 kg/m2。此外,该天线具有低剖面,电尺寸为15.53 λL × 15.53 λL × 0.07 λL,其中λL为最大波长(对应于最低频率)。我们制作并测量了反射阵列天线的原型,其在4.6 GHz和9 GHz频率下分别实现了29.98 dBi和35.63 dBi的峰值增益、32.1%和30.8%的孔径效率以及10.9%和19%的带宽。
Abstract: In this paper, we present a lightweight spaceborne C/X dual-band thin-film reflectarray antenna for satellite communication, which is designed on a polyimide film with a thickness of 20 μm. The dual-band reflectarray unit consists of one element operating in C-band and four identical elements operating in X-band, which are designed on the same layer. The C-band element is a 2 × 2 grid-like structure composed of four non-closed rectangular frames. Four X-band elements are respectively deployed in each grid of the C-band element, each of which consists of a circular ring and two arc-shaped branches distributed in central symmetry. With the polyimide film substrate, the reflectarray antenna achieves a light weight of 0.57 kg/m2. Furthermore, the antenna has a low profile with an electrical dimension of 15.53 λL × 15.53 λL × 0.07 λL, where λL is the largest wavelength (corresponding to the lowest frequency). A prototype of the reflectarray antenna is fabricated and measured, which reaches peak gains of 29.98 dBi and 35.63 dBi, aperture efficiencies of 32.1% and 30.8%, with bandwidths of 10.9% and 19% at 4.6 GHz and 9 GHz, respectively.
文章引用:窦栋新, 王楠. 一种低剖面轻量化星载薄膜C/X双频反射阵列天线[J]. 天线学报, 2026, 15(1): 1-11. https://doi.org/10.12677/ja.2026.151001

1. 引言

高增益天线是卫星通信、合成孔径雷达(SAR)以及深空探测等任务的关键组成部分。随着对成像分辨率与数据传输速率需求的持续提升,天线口径不断增大,使得天线质量与发射体积成为系统设计中的关键约束。为在热扰动与动力学扰动条件下维持亚毫米级的表面均方根(RMS)精度,传统抛物面与反射面通常需要采用刚性复合材料背板或加强肋结构加固[1] [2]。因此,这类体积庞大的反射面在收拢存储时往往依赖复杂的展开机构与重型桁架结构,显著增加了发射质量与系统实现复杂度[3]-[5]

为降低上述代价,基于膜材料的天线因其低面密度与高封装效率而成为一种极具潜力的替代方案[6]。从发展历史来看,膜结构技术最早在表面精度要求相对不敏感的非通信大型航天结构中得到成熟应用。例如,面向无推进剂航天推进的太阳帆任务——JAXA的IKAROS以及LightSail-2——在轨验证了大尺度柔性结构的展开与姿态/形状控制能力[7]-[10]。此外,基于膜材料的遮阳帆与阻力帆也已广泛用于热控与空间碎片减缓,形成了柔性材料在轨应用的可靠飞行验证基础[11] [12]

在卫星通信薄膜天线中,超薄聚合物薄膜与织物增强膜等柔性基底被用于提升折叠能力与可实现口径。超薄聚酰亚胺与聚酯薄膜因其轻质特性以及对空间环境适应性的优势,被用于空间天线以降低系统质量并兼顾环境约束[13]。然而,薄膜天线要同时满足高频段工作、高增益与高精度面形控制仍面临显著挑战[14]。Kang等人基于三轴编织织物增强硅橡胶(TWFS)研制了口径为0.6 m的柔性反射面天线,并在K/Ka频段实现了约30 dBi的增益[15]。此外,采用反射面与支撑框架的高增益卡塞格伦天线在K/Ka频段可实现38~42 dBi的增益,但其系统质量可高达2.6 kg,难以满足小卫星平台对质量与体积的严苛限制[16]。总体而言,面向卫星通信的薄膜/膜天线在高频工作能力、增益水平、面形精度、环境耐久性与在轨展开控制等方面仍存在瓶颈;当前研究正聚焦于发展更轻量、更稳定且电磁性能具有鲁棒性的薄膜天线技术,以满足未来卫星通信任务需求。

本文提出了一种单层、轻量化的星载C/X双频薄膜反射阵列天线方案。该结构在同一层上集成一个C频段单元与四个X频段单元:其中,C频段单元采用由四个非封闭矩形框组成的2 × 2网格结构;四个X频段单元分别置于C频段网格的每个子网格内,每个X频段单元由一个圆环及两条中心对称分布的弧形分支构成。通过镜像对称的孔径排布与双圆锥角馈源设计,实现了对交叉极化的有效抑制。原型天线采用聚酰亚胺覆铜薄膜与PMI泡沫芯材构建,形成15.53 λL × 15.53 λL的口径以及0.07 λL的总厚度,其中λL为最大波长(对应最低工作频率)。该设计实现了超低面密度0.57 kg/m2,相较于传统PCB反射阵列具有显著减重优势。

2. 反射阵列天线设计

2.1. C-X最小单元设计

本文提出的双频折射反射面单元如图1(c)所示,其在聚酰亚胺薄膜上集成了一个C波段单元和四个X波段单元。该聚酰亚胺基板的相对介电常数 ε r =3.4 ,损耗角正切  tanδ=0.002 。为实现超轻薄的薄膜剖面,聚酰亚胺层的厚度设定为20 μm。为兼顾耐用性与稳定的电气性能,顶层表面镀有2 μm厚的镍金(Ni-Au)层,底层则采用覆铜聚酰亚胺层作为接地板,同时保持了结构的机械柔韧性。每个单元呈正方形,周期 P=32 mm (分别对4.6 GHz处 0.491 λ Lower 以及9 GHz处的 0.96 λ Higher )。如图1(a)所示,在C波段单元中,低频相移通过改变长度 L 2 来控制。如图1(b)所示,在X波段单元中,所需的高频相位范围是通过调节相位延迟线的旋转角度 θ 来实现的。为了满足重量和表面精度的约束,采用4.5 mm厚的PMI泡沫层( ε r 1.05tanδ0.0016~0.003 )作为介质材料,将薄膜粘合到支撑基板上。图1(c)展示了最小集成C/X波段单元,图1(d)则展示了阵列的分级结构。本设计对单元几何尺寸进行了联合优化,以实现在4.6 GHz和9 GHz处良好的阻抗匹配。天线的详细尺寸参数汇总于表1中。

Figure 1. Structure of the proposed dual-band reflectarray unit. (a) C-band element; (b) X-band element; (c) Dual-band reflectarray unit; (d) Hierachical structure

1. 所提出的双频反射阵列单元结构。(a) C波段单元;(b) X波段单元;(c) 双频反射阵列单元;(d) 分层结构

Table 1. Minimum element geometric parameters

1. 最小单元几何参数

参数

参数

P

32 mm

L1

31 mm

L2

2.5~13.5 mm

R1

4.5 mm

R2

5 mm

R3

6 mm

W1

0.5 mm

W2

0.7 mm

W3

0.3 mm

d

1 mm

θ

20˚~140˚

h2

0.02 mm

h1

0.025 mm

g

4.5 mm

并且在双频正交极化反射阵天线中,降低交叉极化水平是实现高性能辐射特性的基本前提。为抑制传统阵列布局中常见的较高交叉极化,本研究采用文献[17]提出的镜像对称排布方式。如图2所示,相邻单元在整个孔径范围内按镜像关系进行布置,从而在远区实现交叉极化场分量的相互抵消。全波仿真结果表明,该排布可使交叉极化水平降低约15 dB,同时伴随增益的明显提升,因此该拓扑布局被合理地引入并应用于本文所提出的设计中。

Figure 2. Arrangement of 2 × 2 elements with mirroring

2. 2 × 2镜像单元结构

2.2. 平面反射阵列的设计

Figure 3. Schematic diagram of a planar reflectarray

3. 平面反射阵原理图

反射阵列相位单元在馈源喇叭的照射下,通过反射机制工作,并将入射电磁场(EM)重新辐射到空间中。其反射机制的原理如图3所示。如图3所示,由于各个单元在反射阵列口面上的坐标位置不同,从馈源发出的电磁波到达每个单元时具有不同的相位。为了将反射场引导至特定的期望方向,必须利用单元自身的反射相位来补偿这些与位置相关的相位延迟。因此,第i个单元所需的相位分布 ϕ R ( x i , y i ) 可由下式(1) (2)表示:

ϕ R ( x i , y i )= k 0 [ d i ( cos ϕ b x i +sin ϕ b y i )sin θ b ] (1)

d i = ( x i x f ) 2 + ( y i y f ) 2 + ( z i z f ) 2 (2)

对于中心馈电且主波束指向z轴的反射阵(即波束指向阵面法向),式(1)可化简为:

ϕ R ( x i , y i )= k 0 d i (3)

其中,k₀ = 2π/λ₀表示自由空间波数,λ₀为自由空间波长;(xf, yf, zf)为馈源天线相位中心的坐标。在获得所需的阵面相位分布后,可通过建立单元几何尺寸与反射相位之间的对应关系,从而确定每个反射阵单元的物理尺寸,以实现目标反射相位。本文采用方形平面反射阵结构,阵面由16 × 16个C频段单元与64 × 64个X频段单元构成。除单元数量外,阵列性能还受到馈电方式、焦距与口径之比(F/D)等参数影响。本文中,馈源相位中心到阵面中心的距离取F = 664 mm,对应的焦径比为F/D = 0.63。图4是MATLAB中理想条件下对平面反射阵的相位情况。

(a) (b)

Figure 4. Simulated reflection phase distributions of the planar reflectarray at different operating frequencies (MATLAB simulation). (a) Reflection phase distribution of the planar reflectarray at 4.6 GHz; (b) Reflection phase distribution of the planar reflectarray at 9 GHz

4. 平面反射阵在不同工作频率下的反射相位分布(MATLAB仿真)。(a) 4.6 GHz下平面反射阵的反射相位分布;(b) 9 GHz下平面反射阵的反射相位分布

图5所示,由于采用了金属接地,低频相位响应主要由L2决定,而高频响应则取决于相位延迟角θ。两个频段的相移角度均且大于等于360˚,且反射幅度始终优于−0.52 dB。这种高度的相位稳定性证明了该单元能够在复杂的馈电环境下提供准确的相位补偿,从而确保远场波束在预定焦点处高效聚焦。

Figure 5. Reflected phase (solid) and amplitude (dashed) responses under normal incidence in the C-band and X-band

5. C波段和X波段下,垂直入射时的反射相位(实线)和振幅(虚线)响应

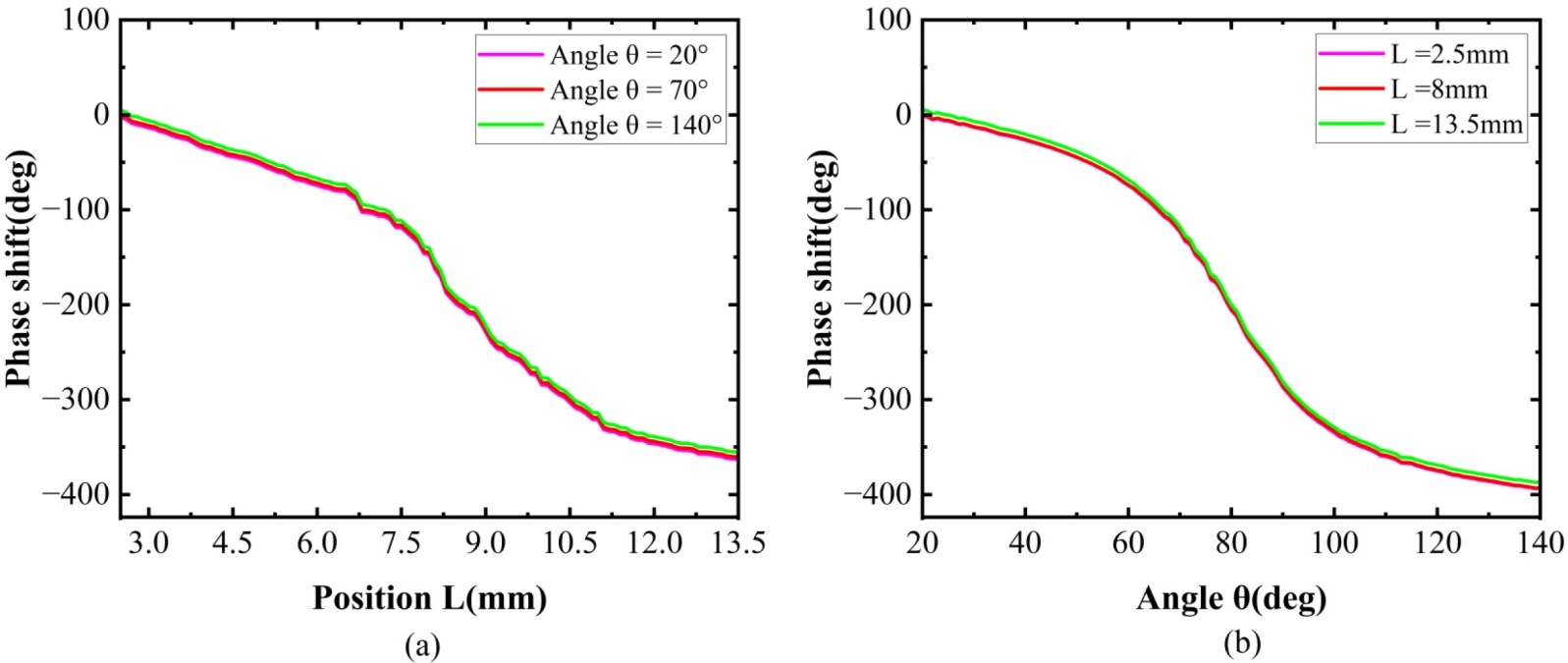
为了验证C/X双频段反射阵单元在调相过程中的独立性,本文对单元进行了交叉参数扫描分析。如图6所示,在4.6 GHz频率下,当C频段单元的调相长度L2在2.5 mm至13.5 mm范围内变化时,选取X频段单元的三组代表性旋转角(θ = 20˚, 70˚, 140˚)进行仿真。结果显示,不同旋转角度下的相移曲线高度重合,表明X频段的状态对C频段的相位响应几乎没有干扰。同理,在9 GHz频率下,当X频段单元的旋转角θ在20˚至140˚范围内调节时,改变C频段单元的长度L2 (2.5 mm, 8 mm, 13.5 mm),其相移响应同样保持一致。这种良好的解耦性能得益于C频段网格结构与X频段圆环分支在物理尺寸上的显著差异以及单层空间的正交布局。仿真结果证明了该单元能够实现双频段反射相位的独立、精确控制,为高效率共享孔径设计奠定了基础。

Figure 6. Effect of the coupling on the phase response of the element. (a) Phase response at 4.6 GHz for different θ values; (b) Phase response at 9 GHz for different L2 values

6. 耦合对元件相位响应的影响。(a) 4.6 GHz时不同θ值的相位响应;(b) 9 GHz时不同L2值的相位响应

2.3. 馈源天线设计

C频段馈源采用RM-CHA187-15圆锥喇叭天线并与WR187波导连接,其口径为110.1 mm、锥段长度为162 mm,3 dB波束宽度为36˚。X频段馈源采用RM-CHA90-15圆锥喇叭天线并与WR90波导连接,其口径为68.2 mm、锥段长度为90 mm,3 dB波束宽度为30˚。

两频段馈源均沿阵面法向布置,其相位中心坐标设为(xf, yf, zf) = (0, 0, 664 mm),与上述焦径比保持一致。C波段馈源天线的E面与H面的方向图如图7(a)所示,X波段馈源天线的E面与H面的方向图如图7(b)所示。

Figure 7. Feed antenna radiation pattern. (a) C-band feed antenna radiation pattern; (b) X-band feed antenna radiation pattern

7. 馈源天线方向图。(a) C波段馈源天线方向图;(b) X波段馈源天线方向图

3. 天线实物与性能测试

3.1. 天线实物图

平面反射阵列天线实物图如图8所示,实际尺寸为1024 mm × 1024 mm。图9为反射阵列天线在暗室实测图,通过不同的馈源喇叭天线进行馈电。其中该图为反射阵面天线在X波段进行测试。

Figure 8. Manufactured reflectarray

8. 制造完成的反射阵列天线

Figure 9. X-band feed antenna radiation pattern

9. X波段场测试示意图

3.2. 性能测试与误差分析

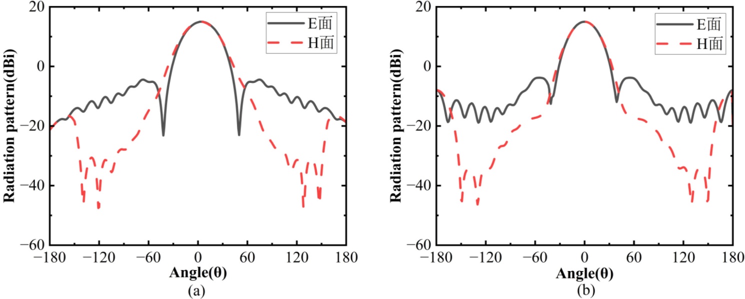
图10所示,测得的辐射特性与仿真结果高度吻合。图10分别展示了4.6 GHz和9 GHz下的仿真和实测归一化辐射方向图。在4.6 GHz时,交叉极化和旁瓣电平分别约为−27 dB和−19 dB;而在9 GHz时,这些电平分别约为−37 dB和−26 dB。在C波段范围内,交叉极化和旁瓣电平分别低于−24 dB和−14 dB。相比之下,在X波段范围内,交叉极化和旁瓣电平分别低于−32 dB和−15 dB。结果表明主波束和第一旁瓣区域的测量值与仿真值非常吻合。然而,在±10˚范围内,仿真值和测量值之间存在偏差。这种差异主要归因于柔性薄膜天线在实际安装环境中的物理形变。由于该天线采用了厚度仅20 μm的超薄聚酰亚胺薄膜,且面密度极低(0.57 kg/m2),导致其整体结构刚度较低。在地面试验环境下,受重力影响,薄膜表面会产生微小的物理下垂(Sagging)。这种形变导致反射阵列单元偏离了其理想的平面位置,从而引入了额外的传播路径长度 Δz( x,y ) 。根据反射阵列的相位补偿原理 ϕ R =k 0 d i ,位置偏移导致的相位误差 Δϕ 可表示为:

Δϕ= k 0 Δz( x,y )( 1+cos θ i ) (4)

这种非均匀分布的相位偏差会破坏口面相位的相干叠加,具体影响包括:波束展宽与指向偏移:(1)物理下垂引起的非线性相位梯度会导致主瓣附近的辐射模式发生畸变。(2) 相位中心偏移:馈源喇叭与变形后的薄膜阵面之间的相对几何关系发生了微调,导致实际等效焦距与原设计 F=664 mm 产生偏差。并且因为其在工装方面采用的为铝合金边框,其对电磁波能量具有一定损耗,最后暗室中也存在固体噪声,以上因素构成了辐射特性出现偏差。

本文在表2展示了所提出的C/X双频薄膜反射阵列天线在两个中心频段的效率分项指标。通过对总孔径效率 η ap 进行分解可知,其由溢出效率 η sp 、照射效率 η ill 、极化效率 η pol 、单元反射效率 η refl 以及相位误差效率 η phase 的乘积决定。其可表示为:

η ap = η sp η ill η pol η refl η phase (5)

Table 2. Efficiency breakdown of the C/X dual-band thin-film reflectarray antenna at two center frequency bands

2. C/X双频薄膜反射阵列天线在两个中心频段的效率分项指标

频段

f/GHz

HPBW

q

η sp

η ill

η pol

η refl

η phase

η ap

C

4.6 GHz

36˚

13.8

98.1%

68.5%

99.8%

89.2%

53.6%

32.1%

X

9 GHz

30˚

16.5

99.6%

55.2%

99.9%

88.2%

63.5%

30.8%

计算结果表明,天线在4.6 GHz和9 GHz处的总孔径效率分别为32.1%和30.8%。分析各项指标发现,相位误差效率 η phase 是限制总效率提升的主要瓶颈,在两个频段仅为53.6%和63.5%。这直接印证了上述重力下垂导致的相位失配影响。此外,照射效率 η ill 的差异反映了不同频段馈源波束特性与焦径比(F/D = 0.63)的匹配情况:X频段由于馈源等效因子q值较大(16.50),波束较窄,虽然提升了溢出效率(99.6%),但导致阵面照射均匀性下降,使得其照射效率(55.2%)低于C频段。单元反射效率 η refl 略低于90%,反映了薄膜基板介质损耗与金属欧姆损耗的综合影响。并且后续在轨环境下由于微重力状态,物理下垂将消失,效率预计会提升。值得注意的是,在轨微重力环境下物理下垂将消失,预计天线效率会进一步提升。未来可通过引入预应力张拉机构或优化馈源照射角来改善溢出效率。综上所述,虽然轻量化设计在一定程度上折损了效率,但其极低的面密度(0.57 kg/m2)使其在星载大规模可展开应用中具有显著的工程优势。

Figure 10. Measured and simulated normalized radiation patterns at 4.6 GHz. (a) Azimuth plane; (b) Elevation plane and Measured and simulated normalized radiation patterns at 9 GHz; (c) Azimuth plane; (d) Elevation plane

10. 4.6 GHz频率下的实测和仿真的归一化辐射方向图。(a) 方位向;(b) 俯仰向和9 GHz频率下的实测和仿真的归一化辐射方向图;(c) 方位向;(d) 俯仰向

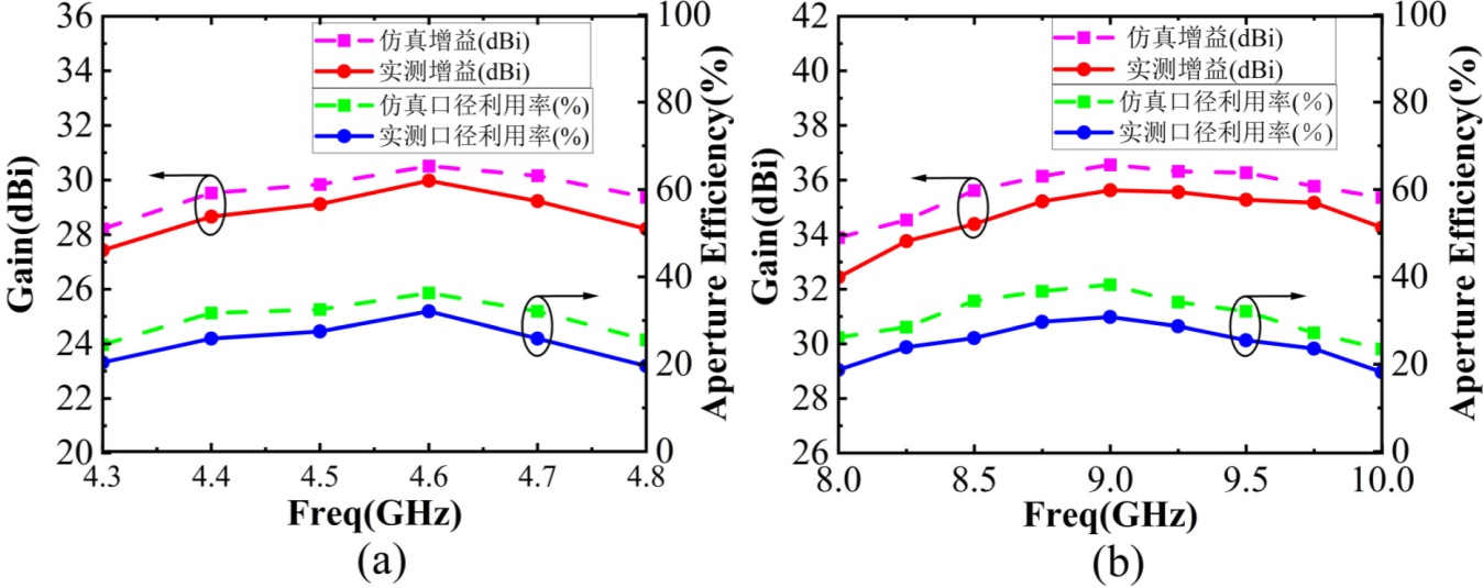
图11展示了所提出的天线在C波段和X波段的仿真和实测增益及孔径效率。结果表明,实测值与仿真值基本一致。在C波段,该天线在4.6 GHz频率下实现了29.98 dBi的峰值实测增益和30.51 dBi的峰值仿真增益。C波段的孔径效率仿真值为36.3%,实测值为32.1%。在X波段,该天线在9.0 GHz频率下实现了36.56 dBi的峰值实测增益和35.63 dBi的峰值仿真增益,孔径效率仿真值为38.2%,实测值为30.8%。

Figure 11. Simulated and measured gain and aperture efficiency. (a) C-band; (b) X-band

11. 模拟和实测增益及孔径效率。(a) C波段;(b) X波段

表3比较了所提出的天线与已有的反射阵列天线的特性。所提出的天线具有高增益和低面密度,表明它在确保不影响性能的情况下实现了轻量化设计。

Table 3. Comparison of dual-band shared-aperture antennas

3. 双频共用口径天线的比较

参数

[18]

[19]

[20]

This work

Freq. ratio

1.5 (20/30 GHz)

2.4 (12.45/30 GHz)

1.86 (3.8/7.1 GHz)

1.95 (4.6/9 GHz)

Dimension ( λ L 3 )

12 × 12 × 0.3

14.1 × 14.1 × 0.52

3.17 × 3.17 × 0.13

15.53 × 15.53 × 0.07

Gain (dB)

28.5/32.3(20/30 GHz)

25.6/32.1(12.45/30 GHz)

16.1/18.6(3.8/7.1 GHz)

29.98/35.63 (4.6/9 GHz)

Aperture efficiency (%)

39.1/41.3

14.5/15.6

32.3/16.5

32.1/30.8

3 dB gain bandwidth (%)

5/3.3

14.4/11.8

12.7/11.9

10.9/19

Areal density (kg/m2)

1.2

0.8

0.97

0.57

Freq. ratio

1.5 (20/30 GHz)

2.4 (12.45/30 GHz)

1.86 (3.8/7.1 GHz)

1.95 (4.6/9 GHz)

4. 小结

本文提出一种双频单层平面反射阵天线单元,其结构由对称方环与相位调谐臂构成。高频辐射结构集成于低频辐射单元内部,从而实现共享孔径的双频工作。通过调节方环的几何参数并旋转相位调谐臂(在不改变单元周期的条件下)实现双频反射相位分布的精确控制。加工并测试的样机在4.6 GHz与9 GHz处的峰值增益分别为29.98 dBi和35.63 dBi,对应的孔径效率分别为32.1%和30.8%。其3 dB增益带宽在低频段与高频段分别达到10.9%和19%。此外,样机面密度为0.57 kg/m2,验证了该设计在轻量化应用场景中的可行性与工程适用性,在星载卫星天线轻量化应用发展方面具有重要意义。

NOTES

*通讯作者。

参考文献

[1] Duan, B. (2020) Large Spaceborne Deployable Antennas (LSDAs)—A Comprehensive Summary. Chinese Journal of Electronics, 29, 1-15. [Google Scholar] [CrossRef
[2] Li, M., Li, M., Liu, Y., Geng, X. and Li, Y. (2022) A Review on the Development of Spaceborne Membrane Antennas. Space: Science & Technology, 2022, Article ID: 9803603. [Google Scholar] [CrossRef
[3] Ma, X., Li, T., Ma, J., Wang, Z., Shi, C., Zheng, S., et al. (2022) Recent Advances in Space-Deployable Structures in China. Engineering, 17, 207-219. [Google Scholar] [CrossRef
[4] Reda, I., Elghandour, M. and Elshaer, A.M. (2023) Basic Principles and Mechanical Considerations of Satellites: A Short Review. Journal of Spacecraft and Rockets, 60, 1-12.
[5] Seo, S. and Han, M. (2025) A Review on Deployable Structures in Space Industry. International Journal of Precision Engineering and Manufacturing-Smart Technology, 3, 83-96. [Google Scholar] [CrossRef
[6] Shinde, S.D. and Upadhyay, S.H. (2021) The Novel Design Concept for the Tensioning System of an Inflatable Planar Membrane Reflector. Archive of Applied Mechanics, 91, 1233-1246. [Google Scholar] [CrossRef
[7] Zhao, P.Y., Wu, C.C. and Li, Y.M. (2023) Design and Application of Solar Sailing: A Review on Key Technologies. Chinese Journal of Aeronautics, 36, 125-144. [Google Scholar] [CrossRef
[8] Matsushita, M., Chujo, T., Matsumoto, J., et al. (2021) Solar Power Sail Membrane Prototype for OKEANOS Mission. Advances in Space Research, 67, 2899-2911. [Google Scholar] [CrossRef
[9] Mansell, J.R., Bellardo, J.M., Betts, B., Plante, B. and Spencer, D.A. (2023) Lightsail 2 Solar Sail Control and Orbit Evolution. Aerospace, 10, Article 579. [Google Scholar] [CrossRef
[10] Mori, O., Sawada, H., Funase, R., Morimoto, M., et al. (2011) First Solar Power Sail Demonstration by IKAROS. Transactions of the Japan Society for Aeronautical and Space Sciences, 8, 25-31. [Google Scholar] [CrossRef
[11] Johnson, L., Castillo-Rogez, J., Cohen, B. and McNutt, R. (2019) NASA’s Near Earth Asteroid Scout Solar Sail Mission. Acta Astronautica, 161, 495-503.
[12] Balaji, S.S., Sinha, M. and Kumar, R. (2022) Review of Deployable Drag Sail Technologies for Space Debris Mitigation. Advances in Space Research, 70, 2685-2703.
[13] Hu, Y., Guo, R., Qiao, E. and Chen, W. (2025) An Experimental and Numerical Comparison of the Mechanical Characteristics of a Space Inflatable Antenna Reflector Made with Kapton and Mylar Films. Aerospace, 12, Article 853. [Google Scholar] [CrossRef
[14] Liu, X. and Cai, G. (2024) Review of Dynamics and Active Control of Large-Scale Space Membrane Antenna. Astrodynamics, 8, 1-26. [Google Scholar] [CrossRef
[15] Mistry, K.K., Kushwaha, M., Fellows, D., Huang, T., Reveles, J., Hamer, S., et al. (2021) A Dual-Band Deployable Cassegrain Reflector Antenna for Space Applications. 2021 15th European Conference on Antennas and Propagation (EuCAP), Dusseldorf, 22-26 March 2021, 1-5. [Google Scholar] [CrossRef
[16] Gurbet, Y.S. and Doğu, S. (2026) Comprehensive Review of Ku, K, and Ka Band Antenna Designs: Applications in CubeSats. International Journal of Aeronautical and Space Sciences, 27, 447-496. [Google Scholar] [CrossRef
[17] Su, T., Yi, X. and Wu, B. (2019) X/Ku Dual-Band Single-Layer Reflectarray Antenna. IEEE Antennas and Wireless Propagation Letters, 18, 338-342. [Google Scholar] [CrossRef
[18] Abdollahvand, M., Forooraghi, K., Encinar, J.A., Atlasbaf, Z. and Martinez-de-Rioja, E. (2020) A 20/30 GHz Reflectarray Backed by FSS for Shared Aperture Ku/Ka-Band Satellite Communication Antennas. IEEE Antennas and Wireless Propagation Letters, 19, 566-570. [Google Scholar] [CrossRef
[19] Xu, P., Li, L., Li, R. and Liu, H. (2021) Dual-Circularly Polarized Spin-Decoupled Reflectarray with FSS-Back for Independent Operating at Ku-/Ka-Bands. IEEE Transactions on Antennas and Propagation, 69, 7041-7046. [Google Scholar] [CrossRef
[20] Wang, Q., Wang, Y., Sihvola, A. and Qi, J. (2024) Aperture-Shared Dual-Band High-Gain Beam-Scanning Antenna Hybridizing Reflection-Mode Fabry-Perot Cavity and Wide-Angle Reflectarray. IEEE Antennas and Wireless Propagation Letters, 23, 2021-2025. [Google Scholar] [CrossRef