高速铁路隧道群微气压波辐射特征数值模拟研究
Numerical Simulation Study on the Micro-Pressure Wave Radiation Characteristics of High-Speed Railway Tunnel Groups
DOI: 10.12677/ijm.2026.151005, PDF, HTML, XML,    科研立项经费支持
作者: 李宝贤, 王梓贤, 胡 啸, 梅元贵:兰州交通大学机电工程学院,甘肃 兰州
关键词: 高速铁路隧道群微气压波数值模拟气动效应High-Speed Railway Tunnel Group Micro-Pressure Wave Numerical Simulation Aerodynamic Effect
摘要: 高速铁路隧道微气压波是列车通过隧道时压缩波传播到出口向外辐射形成的一种环境效应,其引发的噪声与振动问题对周边环境与居民生活造成显著影响。文章针对隧道群地形下微气压波的辐射与传播特征,建立了包含理想山体与双线隧道群的气动模型,采用基于RANS方法的CFD数值模拟,研究了列车以400 km/h速度通过隧道间隔为30 m的隧道群时微气压波在隧道间空间内的传播规律。通过布置不同方位角与俯仰角的测点,系统分析了微气压波的时空分布、指向性特征及其受隧道与山体地形的影响机制。结果表明:隧道群中相邻隧道的存在会显著改变微气压波的传播路径与压力分布,隧道间短距离内微气压波能量衰减不明显,且隧道2对波阵面具有聚集效应;山体地形进一步导致波阵面变形,呈现明显的空间非均匀性。本研究可为高速铁路隧道群微气压波的环境评估与缓解措施提供理论依据。
Abstract: The micro-pressure wave generated by high-speed railway tunnels is an environmental effect caused by the compression wave radiating outward from the tunnel exit when a train passes through. The resulting noise and vibration issues significantly affect the surrounding environment and residents’ lives. This study focuses on the radiation and propagation characteristics of micro-pressure waves in tunnel group terrains. An aerodynamic model incorporating an idealized mountain and a double-track tunnel group was established. Using CFD numerical simulation based on the RANS method, the propagation behavior of micro-pressure waves within the space between tunnels when a train passes through a tunnel group with a tunnel gap of 30 m at a speed of 400 km/h. By arranging measurement points at different azimuth and pitch angles, the spatiotemporal distribution and directivity characteristics of the micro-pressure waves, as well as their influencing mechanisms due to tunnels and mountain terrain, were systematically analyzed. The results show that the presence of adjacent tunnels in a tunnel group significantly alters the propagation path and pressure distribution of micro-pressure waves. Within short inter-tunnel distances, the energy attenuation of micro-pressure waves is not pronounced, and tunnel 2 exhibits a focusing effect on the wavefront. Moreover, the mountain terrain further deforms the wavefront, leading to noticeable spatial non-uniformity. This study provides a theoretical basis for environmental assessment and mitigation measures of micro-pressure waves in high-speed railway tunnel groups.
文章引用:李宝贤, 王梓贤, 胡啸, 梅元贵. 高速铁路隧道群微气压波辐射特征数值模拟研究[J]. 力学研究, 2026, 15(1): 44-54. https://doi.org/10.12677/ijm.2026.151005

1. 引言

微气压波是隧道压缩波从隧道出口向外辐射形成的一种现象。当列车进入隧道时,车头剧烈挤压隧道内空气,在列车前方形成初始压缩波。该压缩波以声速在隧道内传播并不断激化,当其传播至隧道洞口时,一部分能量以膨胀波的形式反射回隧道内,另一部分则以压力脉冲波的形式辐射至隧道外环境中。因其振幅比隧道内压力波小,因此命名为微气压波。

微气压波会对环境造成影响,导致附近房屋的门窗震动;有时还会产生巨大的“音爆”,造成噪声污染。在我国目前已建成和在建的多条高速铁路中,隧道工程规模宏大,隧线比分布范围广,洞口地貌环境多样化,多段线路隧道群密集,隧道空气动力学效应更为复杂和显著。

目前,对微气压波的研究主要有实车试验、模型试验、数值模拟和理论分析方法。2013年,马伟斌等人[1]通过现场实车试验、CFD仿真,对隧道洞口产生的微气压波进行分析,研究了隧道洞口不同因素对微气压波的影响,并提出了微气压波的缓解措施,探索了辅助结构对隧道洞口微气压波的减缓作用。2021年10月,董武等人[2]的研究发现,当CRH380动车组以330 km/h及以上速度通过全长8823 m的九龙山隧道时,洞口开始出现音爆现象。2021年,Okubo等人[3]通过缩尺模型实验,分析了隧道内竖井对隧道洞口微气压波辐射的影响。同年,Miyachi等人[4]对高速列车以360 km/h速度进入隧道洞口的过程开展了动模型试验,从位置和区域分布两个方面对隧道泄压窗口的设计进行优化。2018年,Zhang等人[5]通过CFD数值仿真,在隧道洞口不同梯度的压缩波情况下,探索了隧道洞口设置不同角度的挡板对隧道洞口微气压波的影响。

上述多数研究,局限于对简单地形下固定测点处微气压波压力变化的分析,对较为复杂的实际地形下微气压波传播的途径和影响因素尚未深入阐述。因此,本文基于隧道群工况,建立了隧道间距为30 m的隧道群模型,并结合理想山体模型,分析微气压波在隧道间空间中表现出的辐射传播特征,探讨隧道群对微气压波辐射传播的影响。

2. 数值计算模型与计算方法

2.1. 几何模型与边界条件

本研究使用的列车模型是我国某型CR450高速动车组列车,采用8编组列车形式,保留头尾车流线型特征、受电弓结构、头尾车转向架仓包覆板,尽可能还原真实列车外流场特征。列车几何模型的具体尺寸如图1所示。

(a) 列车侧视图与头型局部放大;(b) 列车正视图与受电弓局部放大;(c) 列车斜视图。

Figure 1. Geometric model of the train

1. 列车几何模型

考虑到隧道群的列车运行场景通常出现在两山形成的谷地之间,山体对于微气压波传播过程的影响也需要纳入考量范围。因此使用三维建模软件,通过抛物线函数法则曲线构建理想山体模型,山体几何形状和尺寸如图2(a)图2(b)图2(c)所示。所采用的隧道为净空面积100 m2的双线隧道,断面当量直径D = 10 m。张昭[6]的研究表明,钢轨和轨枕对于隧道初始压缩波的幅值与梯度的演化影响很小,因此在本研究中,忽略了钢轨和轨枕,保留了轨道板,图2(d)展示了隧道与轨道的几何尺寸。本文选取的两隧道间隔为30 m,几何示意图如图2(e)所示。

图3(a)图3(b)分别展示了计算域的斜视图和侧视图,由于列车在隧道内运行时尾车受到的最大负压值为列车最不利载荷[7],因此隧道长度按照EN 14067-5标准[8],计算得到尾车最大负压值对应的最不利隧道长度,计算公式如式(1)所示:

( L tunnel ) worst = L train 4M ( 1 M +1 ) (1)

其中, L train 为列车长度, M 为列车马赫数。必须要注意的是,公式只适合于列车马赫数小于等于1/3的工况。本文研究的列车速度为400 km/h,马赫数小于1/3,因此适用本公式进行计算。计算得到的最不利隧道长度为656 m。

由于从隧道2辐射出的微气压波不在研究范围内,因此隧道2出口设置为自由流边界条件,计算域四周和顶部足够远离列车行驶区域,同样采用自由流边界条件。使用重叠网格法模拟列车与背景区域的相对运动,列车表面,山体、隧道表面,轨道、地面均采用无滑移壁面边界条件,列车周围设置重叠网格边界,从而进行重叠网格区域与背景区域的数据插值。计算域内空气视为理想气体。计算初始条件按照标准大气压取值,大气压p0 = 101325 Pa,空气密度ρ = 1.225 kg/m3,静态温度T = 288 K,声速c0 = 340 m/s。

(a) 山体隧道模型正视图;(b) 山体隧道模型斜视图;(c) 山体隧道模型侧视图;(d) 隧道与轨道板几何尺寸;(e) 隧道群间空间侧视图。

Figure 2. Geometric model of the mountain and tunnels

2. 山体与隧道几何模型

(a) 计算域斜视图;(b) 计算域侧视图和边界条件。

Figure 3. Computational domain model and boundary conditions

3. 计算域模型与边界条件

为避免列车启动时产生的数值压缩波对研究产生影响,列车设置在距离隧道入口120 m的位置,同时根据Kwon等人[9] [10]提出的光滑启动方法,将列车加速的距离设置为70 m。经检验,在此启动距离下能够有效避免数值压力波的产生。当光滑启动完成后,列车以400 km/h的速度再驶过50 m的距离后到达隧道入口。

2.2. 网格划分

本文采用STAR-CCM+流体仿真软件的网格划分模块进行计算域背景网格区域和列车重叠网格区域的网格划分。采用2:1:1尺寸比的各向异性切割体网格对空间进行离散,为准确模拟列车附近的流动,对流动剧烈区域进行网格加密,参考Muld等人[11] [12]对列车附近的加密策略,对流动较为剧烈的头尾车流线型区域、转向架、车底间隙、受电弓以及尾流区等区域进行了不同程度的网格加密。对隧道内和两隧道间微气压波传播的明线空间也进行了加密,隧道内和隧道间明线区域的网格加密尺寸一致。经检验,网格尺寸能够很好地捕捉隧道压缩波和微气压波的压力峰值、梯度。列车表面设置了8层棱柱层网格,隧道壁面设置了6层棱柱层网格,对流动边界层进行捕捉,采用全y+壁面处理,确保第一层棱柱层网格的y+值约为60。图4展示了整体的网格加密情况以及车体和转向架区域的网格细节。

(a) 头车加密块设置和局部放大;(b) 中间车受电弓降弓网格加密;(c) 中间车受电弓升弓网格加密;(d) 尾车和尾流区加密块设置;(e) 列车与山体区域网格设置。

Figure 4. Grid setting for computational domain

4. 计算域网格设置

2.3. 湍流模型与求解器设置

在高雷诺数流动中,直接求解瞬态Navier-Stokes方程计算成本极高,因而本文采用雷诺平均Navier-Stokes (RANS)方法对湍流流动进行建模。RANS方法通过对瞬态流动变量进行时间平均,引入雷诺应力项以表征湍流脉动对平均流动的影响,从而将问题转化为求解平均流动控制方程。然而,由于雷诺应力项未知,必须借助湍流模型进行封闭。基于涡粘性假设的两方程模型在计算效率与工程适用性之间取得了较好平衡,因此被广泛应用于工程数值模拟中[13]-[15]

采用有限体积法在计算域内进行空间离散,通过对每个控制体进行守恒积分,确保质量、动量和能量在离散层面的严格守恒。对流通量采用二阶迎风格式进行重构,以在保证数值稳定性的同时提高空间离散精度,并有效降低数值耗散对流动结构的影响。时间推进采用二阶时间离散格式,相较于一阶隐式格式,该方法在非定常流动模拟中能够更准确地捕捉压力波动及瞬态流动特征。压力与速度场采用分离流求解器进行同步求解,该求解器基于压力–速度耦合算法,通过迭代方式依次求解动量方程与压力修正方程,适用于稳态及瞬态流动模拟。

求解的时间步长根据CFL数准则进行确定。CFL的定义如式(2)所示:

Co= UΔt Δx (2)

其中 U 为列车速度,由于选择隐式格式,CFL数不必严格小于1,因此 Δx 选择重叠网格区域交界面网格x尺寸的一半,为0.32 m,得到 Δt = 2.92 × 103 s。

2.4. 测点布置

为探究微气压波在空间内的辐射差异,按照方位角φ = 0˚、φ = 45˚和φ = 90˚,以及俯仰角θ = 0˚、θ = 45˚和θ = 90˚,将测点设置在七组射线方向上,射线的原点取在隧道1出口线路中心距地面1.5 m的位置,在r = 1 Dr = 10 D处设置测点,间隔为D。测点的空间位置示意如图5所示。

(a) 测点俯视图;(b) 测点侧视图;(c) 测点斜视图。

Figure 5. Schematic diagram of the micro-pressure wave measurement points

5. 微气压波测点示意图

2.5. 数值方法验证

为保证本文网格策略、湍流模型和求解方法能够准确合理地模拟列车进入隧道时产生的压缩波和辐射出的微气压波,借助Doi等人[16]的动模型试验进行验证。采用1:1尺寸楔形头型的列车模型,探测其进入方形截面隧道时产生的进口波和隧道压缩波。列车进入隧道时的速度为96 m/s,隧道、列车、地面设置为无滑移壁面边界条件。设计了三种网格策略进行网格独立性的研究,网格规模为242万、447万和823万,其中中等数量网格策略的网格尺寸与2.2节采用的网格尺寸一致。使用全y+壁面处理,确保列车表面y+值在30至100之间,隧道壁面y+值在30至60之间。湍流模型、时间步等求解器设置与本文研究模型保持一致。

验证结果如图6所示,中等网格规模的模型计算得到的隧道内压缩波梯度和隧道入口外的进口波与试验数据的相对误差分别为−3.5%和0.89%。粗网格和细网格对压力梯度的捕捉效果均不如中等网格。因此,最终选用中等网格的网格策略,应用在本文的研究内容中。

(a) P1测点压力系数梯度;(b) P2测点压力系数。

Figure 6. Moving model test validation results and mesh independence

6. 动模型试验验证结果与网格独立性

3. 结果与讨论

3.1. 隧道间微气压波时空分布特征

图7展示了不同时刻下隧道间空间内微气压波50 Pa压力等值面的分布情况,每一个时间差,微气压波传播了10 m。可以看到,当微气压波从隧道1出口向外辐射时,受到隧道壁面和山体影响,位于隧道1出口后的波阵面发生了一定的变形,不再以球面进行传播。随着微气压波继续在空间内传播,在还未传播到隧道2附近时,位于隧道1出口前的波阵面在空间内近似保持一个规则的球形。当微气压波传播到隧道2入口和山体附近时,受到这些障碍的影响,波阵面形状发生改变,靠近隧道2一侧的波阵面向着线路方向凸出,表明压力分布向着隧道2入口的位置发生了集中,证明了在隧道2的存在会改变微气压波的传播路径。

图8展示了隧道间沿线路方向不同俯仰角的时间历程曲线,0˚俯仰角表示测点垂直于地面向上分布,45˚俯仰角表示测点在与地面的夹角为45˚的方向分布,90˚俯仰角代表测点在与地面平行的方向分布。可以看到,不同位置处的微气压波均呈现出先上升后下降的单峰波动情况。随着距离的增加,微气压波峰值的下降速率逐渐减小,二者均近似呈指数关系。对比不同角度的微气压波变化可以发现,即使与出口的距离相同,微气压波的峰值也有所差异:距离隧道出口10 m处的测点,俯仰角为45˚的测点峰值最大,俯仰角为90˚的测点峰值最小,相差了约10 Pa。俯仰角为90˚的测点,从距离30 m开始,微气压波峰值不再发生显著改变,这是由于测点进入了隧道2内,由于隧道限制,进入隧道内的微气压波能量损失较少,在隧道内以平面波的形式传播,隧道2内60 m处的压力峰值相比入口处仅下降了约1%。这说明在较短的隧道间距下,隧道1辐射出的微气压波会对隧道2内的压力波动产生一定的影响。

(a) 斜视图;(b) 俯视图;(c) 侧视图。

Figure 7. Distribution of 50 Pa pressure iso-surfaces in the free space between tunnels at different times

7. 不同时刻隧道间自由空间内50 Pa压力等值面分布

(a) 俯仰角0˚;(b) 俯仰角45˚;(c) 俯仰角90˚。

Figure 8. Time-history and peak-value curves of micro-pressure waves at various pitch angles along the track

8. 线路方向不同俯仰角处微气压波时间历程曲线和最值曲线

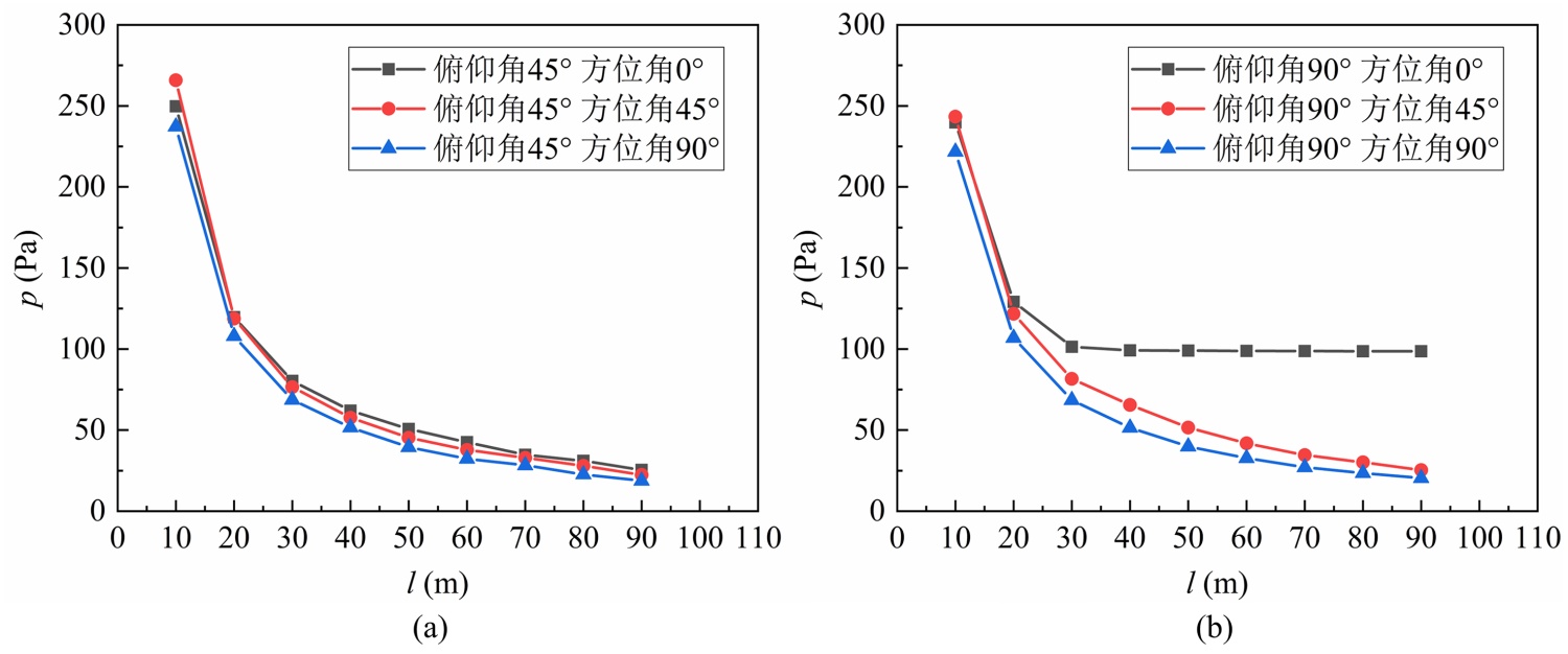
3.2. 隧道间微气压波指向性特征

图9展示了隧道间线路方向(方位角0˚)、线路斜向45˚ (方位角45˚)和线路垂直方向(方位角90˚),俯仰角45˚和90˚的微气压波峰值分布。可以看到,不同方向的微气压波峰值存在明显差异,方位角为45˚时的微气压波峰值最大,方位角为90˚时微气压波峰值最小。俯仰角为90˚,线路方向的20 m和30 m处测点峰值大于线路斜向45˚,是因为隧道2对微气压波产生了聚集的作用,增大了压力的幅值。

(a) 俯仰角45˚;(b) 俯仰角90˚。

Figure 9. Peak-value curves of micro-pressure waves at different azimuth and pitch angles

9. 不同方位角和俯仰角处的微气压波最值曲线

(a) 距离隧道1出口10 m;(b) 距离隧道1出口20 m;(b) 距离隧道1出口30 m;(b) 距离隧道1出口40 m。

Figure 10. Pressure distribution of micro-pressure waves at different distances from the tunnel 1 exit at different times

10. 距离隧道出口不同距离处不同时刻的微气压波压力分布

图10展示了俯仰角为90˚条件下,距离隧道1出口10 m、20 m、30 m和40 m位置测点在不同时刻下的压力分布。可以看到,距离隧道1出口的距离相同,但是方位角不同,压力也有一定的差异。在10 m和20 m位置,线路两侧的压力要略大一些;而在30 m处,由于微气压波进入了隧道2,耗散程度降低,因此线路方向测点的压力值较大,线路两侧的测点受到隧道2山体对压力的反射聚集,压力也出现了一定的上升;40 m处测点,由于山体限制,线路附近无测点布置,而在线路两侧,压力随着方位角绝对值的增大而逐渐减小。通过以上四个距离的微气压波分布情况可以得出,不同位置的微气压波指向性存在差别,山体以及隧道2对于微气压波的空间分布影响显著。

4. 结论

本文通过数值模拟方法,系统研究了高速铁路列车以400 km/h通过隧道群时微气压波的辐射传播特征。研究结果表明:

1) 隧道群中相邻隧道对微气压波的传播具有显著影响。隧道1出口辐射出的微气压波在传播至隧道2入口附近时,波阵面发生变形并向隧道2方向集中,表明隧道2对微气压波具有一定的聚集效应。

2) 在较短的隧道间距条件下,微气压波在隧道空间内衰减较慢,部分能量可进入相邻隧道并以平面波形式继续传播,进而可能影响隧道内的压力环境。

3) 微气压波在空间中的分布呈现明显的指向性与非均匀性。不同方位角与俯仰角位置的测点压力峰值差异显著。山体地形进一步加剧了压力分布的空间变异。

4) 隧道群与山体共同作用导致了微气压波传播路径更加复杂,波阵面不再保持规则球面,且在近隧道2的区域出现局部压力增强现象。

综上所述,隧道群环境下的微气压波辐射传播特征较单隧道更为复杂,在实际工程中需结合隧道间距、地形特征等因素进行综合评估,并针对性地采取缓解措施,以降低其对周边环境的不利影响。本研究结果可为高速铁路隧道群气动效应优化与环境噪声控制提供参考。

基金项目

甘肃省青年科技基金(25JRRA964)。

参考文献

[1] 马伟斌, 张千里, 刘艳青. 中国高速铁路隧道气动效应研究进展[J]. 交通运输工程学报, 2012, 12(4): 25-32.
[2] 董武, 马伟斌, 韩嘉强. 高速铁路长大隧道音爆现象及缓解措施分析[J]. 铁路技术创新, 2024(6): 1-9.
[3] Okubo, H., Miyachi, T. and Sugiyama, K. (2021) Pressure Fluctuation and a Micro-Pressure Wave in a High-Speed Railway Tunnel with Large Branch Shaft. Journal of Wind Engineering and Industrial Aerodynamics, 217, Article ID: 104751. [Google Scholar] [CrossRef
[4] Miyachi, T. and Fukuda, T. (2021) Model Experiments on Area Optimization of Multiple Openings of Tunnel Hoods to Reduce Micro-Pressure Waves. Tunnelling and Underground Space Technology, 115, Article ID: 103996. [Google Scholar] [CrossRef
[5] Zhang, G., Kim, D.H. and Kim, H.D. (2018) Numerical Studies on the Radiation of Train-Tunnel Impulse Waves. Tunnelling and Underground Space Technology, 80, 211-221. [Google Scholar] [CrossRef
[6] 张昭. 400 km/h高速铁路隧道初始压缩波传播过程轨道影响特征研究[J]. 力学研究, 2024, 13(4): 141-153.
[7] 魏康, 来积伟, 梅元贵. 600 km/h磁浮列车隧道交会车体压力载荷特征研究[J]. 实验流体力学, 2023, 37(1): 82-90.
[8] European Committee for Standardization (CEN) (2021) Railway Applications—Aerodynamics. Part 5: Requirements and Assessment Procedures for Aerodynamics in Tunnels. CEN, EN 14067-5.
[9] Kwon, H., Jang, K., Kim, Y., Yee, K. and Lee, D. (2001) Nose Shape Optimization of High-Speed Train for Minimization of Tunnel Sonic Boom. JSME International Journal Series C, 44, 890-899. [Google Scholar] [CrossRef
[10] Kwon, H., Kim, T., Lee, D. and Kim, M. (2003) Numerical Simulation of Unsteady Compressible Flows Induced by a High-Speed Train Passing through a Tunnel. Proceedings of the Institution of Mechanical Engineers, Part F: Journal of Rail and Rapid Transit, 217, 111-124. [Google Scholar] [CrossRef
[11] Muld, T.W., Efraimsson, G., Henningson, D.S., Herbst, A.H. and Orellano, A. (2015) Analysis of Flow Structures in the Wake of a High-Speed Train. In: Dillmann, A. and Orellano, A., Eds., The Aerodynamics of Heavy Vehicles III, Springer, 3-19. [Google Scholar] [CrossRef
[12] Muld, T.W., Efraimsson, G. and Henningson, D.S. (2012) Flow Structures around a High-Speed Train Extracted Using Proper Orthogonal Decomposition and Dynamic Mode Decomposition. Computers & Fluids, 57, 87-97. [Google Scholar] [CrossRef
[13] Alfonsi, G. (2009) Reynolds-Averaged Navier-Stokes Equations for Turbulence Modeling. Applied Mechanics Reviews, 62, Article ID: 040802. [Google Scholar] [CrossRef
[14] Versteeg, H.K. (2007) An Introduction to Computational Fluid Dynamics the Finite Volume Method, 2/E. Pearson.
[15] Wilcox, D.C. (1998) Turbulence Modeling for CFD. DCW industries La Canada.
[16] Doi, T., Ogawa, T., Masubuchi, T. and Kaku, J. (2010) Development of an Experimental Facility for Measuring Pressure Waves Generated by High-Speed Trains. Journal of Wind Engineering and Industrial Aerodynamics, 98, 55-61. [Google Scholar] [CrossRef