掺杂SrCoO3-δ薄膜的磁性及电致电阻效应研究
Study on Magnetic Properties and Electroresistance Effect of Doped SrCoO3-δ Thin Films
DOI: 10.12677/app.2026.163019, PDF, HTML, XML,    国家自然科学基金支持
作者: 陈盈如, 叶 颖, 叶煜彤, 张裕祥, 叶晴莹, 王 彤, 陈水源*:福建师范大学物理与能源学院,福建省量子调控与新能源材料重点实验室,福建 福州
关键词: SrCoO3-δ薄膜Fe、Ni掺杂脉冲激光沉积磁性电致电阻效应SrCoO3-δ Thin Films Fe-Ni Doping Pulsed Laser Deposition Magnetic Properties Electroresistance Effect
摘要: SrCoO3-δ作为典型钙钛矿过渡金属氧化物,其氧空位及B位掺杂对磁电性能的调控性,以及丰富的物理特性如庞电致电阻效应在信息存储领域的潜在应用,使其成为研究热点。本文采用固相反应法制备Fe、Ni不同比例掺杂的SrCo0.4Fe0.6-XNiXO3-δ (x = 0, 0.3, 0.6)靶材,以PMN-PT铁电单晶为衬底,通过脉冲激光沉积法制备薄膜,表征其晶体结构、磁性及电致电阻特性。实验成功制备出纯相且有一定择优取向生长的薄膜;5 K下薄膜呈铁磁性,其中SrCo0.4Ni0.6O3-δ饱和磁矩最大;所有薄膜在250 K~400 K温区展现出近100%的电致电阻效应。本研究丰富了钙钛矿过渡金属氧化物的研究内容,在薄膜中得到的庞电致电阻效应使其在信息存储、新型电磁元器件领域有着潜在的实际应用。
Abstract: As a typical perovskite transition metal oxide, SrCoO3-δ has become a research hotspot due to the tunability of its magnetic and electric properties by oxygen vacancies and B-site doping, as well as the potential applications of its abundant physical properties such as the colossal electroresistance effect in the field of information storage. In this paper, with PMN-PT ferroelectric single crystal as the substrate, SrCo0.4Fe0.6-XNiXO3-δ (x = 0, 0.3, 0.6) targets with different doping ratios of Fe and Ni were prepared by the solid-state reaction method, and the corresponding thin films were fabricated via the pulsed laser deposition method. Their crystal structure, magnetic properties and electroresistance effect were characterized. Pure-phase thin films with preferential orientation growth were successfully prepared. The thin films exhibit ferromagnetism at low temperature region, among which SrCo0.4Ni0.6O3-δ presents the largest saturation magnetic moment. The thin films show a nearly 100% electroresistance effect in the temperature range of 250 K to 400 K. This study enriches the research content of perovskite transition metal oxides, and the colossal electroresistance effect obtained in the thin films endows them with potential practical applications in the fields of information storage and new electromagnetic devices.
文章引用:陈盈如, 叶颖, 叶煜彤, 张裕祥, 叶晴莹, 王彤, 陈水源. 掺杂SrCoO3-δ薄膜的磁性及电致电阻效应研究[J]. 应用物理, 2026, 16(3): 192-198. https://doi.org/10.12677/app.2026.163019

1. 引言

近年来,钙钛矿材料SrCoO3作为一种典型的过渡金属氧化物(TMOs)材料被人们广泛研究[1]-[4]。由于无氧缺陷SrCoO3的制备工艺要求高,且需要极高的氧压和高温退火,很难制备得到符合氧化学计量的SrCoO3材料[5],因此人们主要研究的是SrCoO3-δ的性质。氧含量不同甚至造成SrCoO3-δ材料功能的改变。当SrCoO3-δ (2.5 < 3-δ < 3.0)时,是典型的钙钛矿结构(ABO3),而氧含量偏低,即SrCoO3-δ (3-δ < 2.5)时,则转变为Brownmillerite (简称BM)结构[6] [7]。这种由于氧含量不同而引起SrCoO3-δ物理性质的变化吸引了研究人员的关注,于是人们研究氧空位在自旋态变化和磁有序中的作用[8],以此解释SrCoO3-δ的磁相转变情况,揭示了SrCoO3-δ在磁特性例如磁性调控的可操作性。此外,钙钛矿结构中的庞电致电阻(CER)效应也是研究的热点。CER效应指材料电阻随电流或电压的变化而发生巨大变化甚至跳变的现象。由于材料中CER效应引起的可重复、可反转的电致电阻变换或电阻开关(resistance switching)行为在非易失信息存储、电磁元器件等领域有着潜在的重要应用而得到广泛关注[9]-[12]

ABO3型晶胞结构属于立方晶系、Pm3m空间群[13]。钙钛矿氧化物在氧空位及各种A、B位离子掺杂的共同作用下具有多样的结构,尤其是B位离子的掺杂,离子半径的改变,使得晶格发生畸变,从而改变材料的物理性质。在不破坏钙钛矿整体结构的前提下,掺杂替换的离子半径与原离子不能差别太大,用Gold-Schmidt公式可以确定可替换的离子半径范围[14]。因此我们制备SrCoO3-δ材料时,选择用相邻的两个过渡金属元素Fe、Ni来分别替代Co元素。这样离子半径相差较小,能保持材料的稳定钙钛矿结构,不同过渡金属元素的掺杂也使得材料具有丰富且可调制的磁特性。

2017年,Yu等人在衬底SrTiO3和(LaAlO3)0.3-(SrAl0.5Ta0.5O3)0.7上制备SrCoO3-δ薄膜,研究了薄膜中双离子(氧与氢)相变的可逆、非易失性电场调控,并实现了与之相关的电致变色与磁电效应[15]。基于以上分析,本文拟选取同为钙钛矿结构的铁电单晶材料PMN-PT为衬底,制备Fe、Ni元素B位掺杂薄膜SrCo0.4Fe0.6-xNixO3-δ (x = 0, 0.3, 0.6),研究掺杂对其磁性及电致电阻效应的影响。

2. 实验

(1) SrCo0.4Fe0.6-xNixO3-δ靶材及薄膜制备

采用固相反应法制备SrCo0.4Fe0.6-xNixO3-δ靶材:将原材料Co3O4、SrCO3、Fe2O3、Ni(CH3CO2)2按化学式SrCo0.4Fe0.6-xNixO3-δ (x = 0, 0.3, 0.6)中各元素比例要求称取,并通过混合、高能球磨、锻烧、压片、高温烧结等工序制备得到SrCo0.4Fe0.6-xNixO3-δ靶材;利用脉冲激光沉积法在铁电单晶Pb(Mg, Nb)O3-PbTiO3 (简写为PMN-PT)衬底上制备SrCo0.4Fe0.6-xNixO3-δ (x = 0, 0.3, 0.6)薄膜。具体参数如下:激光器的工作气体:KrF气体;衬底温度:650℃,腔体真空度:4 × 104 Pa;激光波长:248 nm;激光工作能量:350 mJ,工作频率:5 Hz,氧压:14 Pa;沉积时间:30 mins,原位退火时间:15 mins。

(2) SrCo0.4Fe0.6-xNixO3-δ薄膜性能测试

利用X射线衍射仪(XRD)测试样品的晶体结构,利用扫描电子显微镜(SEM)对样品进行表面与截面形貌表征;利用材料综合物性测量系统(PPMS DynaCool-9)测试样品的磁特性及电学特性。

3. 结果与讨论

3.1. 结构分析

(1) 薄膜XRD晶体结构分析

图1给出生长在PMN-PT衬底上的SrCo0.4Fe0.6-xNixO3-δ (x = 0, 0.3, 0.6)的X射线衍射图谱。PMN-PT单晶衬底均为(100)方向,明显看到薄膜外延生长,三个样品薄膜均有三个主要的衍射峰。在X射线探测灵敏度下,没有其它杂相产生。这一结果表明通过PLD法可以在PMN-PT衬底上制备得到纯相SrCo0.4Fe0.6-xNixO3-δ (x = 0, 0.3, 0.6)薄膜。

钙钛矿结构的SrFeO3为立方结构群Pm3m,格点参数是a = 3.845 Å。SrCoO3的晶格常数为a = 3.835 Å。若SrCo0.4Fe0.6-xNixO3-δ保持立方晶格,在整个组成结构中晶格常数应在a = 3.835~3.845 Å之间。Fe、Co、Ni在元素周期表中相邻,原子半径相差很小,以及样品中氧空位缺失造成微小晶格畸变,SrCo0.4Fe0.6-xNixO3-δ的晶格常数应与a = 3.845 Å相差不大,衬底PMN-PT在(100)方向的晶格常数ac = 4.02 Å,因此立方结构的SrCo0.4Fe0.6-xNixO3-薄膜晶格与PMN-PT衬底的面内晶格失配度较小。从每个薄膜中三组XRD衍射谱的分峰拟合中可以看到,衬底的单晶衍射峰与薄膜的衍射峰偏移小于0.15度,表明薄膜与衬底之间晶格匹配度较好。

Figure 1. XRD pattern of SrCo0.4Fe0.6-xNixO3-δ thin films. (a) x = 0; (b) x = 0.3; (c) x = 0.6

1. SrCo0.4Fe0.6-xNixO3-δ薄膜的XRD图。(a) x = 0;(b) x = 0.3;(c) x = 0.6

(2) 薄膜表面形貌

为了分析薄膜样品的形貌,得到其微结构信息,我们使用扫描电子显微镜对上述薄膜样品进行表面与截面形貌表征。图2给出了SrCo0.4Fe0.6-xNixO3-δ薄膜的SEM测试结果。从图中可以看出,三个薄膜样品的厚度分别为93.3 nm,130.0 nm和115.0 nm,薄膜在PMNPT衬底表面呈均匀簇状生长,且具有一定的择优取向。

Figure 2. Scanning electron microscopy images of SrCo0.4Fe0.6-xNixO3-δ thin films. (a) x = 0; (b) x = 0.3; (c) x = 0.6

2. SrCo0.4Fe0.6-xNixO3-δ薄膜的扫描电镜图。(a) x = 0;(b) x = 0.3;(c) x = 0.6

3.2. 性能分析

(1) 磁性特性表征

为了分析薄膜样品在不同温度下的磁性,测试了薄膜样品的磁化曲线(M-T),测量结果如图3所示。可以看出,样品在很宽温区表现出明显的顺磁性特征,在低温下的样品的磁化强度迅速增大。同时可以看到,不同的Fe/Ni比例对样品的低温磁性有很大的影响。在具有高价离子(Fe4+/Co4+)的体系中,理论和实验研究揭示了存在大的负电荷转移能量和氧p轨道上的电子缺陷。在SrCoO3-δ中,铁磁性排序被推测起源于Co3+—O2+—Co4+的双交换作用[16],因此的不同比例Fe/Ni元素替代Co元素将不可避免地影响Co3+—O2+—Co4+的双交换作用,进而影响了样品的磁性。

Figure 3. M-T diagram of SrCo0.4Fe0.6-xNixO3-δ thin films under 1 T magnetic field

3. SrCo0.4Fe0.6-xNixO3-δ薄膜在1 T磁场下的M-T图

测试了三个样品在低温下的磁滞回线,结果如图4所示。可以看到,在5 K的温度下,有明显的回线形状,说明材料在外加磁场的条件下具有铁磁性。但是,样品的剩磁(Mr)和矫顽力(Hc)很小的值,且没有明显的磁滞现象,这是由于晶粒尺寸减小到比单畴临界尺寸更小时,磁畴钉扎效应减小,而且热运动对粒子影响很大。对比三个样品的饱和单位磁矩,可以看到SrCo0.4Ni0.6O3-δ薄膜的饱和磁矩最大,SrCo0.4Fe0.3Ni0.6O3-δ薄膜的饱和磁矩明显比另外两个样品的小。表明不同比例Fe/Ni掺杂引起晶场的对称性变化,能级分裂及轨道角动量冻结情况发生变化[17]

Figure 4. M-H curves of SrCo0.4Fe0.6-xNixO3-δ thin films at 5 K

4. SrCo0.4Fe0.6-xNixO3-δ薄膜在5 K温度下的M-H图

(2) 电致电阻特性

为了研究样品的电学特性,我们测试了不同电流下SrCo0.4Fe0.6-xNixO3-δ薄膜的电阻随温度的变化关系。如图5所示。可以看出,薄膜在温度从5 K增加到400 K过程中,三个样品的电阻率随温度的变化呈现不同的趋势。分析低工作电流情况,对于SrCo0.4Fe0.6O3-δ薄膜,从图5(a)可以看到,其电阻率在5 K~220 K范围内变化不大,当温度从220 K到400 K增加过程中,电阻率先增大,后减小,出现一个明显的电阻率转变行为。在转变温度Tp以上时,低导电率的混合价ABO3型材料的电阻率随温度升高而降低,满足以下规律[18]

ρ( T )~exp ( T 0 /T ) υ

其中T0是表征电子带隙的特征温度。υ为常数,电子跃迁的机制不同则υ不同。常见机制有三种:数值分别为1、0.25和0.5分别对应于最近邻跳跃(NNH)、依据Mott定律的可变范围跳跃和依据库仑能隙的可变范围跳跃(VRH) [18]。有报道称,在υ = 0.25时拟合出的实验结果能很好地匹配SCFO的结果。所以依据Mott定律(弱或无电子–电子间相互作用)的VRH成为高温区(T > Tp)主导的电输运机制[3],此时试样具有绝缘的行为。图5(a)所示高温区域电阻率转变属于金属–绝缘体转变(MIT),转变温度Tm在300 k左右。

对于SrCo0.4Fe0.6O3-δ薄膜,从图5(b)可以看到,在5 K~220 K范围内,没有看到金属–绝缘体转变,但从电阻率随温度的变化趋势来看,在更高温区存在金属绝缘体转变,表明MIT转变温度向高温移动,同样地,SrCo0.4Fe0.3Ni0.3O3-δ薄膜的MIT转变温度也高于400 K。

Figure 5. The relationship between the resistance of SrCo0.4Fe0.6-xNixO3-δ thin films and temperature under different currents

5. 不同电流下SrCo0.4Fe0.6-xNixO3-δ薄膜的电阻随温度的变化关系

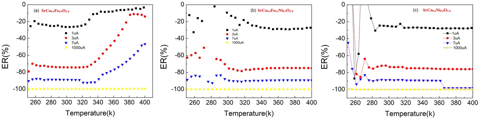
图5我们可以看到,三个样品在转变温度附近较宽温区存在明显的电流驱动电阻变化即电致电阻效应。为了表征电致电阻效应的大小,在本文中,定义电致电阻率如下:

ER( % )= R( I,T )R( 0.7 μA, T ) R( 0.7 μA, T ) ×100%

其中 R( I,T ) 表示样品处于温度T且工作电流为I时的电阻。根据定义以及图5数据,我们得到如图6所示样品的电致电阻率随温度的变化关系。

Figure 6. Electrically induced resistivity-temperature (ER-T) curves of SrCo0.4Fe0.6-xNixO3-δ thin films

6. SrCo0.4Fe0.6-xNixO3-δ薄膜的电致电阻率–温度(ER-T)曲线

图5中可以看到,在低温区,样品的电致电阻效应不明显。因此,图6中给出的温度范围为250 K~400 K,在这一温区,三个样品的电致电阻率均有较大的数值,在同一温度下,电阻随着电流的增大而快速下降,当电流从0.7 μA增大到7 μA时,样品的电阻下降到只剩原来的10%~20%,当电流再增大到1000 μA时,样品的电阻相较于0.7 μA时的电阻几乎降为零,表现为接近100%的电致电阻率。在SrCo0.4Fe0.6-xNixO3-δ薄膜中,其主导磁电的双交换作用、Jahn-Teller电子–声子相互作用和自旋之间的反铁磁耦合超交换作用(即NRRS相互作用)所决定的电子基态不同、能量间隔窄,通过竞争达到的平衡是一种非稳定平衡,对外界条件如温度、电流(实际是电场)的变化比较敏感,从而看到在转变温度附近电阻率温度变化而急剧变化,以及电流变化引起电阻率急剧变化的现象[19] [20]

4. 总结

本文采用固相反应法制备Fe、Ni不同比例掺杂的SrCo0.4Fe0.6-xNixO3-δ靶材,并以PMN-PT铁电单晶为衬底,通过脉冲激光沉积法制备SrCo0.4Fe0.6-xNixO3-δ薄膜,研究了Fe/Ni掺杂对钴酸锶薄膜晶体结构、磁性及电致电阻效应的影响。实验结果表明成功制备出纯相薄膜且沿衬底晶向取向生长,薄膜与衬底晶格匹配性良好;薄膜在低温区表现出铁磁性,Fe/Ni掺杂比例会影响Co3+—O2+—Co4+双交换作用,其中Ni完全替代Fe时饱和磁矩最大;更重要的是,薄膜均存在明显的电致电阻效应,当电流从0.7 μA增大到7 μA时,样品的最大电致电阻率达到了−80%,且当电流增加到1000 μA时,样品在250 K~400 K温区展现出近100%的电致电阻效应,表明在这一体材料中电流可显著调控电阻。研究结果为掺杂调控钙钛矿氧化物磁、电性能提供参考,薄膜中优异的电致电阻特性为非易失性信息存储、新型电磁元器件的研发提供了实验依据和材料支撑。

基金项目

本工作得到了国家自然科学基金(编号:12474109)、福建省自然科学基金(编号:2024J01298,2025J01656)、国家级大学生创新创业训练计划项目(编号:FJNU 202510394021)和省级大学生创新创业训练计划项目(编号:S202510394049)的资助。

NOTES

*通讯作者。

参考文献

[1] Lee, J.H., Choi, W.S., Jeen, H., Lee, H., Seo, J.H., Nam, J., et al. (2017) Strongly Coupled Magnetic and Electronic Transitions in Multivalent Strontium Cobaltites. Scientific Reports, 7, Article No. 16066. [Google Scholar] [CrossRef] [PubMed]
[2] Choi, W.S., Jeen, H., Lee, J.H., Seo, S.S.A., Cooper, V.R., Rabe, K.M., et al. (2013) Reversal of the Lattice Structure in SrCoOx Epitaxial Thin Films Studied by Real-Time Optical Spectroscopy and First-Principles Calculations. Physical Review Letters, 111, Artice ID: 097401. [Google Scholar] [CrossRef] [PubMed]
[3] Tambunan, O.T., Parwanta, K.J., Acharya, S.K., Lee, B.W., Jung, C.U., Kim, Y.S., et al. (2014) Resistance Switching in Epitaxial SrCoOx Thin Films. Applied Physics Letters, 105, Article ID: 063507. [Google Scholar] [CrossRef
[4] Hoffmann, M., Borisov, V.S., Ostanin, S., Mertig, I., Hergert, W. and Ernst, A. (2015) Magnetic Properties of Defect-Free and Oxygen-Deficient Cubic SrCoO3–δ. Physical Review B, 92, Article ID: 094427. [Google Scholar] [CrossRef
[5] Jeen, H., Choi, W.S., Freeland, J.W., Ohta, H., Jung, C.U. and Lee, H.N. (2013) Topotactic Phase Transformation of the Brownmillerite SrCoO2.5 to the Perovskite SrCoO3–δ. Advanced Materials, 25, 3651-3656. [Google Scholar] [CrossRef] [PubMed]
[6] Takeda, T. and Watanabe, H. (1972) Magnetic Properties of the System SrCo1−xFexO3−y. Journal of the Physical Society of Japan, 33, 973-978. [Google Scholar] [CrossRef
[7] Long, Y., Kaneko, Y., Ishiwata, S., Taguchi, Y. and Tokura, Y. (2011) Synthesis of Cubic SrCoO3 Single Crystal and Its Anisotropic Magnetic and Transport Properties. Journal of Physics: Condensed Matter, 23, Article ID: 245601. [Google Scholar] [CrossRef] [PubMed]
[8] Lim, J. and Yu, J. (2018) Role of Oxygen Vacancy in the Spin-State Change and Magnetic Ordering in SrCoO3–δ. Physical Review B, 98, Article ID: 085106 .
[9] 熊光成. 氧化物电致电阻变换与自束缚载流子[J]. 物理学进展, 2012, 32(5): 233-283.
[10] 熊元强. 磁性氧化物薄膜中电致电阻和电控磁效应研究[D]: [博士学位论文]. 南京: 南京大学, 2019.
[11] 李霞. 钙钛矿钴氧化物制备及其电致电阻性能研究[D]: [硕士学位论文]. 上海: 上海师范大学, 2014.
[12] Callori, S.J., Hu, S., Bertinshaw, J., Yue, Z.J., Danilkin, S., Wang, X.L., et al. (2015) Strain-Induced Magnetic Phase Transition in SrCoO3−δ Thin Films. Physical Review B, 91, Article ID: 140405. [Google Scholar] [CrossRef
[13] 刘颖. 钴酸锶粉体的制备及其催化降解染料废水的研究[D]: [硕士学位论文]. 武汉: 武汉理工大学, 2004.
[14] 李晓天. 钙钛矿型La2/3Sr1/3MnO3薄膜微观结构及其物理性能的研究[D]: [硕士学位论文]. 青岛: 青岛大学, 2018
[15] Lu, N., Zhang, P., Zhang, Q., Qiao, R., He, Q., Li, H., et al. (2017) Electric-Field Control of Tri-State Phase Transformation with a Selective Dual-Ion Switch. Nature, 546, 124-128. [Google Scholar] [CrossRef] [PubMed]
[16] Potze, R.H., Sawatzky, G.A. and Abbate, M. (1995) Possibility for an Intermediate-Spin Ground State in the Charge-Transfer Material SrCoO3. Physical Review B, 51, 11501-11506. [Google Scholar] [CrossRef] [PubMed]
[17] 戴道生. 铁磁学[M]. 第2版. 北京: 科学出版社, 2017: 73.
[18] Petrie, J.R., Jeen, H., Barron, S.C., Meyer, T.L. and Lee, H.N. (2016) Enhancing Perovskite Electrocatalysis through Strain Tuning of the Oxygen Deficiency. Journal of the American Chemical Society, 138, 7252-7255. [Google Scholar] [CrossRef] [PubMed]
[19] 杨昌平, 陈顺生, 戴琪, 等. Nd0.67Sr0.33MnOy(y < 0.3)中的自旋相关电致电阻效应[J]. 物理学报, 2007, 56(8): 4908-06.
[20] 严蔚胜. 薄膜结构SrCoO3-δ体系磁、电性能研究[D]: [硕士学位论文]. 福州: 福建师范大学, 2019.