新木脂素糖苷类化合物的研究进展
Research Progress of New Lignan Glycosides
摘要: 木脂素糖苷类化合物在植物中广泛存在,是许多中药的重要活性成分之一,在临床抗癌和人类生活等方面具有很高的应用价值。因此,木脂素糖苷类化合物的制备备受人们关注。本文归纳总结了近年来木脂素糖苷类化合物的分布分离情况以及化学合成和生物合成等方面的研究进展,并对该领域未来的发展进行了展望。
Abstract: Lignan glycosides, ubiquitous in plants, are vital bioactive components in traditional Chinese medicine with significant clinical applications in cancer treatment and human health. Their preparation has therefore attracted considerable attention. This paper systematically reviews recent advancements in the distribution, isolation, chemical synthesis, and biosynthesis of lignan glycosides, while also outlining promising prospects for future developments in this field.
文章引用:王丽丽, 袁嘉遥, 李文玲. 新木脂素糖苷类化合物的研究进展[J]. 有机化学研究, 2026, 14(1): 101-108. https://doi.org/10.12677/jocr.2026.141009

1. 引言

全世界每年有820万人死于癌症[1]。非特异性化疗可导致严重的副作用,包括全身毒性和耐药性[2],严重影响患者的生活质量。因此,迫切需要发现新的能够减少副作用的化疗药物。天然产物木脂素糖苷化合物合成及其半合成衍生物是新的抗肿瘤药物的重要来源[3],对人类的健康生活具有重大的意义。目前,木脂素糖苷类化合物大多都是通过植物提取得到的,国内外对该化合物的合成研究报道较少。

据我们所知,木脂素糖苷以前没有通过化学合成或短半合成方法制备。其中的原因有很多比如:(1) 从天然来源中分离完整的木脂素糖苷存在一些困难;(2) 天然来源很少提供足够量的材料用于生物学评价等等,通过化学合成,可以制备多种结构类似物用于探索和比较天然或者非天然木脂素以及木脂素糖苷的生物学性质。本文按照木脂素糖苷化合物的来源以及近几年在合成领域的研究工作综述如下。

2. 木脂素及木脂素糖苷化合物

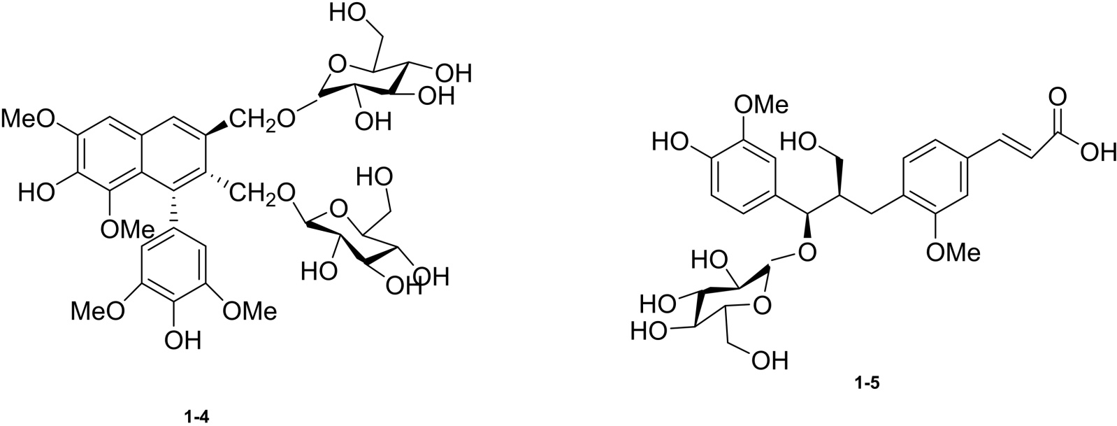
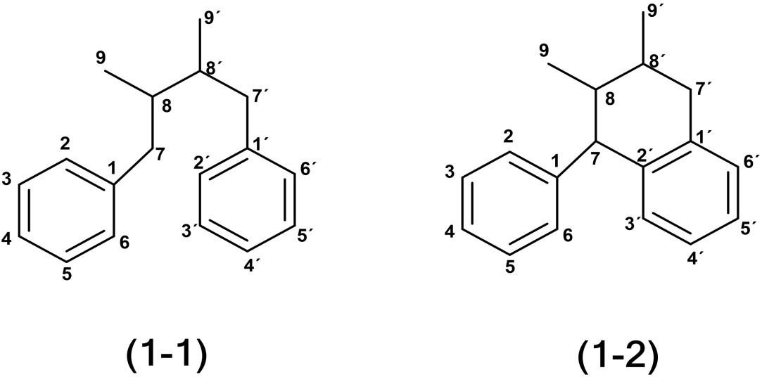
木脂素是由两分子苯丙素(C6-C单元)通过β-位碳原子(C8-C8')或(C7-C2')或其他位点缩合形成的天然产物(1-1)(1-2) [4],如图1木脂素氧糖苷(Oxyglycosidic Lignans)是由两分子苯丙素衍生物(C6-C3单元)通过醚键连接如(+)-Lyoniresinol 4,4'-Bis-O-β-D-glucopyranoside(1-3)其核心骨架由苯环、环氧结构及糖苷键构成[5],糖基的引入显著改变了分子的亲水性,其氧糖苷单体则进一步通过糖苷键将糖基(如葡萄糖、木糖)连接到木脂素的羟基或酚羟基上,形成兼具亲脂性与亲水性的复杂分子。并且糖基化是通过保护晶格子的反应性酚羟基来确保水溶性、低毒性和稳定性的关键机制,并被认为有助于木脂素在植物细胞中的积累和运输[6]。许多木脂素糖苷具有广泛的药理活性[7]。如科学家对天然存在的鬼臼毒素的结构进行了改造并得到了另一种天然化合物依托泊苷(etoposide)(1-4),对其结构改造克服了鬼臼毒素(1-5)的毒副作用,现已表明了依托泊苷具有较强的抗肿瘤的性质,其中包括抗小细胞肺癌,抗睾丸癌等[8]

Figure 1. Different condensation sites of lignan compounds and lignan glycosides

1. 木脂素化合物的不同缩合位点与木脂素氧糖苷化合物

木脂素葡糖苷多分布于裸子植物和被子植物中,如亚麻籽、芝麻、十字花科植物及仙鹤草(Agrimonia pilosa),在亚麻籽中,糖基化木脂素占木脂素总成分的95%以上(wt%) [9]-[11]。从豆科植物异花蓝全草甲中用醇提取物的乙酸乙酯可溶部分进行硅胶柱层析,用不同的移动的相洗脱,得到化合物,其结构经UV、IR、MS和NMR确证得到(+)-lyoniresinol-4,4-bis-O-β-D-glucopyranoside(1-3)其对脂氧合酶具有较好的抑制活性[12]。(7S, 7'S, 8R, 8'R)-icariol-A2-9-O-β-D-glucopyranoside(1-4)是从唇形科的一种多年草本植物金钱薄荷中提取得到,通过乙醇提取物按比例进行提取和溶剂分配,所得水层经D101大孔吸附树脂、硅胶、十八烷基硅基硅胶和凝胶柱层析,然后经制备型HPLC-ODS得到,表现出显着的抗氧化活性[13]。花椒是一种野生灌木,主要分布在东南亚、喜马拉雅地区和中国。它在民间药物中被用于治疗腹痛、感冒和咳嗽、扁桃体炎、发烧、高原病、腹泻和痢疾等疾病,现研究其具有抗增生性,抗消炎性,抗氧化性,护肝,镇痛,抗糖尿病,消灭幼虫等药理性。郭涛小组从花椒的根茎用甲醇溶解,多种分离技术分布分离,再利用紫外线、红外线、红外线和核磁共振(NMR)数据得到13种木脂素糖苷[14],如图2所示分离得到一种新木脂素糖苷化合物,(7S, 8R)-guaiacylglycerol-ferulic-acidether-7-O-β-D-glucopyranoside(1-5)。

Figure 2. Chemical structures of lignan compounds

2. 木脂素化合物的化学结构

何鸿萍等人从Mananthes patentiflflora中分离厚花野牡丹气干地上部分的乙醇提取物悬浮于H2O中将反应混合物冷却至室温,然后依次用EtOAc和n-BuOH萃取纯化,得到11个级分。然后馏分后将在硅胶上层析并用CHCl 3/MeOH洗脱,基于TLC显示的组成差异,17个组分通过CC重复级分,得到三种木脂素糖苷化合物[15],如图3所示的mananthosides I(1-6),mananthosides J(1-7),mananthosides K(1-8)。Mananthes patentiflora (Hemsl.)是刺科麻花属草本植物,分布于中国南方。以前对这种植物的植物化学研究为木酚素。为了从该植物中分离抗毒性化合物,故从该植物的地表以上部分分离得到三种木脂素糖苷化合物,均具有抗毒性。

Figure 3. Chemical structures of Mananthes patentiflora glycosides

3. Mananthes patentiflflora糖苷化合物的化学结构

3. 木脂素糖苷类化合物的合成

3.1. 木脂素糖苷类化合物的合成研究进展

3.1.1. 化学合成

(1) 糖供体(β-D-吡喃葡萄糖)

Filip S. Ekholm [16]等人在木脂素糖苷MDG(2-4)的短半合成中,用D-葡萄糖(2-1)和羟基马台树脂酚(HMR)(2-2)开始,总收率为28%。在BF3OEt刘易斯酸促进剂的存在下[17] [18],用苯甲酰基化的TCA供体进行糖基化[19]。使用BF3OEt2作为启动子,反应在未优化的反应条件下顺利进行,经柱色谱纯化后得到所需化合物(2-3),产率为69%。由于苯甲酰基和酯保护基的脱保护,通常使用MeOH中的NaOMe (Zémplen条件)是最常用的方法[20] (如图4所示)。通过用苯甲酰基取代乙酰基,不仅能够提高反应的效率,同时保留由C-2处的酯保护基显示的相邻基团参与的有益性质。

Figure 4. Short semi-synthesis of the lignan glycoside MDG (2-4)

4. 木脂素糖苷MDG(2-4)的短半合成中

受芳基萘苷类化合物抗肿瘤活性的启发,Lei Liu [21]等人首次采用相转移催化法和Yu糖基化法全合成了Phyllanthusmin D(2-5),以NaOH (0.1 N)为促进剂,TBAB (四丁基溴化铵)为相转移催化剂,diphyllin(2-6)和过苯甲酰化的L-阿拉伯糖基溴(2-7) [22]之间的相转移催化糖基化反应顺利进行,以良好的84%产率形成diphyllin 4-O-糖苷(2-8)。用NaOMe处理除去(2-8)中的所有苯甲酰基。定量产率得到具有完整内酯官能团的三醇中间体。邻位顺式排列的选择性异丙基化生成(2-9)(2-10),经两步产率为88%,然后使其经受与2-甲氧基苯甲醛的脱水酯化。最后以优异的产率(98%)获得所需的二醇(2-11)。在进行乙酰化得到中间体(2-12),随后在氢转移条件下AZMB裂解得到Phyllanthusmin D (2-5)(1;83%,两步)。如图5所示。该路线反应步数较长,所用反应条件复杂但是最终产物的产率较高。

利用同样的研究思路,Ikigami等人[23]发现糖基二苯基-N-Ts磷酰亚胺2-13在2.5当量的BF3.Et2O作用下,−5℃下和鬼臼毒素类化合物反应,可以75%左右的收率得到所需糖苷化产物2-15。在弱酸性条件下,可以脱除分子内所有的酰基保护基得到最终产物依托泊苷(1-4),如图6所示。该路线最终在弱酸条件下脱除保护基分子内的C-2手性不受此条件的影响。

(2) 糖供体(α-D-吡喃葡萄糖)

在早期合成鬼臼毒素葡萄糖苷的研究中,Kuhn及其团队采用了传统的Koenigs-Knorr糖苷化策略[24],如图7所示,在反应体系中加入1.66当量的二氰化汞(HgCN2)作为催化剂,将反应温度维持在60℃的恒温条件下。在该反应条件下,全乙酰化保护的葡萄糖溴代物(2-16)与鬼臼毒素衍生物(2-17)发生糖苷化反应,经过分离纯化后,成功获得目标产物(2-18),其分离收率达到64.8%。在ZnCl2/MeOH催化体系中,糖苷类化合物经过转化反应,以62%的产率生成了木脂素糖苷1-5。该反应过程中主要观察到两个副反应:其一是C-2位发生消旋化,其二是内酯结构发生开环反应。如图7所示。该路线不同的是使用的糖基供体是全乙酰化保护的葡萄糖溴代物,反应最后发生消旋化,但最终产物的产率较高。

Figure 5. Total synthesis of Phyllanthusmin D(2-5)

5. Phyllanthusmin D(2-5)的全合成

Figure 6. Synthesis route of etoposide (1-4)

6. 依托泊苷(1-4)的合成路线

Figure 7. Synthesis route of podophyllotoxin

7. 鬼臼毒素的合成路线

3.1.2. 生物合成

近年来的几项研究评估了木脂素苷在靛蓝中的生物合成途径,但在抗病毒木脂素苷如Lariciresinol-4'-O-β-D-glucoside(2-19)和Clemastanin B(2-20)生物合成中发挥作用的关键UGT仍不清楚[25]。2022年谭玉萍等人[26]通过转基因结果表明,3个UGT基因在植物木脂素糖基化中起特异性作用:IiUGT71B5a和IiUGT1分别主要参与针叶素和松脂醇二葡萄糖苷的生物合成,IiUGT4在靛蓝油蝛蝓中叶松树脂醇糖苷的生物合成中起重要作用。尽管UGT71C1被证明对松脂醇和落叶松树脂醇具有活性,但与IiUGT相比,这些产物不是二葡萄糖苷[27]。在这项研究中,各种碳骨架可以被三种IiUGTs酶糖基化,包括呋喃(落叶松树脂醇)、呋喃喃(松脂素醇)、二苄基丁内酯(matairesinol)和二苄基丁烷(secoisolariciresinol)。此外,IiUGT71B5a对松脂醇和松脂醇表现出足够的亲和力,但IiUGT4对松脂醇和松脂醇具有更高的亲和力[28]。此外,与IiUGT1和IiUGT71B5a相比,IiUGT4对落叶松树脂醇的亲和力最高。这三种酶与三叶松树脂醇具有相当的亲和力,表明这些IiUGT表现出酶混杂性。这些结果表明,这些IiUGTs可以通过催化植物中不同底物的糖基化发挥多种作用。如图8所示。

Figure 8. Biosynthesis of Clemastanin B (2-20)

8. Clemastanin B (2-20)生物合成

2023年张磊等人首先确定板蓝根主要积累(-)-松脂素衍生的木脂素[26]。研究表明,DIR1/2、PLR与UGT71B2这三个酶通过级联催化作用,依次完成了三个立体选择性反应步骤。这一系列反应最终促成了板蓝根中具有抗病毒活性的木脂素苷类化合物(-)-落叶松脂素单糖苷(2-24)和(-)-落叶松脂素双糖苷(2-25)的生物合成。该研究不仅明确了这些抗病毒木脂素的主要立体化学构型,还完整揭示了其立体选择性生物合成的分子机制。这一发现为后续利用微生物系统进行木脂素类化合物的异源合成提供了重要的分子元件和理论基础。该研究提供了植物ERF-DIR模块在逆境下调节木脂素合成的证据,ERF-DIR模块将成为一个理想的工程靶点,在提高植物抗逆性的同时增加有价值的木脂素的含量,如板蓝根中的抗病毒木脂素苷。如图9所示。

Figure 9. LTF1-DIR1 module 1 regulates the stereoselective biosynthesis of lignans

9. LTF1-DIR1模块1调控木脂素的立体选择性生物合成

4. 结论和展望

鉴于木脂素糖苷化合物的合成对药物发现、功能食品开发及植物化学研究提供了丰富的理论与实践价值,且将成为有机化学和药物化学领域的研究热点。本文总结了木脂素糖苷化合物的不同结构类型和分布分离情况,以及合成的策略。目前该领域主要运用的化学合成方法是先构建木脂素的骨架结构,再糖苷化和脱保护来完成木脂素糖苷化合物的合成,缺点是合成的步骤比较繁杂,反应条件相对比较苛刻且生成的副产物比较多。相信随着研究的不断深入,一些简洁、温和的合成方法将会被不断发展,合成路线也一定会更加绿色经济。

参考文献

[1] Torre, L.A., Bray, F., Siegel, R.L., Ferlay, J., Lortet-Tieulent, J. and Jemal, A. (2015) Global Cancer Statistics, 2012. CA: A Cancer Journal for Clinicians, 65, 87-108. [Google Scholar] [CrossRef] [PubMed]
[2] DeVita Jr, V.T. and Chu, E. (2008) A History of Cancer Chemotherapy. Cancer Research, 68, 8643-8653. [Google Scholar] [CrossRef] [PubMed]
[3] Newman, D.J. and Cragg, G.M. (2012) Natural Products as Sources of New Drugs over the 30 Years from 1981 to 2010. Journal of Natural Products, 75, 311-335. [Google Scholar] [CrossRef] [PubMed]
[4] Moss, G.P. (2000) Nomenclature of Lignans and Neolignans (IUPAC Recommendations 2000). Pure and Applied Chemistry, 72, 1493-1523. [Google Scholar] [CrossRef
[5] Moo-Puc, J.A., Martín-Quintal, Z., Mirón-López, G., Moo-Puc, R.E., Quijano, L. and Mena-Rejón, G.J. (2014) Isolation and Antitrichomonal Activity of the Chemical Constituents of the Leaves of Maytenus Phyllanthoides Benth. (Celastraceae). Química Nova, 37, 85-88. [Google Scholar] [CrossRef
[6] Kezimana, P., Dmitriev, A.A., Kudryavtseva, A.V., Romanova, E.V. and Melnikova, N.V. (2018) Secoisolariciresinol Diglucoside of Flaxseed and Its Metabolites: Biosynthesis and Potential for Nutraceuticals. Frontiers in Genetics, 9, Article 641. [Google Scholar] [CrossRef] [PubMed]
[7] Le Roy, J., Huss, B., Creach, A., Hawkins, S. and Neutelings, G. (2016) Glycosylation Is a Major Regulator of Phenylpropanoid Availability and Biological Activity in Plants. Frontiers in Plant Science, 7, Article 735. [Google Scholar] [CrossRef] [PubMed]
[8] Sinkule, J.A. (1984) Etoposide: A Semisynthetic Epipodophyllotoxin Chemistry, Pharmacology, Pharmacokinetics, Adverse Effects and Use as an Antineoplastic Agent. Pharmacotherapy: The Journal of Human Pharmacology and Drug Therapy, 4, 61-71. [Google Scholar] [CrossRef] [PubMed]
[9] Thompson, L.U., Seidl, M.M., Rickard, S.E., Orcheson, L.J. and Fong, H.H.S. (1996) Antitumorigenic Effect of a Mammalian Lignan Precursor from Flaxseed. Nutrition and Cancer, 26, 159-165. [Google Scholar] [CrossRef] [PubMed]
[10] Ramsay, A., Fliniaux, O., Quéro, A., Molinié, R., Demailly, H., Hano, C., et al. (2017) Kinetics of the Incorporation of the Main Phenolic Compounds into the Lignan Macromolecule during Flaxseed Development. Food Chemistry, 217, 1-8. [Google Scholar] [CrossRef] [PubMed]
[11] Anjum, S., Komal, A., Drouet, S., Kausar, H., Hano, C. and Abbasi, B.H. (2020) Feasible Production of Lignans and Neolignans in Root-Derived in Vitro Cultures of Flax (Linum usitatissimum L.). Plants, 9, Article 409. [Google Scholar] [CrossRef] [PubMed]
[12] Latté, K.P., Kaloga, M., Schäfer, A. and Kolodziej, H. (2008) An Ellagitannin, N-Butyl Gallate, Two Aryltetralin Lignans, and an Unprecedented Diterpene Ester from Pelargonium Reniforme. Phytochemistry, 69, 820-826. [Google Scholar] [CrossRef] [PubMed]
[13] Aziz-ur-Rehman, M.A., Riaz, N., Ahmad, H., Nawaz, S.A. and Choudhary, M.I. (2005) Lipoxygenase Inhibiting Constituents from Indigofera Hetrantha. Chemical and Pharmaceutical Bulletin, 53, 263-266. [Google Scholar] [CrossRef] [PubMed]
[14] Tian, J., He, H., Di, Y., Yang, X., Gao, Z. and Hao, X. (2008) Three New Lignan Glycosides Frommananthes Patentiflora. Journal of Asian Natural Products Research, 10, 228-232. [Google Scholar] [CrossRef] [PubMed]
[15] Li, Y.R., Li, S.M. and Lin, C.C. (2018) Effect of Resveratrol and Pterostilbene on Aging and Longevity. BioFactors, 44, 69-82. [Google Scholar] [CrossRef] [PubMed]
[16] Ekholm, F.S., Eklund, P. and Leino, R. (2010) A Short Semi-Synthesis and Complete NMR-Spectroscopic Characterization of the Naturally Occurring Lignan Glycoside Matairesinol 4,4’-di-o-β-d-diglucoside. Carbohydrate Research, 345, 1963-1967. [Google Scholar] [CrossRef] [PubMed]
[17] Stick, R.V. (2001) Carbohydrates: The Sweet Molecules of Life. Academic Press.
[18] Kröger, L. and Thiem, J. (2003) Convenient Multigram Scale Glycosylations of Scented Alcohols Employing Phase‐transfer Reactions. Journal of Carbohydrate Chemistry, 22, 9-23. [Google Scholar] [CrossRef
[19] Garegg, P.J. and Norberg, T. (1979) Synthesis of O-Beta-D-Glucopyranosyl-(1 Linked to 3)-O-Alpha-L-Fucopyranosyl-L-Threonine. Carbohydrate Research, 52, 235-240.
https://pubmed.ncbi.nlm.nih.gov/1016990/
[20] Zemplén, G., Gerecs, A. and Hadácsy, I. (1936) Über die Verseifung acetylierter Kohlenhydrate. Berichte der deutschen chemischen Gesellschaft (A and B Series), 69, 1827-1829. [Google Scholar] [CrossRef
[21] Liu, L., Hu, Y., Liu, H., Liu, D., Xia, J. and Sun, J. (2017) First Total Synthesis of the Bioactive Arylnaphthyl Lignan 4-o-Glycosides Phyllanthusmin D and 4’’-o-Acetylmananthoside B. European Journal of Organic Chemistry, 2017, 3674-3680. [Google Scholar] [CrossRef
[22] Giri, S.K. and Ravindranathan Kartha, K.P. (2010) Indium (III) Triflate-Mediated One-Step Preparation of Glycosyl Halides from Free Sugars. Synthetic Communications, 40, 3378-3383. [Google Scholar] [CrossRef
[23] Hashimoto, S., Honda, T. and Ikegami, S. (1991) A New and General Glycosidation Method for Podophyllum Lignan Glycosides. Tetrahedron Letters, 32, 1653-1654. [Google Scholar] [CrossRef
[24] Kuhn, M. and Von Wartburg, A. (1968) Abspaltung von Acyl-Schutzgruppen bei alkaliempfindlichen Glucosiden. Synthese von Podophyllotoxin-β-D-Glucosid. 20. Mitteilung über mitosehemmende Naturstoffe [1]. Helvetica Chimica Acta, 51, 163-168. [Google Scholar] [CrossRef] [PubMed]
[25] Hu, Y., Di, P., Chen, J., Xiao, Y., Zhang, L. and Chen, W. (2011) Isolation and Characterization of a Gene Encoding Cinnamoyl-CoA Reductase from Isatis Indigotica Fort. Molecular Biology Reports, 38, 2075-2083. [Google Scholar] [CrossRef] [PubMed]
[26] Tan, Y., Yang, J., Jiang, Y., Wang, J., Liu, Y., Zhao, Y., et al. (2022) Functional Characterization of UDP-Glycosyltransferases Involved in Anti-Viral Lignan Glycosides Biosynthesis in Isatis Indigotica. Frontiers in Plant Science, 13, Article 921815. [Google Scholar] [CrossRef] [PubMed]
[27] Okazawa, A., Kusunose, T., Ono, E., Kim, H.J., Satake, H., Shimizu, B., et al. (2014) Glucosyltransferase Activity of arabidopsis UGT71C1 Towards Pinoresinol and Lariciresinol. Plant Biotechnology, 31, 561-566. [Google Scholar] [CrossRef
[28] Chen, X., Chen, J., Feng, J., Wang, Y., Li, S., Xiao, Y., et al. (2021) Tandem UGT71B5s Catalyze Lignan Glycosylation in Isatis Indigotica with Substrates Promiscuity. Frontiers in Plant Science, 12, Article 637685. [Google Scholar] [CrossRef] [PubMed]