剪切气流驱动下单个液滴在不同润湿表面上的运动研究
A Study of Individual Droplet Motion on Surfaces with Different Wettabilities Driven by Shear Flow
摘要: 单个液滴的运动和变形在自然界和工业界都有广泛应用。采用高速图像系统,研究了不同体积液滴在不同表面上受不同风速条件下的运动,将实验情况和数值模拟相结合计算了液滴在不同条件下所受的阻力大小进而计算拟合了一个阻力系数的经验公式。为了更深入了解液滴在不同条件下的运动,研究了不同条件下液滴运动的位移时间关系、最大润湿长度以及动态接触角变化,本研究可以为外力驱动下液滴的变形和运动提供参考。
Abstract: The motion and deformation of individual droplets have wide applications in both nature and industry. Utilizing a high-speed imaging system, the motion of droplets with different volumes on various surfaces under different wind speed conditions was investigated. By combining experimental observations with numerical simulations, the drag force on droplets under different conditions was calculated, leading to the derivation of an empirical formula for the drag coefficient. To gain deeper insight into droplet motion under varying conditions, the displacement-time relationship, maximum wetted length, and dynamic contact angle variations during droplet motion were examined. This study provides a reference for understanding the deformation and motion of droplets driven by external forces.
文章引用:杨志辉, 宋奎. 剪切气流驱动下单个液滴在不同润湿表面上的运动研究[J]. 流体动力学, 2026, 14(1): 59-74. https://doi.org/10.12677/ijfd.2026.141007

1. 引言

固体表面上液滴的分离及其相应的动力学行为是多相流、界面科学以及表/界面工程领域的经典问题,其在飞机防冰[1]、自清洁[2]、微流控芯片或燃料电池通道中去除液滴[3]、油气采收和化工分离等[4]工业过程中具有广泛的应用。在实验研究方面,已经有众多学者研究了各种外力作用下液滴的运动,例如,Yao et al. [5]使用定制的离心附着力天平装置对单个液滴进行固位力测量,该装置通过电机带动离心臂上及其上面的液滴旋转,进而可以直接测量液滴的横向固位力。Guo et al. [6]研究了在不同外加电压大小作用下液滴的动态行为变化。Chen et al. [7]研究了超低电压下不同类型的液滴的滑动行为。相比这些而言,去除固体表面上的液滴比较容易的方法是利用倾斜表面上液滴自身的重力或者利用气流驱动。Hao et al. [8]研究了微结构超疏水表面上的液滴临界滑动角,建立了临界滑动角的函数关系式并实验验证,首次提出适用于微柱结构表面的临界滑动角与粗糙度相关的模型。Wang et al. [9]研究了冷气驱动下液滴在水平金属板上的运动,对液滴在冰风洞中不同工况下液滴的运动行为的边界拟合为气流温度的函数。在仿真方面,Liu et al. [10]利用针–板电极产生非均匀介电泳力来控制表面固着液滴的运动。利用相场法在相场两相流模型简化的非均匀电场下,开发模拟固着液滴在疏水表面上的电流体动力学行为。利用该模型,分析了油相中水滴的电驱动运动和变形,并将水滴的水平位移、垂直位移和偏移位移定量化,以表征非均匀电场的影响。Dimitrakopoulos et al. [11]考虑了在亚临界和超临界简单剪切流中,附着在粗糙或化学性质不均匀的固体基底上的液滴在圆形接触线上变形时的动力学。采用了斯托克斯流界面动力学的全隐式时间积分算法,此方法基于隐式格式与三维牛顿方法结合,解决了如何识别液滴与固体基地接触线上首先突破接触角迟滞条件的部分,即液滴运动时接触线哪一部分首先滑动的问题。因为在三维上液滴接触线的运动是很复杂的,该研究通过数值模拟为多相流界面滑动提供了独特的见解。

在影响固体表面液滴脱落的诸多参数中,表面的润湿特性是一个非常重要的参数。目前,已经开发了许多技术用于改造出不同特性的表面,包括电沉积法、化学蚀刻法、溶胶–凝胶、水热合成、化学气相沉积和光刻等等,然而,漫长的制造时间和复杂的工艺流程以及较高的成本导致这些技术备受限制。因此,喷涂、旋涂和浸涂法等表面涂层技术因其简单高效以及低成本已被广泛推广。

Yeganehdoust et al. [12]研究和比较液滴在空气剪切流下多种光滑润滑剂浸渍(SLIPS)表面上的运动行为。他们的研究表明,对于光滑的润滑剂浸渍表面,液滴会出现滚动和滑动的组合运动情况,液滴的运动行为受润滑剂性质的影响很大。近年来,PDMS由于其优异的柔韧性、牢固的粘附性、生物相容性、热稳定性和低表面能特性而引起了相当大的兴趣和广泛的研究关注。Mawignon et al. [13]研究制备了一个由固体鲨鱼皮表面启发的超疏水PDMS-ZnO表面,静态接触角可达到151˚,并指出PDMS与无机微米/纳米材料(例如,Fe3O4、SiO2、ZnO和TiO2)或碳基材料(例如,碳纳米颗粒,氧化石墨烯,碳纳米管和纤维素)的协同偶联是未来超疏水表面开发的新趋势。与PDMS涂料类似,PTFE同样是定制表面的重要原料之一。Kumbur et al. [14]研究了液滴在不同浓度的PTFE涂料表面上受剪切流驱动下的运动行为,研究表明,PTFE含量越高的表面,液滴的变形越大,尤其是对于雷诺数大于600时,PTFE含量影响更大,并表示在低风速时,液滴的去除不受PTFE含量的影响。该研究可以为燃料电池中PTFE含量的优化选择以及有效去除通道壁面的液滴的操作条件和通道设计提供参考。

尽管已经有很多学者对固体表面上不同剪切流动下液滴的运动进行了大量的实验研究,但大多致力于探讨影响液滴运动的临界风速的因素,例如,Wang et al. [9];Beawer et al. [15]都对液滴脱离的临界风速做出了经验拟合。但是对于气流中液滴的阻力系数相关的文献却很有限,Sommers et al. [16]指出并没有发现讨论雷诺数范围在1500到2500的气流驱动液滴从固体表面分离的阻力系数相关论文,因此根据综合考虑他们把所有情况的阻力系数均设为恒定值0.44。Milne et al. [17]也指出对于他们研究的雷诺数范围(2900到3500),并未发现表面上气流驱动液滴的阻力系数相关文献,因此他们将液滴表面张力的系数k与阻力系数的比值设为一个变量,研究了液滴脱落的临界风速,并拟合了自相似曲线。

根据实验发现,接触角对气流驱动液滴在固体表面的脱落影响是非常大的。因此研究不同润湿表面上液滴在气流驱动时的阻力系数是非常重要的。另外,关于疏水表面上接触角滞后如何影响液滴的运动研究较少,因为就算是具有相似的静态接触角,例如PDMS和PTFE,但由于不同的表面性质,液滴在其上会有不同的表现。因此,在本研究中,首先利用表面涂层技术制备了不同润湿表面。通过理论、实验和仿真分析了从亲水到超疏水表面单个液滴在临界风速气流驱动下的阻力系数。研究了在超过临界风速的气流下的液滴运动特征参数,包括液滴位移、润湿长度和接触角迟滞的变化规律。

2. 实验和理论基础

2.1. 实验材料表面制备

2.1.1. 实验材料

高纯TiO2 (Degussa P25,粒径 20 nm,锐钛矿和金红石的重量比为80:20),购自中国河北省清河县晶鑫纳米新材料公司。高纯SiO2 (Aladdin S104590,粒径20 nm),购自中国河北省石家庄市春晖纳米新材料公司。PDMS (Sylgard 184 A)和固化剂(Sylgard 184 B)购自Dow Corning Company (U.S.A.)。有机溶剂无水乙醇购自盛世化工(中国)。所有化学品均为分析级,并按收到时的原样使用。

2.1.2. 实验方法

将PDMS前体A部分(Sylgard 184弹性体基料)和PDMS前体B部分(Sylgard 184固化剂)以10:1的比例混合并搅拌均匀,然后将10 g混合溶液超声处理10分钟,直到溶液出现均匀且致密的气泡后将搅拌好的溶液放入抽真空仪器30分钟去除溶液中的气泡,将去除气泡后的溶液覆涂在载玻片之上,静置等待其均匀覆涂后放入烤箱60度温度下烘烤固化4小时,即可得到疏水PDMS表面。

超疏水PDMS-SiO2表面以及超疏水PDMS-TiO2表面的制作与疏水PDMS表面的制作类似,取PDMS 前体A部分(Sylgard 184弹性体基料) 1 g和PDMS前体B部分(Sylgard 184固化剂) 0.1 g和TiO2粉末1.1 g,充分混合,将混合物溶解于10 ml无水乙醇之中,超声处理10分钟充分搅拌后将载玻片浸没在混合溶液之中,放入抽真空仪器30分钟,确保无水乙醇已经完全挥发后,将载玻片放入烤箱120度温度下烘烤固化1小时,即可得到超疏水PDMS-TiO2表面。超疏水PDMS-SiO2表面的制作仅需把TiO2粉末换成SiO2粉末即可,实验表明SiO2/TiO2粉末的含量会影响表面的静态接触角,当PDMS与SiO2/TiO2比例从4:1慢慢改变时,表面的静态接触角也逐渐增加,直到PDMS与SiO2/TiO2比例为1:1时达到最大值,由于本实验需要的只有超疏水表面,因此本实验的超疏水表面均取PDMS与SiO2/TiO2比例为1:1,所有表面的静态接触角数据如表1所示,为避免偶然性,各表面制备数与所有实验或测量数据次数至少等于3,数据均取平均值,所有液滴实验均在短时间内完成因此忽略液滴蒸发的影响。

Table 1. Contact angles of droplets on different surfaces

1. 液滴在不同表面的接触角

表面参数

润湿性

静态接触角θs

标准度偏差

接触角滞后值(θmax~θmin)

标准度偏差

Al

亲水

66.6˚

0.4˚

13.1˚

3.8˚

PMMA

亲水

60.4˚

0.7˚

21.2˚

3.3˚

PTFE

疏水

98.5˚

0.6˚

47.3˚

2.3˚

PDMS

疏水

100.8˚

0.3˚

65.2˚

2.4˚

PDMS-SiO2

超疏水

155.7˚

2.5˚

5.2˚

5.5˚

PDMS-TiO2

超疏水

146.3˚

2.0˚

18.5˚

8.9˚

2.1.3. 实验装置

实验装置示意图如图1所示,气流由离心式鼓风机提供(浙江省台州市龙山机电有限公司生产),气流大小可由电压调节器调节,外接手动调节阀使气流大小控制更精确,出风口内径为50 mm,管口与液滴间距离为100 mm,液滴处气流速度通过数显风速计测量(标智GM816,购自浙江省杭州市三喜仪器),精度为0.01 m/s。6种表面被用作实验表面,分别是:金属铝、PMMA(聚甲基丙烯酸甲酯)、PDMS(聚二甲基硅氧烷)、PTFE(聚四氟乙烯)、PDMS-SiO2、PDMS-TiO2,分别是两个亲水表面,两个疏水表面,两个超疏水表面。液滴的产生是通过微升移液器(购自上海市松江区迈科实验仪器公司),液滴是去离子水,室温下密度 ρ w 为998.2 kg/m3,表面张力系数 σ w 为75.64 × 10−3 N/m,动力粘度 μ w 为1.005 × 10−3 N s/m2。液滴行为由高速相机记录(湖南科天健高速图像系统),帧率设置为200帧,分辨率为1280 × 860,将摄像机和LED背光源分别放置于液滴两侧。湖南科天健高速图像系统可由视频逐帧自动导出二值化的图片,将图片导入Auto CAD软件进行轮廓提取以及参数测量。

Figure 1. Schematic diagram of the experimental setup: droplet motion on different surfaces under airflow (left) and spontaneous droplet motion under gravity (right)

1. 实验装置示意图:气流中不同表面上液滴运动(左)重力作用下液滴自发运动(右)

2.2. 理论部分

2.2.1. 液滴静态接触角的测量原理

接触角的测量方法有很多,包括直接法和间接法。直接法即是对图片进行直接测量,包括测角法、测高法、镜面反射法、平行光束法等。间接法有利用毛细管上升或下降高度来推算接触角,或测力法等。本研究采用测高法测量液滴的接触角,由于本实验液滴体积最大为50微升,故忽略地球引力对液滴的影响,即认为液滴正视图是标准圆的一部分,如图2所示。图中θ为接触角,h为液滴球冠的高,L为液滴球冠底部直径,在直角三角形ACO`中, α+β= 90 ,因此有:

θ= 90 +( βα )=( β+α )+( βα )=2β tanβ= h r β=arctan h r =arctan 2h L ,所以 θ=2arctan 2h L ,这个几何关系无论θ大于90˚还是小于90˚都适用。

由球缺的体积公式 V d = π 6 ×h×[ 3× ( L 2 ) 2 + h 2 ] L= [ 16× V d π×tan θ 2 ×( 1+ 1 3 tan 2 θ 2 ) ] 1 3 以及 h= [ 2× tan 2 θ 2 × V d π×( 1+ 1 3 tan 2 θ 2 ) ] 1 3

事实上,对于实验而言,液滴体积和表面的静态接触角是已知的,因此液滴的尺寸参数也可以唯一确定,这些数据将会用于仿真软件中模型建立。

Figure 2. Calculation of the contact angle using the sessile drop method

2. 测高法计算接触角

2.2.2. 外力作用下运动的液滴

液滴在斜面上主要受重力和表面张力并且运动形态与平面上受气流驱动时并无不同,如图3所示,对于临界运动状态的液滴,重力的分力平行于斜面向下,表面张力与其平衡。液滴的表面张力由接触角、接触线的长度和形状控制[17] F adh =γ 0 L cosθ( l ) cosφ( l )dl ,其中 γ 是表面张力系数, dl 表示从液滴后缘开始逆时针沿接触线从0到L的微元。函数 φ( l ) 描述了接触线的法向分布, θ( l ) 描述了接触角沿接触线的分布,在使用一些特定的假设简化后(如接触角沿液滴前缘接触线的最大值的到后缘接触线的最小值的变化是线性的变化),可以得到简化模型 F adh =kLγ( cos θ min cos θ max ) L是液滴的润湿长度,k是实验修正系数。液滴在重力作用下在倾斜表面上产生的拖曳力 F d =ρgVsinα ,对于临界运动时, F d = F adh 。液滴在剪切气流驱动时,主要受气流剪切的气动阻力,保持力主要由表面张力提供,气动阻力由牛顿在1726年提出的绕流阻力公式计算, F D = 1 2 C D ρ air U 0 2 A ,其中 C D 是阻力系数, ρ air 是空气的密度,U0是液滴处的空气速度,A是垂直于气流方向的液滴投影面积,临界运动时, F D = F adh

Figure 3. Schematic diagram of the advancing contact angle (θmax) and receding contact angle (θmin) of a droplet under airflow

3. 气流作用下液滴的前进接触角(θmax)和后退接触角(θmin)示意图

3. 结果与讨论

3.1. 剪切流场中液滴的临界风速和阻力系数

在风场中对6个不同润湿表面进行测试,表面1和表面2为亲水表面,分别是PMMA表面和AL表面,表面3和表面4为疏水表面,分别是PTEF表面和PDMS表面,表面5和表面6为超疏水表面,分别是PDMS-TiO2表面和PDMS-SiO2表面。图4给出了10 μL到50 μL水滴在不同润湿表面上的临界速度Uc与水滴体积Vd之间的关系。液滴运动的开始被定义为:液滴前缘接触线或者后缘接触线开始移动,并且液滴中心也要有显著位移,否则视为液滴依旧停留在原地,事实上液滴在不同表面运动的主要变形阶段在液滴开始运动之后的加速阶段,因此假设液滴在临界运动时的振动变形可以忽略。众所周知,对于同一个均质表面上沉积的液滴而言,体积越小的液滴越难被风吹走,即液滴的临界风速会随液滴体积减小而增大。如图4所示,当液滴体积从50 μL变化到10 μL时,所有表面的临界风速都随体积减小而增大。因为当液滴受到小于或等于临界风速的气流时,主要是液滴的表面张力主导其运动而不是气动剪切力,只有当液滴受到大于临界风速的气流时,气动剪切力才主导液滴沿气流方向运动。随着液滴体积的增大,液滴的高度变大,从而会有更大的迎风面积,对于同时受到表面张力和气动剪切力的液滴而言,迎风面积A的增大相比于液滴润湿长度L的增大在数值上来看面积的增加会更多,会使气动剪切力对液滴的影响更加突出,因此吹动液滴所需的临界风速更低。

除此之外,对于同为亲水表面的PMMA表面和AL表面而言,尽管两者静态接触角相差不大一个为60˚另一个为67˚,但不同体积液滴的临界风速相差了13.3%~21.8%。Wang et al. [9]指出这是因为不同表面的接触角迟滞所导致的,因为接触角迟滞可以决定液滴运动的形状,并且越大的接触角迟滞值可以导致越大的表面张力,因此接触角迟滞也可以显著影响液滴的临界风速。对于两个疏水表面PTEF表面和PDMS表面而言,尽管PTEF表面和PDMS表面的静态接触角几乎一样都是100˚,但PDMS表面对于水滴有较好的粘附性,这可以让其哪怕翻转180˚仍然保持水滴粘附于其表面之上,而PTEF表面无法做到

Figure 4. Relationship between critical wind speed Uc and droplet volume on different surfaces

4. 不同表面下临界风速Uc和液滴体积的关系

这点,可以发现对于不同体积液滴的临界风速PDMS表面比PTEF表面高5.35%~8.15%。因为这两者都是有机高聚物,Murase et al. [18]通过量子化学中的分子轨道法对聚合物和水分子之间相互作用的理论计算指出了PTEF表面和PDMS表面存在这种差异的原因:含氟聚合物链段的刚性和水中冰状分子排列的增强也会导致液滴运动的保持力有所不同。对于两个超疏水表面而言,由于超疏水表面具有超高静态接触角的特性,超疏水表面上的液滴通常不会和亲水和疏水表面一样受气流作用下在表面上滑动,液滴通常表现出滚动、先滚动再滑动,甚至直接被吹飞离开表面等运动现象。图1所示的结果中,PDMS-TiO2表面是典型的Wenzel-Cassie混合态表面(类似玫瑰花瓣表面),因此对于在PDMS-TiO2表面沉积的水滴而言,它会直接被气流吹成两个液滴,具有更多体积的母液滴直接被吹飞,具有更小体积的子液滴则停留在表面,这个现象导致PDMS-TiO2表面的临界风速比同样具有高接触角的PDMS-SiO2表面大101%~126%,因为气流不仅要克服液滴的表面张力还要提供母液滴的升力。而对于PDMS-SiO2表面而言,这是典型的Cassie态表面(类似荷叶表面),液滴一般在其上滚动或者滚动和滑动混合运动。由于滚动和吹飞离开表面的现象的存在,因此大多数学者不去关心超疏水表面上液滴运动时的动态接触角迟滞值,而更加关注于液滴在超疏水表面的滑动角,即液滴在不同角度倾斜表面上运动时的临界角度[19]

图5显示了超疏水PDMS-SiO2表面上不同体积(10 μl到50 μl)水滴的临界滑动角随体积的变化。根据理论部分的公式,斜面上临界滑动的液滴所受的重力与表面张力平衡,在不考虑其他变量之间的耦合时,易得液滴的临界滑动角与体积的倒数之间是反正弦的关系。即液滴体积越大,倾斜角越小,因为其重力驱动力较大。特别的对于超疏水PDMS-SiO2表面而言,由于其具有较高的静态接触角和较低的接触角滞后,较高的静态接触角可以让同体积时其润湿长度L更小,较小的接触角滞后可以让 ( cos θ min cos θ max ) 更小,所以液滴在上面的表面张力相较于其他表面会小得多,从而解释了液滴可以沿表面相对容易地滑落,其他表面的斜面实验则会出现哪怕将表面竖直放置液滴仍然没有滑落的现象。

计算沉积在光滑固体表面上的液滴的粘附力是一个非常经典的问题。由于较难直接测量粘附力,一般通过间接方法获得,通过引入外力例如重力,风力,电磁场力等,对于暴露于气流的液滴而言,外力

Figure 5. Relationship between the critical sliding angle and droplet volume on a PDMS-SiO2 surface

5. PDMS-SiO2表面临界滑动角和液滴体积的关系

将由表面张力引起的水–固体界面粘附力平衡,假设液滴上没有其他体积力(重力由法向表面反作用力平衡),则用于使液滴脱落的唯一力是空气动力学的摩擦阻力和压差阻力,即绕流阻力。然而在实验中除非使用高精度的粒子图像测速(PIV)技术用于获得固着液滴的速度场和压力场,不然难以用解析解来计算在空气流动下液滴在板上的精确总阻力。因此我们借助CFD (Computational Fluid Dynamics)模拟的方法,通过仿真获得液滴周围的速度场信息,然后对静止液滴的压力分布和液滴球冠上的粘性摩擦力进行积分,得到了液滴在气流作用下所受的精确的总阻力Fdrag。在模拟时假设液滴为标准球体的一部分,壁面采用wall边界条件,无滑移,液滴表面设置interior边界条件,保证气流有效作用于液滴。对于所涉及的所有情况在液滴放置位置雷诺数范围在200到3000,低于湍流转捩的雷诺数4000,故粘性部分选用层流模型开启VOF选项,采用全耦合迭代增加收敛性。采用有限体积法中常用的simple算法选择二阶迎风格式求解NS方程组,采用瞬态模拟,时间步长0.01,步数为1000步。气流在入口边界以实验获得的临界风速值均匀流入,通过出口边界离开,使用商用CFD软件ANSYS Workbench 2022R1的Fluent模块进行仿真模拟,三维模型及网格划分如图6所示,计算域为30 mm × 13 mm × 13 mm。

Figure 6. CFD three-dimensional model and meshing diagram

6. CFD三维模型及网格划分图

为验证仿真模拟结果的网格无关性,以超疏水PDMS-SiO2表面上10 μl体积液滴在临界风速下的结果为例,参照fluent用户手册,按照典型的工程快速计算要求,对流场及液滴都采用默认非结构网格划分,添加边界层5层,过度比0.272,增长率1.2。仿真模拟的可靠度很大程度上取决于网格质量,采用控制单元尺寸的方法控制网格单元的最大与最小尺寸,控制网格最大单元尺寸为0.35186 mm、0.17593 mm、0.08797 mm、0.04398 mm、0.02199 mm,即后一个案例网格最大单元尺寸为前一个的一半大小,单元数与节点数随网格最大单元尺寸减小而增加,由最粗糙的2213个节点与10,785个单元变化为1,230,603个节点与6,856,066个单元,但计算结果并无太大变化,如图7所示,验证了模拟结果与网格的无关性。

图8所示,红色实心小圆点是CFD模拟超疏水PDMS-SiO2表面上对不同临界气流速度下不同体

Figure 7. Calculation results of shear resistance under different minimum mesh element sizes

7. 不同最小网格单元尺寸下剪切阻力计算结果

Figure 8. Drag forces acting on droplets of different volumes under inclined surfaces and airflow

8. 不同体积液滴在斜面和气流作用下所受阻力

积水滴的总阻力Fdrag的模拟结果。黑色实心三角形是真实实验中超疏水PDMS-SiO2表面上不同体积水滴在倾斜情况下受重力影响下的Fdrag结果。可以发现,对于不同体积的水滴而言,液滴在表面的保持力随液滴体积的增加而增加。对于相同体积的水滴,CFD模拟的结果和重力作用下的斜面实验结果有很好的一致性,同时也证明了用CFD模拟方法可以捕获液滴在气流中所受的阻力大小。

阻力系数是评价风驱动液滴运动的重要参数,然而不幸的是,如表2所示,目前尚无共识,由于实验难以获得速度场和压力场的准确数据,因此实验结果往往局限于定性分析,近二十年有关风驱动液滴运动相关的研究中,在阻力系数上最常引用是Ishii et al. [20]的阻力系数表达式,阻力系数为: C D = 24( 1+0.1 Re 0.75 ) Re ,适用的雷诺数范围在100到10,000。或者如同Sommers et al. [16]将阻力系数设

置为常数0.44 (雷诺数范围在1500到2500),可以看出Ishii et al. [20]和Uhlherr et al. [21]以及Beard et al. [22]的阻力系数表达式都是在斯托克斯阻力Cd=24/Re的基础上改进而来。

Table 2. Published expressions for the drag coefficient

2. 已发表的阻力系数表达式

CD表达式

雷诺数Re范围

参考文献

C D = 24/ Re

4 < Re < 400

[23]

C D =0.44

1500 < Re < 2500

[16]

C D =0.45

Re = 1000

[24]

log C D =1.64351.1242logRe+0.1558 ( logRe ) 2

260 < Re < 2500

[25]

C D =0.28+ 6 Re + 21 Re

200 < Re < 2500

[22]

C D =0.133 ( 1+ 150 Re ) 1.565

50 < Re < 700

[21]

C D = 24( 1+0.1 Re 0.75 ) Re

100 < Re < 10000

[20]

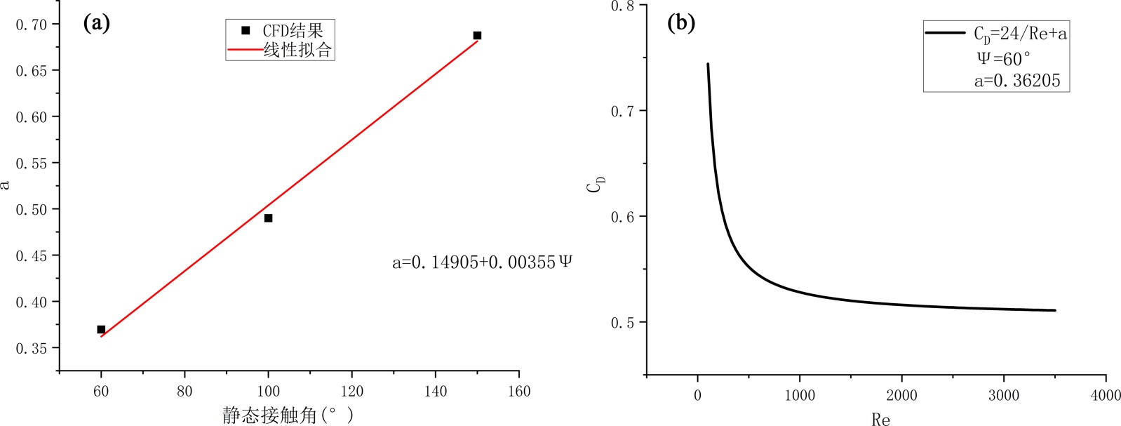
可以发现以上所有阻力系数要么是定值,要么是雷诺数的函数,并没有考虑到表面润湿性这一关键因素。因此本研究尝试在斯托克斯阻力Cd = 24/Re的基础上添加一项来描述阻力系数:Cd = 24/Re + a。通过实验和仿真不难发现,对于同一条件下同一个稳态静止液滴而言,在不同润湿表面上会有不同形状,如劣弧弓形、半圆弓形,优弧弓形,对应由亲水表面到超疏水表面,运动情况也不尽相同。因此加入一个常数项a来捕捉不同润湿表面液滴的不同形状,a只与表面的静态接触角Ψ有关。因为相同表面不同体积液滴在稳态下的静态接触角变化不大,因此a可以表示为不同接触角的线性函数,如图9所示, a=0.14905+0.00355Ψ

通过两个公式的组合,可以计算出从亲水表面到超疏水表面上水滴运动的阻力系数,也可以计算出不同润湿表面水滴的临界吹离风速,结果表明在Sommers et al. [16]的1500到2500雷诺数下的PDMS表面上(由于原文并未给出所进行实验表面的静态接触角,故参考本实验同材料的数据取100˚)阻力系数为0.52005到0.51365之间,与其所设的常数0.44相差不大。同样地,在Ishii et al. [20]的结果中,雷诺数在2300到3000时阻力系数为0.332到0.357,而用本文的公式计算同样雷诺数下的阻力系数为0.37005到0.37248,差异不大,表明本文的研究内容在本研究的雷诺数范围内(200到3000)具有一定的参考意义,而对于特殊的表面如微结构阵列表面以及各向异性微槽表面或其他高粘附性超疏水表面需要考虑更多因素而不是仅考虑雷诺数和接触角。

Figure 9. (Left) Functional relationship between parameter a and the static contact angle. (Right) Functional relationship between the drag coefficient CDand the Reynolds number

9. (左)参数a与静态接触角的函数关系(右)阻力系数CD与雷诺数的函数关系

3.2. 更大风速下剪切流场中液滴的运动

图10展示了更大风速下液滴在不同润湿表面运动情况,与较小的临界风速下液滴的小变形运动不同,液滴运动的变形程度与风速大小、表面润湿性等因素相关,一般而言,风速越大变形越剧烈。液滴在不同表面会有不同的运动现象,在运动初期,对于亲水表面的液滴而言,如图10(a)所示,和其他表面上滑动的液滴类似,液滴前缘的质量增加而后缘减少,即液滴的重心向气流方向倾斜。这是由于液滴在受到外力时,三相接触的表面张力承担着绝大多数的液滴保持力,也就是说只有液滴的小部分在承担保持力,因此在受到外力时液滴的大部分体积会被外力影响,从而对受外力作用任何表面上的滑动液滴而言,液滴运动的初期都是向气流方向倾斜。

Figure 10. Motion of droplets on surfaces with different wettabilities in a shear flow field: (a) Aluminum, (b) PTFE, (c) PDMS-SiO2, (d) PDMS-TiO2

10. 剪切流场中液滴在不同润湿表面的移动:(a) 铝,(b) PTFE,(c) PDMS-SiO2,(d) PDMS-TiO2

随后,发现不同表面上的滑动液滴运动情况开始出现不同的变化。在亲水表面上,如金属铝表面和PMMA表面,如图10(a)展示了金属铝表面上30 μl液滴在10 m/s风速下的运动,这已经大于其临界运动风速6.5 m/s。液滴变形剧烈变为细长的溪流状,此时液滴的润湿长度达到最大值,增加到原来的两倍以上,液滴在短暂震荡停留后分离出子液滴,此时母液滴已经离开视野范围,子液滴由于体积过小不易吹动继续停留在表面。在疏水表面上,如疏水PTFE表面和PDMS表面,液滴运动时形状保持较为紧凑状态,在所进行实验的所有风速中(2 m/s到15 m/s),疏水表面均未发现出现液滴分离的现象,液滴的润湿长度只是略有变化。对于超疏水表面而言,实验研究了PDMS-SiO2超疏水涂层表面和PDMS-TiO2超疏水涂层表面上液滴受风驱动下的运动,两个表面分别对应“玫瑰花瓣效应(Petal Effect)”和“荷叶效应(Lotus Effect)”。对于具有“玫瑰花瓣效应(Petal Effect)”的PDMS-TiO2超疏水涂层表面而言,由于其对水滴的强粘附性,如图10(d)展示了20 μl水滴在受到7 m/s来流风速作用时的运动,水滴在初始阶段和其他表面上运动的液滴类似,液滴质心向气流方向移动,但由于PDMS-TiO2超疏水表面的高接触角迟滞,这使得液滴前缘直接被吹飞出去,这是因为液滴所受的升力大于液滴的粘附力,而液滴底部则由于表面的“玫瑰花瓣效应(Petal Effect)”的独特微观结构依旧粘附在表面之上。与之相反,对于具有“荷叶效应(Lotus Effect)”的PDMS-SiO2超疏水涂层表面而言,水滴在其上和荷叶类似具有高接触角和低滚动角,如图10(c)展示了10 μl水滴在受到4 m/s来流风速作用下的运动,与倾斜表面实验类似,液滴在其上迅速滚动离开脱落。

3.2.1. 位移

图11展示了液滴在亲水表面和疏水表面上运动时液滴位移和时间的关系,众所周知物体在受恒定外力时的运动为先加速后匀速,已有学者对液滴在重力作用下斜面上运动的速度、加速度值进行了详细研究[26]。由于液滴运动过程中的变形情况较为复杂,难以确定质心位置,本研究以液滴前缘顶点的位移代表液滴本身的位移,由于超疏水表面上液滴的运动情况更为复杂,会出现吹飞和滚动的情况,一旦液滴脱离表面,其主要受力与其他表面情况不同,由于本小节主要关注液滴的加速阶段的持续时间,因此本小节不会涉及超疏水表面。

Figure 11. Displacement of droplets on surfaces with different wettabilities: (a) Hydrophilic surface; (b) Hydrophobic surface

11. 液滴在不同润湿表面的位移:(a) 亲水表面;(b) 疏水表面

图11展示了亲水表面和疏水表面上50 μl的液滴分别在4 m/s、5 m/s、6 m/s来流风速下运动过程中的位移时间关系,因为实验中7 m/s到7.5 m/s时,亲水铝表面才会发生液滴分离现象,为了避免出现液滴分离的偶然性,因此选择不出现液滴分离的风速。可以显然发现,所有情况下液滴都表现为先加速后匀速现象,加速阶段是液滴变形产生的主要时期,一般表现为前缘接触角增大,后缘接触角减小。在进入匀速阶段后,前缘和后缘接触角会保持相对恒定的状态。对于同一润湿角的表面而言,来流风速越大,液滴运动的速度就越大,风速越大,加速阶段的持续时间越短,因为对于同一体积的液滴而言,越大的风速意味着受到的外力越大,就能更快达到匀速运动形状的条件。对于不同润湿角的表面而言,在同一来流风速下,液滴在疏水表面运动速度会比亲水表面运动更快,这也符合生活常识,与此同时,液滴在疏水表面运动时的加速时间也比亲水表面运动更短,因为如前文所描述,液滴在疏水表面运动时形状更为紧凑,即不需要如同亲水表面那样大的变形即可达到能维持匀速运动的形状。

3.2.2. 润湿长度变化

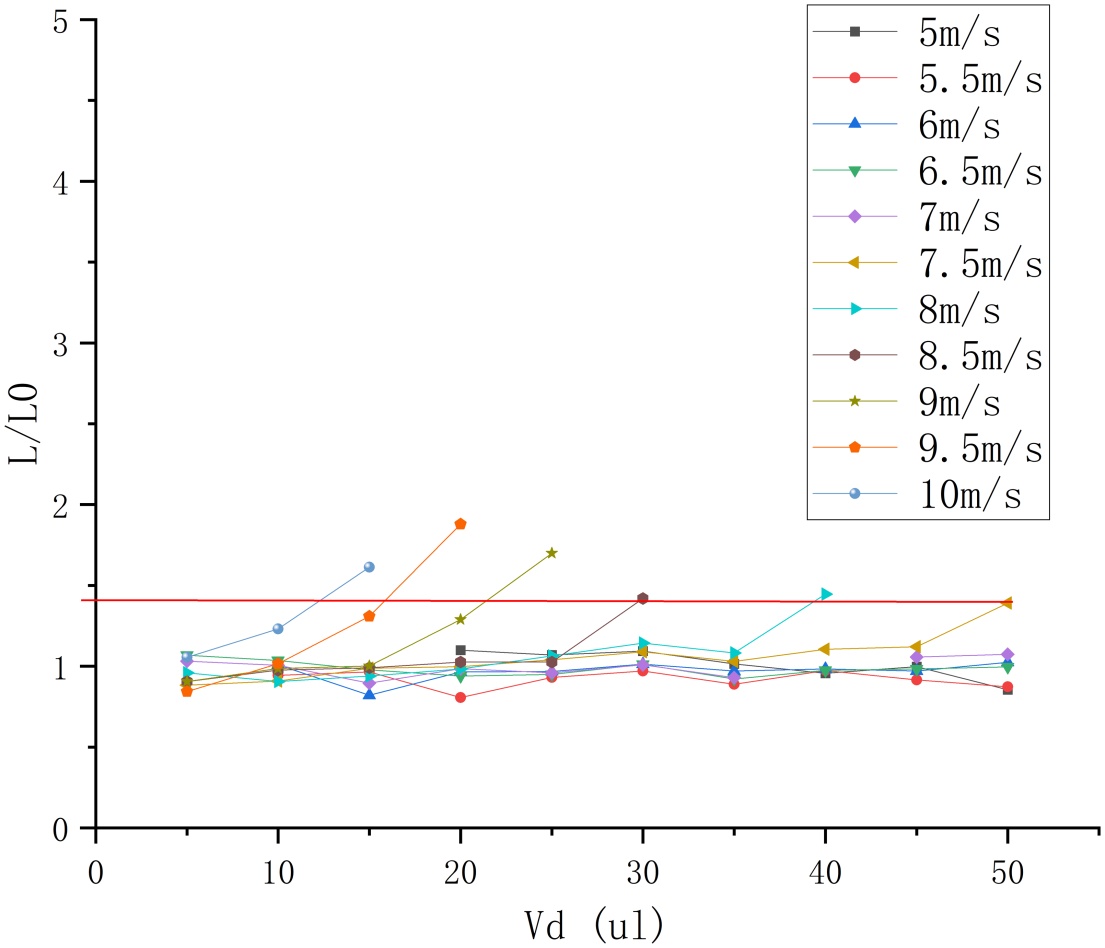
图12展示了实验中亲水金属铝表面不同来流风速下液滴的润湿长度变化随液滴体积变化的情况,在前面提到,在液滴开始滑动之后,液滴首先会经历加速阶段,在这个阶段液滴会根据情况的不同(主要是液滴自身体积和来流风速)变形成不同形状,其中尤其是亲水表面上,会出现液滴在加速阶段破裂分离出子液滴的现象。因此本研究采用一个特征参数即液滴运动过程中的润湿长度变化来描述液滴在亲水金属铝表面上运动时的形态变化,以液滴加速运动时能达到的最大润湿长度与液滴静态润湿长度的比值作为液滴润湿长度变化。如图12所示,可以发现对于大多数情况下,液滴的润湿长度变化不大,且有减小情况(液滴润湿长度比小于1)的发生,因为液滴倾向于把体积聚集在头部前缘部分,即液滴倾向于变得又高又瘦。实验发现对于来流风速小于7.5 m/s时,亲水金属铝表面上运动的液滴在实验中所用的所有体积情况中(5 μl到50 μl),都不会发生液滴被吹破分离出子液滴的现象。在来流风速增加到7.5 m/s时,此时实验中50 μl的液滴首先发生破裂分离出子液滴的现象,在来流风速继续增加时,达到8 m/s时,此时40 μl的液滴就已经会发生破裂分离出子液滴的现象,由于液滴的分离破裂出的小液滴体积和数量都具有随机性,本研究关注的只是每一种风速下的临界液滴分离体积,高于此临界体积的液滴当然也会出现破裂分离出子液滴的情况,但本研究不再测量其液滴润湿长度比。同样地,在8.5 m/s、9 m/s、9.5 m/s、10 m/s的风速下,30 μl、25 μl、20 μl、15 μl体积的液滴陆续开始出现破裂分离出子液滴的现象。对应图12

Figure 12. Variation of wetted length for droplets of different volumes on an aluminum surface under varying incoming flow velocities

12. 金属铝表面不同来流风速下不同体积液滴的润湿长度变化

红线(液滴润湿长度比为1.4)以上的点代表以此为分界会出现液滴破裂分离出子液滴的实验结果。对于红线以下的实验结果,发现液滴运动的润湿长度变化值并不大,在1附近上下波动,而一旦达到可以出现液滴破裂分离出子液滴的条件(7.5 m/s来流风速以及50 μl体积)时,此时液滴会在加速阶段润湿长度显著增加,最大可以增加到原来的1.87倍,随着来流风速这一条件的增加,液滴体积这一条件会随之降低。

3.2.3. 动态接触角的变化

对于液滴在固体表面粘附力的测量,大多是通过沿接触线对表面张力积分而得到。已有众多学者对此进行过详细描述[27]。文献[27]表明,表面张力(或称为粘附力)的总和与接触角滞后( θ max θ min )成正比,并且其中明确指出,应该注意的是, θ max θ min 并不同于从座滴实验中发现的前进和后退接触角,而是在外力作用下的动态接触角的最大值和最小值。因此为了以示区分,这里称座滴法中的接触角滞后为静态接触角滞后,而液滴在外力作用下的接触角滞后称为动态接触角滞后。如图13展示了疏水PTFE表面上不同体积的液滴在不同来流风速下的动态接触角滞后值,对于同一体积的液滴而言,动态接触角滞后随来流风速增加而增加,但达到上限后不再随风速增加而增加,对于同一风速下不同体积液滴而言,体积更大的液滴会有更大的动态接触角滞后值。总而言之体积的增大和来流风速的增大都会增加动态接触角滞后,但是达到一个上限后无论增大体积还是风速都不会对动态接触角滞后有明显的增加。前面也提到,液滴在受气流驱动在表面上运动时,总是先加速再匀速,加速阶段即是液滴变形的主要阶段,液滴的变形可以表示为液滴的动态接触角滞后改变,更大体积的液滴以及更大的风速值意味着液滴会有更大的变形,但是由于受表面润湿条件的约束,疏水PTFE表面上运动的液滴的变形总有一个最大值,是因为疏水表面上没有出现液滴被吹成溪流后破裂分离出子液滴的现象。

Figure 13. Dynamic contact angle hysteresis of droplets with different volumes on a PTFE surface under varying incoming flow velocities

13. PTFE表面上不同体积的液滴在不同来流风速下的动态接触角滞后值

4. 总结

本文采用表面涂层技术在载玻片上制备了PDMS表面以及通过将PDMS溶胶与无机纳米材料SiO2、TiO2在强超声环境下混合制备了具有高度疏水性能的PDMS-SiO2表面以及PDMS-TiO2表面,研究了从亲水到超疏水的6种表面上气流作用下粘附液滴的脱落。实验研究了不同表面的临界脱落风速和机理,该脱落机理与重力作用下斜面上液滴的临界脱落机理一致,并通过斜面实验和仿真模拟结果对比验证了仿真获取液滴所受的气流阻力的可行性。用仿真所获取的不同接触角表面上的液滴阻力进而建立了一个从亲水到超疏水润湿角的阻力系数经验公式,阻力系数与液滴的雷诺数以及表面的润湿角有关,并与目前被引用最多的液滴阻力系数计算公式对比,在相同条件下误差最小只有4.341%。对于较大风速时的不同表面上液滴的运动,研究了亲水表面和疏水表面上液滴运动时位移随时间的变化,发现液滴的变形主要发生在加速阶段。对亲水金属铝表面定义了一个液滴临界破裂参数来刻画亲水表面上超越临界风速时会发生液滴破裂的情况,对疏水PTEF表面研究了液滴在其上运动的动态接触角滞后,发现动态接触角滞后变化也主要发生在加速运动阶段,并且不同条件下的动态接触角滞后总有一个最大值。本研究可以为液滴驱动等相关领域提供参考。

NOTES

*通讯作者。

参考文献

[1] Uemura, T., Iguchi, M. and Ueda, Y. (2017) Wettability Problems in Materials Processing. In: Uemura, T., Iguchi, M. and Ueda, Y., Eds., Flow Visualization in Materials Processing, Springer, 137-182. [Google Scholar] [CrossRef
[2] Hassan, G., Yilbas, B.S., Al-Sharafi, A. and Al-Qahtani, H. (2019) Self-Cleaning of a Hydrophobic Surface by a Rolling Water Droplet. Scientific Reports, 9, Article No. 5744. [Google Scholar] [CrossRef] [PubMed]
[3] Zhu, X., Sui, P.C. and Djilali, N. (2007) Dynamic Behaviour of Liquid Water Emerging from a GDL Pore into a PEMFC Gas Flow Channel. Journal of Power Sources, 172, 287-295. [Google Scholar] [CrossRef
[4] Thoreau, V., Malki, B., Berthome, G., Boulange-Petermann, L. and Joud, J.C. (2006) Physico-Chemical and Dynamic Study of Oil-Drop Removal from Bare and Coated Stainless-Steel Surfaces. Journal of Adhesion Science and Technology, 20, 1819-1831. [Google Scholar] [CrossRef
[5] Yao, C., Tang, S., Sebastian, D. and Tadmor, R. (2020) Sliding of Water Droplets on Micropillar-Structured Superhydrophobic Surfaces. Applied Surface Science, 504, Article ID: 144493. [Google Scholar] [CrossRef
[6] Guo, T., Che, P., Heng, L., Fan, L. and Jiang, L. (2016) Anisotropic Slippery Surfaces: Electric‐Driven Smart Control of a Drop's Slide. Advanced Materials, 28, 6999-7007. [Google Scholar] [CrossRef] [PubMed]
[7] Chen, C., Huang, Z., Jiao, Y., Shi, L., Zhang, Y., Li, J., et al. (2019) In Situ Reversible Control between Sliding and Pinning for Diverse Liquids under Ultra-Low Voltage. ACS Nano, 13, 5742-5752. [Google Scholar] [CrossRef] [PubMed]
[8] Lv, C., Yang, C., Hao, P., He, F. and Zheng, Q. (2010) Sliding of Water Droplets on Microstructured Hydrophobic Surfaces. Langmuir, 26, 8704-8708. [Google Scholar] [CrossRef] [PubMed]
[9] Wang, S., Chang, S., Yu, W. and Wu, K. (2025) Experimental Investigation of Droplet Moving on a Horizontal Metal Plate Driven by Cold Airflow. International Journal of Heat and Fluid Flow, 112, Article ID: 109747. [Google Scholar] [CrossRef
[10] Liu, J. and Liu, S. (2019) Dynamics Behaviors of Droplet on Hydrophobic Surfaces Driven by Electric Field. Micromachines, 10, Article 778. [Google Scholar] [CrossRef] [PubMed]
[11] Dimitrakopoulos, P. (2007) Deformation of a Droplet Adhering to a Solid Surface in Shear Flow: Onset of Interfacial Sliding. Journal of Fluid Mechanics, 580, 451-466. [Google Scholar] [CrossRef
[12] Yeganehdoust, F., Amer, A., Sharifi, N., Karimfazli, I. and Dolatabadi, A. (2021) Droplet Mobility on Slippery Lubricant Impregnated and Superhydrophobic Surfaces under the Effect of Air Shear Flow. Langmuir, 37, 6278-6291. [Google Scholar] [CrossRef] [PubMed]
[13] Mawignon, F.J., Qin, L., Kouediatouka, A.N., Lu, S., Yang, H., Yeo, K.F.H., et al. (2023) Highly Strong Bio-Inspired ZnO/PDMS Superhydrophobic Surface with Drag Reduction and Antibacterial Properties. Tribology International, 189, Article ID: 109003. [Google Scholar] [CrossRef
[14] Kumbur, E.C., Sharp, K.V. and Mench, M.M. (2006) Liquid Droplet Behavior and Instability in a Polymer Electrolyte Fuel Cell Flow Channel. Journal of Power Sources, 161, 333-345. [Google Scholar] [CrossRef
[15] Barwari, B., Burgmann, S., Bechtold, A., Rohde, M. and Janoske, U. (2019) Experimental Study of the Onset of Downstream Motion of Adhering Droplets in Turbulent Shear Flows. Experimental Thermal and Fluid Science, 109, Article ID: 109843. [Google Scholar] [CrossRef
[16] Sommers, A.D., Ying, J. and Eid, K.F. (2012) Predicting the Onset of Condensate Droplet Departure from a Vertical Surface Due to Air Flow—Applications to Topographically-Modified, Micro-Grooved Surfaces. Experimental Thermal and Fluid Science, 40, 38-49. [Google Scholar] [CrossRef
[17] Milne, A.J.B. and Amirfazli, A. (2009) Drop Shedding by Shear Flow for Hydrophilic to Superhydrophobic Surfaces. Langmuir, 25, 14155-14164. [Google Scholar] [CrossRef] [PubMed]
[18] Murase, H. and Fujibayashi, T. (1997) Characterization of Molecular Interfaces in Hydrophobic Systems. Progress in Organic Coatings, 31, 97-104. [Google Scholar] [CrossRef
[19] Olin, P., Lindström, S.B., Pettersson, T. and Wågberg, L. (2013) Water Drop Friction on Superhydrophobic Surfaces. Langmuir, 29, 9079-9089. [Google Scholar] [CrossRef] [PubMed]
[20] Ishii, M. and Chawla, T.C. (1979) Local Drag Laws in Dispersed Two-Phase Flow. Argonne National Laboratory (ANL).
[21] Uhlherr, P.H.T. and Sinclair, C.G. (1971) Effect of Free Stream Turbulence on Drag Coefficient of Spheres. British Chemical Engineering, 16, 229.
[22] Beard, K.V. and Pruppacher, H.R. (1969) A Determination of the Terminal Velocity and Drag of Small Water Drops by Means of a Wind Tunnel. Journal of the Atmospheric Sciences, 26, 1066-1072. [Google Scholar] [CrossRef
[23] Al-Hayes, R.A.M. and Winterton, R.H.S. (1981) Bubble Diameter on Detachment in Flowing Liquids. International Journal of Heat and Mass Transfer, 24, 223-230. [Google Scholar] [CrossRef
[24] Morsi, S.A. and Alexander, A.J. (1972) An Investigation of Particle Trajectories in Two-Phase Flow Systems. Journal of Fluid Mechanics, 55, 193-208. [Google Scholar] [CrossRef
[25] Clift, R., Grace, J.R. and Weber, M.E. (2005) Bubbles, Drops, and Particles. Academic Press.
[26] Sakai, M., Song, J., Yoshida, N., Suzuki, S., Kameshima, Y. and Nakajima, A. (2006) Relationship between Sliding Acceleration of Water Droplets and Dynamic Contact Angles on Hydrophobic Surfaces. Surface Science, 600, L204-L208. [Google Scholar] [CrossRef
[27] Chini, S.F., Bertola, V. and Amirfazli, A. (2013) A Methodology to Determine the Adhesion Force of Arbitrarily Shaped Drops with Convex Contact Lines. Colloids and Surfaces A: Physicochemical and Engineering Aspects, 436, 425-433. [Google Scholar] [CrossRef