掺粘土砖再生骨料钢筋混凝土柱的小偏心受压性能分析
Analysis of Small Eccentric Compression Performance of Recycled Aggregate Reinforced Concrete Column Mixed with Clay Brick
摘要: 通过混凝土柱的小偏心受压性能试验,对三根不同偏心距砖骨料再生混凝土柱和一根相同原材料且同强度的普通骨料混凝土柱进行研究。砖骨料再生混凝土强度按照C30、砖骨料替代率为35% (砖骨料质量占所有粗骨料的质量比例)进行配合比设计,水灰比、骨料用量、用水量与普通混凝土构件不同。分析砖骨料再生混凝土柱和同强度普通骨料混凝土柱在受力过程、破坏特征、变形能力与承载力等方面的差异。试验结果发现:砖骨料再生混凝土柱从加载到破坏的过程中具有和普通混凝土柱相似的受力阶段和破坏形态。相同的偏心距与同强度的普通骨料混凝土柱相比,略有降低,但承载力变化不大,可能因为砖骨料表面有较多缺陷和微裂缝且二次利用,导致强度难以满足要求。
Abstract: Three brick aggregate recycled concrete columns with different eccentric distances and one ordinary aggregate concrete column with the same raw material and the same strength were studied through the small eccentric compression performance test of the concrete column. The strength of the recycled concrete of brick aggregate is designed according to C30 and the replacement rate of brick aggregate is 35% (the quality of brick aggregate accounts for the quality ratio of all coarse aggregate). The water-cement ratio, aggregate consumption and water consumption are different from ordinary concrete components. The study analyzed the differences between brick aggregate recycled concrete columns and ordinary aggregate concrete columns of the same strength in terms of stress process, failure characteristics, deformation capacity and bearing capacity. The test results show that the recycled concrete column of brick aggregate has a similar stress stage and failure form to the ordinary concrete column. Compared with the ordinary aggregate concrete column of the same strength, the same eccentric distance is slightly reduced, but the bearing capacity does not change much. It may be because the brick aggregate surface has many defects and microcracks and secondary utilization, making it difficult to meet strength requirements.
文章引用:王莎莎, 程远兵. 掺粘土砖再生骨料钢筋混凝土柱的小偏心受压性能分析[J]. 土木工程, 2024, 13(8): 1513-1519. https://doi.org/10.12677/hjce.2024.138163

1. 引言

随着我国经济的快速发展以及城镇化的不断加快,我国现在和未来将产生大量的砖混建筑垃圾[1] [2]。将建筑垃圾中的废砖作为再生骨料,不仅能解决拆除的废弃粘土砖的处理问题,还能降低因资源过度开发所引起的生态环境破坏问题,因而具有广泛的研究意义[3] [4]

王纯合[5]等进行再生砖骨料混凝土梁斜截面抗剪性能试验研究,可以发现砖骨料替代部分粗骨料会导致强度降低,裂缝宽度大,但承载力降低程度不大,不存在较大差异。赵骏[6]得出同样结论,再生砖骨料混凝土梁和普通混凝土梁均属于剪压破坏。郭子龙[7]对掺加35%砖骨料混凝土短肢剪力墙抗震性能进行分析,得出适用于抗震要求低的建筑结构。程远兵[8]等采用MTS液压伺服系统进行加载,验证了粘土砖再生粗骨料混凝土梁作为结构构件是可行的。

再生砖混骨料混凝土构件的结构受力性能研究较少,但再生混凝土构件结构性能的研究较丰富,且在实际应用中柱子处于小偏心受压情况居多[9]。因此设计三种不同偏心距大小的试验和同材料同强度的普通混凝土柱进行比较,对比研究砖混柱和普通柱的破坏形态差异和受压性能对以后的实际应用是有意义的。

2. 试验构件设计

2.1. 骨料性能

水泥采用的是河南孟电集团生产的孟电牌水泥,强度标号为42.5 R,密度为3100 kg/m3。砂采用的是河南省郑州市的河砂。石子选用天然石子,石子粒径范围为5 mm~20 mm,颗粒级配连续。再生粘土砖骨料取自郑州市金水区陈砦村东风渠东边的拆迁废弃粘土砖,通过颚式破碎机破碎,最后经过人工筛分,级配同石子的一样。拌合水是采用郑州市的自来水。

2.2. 配合比设计

随着外掺砖骨料的增多,混凝土强度有所降低,结合[10]-[12]综合考虑再生混凝土基本力学性能指标,建议以30%~40%作为再生混凝土的最优取代率。经过试验研究,配合比设计见表1,选用外掺量为35%的砖骨料替代率进行试验。PTZ表示普通混凝土柱,ZSZ-1,ZSZ-2,ZSZ-3表示砖骨料再生混凝土柱。

Table 1. Mix ratio of ordinary concrete and brick aggregate recycled aggregate concrete

1. 普通混凝土和砖骨料再生骨料混凝土配合比

构件编号

偏心距(mm)

水灰比

砂率(%)

砖骨料掺量(%)

水(kg)

水泥(kg)

砂(kg)

石(kg)

砖骨料(泡水后kg)

PTZ

55

0.40

30

0

33.78

84.48

72.60

169.50

0

ZSZ-1

55

0.53

30

35

44.77

84.48

72.60

110.18

67.80

ZSZ-2

65

0.53

30

35

44.77

84.48

72.60

110.18

67.80

ZSZ-3

45

0.53

30

35

44.77

84.48

72.60

110.18

67.80

2.3. 钢筋配置

试验构件按照实际工程构件尺寸,约缩尺0.5。试验段长细比为5,总段长细比为9,构件钢筋配筋图见图1,根据实际情况和规范要求设计配筋率为1.54%。

Figure 1. Test piece reinforcement diagram

1. 试件配筋图

3. 试验构件加载以及测点分部

3.1. 试验加载

本试验在华北水利水电大学结构试验大厅的100 t试验机上进行,采用的是上下滑动铰支座进行加载,为了防止压力传感器和千斤顶直接接触而造成损坏,在其中间加了20 mm的钢板,在试验过程中用安全带将构件与梁相连,防止倾倒。试验加载制度是先进行预加载,检查仪器是否可以正常工作,正式加载按照每级2 t,每级稳定五分钟,读取数值。

3.2. 测点分布

应变片具体贴法见图2,在总长为1 m的试验段中间和上下移动200 mm贴应变片,围绕四圈一共贴12个。混凝土表面在试验段前后的中间贴7个混凝土应变片,一共贴14个。构件放置好后,开始将应变片连接到采集仪,采集仪再连接到电脑上。之后将位移计放在柱子边缘一侧,详情见图3

(a) (b)

Figure 2. Measurement point layout drawing

2. 测点布置图

Figure 3. Layout drawing of the displacement meter

3. 位移计布置图

4. 试验结果分析

4.1. 极限承载力

各个柱子的极限荷载值和按照混凝土结构设计规范中的公式进行计算,得到的计算值见表2 [13],材料强度按照轴心抗压强度标准值进行计算。试验结果表明计算值低于试验值,有较大的安全储备系数。相同偏心距的砖混柱承载力低于普通柱,随着偏心距的增大承载力也随之降低,但在一定程度上砖骨料可以代替混凝土中的粗骨料,从而节省原材料。

Table 2. Limit load test value and calculated values

2. 极限荷载试验值和计算值

柱编号

实测值(MPa)

计算值/kN

试验值/kN

相对误差

PTZ-55

55.6

762.5

907.4

1.19

ZSZ-55

46.6

606.7

781.2

1.29

ZSZ-45

47.5

704.0

842.3

1.20

ZSZ-65

44.8

514.2

608.5

1.18

4.2. 应变规律

4.2.1. 钢筋应变

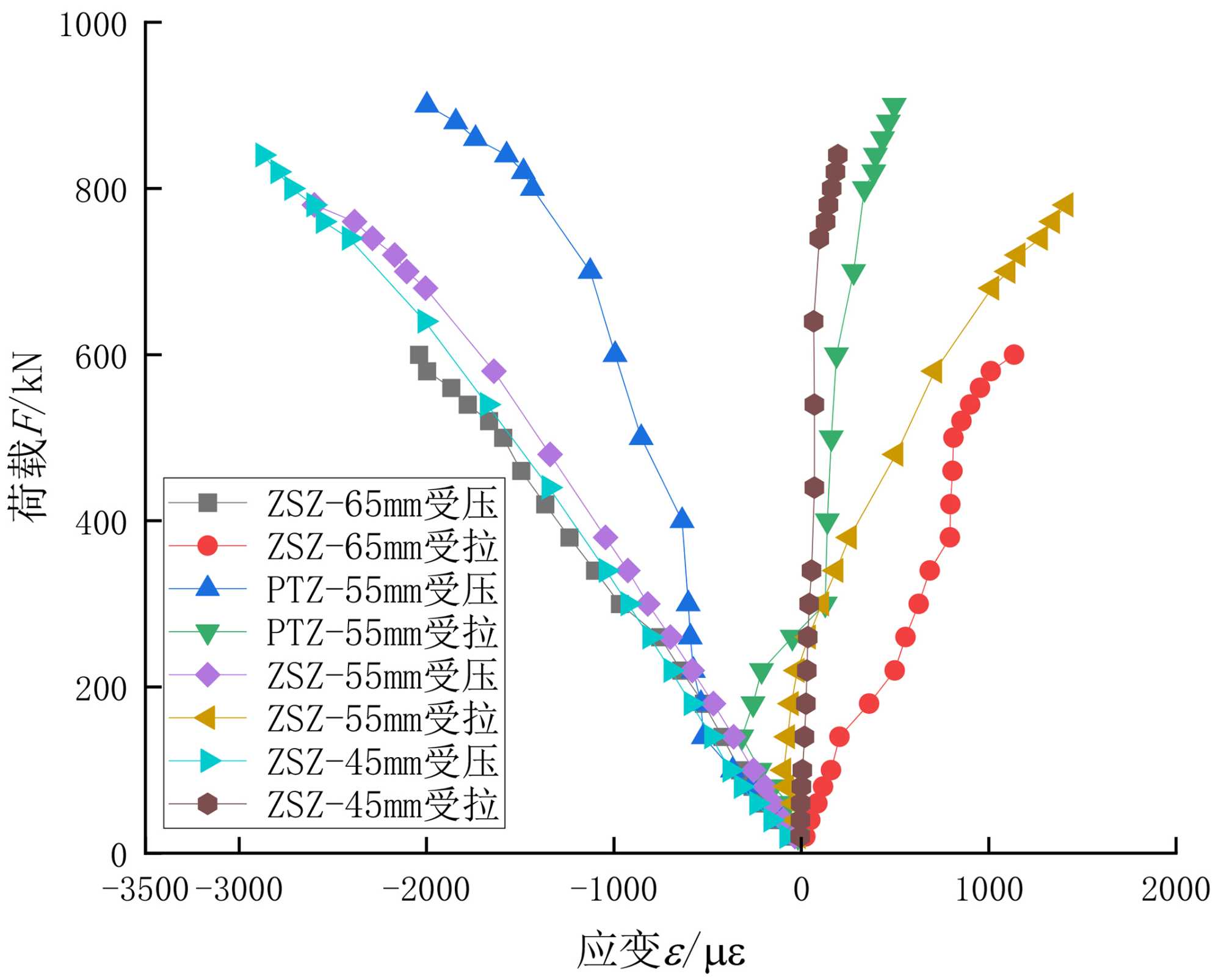
不同偏心距普通骨料混凝土柱和砖骨料混凝土柱的钢筋应变随荷载的变化曲线图见图4。从图中可以看出在加载初期各个钢筋应变呈线性变化,该构件处于弹性变形阶段。当偏心距为55 mm,45 mm时,远离轴向力一侧的钢筋处于受压和受拉的边缘,随着荷载增加,混凝土被压碎,受压钢筋屈服,受拉钢筋应力由负值逐渐转换为正值,在达到极限荷载时仍未屈服。

Figure 4. Load-reinforcement strain

4. 荷载–钢筋应变

试验结果表明普通骨料混凝土柱和砖骨料混凝土柱有相同的钢筋应变规律,相同偏心距砖骨料混凝土柱的纵向受拉或受压钢筋应变均高于普通骨料混凝土柱,这表明砖骨料混凝土柱的强度和刚度在一定程度上虽然低于普通骨料混凝土柱,但其混凝土和钢筋有较好的粘结力,不会产生较大的侧向滑移。

4.2.2. 混凝土应变

不同偏心距普通骨料混凝土柱和砖骨料混凝土柱的混凝土应变随荷载的变化曲线图见图5。混凝土应变规律和钢筋类似,起初混凝土压应变随荷载线性增长,此时处于弹性阶段。随着荷载的增加混凝土应变不再是线性变化,应变速率超过荷载速率,达到极限荷载时混凝土被压碎,应变值突然增大,是典型的小偏心破坏形态。

图像表明相同偏心距普通骨料混凝土柱应变整体比砖骨料混凝土柱应变小,这是由于在同强度同偏心距的情况下,砖骨料混凝土裂缝更容易开展,变形较大,在临界破坏时,砖骨料混凝土应变高于普通骨料混凝土。砖骨料混凝土柱偏心距越小,受压区的混凝土压力更为集中,导致受压区面积增大,在达到破坏荷载时,受压区混凝土最大压应变也最大。

Figure 5. Load-concrete strain

5. 荷载–混凝土应变

4.3. 侧向挠度分析

四个构件在极限荷载作用下侧向位移随高度变化的曲线图见图6。从图中可以看出砖骨料混凝土柱和普通骨料混凝土柱的侧向位移变化相似,在达到破坏时,相同偏心距的砖骨料混凝土柱比普通骨料混凝土柱跨中侧向位移增加了20%。这是因为除了砖骨料混凝土柱里面含有大量强度低的红砖碎块,导致砖骨料混凝土弹性模量降低外,还可能因为砖骨料混凝土裂缝更容易开展,柱刚度降低,导致砖骨料混凝土柱侧向挠度更大。

Figure 6. The height distribution diagram of the lateral deformation along the column

6. 柱侧向变形沿高度分布图

5. 结论

1) 相同偏心距的砖骨料混凝土柱承载力比普通骨料混凝土柱降低了14%,随着偏心距的增大其极限荷载有所降低,但在一定程度上砖骨料可以代替天然粗骨料。

2) 混凝土和钢筋与荷载的应变曲线图可以看出,砖骨料混凝土柱和普通骨料混凝柱有类似的变化曲线,都经历了弹性工作阶段和塑性工作阶段。

3) 相同偏心距的砖骨料混凝土柱的侧向变形比普通骨料混凝土柱较大,可能是由于掺入的砖骨料硬度比石子的小;偏心距越大砖骨料混凝土柱变形越大。

参考文献

[1] 彭颖, 朱南海. 砖混建筑垃圾的再生利用及其力学性能试验[J]. 赤峰学院学报(自然科学版), 2021, 37(9): 32-37.
[2] 徐开东, 王继娜, 李志新, 等. 砖混建筑垃圾再生骨料应用技术指标系统化研究[J]. 硅酸盐通报, 2020, 39(9): 2905-2911.
[3] 朱增梅. 再生砖骨料混凝土国内外研究现状综述[J]. 砖瓦, 2019(7): 44-47.
[4] 佟英男. 再生砖混骨料的研究现状与应用探讨[J]. 科技创新与应用, 2023, 13(27): 152-154, 159.
[5] 王纯合, 翟爱良, 季昌良, 等. 再生砖骨料混凝土梁斜截面抗剪性能试验研究[J]. 水利水运工程学报, 2013(4): 40-44.
[6] 赵骏. 粘土砖再生粗骨料混凝土梁的抗剪性能试验研究[D]: [硕士学位论文]. 郑州: 华北水利水电大学, 2017.
[7] 郭子龙. 砖骨料再生混凝土短肢剪力墙抗震试验研究[D]: [硕士学位论文]. 郑州: 华北水利水电大学, 2015.
[8] 程远兵, 乔光华. 粘土砖再生粗骨料混凝土梁弯曲性能的试验研究[J]. 华北水利水电大学学报(自然科学版), 2016, 37(3): 41-44, 64.
[9] 孙一李全, 赵羽习, 孟涛, 等. 再生砖混骨料混凝土柱的小偏心受压性能[J]. 浙江大学学报(工学版), 2021, 55(6): 1090-1099.
[10] 鲁敏, 熊祖鸿, 林霞, 等. 建筑垃圾再生砖的早期强度性能研究[J]. 环境工程, 2019, 37(8): 173-176.
[11] 陈宗平, 占东辉, 徐金俊. 再生粗骨料含量对再生混凝土力学性能的影响分析[J]. 工业建筑, 2015, 45(1): 130-135.
[12] 陈萌, 毕苏萍. 废弃碎砖骨料再生混凝土配合比设计与早期强度试验[J]. 混凝土与水泥制品, 2014(4): 87-89.
[13] 中国建筑科学研究院. JGJ55-2011 普通混凝土配合比设计规程[S]. 北京: 中国建筑工业出版社, 2011.