基于孟德尔随机化探讨免疫细胞与药物依赖的因果关系
A Mendelian Randomization Study on the Relationship between Immune Cells and Drug Dependence
DOI: 10.12677/hjbm.2024.143053, PDF, HTML, XML,   
作者: 叶 晨, 许崇彦, 向雪情, 揭 洁, 陈 莹*:广西中医药大学附属国际壮医医院,广西 南宁;王汇夏, 郭晓婧:广西中医药大学公共卫生与管理学院,广西 南宁
关键词: 免疫细胞表型药物依赖孟德尔随机化Immunity Drug Dependence Mendelian Randomization
摘要: 目的:采用两样本孟德尔随机化(MR)方法研究731种免疫细胞表型与药物依赖发病风险的因果效应。方法:在全基因组关联研究数据库(genome wide association study, GWAS)中筛选符合条件的731种免疫细胞表型及药物依赖的因果关系。共纳入了三种类型的免疫特征((MFI), RC, AC)。综合敏感性分析用于验证结果的异质性和水平多向性。结果:IVW结果显示免疫细胞与免疫细胞发病风险存在因果效应,其中两种免疫表型对药物依赖的保护作用:Activated Treg %CD4 Treg(OR = 0.859, 95%CI: 0.763~0.967, P = 0.012)、CD3 on activated Treg (OR = 0.881, 95%CI: 0.780~0.995, P = 0.042)。五种免疫表型对药物依赖的危害作用:CD28 on activated & secreting Treg (OR = 1.152, 95%CI: 1.006~1.320, P = 0.041)、CM DN (CD4-CD8-)%T cell (OR = 1.152, 95%CI: 1.017~1.305, P = 0.026)、HLA DR+ CD8br %lymphocyte (OR = 1.162, 95%CI: 1.032~1.308, P = 0.013)、Mo MDSC AC (OR = 1.135, 95%CI: 1.008~1.279, P = 0.037)、TD CD8br AC (OR = 1.398, 95%CI: 1.036~1.887, P = 0.028)。结论:我们的研究通过基因手段证明了免疫细胞与药物依赖之间的密切联系,从而为今后的临床研究与预防提供了指导。
Abstract: Objective: A two-sample Mendelian randomisation (MR) approach was used to investigate the causal effect of 731 immune cell phenotypes on the risk of developing drug dependence. Methods: Eligible 731 immune cell phenotypes and drug-dependent causality were screened in the genome wide association study (GWAS) database. A total of three types of immune profiles (median fluorescence intensities (MFI), relative cell (RC), and absolute cell (AC)) were included. Comprehensive sensitivity analyses were used to validate the heterogeneity and horizontal multidirectionality of the results. Results IVW results showed a causal effect of immune cells and risk of immune cell pathogenesis, with two immune phenotypes protective against drug dependence: activated Treg %CD4 Treg (OR = 0.859, 95% CI: 0.763~0.967, P = 0.012), CD3 on activated Treg (OR = 0.881, 95% CI: 0.780~0.995, P = 0.042). Harmful effects of five immunophenotypes on drug dependence: CD28 on activated & secreting Treg (OR = 1.152, 95%CI: 1.006~1.320, P = 0.041), CM DN (CD4-CD8-)%T cell (OR = 1.152, 95%CI: 1.017~1.305, P = 0.026), HLA DR+ CD8br %lymphocyte (OR = 1.162, 95%CI: 1.032~1.308, P = 0.013), Mo MDSC AC (OR = 1.135, 95%CI: 1.008~1.279, P = 0.037), TD CD8br AC (OR = 1.398, 95%CI: 1.036~1.887, P = 0.028). Conclusions: Our study demonstrates a strong link between immune cells and drug dependence by genetic means, thus providing guidance for future clinical research and prevention.
文章引用:叶晨, 王汇夏, 郭晓婧, 许崇彦, 向雪情, 揭洁, 陈莹. 基于孟德尔随机化探讨免疫细胞与药物依赖的因果关系[J]. 生物医学, 2024, 14(3): 491-501. https://doi.org/10.12677/hjbm.2024.143053

1. 引言

免疫细胞与药物依赖之间的因果关系是当前医学研究领域备受关注的重要课题。作为机体抵御病原体和维护稳态的关键组成部分,免疫细胞的功能状态对个体的健康至关重要,免疫细胞的工程化治疗已经成为临床现实。多种工程化T细胞疗法已获得批准,用于治疗多种疾病,目前,临床前和临床研究正在测试多种策略,以修改免疫细胞的命运和功能,用于癌症、传染病等领域。[1]。同时,药物依赖问题影响着全球数百万患者,为个体和社会带来了巨大的健康和经济负担[2]。因此,深入了解免疫细胞与药物依赖之间的因果关系对于制定精准的治疗方案和预防策略具有重要的临床和公共卫生意义。

2. 背景

2.1. 免疫细胞的复杂性与多样性

免疫细胞包括各种类型的白细胞,如T细胞、B细胞、巨噬细胞等,它们在维持免疫平衡和对抗感染等方面发挥着独特的作用[3]。然而,免疫细胞的功能受到遗传和环境因素的调控,导致个体之间存在差异,进而影响药物的治疗效果。

2.2. 药物依赖的社会问题

药物依赖问题不仅涉及药物的生物学效应,更与个体的遗传背景和免疫系统状态有关。药物在机体内的代谢、作用机制以及对免疫细胞的影响是导致药物依赖差异的关键因素之一。因此,通过深入研究免疫细胞与药物依赖的因果关系,我们有望揭示药物治疗的个体差异,为精准医疗提供理论支持[4]

2.3. 孟德尔随机化的研究方法

为了解决免疫细胞与药物依赖关系的因果问题,研究采用了孟德尔随机化方法。这一方法通过利用自然界中存在的遗传变异,将免疫细胞的状态作为因变量,药物依赖作为自变量,以遗传变异作为工具变量,实现对因果关系的推断[5]。孟德尔随机化的优势在于其有效地克服了混杂和反向因果问题,从而提升了研究结论的可靠性。

3. 研究资料与方法

3.1. 研究设计

本研究采用了双样本单向Mendelian Randomization (MR)方法,以探究免疫细胞表型与药物依赖之间的因果关系。进行了一项双样本MR研究,用以评估免疫细胞表型和药物依赖之间的因果联系。

3.2. 数据来源

免疫细胞数据来自GWAS,撒丁岛的3757名个体的基因组数据和731种免疫细胞特征数据,采用流式细胞术(flow cytometry)测量731种免疫细胞表型,包括四种免疫特征(MFI、RC、AC和MP),使用了两个不同的流式细胞仪(flow cytometers)来检测细胞的比例(proportions)、绝对数(absolute counts)和荧光强度(median fluorescence intensities, MFIs)。细胞的比例是指细胞在总细胞数中所占的百分比,细胞的绝对数是指细胞在每微升血液中的数量,细胞的荧光强度是指细胞表面抗原的表达水平。这些细胞特征反映了免疫细胞的组成(composition)、数量(quantity)和功能(function) [6]

药物依赖研究使用了Biobank Japan的179,000个体基因组和220种深度表型数据,结合病史和电子病历文本挖掘。通过220个深度表型的全基因组关联研究(GWAS),与UK Biobank和FinnGene的数据联合分析,采用ICD-10的诊断标准判断药物依赖。ICD-10定义药物依赖为个体在过去一年内出现强烈渴望、难以控制、持续使用、耐受性、戒断综合征、乐趣减退和持续使用等症状。通过电子病历文本提取相关信息,评估个体是否患有药物依赖,涉及酒精、阿片类药物、大麻、镇静催眠药、可卡因、兴奋剂、致幻剂和多重药物使用。这研究为深入理解药物依赖提供了详实而综合的基因组数据分析[7]。通过GWASCatalog (ebi.ac.uk)网站分别获得免疫细胞和药物依赖的数据,鉴于本研究基于已公开发表的全基因组关联研究(GWAS)数据,故无需进行伦理审批或取得知情同意。

3.3. 工具变量的选取

从免疫细胞的GWAS中,为了满足第一个MR假设,即SNP必须与暴露因素强相关,我们筛选了P值小于P < 5 × 108的工具变量。在全基因组水平上,我们选择了与暴露因素显著相关的SNP。为了避免因SNP数量过少而导致的不准确性,进行了如下操作,将免疫细胞表型与药物依赖的显著性阈值放宽至5 × 106,并剔除了连锁不平衡反应(r2 < 0.001,遗传相互距离 > 10000 kb),以此确保工具变量的独立性。排除F值 < 10的SNP,以避免弱工具偏倚[8]

3.4. 两样本孟德尔随机化的基本假设

本文以免疫细胞(immune cells)作为暴露因素,与免疫细胞显著相关的SNPs作为IVs,结局因素为药物依赖(Drug dependence),将免疫细胞全基因组数据(GCST0001391-GCST0002121),共731种免疫细胞特征,并进行筛选,与结局数据进行MR分析的方法进行因果分析,并进行异质性检验和多小性检验,最后对结果的可靠性进行检验。在进行MR研究时,工具变量(IVs)需要符合三个核心假设:1) IVs与暴露因素具有显著的相关性;2) IVs仅通过暴露因素对结局产生影响,而不直接与结局相关;3) IVs与“暴露–结局”关系中的混杂因素无关[9]

3.5. 研究与探讨

本研究探讨免疫细胞与药物依赖发生风险的遗传相关性与因果关联,分析框架图见图1。遗传相关分析包括连锁不平衡得分回归分析和基因组结构方程建模,因果关联分析包括单变量MR分析和变量MR分析。

Figure 1. Major overview of the study design and assumptions of the Mendelian randomisation design

1. 研究设计概述和孟德尔随机化设计的假设">">

4. 统计分析

本研究采用孟德尔随机化的检验方法,主要应用逆方差加权(Inverse Variance Weighting, IVW)法、加权中位数(Weighted Median, WM)法和MR-Egger法[10]。同时,我们利用Cochran’s检验来评估潜在的异质性,并通过MR-Egger回归法检验截距,以评估可能存在的多效性。通过Leave-One-Out分析,我们逐个去除SNP并评估其对结果的影响,以检验结果的敏感性。当药物依赖被视为连续变量时,我们使用β系数和95%置信区间(CI)来表示;而当免疫细胞表型作为二分类变量时,则采用比值比(OR)和95%CI来表示。分析过程中,我们使用了R4.3.2和RStudio软件,以及R包“Two Sample MR”。在所有的分析中,我们将显著性水平设定为α = 0.05,以确保结果的统计显著性。

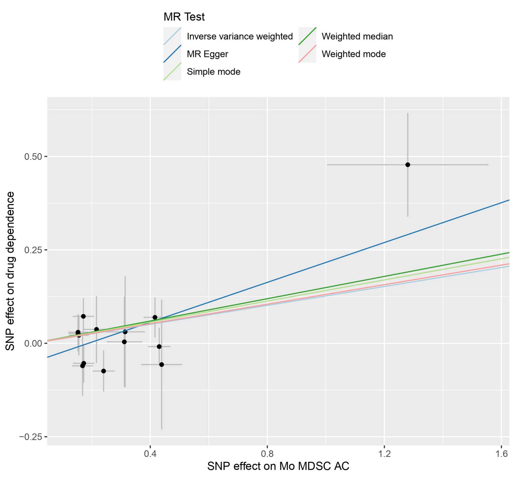
我们的研究使用了Cochran Q来计算MR-Egger和IVW分析中的异质性,根据表中的结果(Q值的P值均>0.05),可以得出未存在明显异质性[11]。这表明分析结果相对一致,强化了对因果效应的可靠性。并采用留一法(Leave-one-out)敏感性分析,通过逐个剔除SNP并计算剩余SNP的合并效应,以确定单一SNP对结果的影响。据图示,去除单个SNP后,剩余SNP均分布在无效线的左右两侧,范围接近总效应值,显示单一SNP对结果的影响较为有限。这进一步加强了研究结果的鲁棒性,表明整体结论相对稳健。工具变量筛选首先对MR分析的免疫细胞表型IVs中的SNP进行筛选,均采用P < 5 × 106,纳入SNP的F值均>10 (20.88~3159.28),F统计量的计算公式为F = R2(N−K−1)/[K(1−R2)],其中N为暴露因素的样本量,K为工具变量的数量,而R2则反映了工具变量对暴露因素的解释程度。如果F > 10说明MR分析受到弱工具变量影响的可能性较小[12]。在这项研究中,每个单核苷酸多态性的F值均大于10,表明不存在弱工具变量。最终,我们选定了7个单核苷酸多态性作为工具变量,用以评估类免疫细胞表型与药物依赖之间的关联。描述主要结果的散点图见图2。Cochran’s Q检验结果得出P都大于0.05,说明单核苷酸多态性不存在异质性。

Figure 2. Scatter plot of immune cell phenotypes and drug-dependent Mendelian randomisation (MR) analyses

2. 免疫细胞表型和药物依赖孟德尔随机化(MR)分析的散点图">">

之后进行了MR-Egger-Intercept测试,未检测到药物依赖潜在的水平多效性(P值均大于0.05,说明工具变量并不显著通过暴露以外的途径影响结局[13],此外,MR-PRESSO方法未发现任何异常的单核苷酸多态性。留一法检验分析显示,没有任何个别单核苷酸多态性对整体因果估计产生了影响。有关留一法检验结果的森林图,请参见图3。为了进一步验证上述结果的稳定性,我们绘制了漏斗图,显示出因果效应的分布基本对称,并且未观察到明显的偏倚,详情见图4

Figure 3. Forest plot of the results of the Mendelian randomisation (MR) “leave-one-out” analysis of immune cell phenotypes and drug dependence

3. 免疫细胞表型和药物依赖孟德尔随机化(MR)“留一法”分析结果森林图

Figure 4. Funnel plots of immune cell phenotypes and drug-dependent Mendelian randomisation (MR) analyses

4. 免疫细胞表型和药物依赖孟德尔随机化(MR)分析的漏斗图

孟德尔随机化分析结果,(见图5)为了探讨药物依赖与免疫类型之间的因果效应,进行了双样本MR分析,并以IVW法作为主要分析方法。我们检测到了两种免疫表型对药物依赖的保护作用:Activated Treg %CD4 Treg (OR = 0.859, 95%CI: 0.763~0.967, P = 0.012)、CD3 on activated Treg (OR = 0.881, 95%CI: 0.780~0.995, P = 0.042),提示上述两种免疫表型每增加一个标准差,药物依赖的患病风险将降低14.1%、11.9%,结果具有统计学意义。

另外五种免疫表型对药物依赖的危害作用:CD28 on activated & secreting Treg (OR = 1.152, 95%CI: 1.006~1.320, P = 0.041)、CM DN (CD4-CD8-)%T cell (OR = 1.152, 95%CI: 1.017~1.305, P = 0.026)、HLA DR + CD8br %lymphocyte (OR = 1.162, 95%CI: 1.032~1.308, P = 0.013)、Mo MDSC AC (OR = 1.135, 95%CI: 1.008~1.279, P = 0.037)、TD CD8br AC (OR = 1.398, 95%CI: 1.036~1.887, P = 0.028),提示上述五种免疫表型每增加一个标准差,药物依赖的患病风险将增加15.2%、15.2%、16.2%、13.5%、39.8%。这些结果提示了这些免疫表型对药物依赖的不同影响,为深入理解免疫系统与药物依赖之间的关系提供了重要线索。

Figure 5. Forest plot of the results of Mendelian randomisation (MR) analysis of immune cell phenotypes and drug dependence

5. 免疫细胞表型与药物依赖孟德尔随机化(MR)分析结果森林图

5. 讨论

药物依赖是一种受遗传、环境和免疫因素影响的多方面疾病。最近的研究揭示了免疫细胞在调节药物反应和成瘾途径中的作用[14]。我们基于大量的遗传数据,讨论了731个免疫细胞性状与DD之间的因果关系。这是收个探讨多重免疫表型与DD之间因果关系的MR分析。本研究发现,在三种免疫特质(MFI、RC、AC)中七种免疫表型对DD具有因果效应(P < 0.05)。

我们发现,表达CD4和CD3的活化调节性T细胞(Tregs)是免疫系统中的重要组成部分,它们可以维持免疫平衡,防止过度免疫反应,从而对药物依赖产生保护作用。而另外五种免疫细胞:表达CD28的活化和分泌调节性T细胞(Tregs)、中央记忆双阴性T细胞(CMDN)、HLA DR+ CD8br %淋巴细胞和活化、循环的髓源性抑制细胞(Mo MDSC AC)和终末分化的CD8+T细胞(TD CD8br AC)。这些结果提示,不同的免疫细胞在药物依赖的发生和发展中可能起到不同的作用。

激活的调节性T细胞是一类具有免疫抑制功能的T细胞,它们可以通过分泌细胞因子或直接接触的方式,抑制其他免疫细胞的活性,维持免疫耐受和免疫平衡[15]。我们的结果显示,激活的调节性T细胞占CD4+T细胞的百分比与药物依赖呈负相关,这可能意味着,激活的调节性T细胞可以抑制药物依赖相关的炎症反应,减轻药物依赖的症状和损伤。这与一些研究的发现一致,例如,一项研究发现,激活的调节性T细胞可以抑制鸦片类药物诱导的神经炎症和神经退行性改变[16]

另一项研究发现,激活的调节性T细胞可以抑制酒精诱导的肝脏炎症和纤维化[17]。因此,激活的调节性T细胞可能是药物依赖治疗的潜在靶点,增加激活的调节性T细胞的数量或功能可能有助于缓解药物依赖的影响。细胞毒性T细胞是一类具有杀伤功能的T细胞,它们可以通过识别和杀死被病毒感染或异常变化的细胞,清除体内的异物,参与免疫防御和免疫监视[18]。我们的结果显示,细胞毒性T细胞占CD8亮度高的T细胞的百分比与药物依赖呈正相关,这可能意味着,细胞毒性T细胞可以促进药物依赖相关的炎症反应,加重药物依赖的症状和损伤。这与一些研究的发现相符,例如,一项研究发现,细胞毒性T细胞可以促进可卡因诱导的心肌炎症和心肌损伤[19]。诱导Foxp3:Tregs通过CD28参与增强自身的Foxp3表达,从而加强自身的调节特性,抑制效应T细胞和抗原递呈细胞,分泌免疫抑制细胞因子,如IL-10和TGF-β,影响CTLA-4和PD-1等共同抑制分子,选择性消耗IL-2,释放腺苷等[20]。这些作用可能会导致免疫耐受,减少对致瘾物质的免疫监视,改变与药物依赖有关的免疫反应。细胞毒性颗粒释放:CMDN、HLA DR + CD8br %淋巴细胞和 TDCD8brAC 都能释放含有穿孔素和颗粒酶的细胞毒性颗粒,这些颗粒能在靶细胞膜上形成孔隙,引发细胞凋亡,导致靶细胞破坏和组织损伤。促炎细胞因子:CMDN、HLA DR+ CD8br %淋巴细胞和TDCD8brAC都能产生促炎细胞因子,如IFN-γ和TNF-α,这些细胞因子能增强免疫激活和炎症,影响与成瘾有关的神经回路。FasL和TRAIL的表达:HLA DR + CD8br %淋巴细胞和TDCD8brAC都能表达FasL和TRAIL,这些分子能参与触发外源性凋亡途径,导致靶细胞死亡和细胞损伤[21]。对其他免疫细胞的调节:CMDN和Mo MDSC AC都能调节抗原递呈细胞(APCs)的功能,影响抗原呈递和协同刺激,改变T辅助细胞的反应,诱导Treg的分化,从而改变免疫平衡和免疫反应[22]。代谢影响:Tregs和Mo MDSC AC都能通过改变新陈代谢环境,如消耗IL-2,释放腺苷等,进一步抑制免疫反应,可能会无意中促进药物依赖[23]。因此,细胞毒性T细胞可能是药物依赖治疗的潜在靶点,减少细胞毒性T细胞的数量或功能可能有助于缓解药物依赖的影响。

综上所述,本研究揭示了免疫细胞表型与药物依赖的关系,为药物依赖的预防和治疗提供了新的线索。然而,本研究仍有一些局限性,例如,本研究只分析了数据库中的731种免疫细胞表型,未能涵盖所有的免疫细胞类型和亚群;本研究只使用了孟德尔随机化方法,未能进行实验验证和干预试验;本研究只考虑了免疫细胞表型与药物依赖的单向关系,未能探讨药物依赖对免疫细胞表型的影响。因此,未来的研究需要进一步扩大样本范围,增加免疫细胞表型的种类,采用多种方法进行验证和干预,以及考虑免疫细胞表型与药物依赖的双向关系,以期获得更全面和深入的认识。

NOTES

*通讯作者。

参考文献

[1] Irvine, D.J., Maus, M.V., Mooney, D.J. and Wong, W.W. (2022) The Future of Engineered Immune Cell Therapies. Science, 378, 853-858.
https://doi.org/10.1126/science.abq6990
[2] Black, C. (2021) Treatment for Drug Dependence in England Needs Investment and Reform. The Lancet, 398, 474-476.
https://doi.org/10.1016/S0140-6736(21)01588-9
[3] Pulendran, B. and Davis, M.M. (2020) The Science and Medicine of Human Immunology. Science, 369, eaay4014.
https://doi.org/10.1126/science.aay4014
[4] Assis, M.A., Carranza, P.G. and Ambrosio, E. (2021) A “Drug-Dependent” Immune System Can Compromise Protection against Infection: The Relationships between Psychostimulants and HIV. Viruses, 13, Article 722.
https://doi.org/10.3390/v13050722
[5] Birney, E. (2022) Mendelian Randomization. Cold Spring Harbor Perspectives in Medicine, 12, A041302.
https://doi.org/10.1101/cshperspect.a041302
[6] Orru, V., Steri, M., Sidore, C., et al. (2020) Complex Genetic Signatures in Immune Cells Underlie Autoimmunity and Inform Therapy. Nature Genetics, 52, 1036-1045.
https://doi.org/10.1038/s41588-020-0684-4
[7] Sakaue, S., Kanai, M., Tanigawa, Y., et al. (2021) A Cross-Population Atlas of Genetic Associations for 220 Human Phenotypes. Nature Genetics, 53, 1415-1424.
https://doi.org/10.1038/s41588-021-00931-x
[8] Freuer, D., Meisinger, C. and Linseisen, J. (2021) Causal Relationship Between Dietary Macronutrient Composition and Anthropometric Measures: A Bidirectional Two-Sample Mendelian Randomization Analysis. Clinical Nutrition, 40, 4120-4131.
https://doi.org/10.1016/j.clnu.2021.01.047
[9] Davies, N.M., Holmes, M.V., Davey and Smith, G. (2018) Reading Mendelian Randomisation Studies: A Guide, Glossary, and Checklist for Clinicians. British Medical Journal, 362, K601.
https://doi.org/10.1136/bmj.k601
[10] Bowden, J., Davey, Smith, G., Haycock, P.C. and Burgess, S. (2016) Consistent Estimation in Mendelian Randomization with Some Invalid Instruments Using a Weighted Median Estimator. Genetic Epidemiology, 40, 304-314.
https://doi.org/10.1002/gepi.21965
[11] Verbanck, M., Chen, C.Y., Neale, B. and Do, R. (2018) Detection of Widespread Horizontal Pleiotropy in Causal Relationships Inferred from Mendelian Randomization Between Complex Traits and Diseases. Nature Genetics, 50, 693-698.
https://doi.org/10.1038/s41588-018-0099-7
[12] Pierce, B.L., Ahsan, H. and Vanderweele, T.J. (2011) Power and Instrument Strength Requirements for Mendelian Randomization Studies Using Multiple Genetic Variants. International Journal of Epidemiology, 40, 740-752.
https://doi.org/10.1093/ije/dyq151
[13] Burgess, S. and Thompson, S.G. (2017) Interpreting Findings from Mendelian Randomization Using the MR-Egger Method. European Journal of Epidemiology, 32, 377-389.
https://doi.org/10.1007/s10654-017-0255-x
[14] Zhu, Y., Yan, P., Wang, R., et al. (2023) Opioid-Induced Fragile-Like Regulatory T Cells Contribute to Withdrawal. Cell, 186, 591-606.
https://doi.org/10.1016/j.cell.2022.12.030
[15] 黄丽奋, 黄俊彬, 陈纯. 调控调节性T细胞转录因子的研究新进展[J] . 国际输血及血液学杂志, 2020, 43(2): 129-133.
[16] Austin, P.J., Kim, C.F., Perera, C.J. and Moalem-Taylor, G. (2012) Regulatory T Cells Attenuate Neuropathic Pain Following Peripheral Nerve Injury and Experimental Autoimmune Neuritis. Pain, 153, 1916-1931.
https://doi.org/10.1016/j.pain.2012.06.005
[17] Vojdani, A., Koksoy, S., Vojdani, E., Engelman, M., Benzvi, C. and Lerner, A. (2024) Natural Killer Cells and Cytotoxic T Cells: Complementary Partners Against Microorganisms and Cancer. Microorganisms, 12, Article 230.
https://doi.org/10.3390/microorganisms12010230
[18] Tosello-Trampont, A.C., Krueger, P., Narayanan, S., Landes, S.G., Leitinger, N. and Hahn, Y.S. (2016) NKp46+ Natural Killer Cells Attenuate Metabolism-Induced Hepatic Fibrosis by Regulating Macrophage Activation in Mice. Hepatology, 63, 799-812.
https://doi.org/10.1002/hep.28389
[19] Morhenn, K., Quentin, T., Wichmann, H., et al. (2019) Mechanistic Role of the CREB-Regulated Transcription Coactivator 1 in Cardiac Hypertrophy. Journal of Molecular and Cellular Cardiology, 127, 31-43.
https://doi.org/10.1016/j.yjmcc.2018.12.001
[20] Li, Y., Zhang, C., Jiang, A., et al. (2024) Potential Anti-Tumor Effects of Regulatory T Cells in the Tumor Microenvironment: A Review. Journal of Translational Medicine, 22, Article No. 293.
https://doi.org/10.1186/s12967-024-05104-y
[21] Du, J., Wei, L., Li, G., et al. (2021) Persistent High Percentage of HLA-DR+CD38high CD8+ T Cells Associated with Immune Disorder and Disease Severity of COVID-19. Frontiers in Immunology, 12, Article 735125.
https://doi.org/10.3389/fimmu.2021.735125
[22] Chen, C., Bandarchuk, A., et al. (2017) Monocytic Myeloid-Derived Suppressor Cells (Mo-MDSC) Are Increased but Not M1 or M2 TAM Macrophages in the Bone Marrow of Patients with BCR-ABL Negative Myeloid Neoplasm (MPN). Blood, 130, Article 5266.
[23] He, Z.N., Zhang, C.Y., Zhao, Y.W., et al. (2023) Regulation of T Cells by Myeloid-Derived Suppressor Cells: Emerging Immunosuppressor in Lung Cancer. Discover Oncology, 14, Article No. 185.
https://doi.org/10.1007/s12672-023-00793-1