基于边事件触发的奇异多智能体系统一致性
Consensus of Singular Multi-Agent Systems Based on Edge Event Triggering
DOI: 10.12677/mos.2025.143200, PDF, HTML, XML,   
作者: 喻思瑶, 李 琳:上海理工大学光电信息与计算机工程学院,上海
关键词: 奇异多智能体系统事件触发一致性控制Multi-Agent Systems Event Triggering Consensus Control
摘要: 本文研究了一般奇异多智能体系统的一致性问题,提出了基于边事件触发机制的分布式一致性控制协议。首先,定义了一种相对状态用以表示通信边缘的状态。其次,针对智能体自身及其邻居状态不能实时获得的问题,为每个智能体设计了估计器。并且提出了一种基于估计器的边事件触发机制,每个智能体只在边触发时刻采样连接到这条边的邻居智能体的状态用以估计相对状态。此外,本文中触发机制的实现是完全分布式的,不依赖于任何全局网络拓扑信息。随后,证明了在提出的控制协议作用下,奇异多智能体系统能实现一致性,并且所有通信边都不存在芝诺行为。最后,通过一个仿真示例进一步验证了理论结果的有效性。
Abstract: In this paper, we study the consensus problem of general singular multi-agent systems and propose a distributed consensus control protocol based on the edge event triggering mechanism. First, a relative state is defined to represent the state of the communication edge. Second, to address the problem that the states of the intelligences themselves and their neighbors cannot be obtained in real time, an estimator is designed for each intelligence. And an estimator-based edge event triggering mechanism is proposed, in which each agent samples the states of neighboring agent connected to the edge only at the edge triggering moment to estimate the relative state. Moreover, the implementation of the triggering mechanism in this paper is fully distributed and does not depend on any global network topology information. Subsequently, it is demonstrated that under the proposed control protocol, the singular multi-agent system achieves consensus and all communicating edges are excluded from Zeno behavior. Finally, the validity of the theoretical results is further verified by a simulation example.
文章引用:喻思瑶, 李琳. 基于边事件触发的奇异多智能体系统一致性[J]. 建模与仿真, 2025, 14(3): 32-42. https://doi.org/10.12677/mos.2025.143200

1. 引言

近年来,多智能体系统中的分布式协同控制因其在无人机、分布式传感器网络、机器人团队等领域的广泛应用而备受关注[1]-[3]。作为重要的研究课题之一,一致性控制的目的是制定分布式控制协议,使所有智能体的状态或输出达到一致。实现多智能体系统一致性问题所提出的连续控制协议,需要不断更新控制器,并在智能体之间持续通信。然而,在实际情况中,这可能会造成通信负担和系统资源的浪费。事件触发控制的引入可以减少通信和控制器更新。在事件触发控制协议中,只有在达到预定的触发条件时才会执行控制[4]。值得注意的是,在大规模多智能体网络中,全局信息的收集和计算极为困难。为了消除控制协议对全局信息的要求,在文献[5]-[8]中提出了自适应控制技术。文献[7]基于全分布式事件触发控制协议,研究了异构线性多智能体系统的协同输出调节问题。

值得指出的是,上述工作采用的事件触发控制方案都是针对节点的动态行为而设计的。在基于节点的事件触发协议中,智能体i在触发时刻需要将其当前状态信息传递给所有的邻居。如果存在智能体i的邻居j,其状态等于或非常接近于智能体i,则实际上智能体ij在此时刻之间的通信是不必要的。并且由于所有智能体的状态是逐渐趋于一致的,那么这种不必要的通信情况一定存在,造成了通信资源的浪费。与基于节点的事件触发协议不同,在基于边缘的事件触发协议中,如果触发边缘(i, j),则只有智能体i和智能体j需要交换状态信息并更新控制输入。直观地看,本文提出的基于边缘的事件触发协议更有利于降低更新频率和节省能量。与以往基于节点的触发算法相比,在基于边缘的事件触发控制协议下,针对网络拓扑的每条边设计局部触发函数,只有连接到该边缘的两个智能体需要通信并更新控制器。由于触发函数和控制输入都是根据事件瞬间的采样信息而不是实时信息设计的,因此控制协议有效地避免了连续通信,减少了通信带宽[9]-[13]。文献[9]研究了异构多智能体系统的边事件触发输出调节问题,作者强调,与基于邻居的通信相比,基于边缘的通信是一种更加分布式的与相邻智能体进行通信的方法。文献[10]的作者指出,与基于节点的触发函数相比,基于边缘的触发函数更容易计算。对于边(i, j),触发函数取决于智能体i和智能体j之间的相对信息,而不是智能体i和它所有邻居之间的相对信息之和。文献[11]研究了有向拓扑下具有双积分器动力学的多智能体系统的包容控制问题,提出一种基于模型的边事件触发控制协议,通过建立预测模型来避免连续检测。

考虑到环境因素限制等问题,奇异系统相比于一般线性多智能体系统更适合于实际系统的建模,受到了学者的关注,并且已有较多研究成果。文献[14]研究了存在输入饱和干扰的奇异异构多智能体系统的输出一致性问题,利用低增益反馈技术和输出调节理论,提出了一种基于分布式观测器的低增益一致协议。文献[16]研究了一般线性奇异多智能体系统中的领导跟随一致性问题,提出了一种完全分布式的自适应事件触发机制。据我们所知,关于奇异系统中边事件触发问题的研究还很少。本文旨在研究更具普适性的奇异多智能体系统中的全分布式异步边事件触发一致性问题。与现有成果不同的是,在奇异系统中解决一致性问题和排除芝诺行为都更具挑战性。在有限的通信带宽和计算资源下,需要提出新的基于事件的算法来克服奇异性和排除芝诺行为。

基于以上讨论,本文的主要贡献可归纳如下:1) 与文献[5]-[8]不同,本文研究了一般线性奇异多智能体系统中基于边缘的事件触发一致性问题。2) 在无向通信拓扑中,提出了一种基于边缘的异步事件触发协议,避免了触发机制的连续通信要求。智能体与其邻居之间的通信是非周期和异步的,在许多实际场景中大大降低了通信成本。3) 所提出的自适应控制协议可以完全分布式的方式使用,不需要任何全局的网络拓扑信息。4) 并且,与文献[9]-[12]相比,本文所提出的基于边缘的事件触发机制的构建只取决于构成边缘的两个智能体的相对状态信息,不使用任何形式的绝对状态信息,更符合没有全局坐标框架时的实际情况。

2. 预备知识和问题描述

2.1. 预备知识

G( V,A,ε ) 表示为图,其中 V=1,,N 是一组节点, ε 是一组边, A R N×N 是邻接矩阵。如果 ( j,i )ε ,则节点 j 是节点 i 的邻居。让 N i 表示 iV 的邻居集合, a ij 是矩阵 A 的元素。如果 ( j,i )ε a ij >0 ,否则 a ij =0

如果智能体之间的通信是双向的,这意味着 ( i,j )ε 当且仅当 ( j,i )ε ,那么图 G 是一个无向图。如果在任意不同的节点之间存在一条路径,则图 G 是连通的,否则是不连通的。值得一提的是, ( i,j ) ( j,i ) ε 中被视为两个不同的元素。与 G 相关的拉普拉斯矩阵 L=[ l ij ] 被定义为 l ii = j=1 N a ij l ij = a ij ij

假设1. 本文中的通信图G是无向的和连通的。

引理1. [15]对于无向图,当且仅当 G 连通时,零是 L 的一个单根。最小的非零特征值 λ 2 满足 λ 2 x T x x T Lx 。其中, x i ( t ) R n ,且满足 1 T x=0 。1表示各元素为1的列向量。

引理2. [16]对于 E A R n×n ,和 B R n×m ,假设 ( E,A ) 是正则无脉冲的, ( E,A,B ) R-可控的。对于任意给定的正定矩阵 Q>0 ,存在一个正定矩阵 P>0 是以下等式的解:

E T PA+ A T P E T E T PB B T PE+ E T QE=0 (1)

定义1. [17]如果 T 0 <+ 使触发的时间序列 t i k 满足 lim k+ t i k = T 0 ,则边缘 ( i,j ) 出现芝诺行为。

定义2. [18]对于奇异系统 E x ˙ i =A x i ,其中 E,A R n×n ( E,A ) 被称为:1) 正则,如果 det( sEA ) 不全为零;2) 无脉冲,如果 deg( det( sEA ) )=rank( E ) ;3) 稳定,如果 σ( E,A ) 在左半开平面上;4) 可容许,如果 ( E,A ) 是正则、无脉冲和稳定的。

2.2. 问题描述

考虑一个包含N个智能体的奇异多智能体系统,第 i 个智能体的动力学方程如下

E x ˙ i ( t )=A x i ( t )+B u i ( t ), i=1,,N (2)

其中 x i ( t ) R n 是智能体 i 的状态。 u i ( t ) R m 是控制输入。 A R n×n B R n×m 是常数矩阵, E R n×n 是奇异矩阵。

奇异多智能体系统(2)满足如下假设:

假设2. 矩阵对(E, A)是正则和无脉冲的,矩阵对 ( E,A,B ) 是能稳的。

本文的控制目标是设计基于边事件触发的全分布式一致性控制器,实现奇异多智能体系统(2)的一致性,即任意两个智能体的状态满足 lim t+ x i ( t ) x j ( t ) =0

3. 基于边事件触发的全分布式一致性控制器设计

首先,定义 ( i,j ) 的相对边缘状态如下:

z ij ( t )= x i ( t ) x j ( t ) (3)

对所有 ( i,j )ε i,j=1,,N

在本文中,智能体 i 构造了以下边缘 ( i,j )ε 的相对状态估计器。定义边缘状态估计值 z ij ( t ) 如下:

{ E z ˜ ˙ ij ( t )=A z ˜ ij ( t ), t[ t k ij , t k+1 ij ) z ˜ ij ( t )= z ij ( t ),      t= t k ij (4)

采样瞬间 t k ij 表示边缘 ( i,j ) 的第k-th个触发时间瞬间。请注意 z ˜ ij ( t )= z ˜ ji ( t ) 因为 z ˜ ij ( t k ij )= z ˜ ji ( t k ij )

对于智能体 i ,本文设计如下边事件触发控制协议:

u i ( t )=K j N i a ij c ij ( t ) z ˜ ij ( t ) (5)

其中变量 c ij ( t ) 表示边 ( i,j ) 的时变增益,满足下式

c ˙ ij ( t )= ρ ij a ij z ˜ ij ( t ) T Γ z ˜ ij ( t ) (6)

并且 c ij ( 0 )= c ji ( 0 ) ρ ij = ρ ji >0 K R m×n Γ R n×n 是常数矩阵。

为了部分地表征 z ˜ ij ( t ) z ij ( t ) 两者之间的估计误差,定义两个误差变量 e ij ( t ) e ji ( t ) ,分别表示智能体 i 和智能体 j 对相对状态的估计误差,它们的动态方程如下:

E e ˙ ij ( t )=A e ij ( t )+B u i ( t ) (7)

E e ˙ ji ( t )=A e ji ( t )+B u j ( t ) (8)

并且 e ij ( t k ij )= e ji ( t k ji )=0

结合式(2)、式(4)、式(7)和式(8)可得:

z ij ( t )= z ˜ ij ( t )+ e ij ( t ) e ji ( t ) (9)

为了确定触发时刻 t k ij ,需要为边缘 ( i,j ) 设计合适的触发函数。依据上述定义的估计误差,边缘 ( i,j ) ( j,i ) 的触发函数 f ij ( t ) f ji ( t ) 可以分别设计为:

f ij ( t )=( 1+2d c ij ( t ) ) e ij ( t ) T Γ e ij ( t ) 1 4 z ˜ ij ( t ) T Γ z ˜ ij ( t ) μ ij e ν ij t f ji ( t )=( 1+2d c ji ( t ) ) e ji ( t ) T Γ e ji ( t ) 1 4 z ˜ ji ( t ) T Γ z ˜ ji ( t ) μ ji e ν ji t (10)

其中, d, μ ij , ν ij 是正常数。

建立基于边缘的触发机制,其形式如下:

t k+1 ij =inf{ t> t k ij | f ij ( t )0 } (11)

将一致性误差定义为:

δ i ( t ) x i ( t ) 1 N j=1 N x j ( t ) i,j=1,,N. (12)

上式表明, δ i ( t )=0 等价于 x 1 == x N ,因此,当且仅当 δ i ( t )=0 i=1,,N 都成立时,奇异多智能体系统(2)能达到一致。结合式(5)和式(12),得到了误差系统:

E δ ˙ i ( t )=A δ i ( t )+BK j N i a ij c ij ( t ) z ˜ ij ( t ) (13)

那么,将奇异多智能体系统(2)的一致性问题最终转换成了误差系统(13)的稳定性问题。接下来,本文将证明误差系统(13)的稳定性。

定理1. 在假设1和2的条件下,如果矩阵参数选择为 K= B T PE Γ= E T PB B T PE ,其中 P>0 为方程(1)的解。那么,在控制协议(5)和事件触发机制(11)的共同作用下,奇异多智能体系统(2)能实现一致性。即误差系统(13)中的一致性误差 δ i ( t ) 最终会渐近收敛到零。同时,时变增益 c ij ( t ) 将收敛到有限稳态值。

证明:选择李亚普诺夫函数如下

V( t )= 1 2 i=1 N ( E δ i ( t ) ) T PE δ i ( t )+ i,jε ( c ij ( t )α ) 2 8 (14)

显然, V( t ) 是正定的。对其求导,得:

V ˙ ( t )= i=1 N ( E δ i ( t ) ) T PE δ ˙ i ( t ) + i,jε ( c ij ( t )α ) 4 ρ ij c ˙ ij ( t ) = i=1 N ( E δ i ( t ) ) T P( A δ i ( t )+BK j N i c ij ( t ) a ij z ˜ ij ( t ) ) + i,jε ( c ij ( t )α ) 4 ρ ij ρ ij a ij ( t ) z ˜ ij ( t ) T Γ z ˜ ij ( t ) = i=1 N δ i ( t ) T E T PA δ i ( t ) + i,jε c ij ( t ) a ij δ i ( t ) T E T PBK z ˜ ij ( t ) + i,jε ( c ij ( t )α ) 4 a ij z ˜ ij ( t ) T Γ z ˜ ij ( t ) (15)

因为 a ij = a ji ,  c ij ( t )= c ji ( t ) ,根据 δ i ( t ) 的定义可知 z ij ( t )= δ i ( t ) δ j ( t ) ,因此可得:

δ i ( t ) T ( t ) E T PBK z ˜ ij ( t )= δ i ( t ) T Γ z ˜ ij ( t ) = 1 2 ( δ i ( t ) δ j ( t ) ) T Γ z ˜ ij ( t ) = 1 2 z ij ( t ) T Γ z ˜ ij ( t ) (16)

z ij ( t )= z ˜ ij ( t )+ e ij ( t ) e ji ( t ) 代入式(9),采用杨氏不等式得出:

z ij ( t ) T Γ z ij ( t )= z ˜ ij ( t ) T Γ z ˜ ij ( t )+2 z ˜ ij ( t ) T Γ e ij ( t )+2 z ˜ ij ( t ) T Γ e ji ( t ) + e ij ( t ) T Γ e ij ( t )2 e ij ( t ) T Γ e ji ( t )+ e ji ( t ) T Γ e ji ( t ) z ˜ ij ( t ) T Γ z ˜ ij ( t )+2 z ˜ ij ( t ) T Γ e ij ( t )+2 z ˜ ij ( t ) T Γ e ji ( t ) +2 e ij ( t ) T Γ e ij ( t )+2 e ji ( t ) T Γ e ji ( t ) (17)

由于 z ˜ ij ( t )= z ˜ ji ( t ) ,有:

z ˜ ij ( t ) T Γ z ij ( t )= z ˜ ij ( t ) T Γ z ˜ ij ( t )+ z ˜ ij ( t ) T Γ e ij ( t ) z ˜ ij ( t ) T Γ e ji ( t ) = z ˜ ij ( t ) T Γ z ˜ ij ( t )+ z ˜ ij ( t ) T Γ e ij ( t )+ z ˜ ji ( t ) T Γ e ji ( t ) (18)

根据 ( j,i )ε ,可得:

z ji ( t ) T Γ z ji ( t ) z ˜ ji ( t ) T Γ z ˜ ji ( t )+2 z ˜ ji ( t ) T Γ e ji ( t )+2 z ˜ ji ( t ) T Γ e ij ( t ) +2 e ji ( t ) T Γ e ji ( t )+2 e ij ( t ) T Γ e ij ( t ) (19)

z ˜ ji ( t ) T Γ z ji ( t )= z ˜ ji ( t ) T Γ z ˜ ji ( t )+ z ˜ ji ( t ) T Γ e ji ( t )+ z ˜ ij ( t ) T Γ e ij ( t ) (20)

联立式(18)和式(20),可得:

1 2 i,jε ( e ij ( t ) e ji ( t ) ) T Γ z ˜ ij ( t ) 1 4 i,jε z ˜ ij ( t ) T Γ z ˜ ij ( t ) + 1 4 i,jε ( e ij ( t ) e ji ( t ) ) T Γ( e ij ( t ) e ji ( t ) ) (21)

将式(9)和式(21)代入式(16),可得:

i,jε c ij( t ) a ij δ i ( t ) T E T PBK z ˜ ij ( t ) = 1 2 i,jε c ij ( t ) a ij z ij ( t ) T Γ z ˜ ij ( t ) 1 2 i,jε c ij ( t ) a ij ( e ij ( t ) e ji ( t ) ) T Γ z ˜ ij ( t ) 1 4 i,jε c ij ( t ) a ij z ˜ ij( t ) T Γ z ˜ ij ( t )+ 1 4 i,jε c ij ( t ) a ij ( e ij ( t ) e ji ( t ) ) T Γ( e ij ( t ) e ji ( t ) ) 1 4 i,jε c ij ( t ) a ij z ˜ ij ( t ) T Γ z ˜ ij ( t )+ i,jε c ij ( t ) a ij e ij ( t ) T Γ e ij ( t ) (22)

根据杨氏不等式,可得:

i,jε ( c ij ( t )α ) 4 a ij z ˜ ij ( t ) T Γ z ˜ ij ( t ) = c ij ( t ) 4 i,jε a ij z ˜ ij ( t ) T Γ z ˜ ij ( t ) α 4 i,jε a ij z ˜ ij ( t ) T Γ z ˜ ij ( t ) (23)

从式(9)和式(23)中可以得出:

α 8 i,jε a ij z ˜ ij ( t ) T Γ z ˜ ij ( t ) = α 8 i,jε a ij z ij ( t ) T Γ z ij ( t )+ α 4 i,jε a ij z ij ( t ) T Γ( e ij ( t ) e ji ( t ) ) α 8 i,jε a ij ( e ij ( t ) e ji ( t ) ) T Γ( e ij ( t ) e ji ( t ) )B α 16 i,jε a ij z ij ( t ) T Γ z ij ( t )+ α 8 i,jε a ij ( e ij ( t ) e ji ( t ) ) T Γ( e ij ( t ) e ji ( t ) ) α 8 i,jε a ij δ i ( t ) T Γ( δ i ( t ) δ j )+ α 2 i,jε a ij e ij ( t ) T Γ e ij ( t ) (24)

结合式(17)、式(18)、式(19)和式(20),并将式(22)和式(24)代入式(15)得出:

V ˙ ( t )= i=1 N δ i ( t ) T E T PA δ i ( t )+ i,jε c ij ( t ) a ij δ i ( t ) T E T PBK z ˜ ij ( t ) + i,jε ( c ij ( t )α ) 4 a ij z ˜ ij ( t ) T Γ z ˜ ij ( t ) 1 2 i=1 N δ i ( t ) T ( E T PA+ A T P E T ) δ i ( t ) α 8 i,jε a ij δ i ( t ) T Γ( δ i ( t ) δ j ) α 8 i,jε a ij z ˜ ij ( t ) T Γ z ˜ ij ( t )+ α 2 i,jε ( 1+2d c ij ( t ) ) a ij e ij ( t ) T Γ e ij ( t ) 1 2 δ T [ I N ( E T PA+ A T P E T )αLΓ ]δ + α 2 i,jε a ij [ ( 1+2d c ij ( t ) ) e ij ( t ) T Γ e ij ( t ) 1 4 z ˜ ij ( t ) T Γ z ˜ ij ( t ) ] (25)

其中 δ= [ δ 1 T ,, δ N T ] T 。从引理1中可以得出, λ 2 ( L ) δ T ( I N Γ )δ δ T ( LΓ )δ 。利用触发函数(10),如果选择的 α 足够大,以使

αmax{ 1 d , 4 λ 2 ( L ) }

从式(25)得出:

V ˙ ( t ) 1 2 δ T [ I N ( E T PA+ A T P E T )αLΓ ]δ+ α 2 i,jε a ij μ ij e ν ij t 1 2 δ T δ+ α 2 i,jε a ij μ ij e ν ij t (26)

对式(26)两边进行积分进一步给出:

V( t )V( 0 )+ 0 t α 2 i,jε a ij μ ij e ν ij t dsV( 0 )+ α 2 i,jε a ij μ ij ν ij (27)

又因为 V( t )0 ,那么 V( t ) 是有界的。可得 δ c ij ( t ) 都有界。因此, z ˜ ij ( t k ij ) 是有界的,因此可以得出 z ˜ ij ( t ) 是有界的。从(13)中可以得出 δ ˙ 是有界的。根据 z ij ( t ), z ˜ ij ( t ), e ij ( t ) e ji ( t ) ,之间的关系。可得 e ij ( t ) 是有界的。根据式(26),有:

0 + δ T δdt2( V( 0 )V( + ) )+α i,jε a ij μ ij ν ij (28)

因此,是有界的。综上所述,和是有界的,利用芭芭拉引理得到当t时,0。同时,将收敛到有限的稳态值。证毕。

定理2. 考虑在假设1和2下具有自适应控制器(5)的奇异线性多智能体系统(2),按照定理1中的方法给定矩阵FK,在事件触发条件(11) (12)作用下,各边缘均不表现出芝诺行为,从而任何智能体的两个连续触发时间之间的间隔都是严格正的。

证明:对于第i个智能体在时间间隔t,从式(7)可以得出:

d( e ij ( t ) T Γ e ij ( t ) ) dt =2 e ij ( t ) T E T PBK( E e ˙ ij ( t ) ) =2 e ij ( t ) T E T PBK( A e ij ( t )+B u i ( t ) ) =2 e ij ( t ) T E T PBK( A e ij ( t )+K j N i c ij ( t ) a ij z ˜ ij ( t ) ) (29)

从定理1得到 z ij ( t ), e ij ( t ) c ij ( t ) 是有界的。因此,假设

d( e ij ( t ) T Γ e ij ( t ) ) dt

有一个上界为 θ 。因为 e ij ( t k ij )=0 ,可得:

d( e ij ( t ) T Γ e ij ( t ) ) dt θ( t t k ij ), t[ t k ij , t k+1 ij ) (30)

当触发函数(10)在 t= t k+1 ij 时,有:

( 1+2d c ij ( t ) ) e ij ( t ) T Γ e ij ( t ) = 1 8 z ˜ ij ( t ) T Γ z ˜ ij ( t ) + μ ij e ν ij t (31)

结合式(30)和式(31),有:

0< μ ij ( 1+2d c ij ( t ) ) e ν ij t k+1 ij e ij ( t k+1 ij ) T Γ e ij ( t k+1 ij ) θ( t k ij t k+1 ij ) (32)

根据上述不等式,得出 τ k ij = t k+1 ij t k ij >0 。因此,这里并没有表现出芝诺行为。证毕。

4. 仿真

Figure 1. Communication topology between agent

1. 智能体之间的通信拓扑

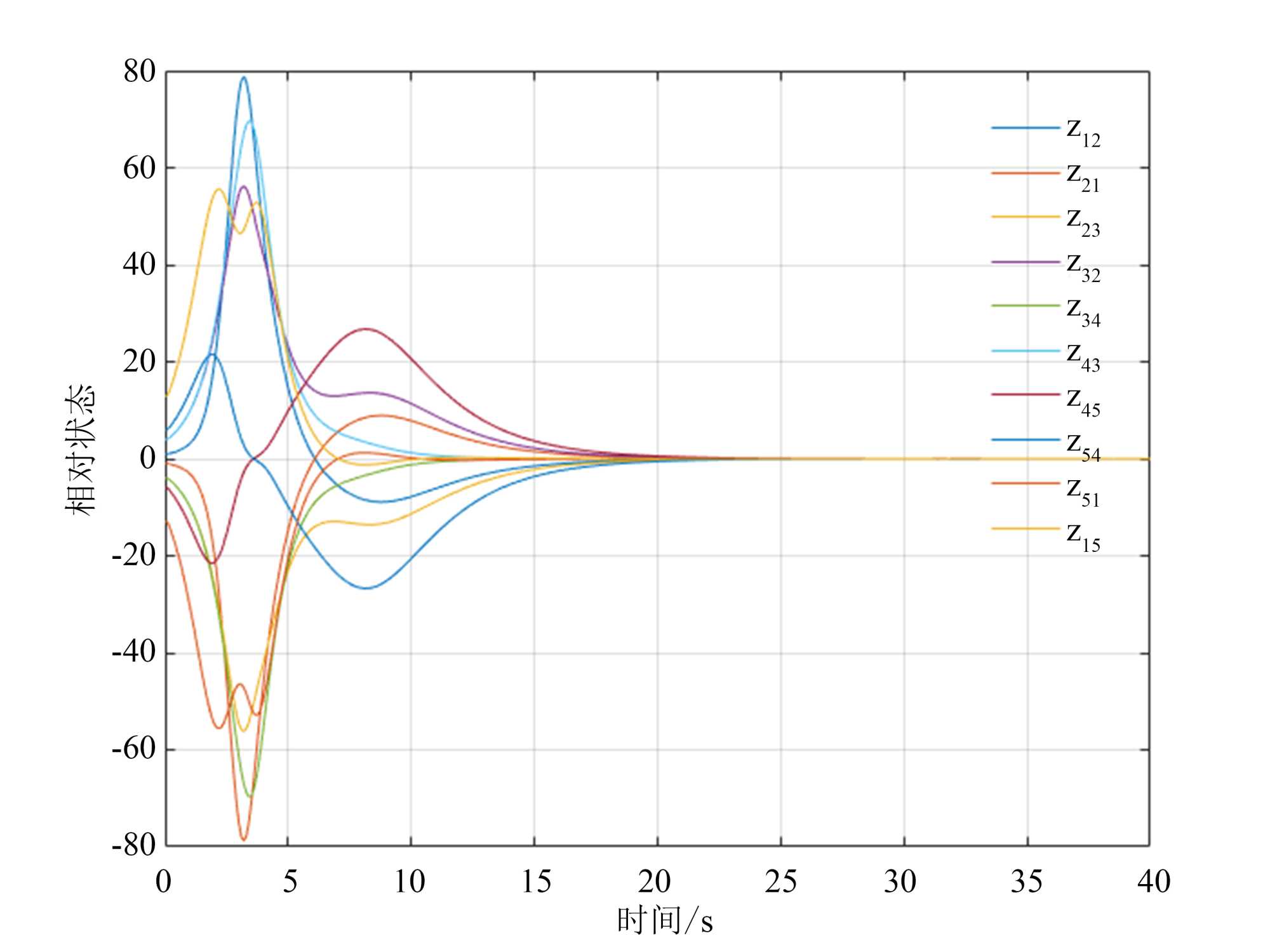
Figure 2. The first component of the relative state

2. 相对状态第一个分量

Figure 3. The adaptive parameter for edge (i, j)

3. 边(i, j)的自适应参数

Figure 4. Event trigger moment

4. 事件触发时刻

在本节中,我们通过Matlab对所设计的方法进行了仿真模拟。考虑一个由5个智能体组成的多智能体系统,通信拓扑结构如图1所示。第 i 个智能体的动态方程由 E=[ 1 0; 0 0 ] A=[ 0 1;1 1 ] B=[ 1 0; 0 1 ] 确定。求解式(1),得到

P=[ 0.6989 0.6989 0.6989 2.5756 ] Q=[ 2.9239 0 0 1.9847 ]

因此,反馈矩阵可得为 K=[ 0.6989 0; 0.6989 0 ] Γ=[ 0.9769 0; 0 0 ] 。其它参数分别被选择为 ρ ij =1000 d=1 ν ij =1 μ ij =50 。系统的初始状态为 x1=[ 3; 3 ] x2=[ 4; 1 ] x3=[ 0; 2 ] x4=[ 4; 8 ] x5=[ 10; 10 ] 。智能体之间的相对状态如图2所示,从中我们可以观察到确实达到了一致。自适应耦合权值 c ij ( t ) 图3所示。这意味着 c ij ( t ) 收敛到有限的正值。每个边缘的触发时间如图4所示。从图中可以看出,每条通信边的触发相互独立,并且异步边触发机制大大降低了触发频率。

5. 结论

本文设计了分布式自适应异步边事件触发协议,以解决奇异线性多智能体系统的一致性问题。与之前的相关工作不同,我们在奇异多智能体系统中设计了基于边事件触发的一致性控制协议。所提出的边事件触发协议不需要相邻智能体之间的连续通信,每条边缘均不表现出芝诺行为。在未来的研究中,将研究结果扩展到一般有向图是一项有趣的工作。

参考文献

[1] Olfati-Saber, R. and Murray, R.M. (2004) Consensus Problems in Networks of Agents with Switching Topology and Time-Delays. IEEE Transactions on Automatic Control, 49, 1520-1533.
https://doi.org/10.1109/tac.2004.834113
[2] Cao, Y., Yu, W., Ren, W. and Chen, G. (2013) An Overview of Recent Progress in the Study of Distributed Multi-Agent Coordination. IEEE Transactions on Industrial Informatics, 9, 427-438.
https://doi.org/10.1109/tii.2012.2219061
[3] Hong, Y., Hu, J. and Gao, L. (2006) Tracking Control for Multi-Agent Consensus with an Active Leader and Variable Topology. Automatica, 42, 1177-1182.
https://doi.org/10.1016/j.automatica.2006.02.013
[4] Li, X., Sun, Z., Tang, Y. and Karimi, H.R. (2021) Adaptive Event-Triggered Consensus of Multiagent Systems on Directed Graphs. IEEE Transactions on Automatic Control, 66, 1670-1685.
https://doi.org/10.1109/tac.2020.3000819
[5] Jiang, P., Zhang, W., Yan, C. and Hu, Z. (2023) Fully Distributed Event-Triggered Bipartite Output Formation Control for Heterogeneous Mass with Directed Graphs. IEEE Transactions on Circuits and Systems II: Express Briefs, 70, 2072-2076.
https://doi.org/10.1109/tcsii.2022.3233370
[6] Zhang, J., Zhang, H., Luo, Y. and Liu, Y. (2022) Adaptive Event-Triggered Leader-Follower Consensus of Linear Multiagent Systems under Directed Graph with Nonzero Leader Input. IEEE Transactions on Circuits and Systems II: Express Briefs, 69, 1442-1446.
https://doi.org/10.1109/TCSII.2021.3115487
[7] Hao, Y., Zhang, J. and Liu, L. (2023) Fully Distributed Event-Triggered Cooperative Output Regulation of Multiagent Systems under Jointly Connected Digraphs. IEEE Transactions on Automatic Control, 68, 4241-4248.
https://www.doi.org/10.1109/TAC.2022.3200961
[8] Cheng, B. and Li, Z. (2019) Fully Distributed Event-Triggered Protocols for Linear Multiagent Networks. IEEE Transactions on Automatic Control, 64, 1655-1662.
https://doi.org/10.1109/tac.2018.2857723
[9] Meng, X., Xie, L. and Soh, Y.C. (2018) Event-triggered Output Regulation of Heterogeneous Multiagent Networks. IEEE Transactions on Automatic Control, 63, 4429-4434.
https://doi.org/10.1109/tac.2018.2823085
[10] Cheng, B., Li, Z. and Wang, X. (2020) Cooperative Output Regulation of Heterogeneous Multi-Agent Systems with Adaptive Edge-Event-Triggered Strategies. IEEE Transactions on Circuits and Systems II: Express Briefs, 67, 2199-2203.
https://doi.org/10.1109/tcsii.2019.2953930
[11] Yang, J., Xiao, F. and Ma, J. (2019) Model-based Edge-Event-Triggered Containment Control under Directed Topologies. IEEE Transactions on Cybernetics, 49, 2556-2567.
https://doi.org/10.1109/tcyb.2018.2828645
[12] Zhang, J., Zhang, H., Sun, S. and Gao, Z. (2021) Leader-Follower Consensus Control for Linear Multi-Agent Systems by Fully Distributed Edge-Event-Triggered Adaptive Strategies. Information Sciences, 555, 314-338.
https://doi.org/10.1016/j.ins.2020.10.056
[13] Guo, S. and Meng, X. (2023) Fully Distributed Control of Multiagent Networks with Edge-Based Event-Triggered Communication. IEEE Transactions on Automatic Control, 68, 5630-5637.
https://doi.org/10.1109/tac.2022.3223973
[14] Liu, T., Ma, C., Sheng, A., Qi, G. and Li, Y. (2023) Observer-Based Adaptive Output Consensus for Singular Heterogeneous Multiagent Systems with Input Saturation. IEEE Systems Journal, 17, 6033-6044.
https://doi.org/10.1109/jsyst.2023.3301960
[15] Xian, C., Zhao, Y., Wu, Z., Wen, G. and Pan, J. (2023) Event-Triggered Distributed Average Tracking Control for Lipschitz-Type Nonlinear Multiagent Systems. IEEE Transactions on Cybernetics, 53, 779-792.
https://doi.org/10.1109/tcyb.2022.3159250
[16] Chen, Y., Gao, J. and Teng, L. (2023) Distributed Adaptive Event-Triggered Control for General Linear Singular Multi-Agent Systems. AIMS Mathematics, 8, 15536-15552.
https://doi.org/10.3934/math.2023792
[17] Song, W., Feng, J., Zhang, H. and Cai, Y. (2023) Formation Tracking Control for Heterogeneous Multiagent Systems with Multiple Nonautonomous Leaders via Dynamic Event-Triggered Mechanisms. IEEE Transactions on Cybernetics, 53, 7224-7237.
https://doi.org/10.1109/tcyb.2022.3190323
[18] Dai, L. (1989) Singular Control Systems. Springer-Verlag.