分子模拟在沥青老化中的应用研究进展
Research Progress on the Application of Molecular Simulation in Asphalt Aging
DOI: 10.12677/hjcet.2025.152008, PDF, HTML, XML,    科研立项经费支持
作者: 朱 杰, 银燕琼*, 赖月漂, 薛 秀:南宁学院土木与建筑工程学院,广西 南宁;南宁市环境友好型建筑材料与建筑性能提升工程技术研究中心,广西 南宁
关键词: 分子模拟沥青老化分子动力学量子化学Molecular Simulation Asphalt Aging Molecular Dynamics Quantum Chemistry
摘要: 本文介绍了分子模拟在沥青老化研究中的主要方法与进展。首先,概述了传统分子动力学、反应力场及量子化学等技术在老化沥青模型构建与合理性验证方面的探索与应用。随后,通过对已有研究中SARA组分调控、化学键断裂与生成以及官能团演化等微观过程的总结,揭示了分子模拟在分析老化机理、评估改性与再生策略以及研究界面作用时的意义。最后,指出未来应在多尺度模拟与实验验证相结合、完善模型与标准化验证手段以及融合数据驱动方法等方面进一步深入,为道路材料的耐久性设计及长寿命服役提供更可靠的依据。
Abstract: This article introduces the main methods and advances of molecular simulation in asphalt aging research. First, it outlines the exploration and application of traditional molecular dynamics, reactive force fields, and quantum chemistry techniques in constructing aged asphalt models and validating their rationality. Then, by summarizing the microscopic processes of SARA component regulation, chemical bond cleavage and formation, and the evolution of functional groups documented in existing studies, it reveals the significance of molecular simulation in analyzing aging mechanisms, assessing modification and regeneration strategies, and investigating interfacial interactions. Finally, the paper points out that future research should further explore the integration of multi-scale simulations with experimental validations, the improvement of models and standardization of validation methodologies, as well as the incorporation of data-driven approaches, to provide more reliable support for the durability design and long-service performance of pavement materials.
文章引用:朱杰, 银燕琼, 赖月漂, 薛秀. 分子模拟在沥青老化中的应用研究进展[J]. 化学工程与技术, 2025, 15(2): 80-96. https://doi.org/10.12677/hjcet.2025.152008

1. 引言

沥青老化是道路工程领域中的关键难题之一,老化过程会导致沥青性能逐渐衰减,从而影响道路的使用寿命与安全性。传统宏观试验虽能表征老化前后沥青性能的变化趋势,但难以深入揭示其微观结构演化规律。基于分子力学、反应力场以及量子化学的分子模拟方法,为从微观层面对沥青老化机理与改性策略展开研究、评估材料在不同老化阶段及环境条件下的性能变化,提供了新的技术手段与理论依据。

本文首先介绍老化沥青分子建模思路,包括基于SARA组分调整与化学键断裂/生成的模拟、反应力场模拟和量子化学模拟。其次,介绍分子模拟技术在老化沥青改性机理研究中的应用。最后,介绍分子模拟技术在老化沥青与界面相互作用研究中的应用,并对未来发展进行展望。

2. 老化沥青建模与模型合理性验证

近年来,为深入揭示沥青老化过程中的分子结构变化及化学反应机理,研究者们采用了多种分子模拟方法。传统分子动力学模拟通过构建老化后沥青的分子模型和调控SARA组分比例,探讨了老化过程中物理性能的演变;反应力场方法(ReaxFF-MD)则在考虑化学键动态断裂和生成的基础上,揭示了反应路径和官能团变化对老化行为的影响;而量子化学模拟方法则利用从头算分子动力学和密度泛函理论等第一性原理手段,从电子层面精准解析了老化及修复反应。这些方法互为补充,共同推动了对沥青老化机理的系统研究和性能预测。

2.1. 分子动力学模拟技术

传统的分子动力学模拟技术不涉及化学变化,因此需直接建立老化后的沥青各组分模型。在苯碳原子和硫原子上引入“C=O”和“S=O”双键形成的12分子四组分沥青分子模型,目前在老化后沥青的分子动力学模拟中应用较为广泛。原沥青分子模型和老化后的沥青分子模型示于图1之中[1]

由于沥青老化前后存在轻质组分减少、沥青质增多的现象,因此,依据试验测得的沥青老化前后的SARA (饱和烃、芳香烃、树脂、沥青质)组分比例,来调整老化前后沥青分子模型的四组分分子比例,也是模拟老化沥青的常用手段。不同的四组分比例标志着沥青老化的不同阶段,因此可以用来研究沥青不同老化阶段的性能特征。WU等[1]将SARA组分的比例调控纳入模拟体系,发现RA/SA指数((沥青质% + 胶质%)/(饱和分% + 芳香分%))与沥青性质强相关。此外,该项研究还发现,老化过程中极性官能团(酮、亚砜)的生成可以增强沥青分子与二氧化硅基底的静电势能,官能团变化对沥青性能变化的影响要大于SARA比例变化。上述研究发现为从分子层面解释沥青–集料界面脱粘机制提供了依据。

Figure 1. 4-component model of 12 molecules for aged and virgin asphalt [1]

1. 老化前后沥青12分子4组分模型[1]

针对老化沥青分子模型合理性的验证,常用的计算指标有玻璃态转化点Tg、内聚能密度CED和溶解度参数δ等。曹佃光等[2]建立分子链断裂前后的SBS分子模型,将之与基质沥青分子模型混合,建立了不同老化程度的SBS改性沥青的分子模型,以在分子层面研究不同老化程度的SBS改性沥青的自愈合性能。在初步验证模型合理性时即使用了上述三个参数。需要注意的是,Tg并无法直接通过计算获得,需在描绘出模型体积随温度变化的曲线后,在曲线中寻找体积变化率突变的温度点,作为模型的Tg参考值。

2.2. 反应力场

传统分子动力学模拟(MD)能够模拟较长时间的分子运动,可处理较大的体系,计算成本相对较低,适合大规模体系的研究,但其无法描述化学反应。反应分子动力学(ReaxFF-MD)是一种结合了反应力场和分子动力学的模拟技术,兼具量子化学和经典分子动力学的优点。此方法能够用于研究大分子体系反应过程中化学键的成断键规律、自由基和中间体的演化行为以及详细的化学反应路径[3]

杨丰华等[4]采用ReaxFF反应力场分子动力学方法对基质沥青和木质素改性沥青的老化行为进行了模拟。通过对反应体系分子数目、含氧量和目标化学键数量等进行统计分析,表征了沥青的老化程度。对老化体系中总分子数目和C-O、H-O、S-O等化学键数目的统计分析表明,氧气充足时木质素分子通过加快沥青分子的扩散速率而增加它们与氧气接触频率,从而加速沥青老化;当氧气不足时,木质素分子则通过酚羟基捕捉自由基,进而阻止沥青氧化反应的发生(图2)。

Figure 2. Changes in the oxygen content of asphalt and the number of chemical bonds in the system during the aging process [4]

2. 老化过程中沥青含氧量及主要化学键数量变化[4]

2.3. 量子化学模拟

上述反应力场分子动力学虽然能获取沥青老化的反应路径,但其准确性仍然受限。量子化学模拟方法是基于量子力学原理的数值模拟方法,其中,从头算分子动力学(AIMD)和密度泛函理论(DFT)等第一性原理方法更能从电子层面更贴合真实条件来研究化学反应[5]

Zhang等[6]通过量子化学模拟方法对比TDI (甲苯二异氰酸酯)与MDI (二苯基甲烷二异氰酸酯)两类再生剂对老化SBS修复的过程,分析其过渡态能量(反应过程中,反应物转化为产物的临界点的能量)和反应能量(表1),发现TDI能和老化SBS中的羟基自发反应,MDI能和羧基自发反应(图3)。因此,可以根据老化SBS中官能团的分布情况来选用不同的再生策略。

需要注意的是,量子化学模拟虽能精确描述电子结构和化学反应,适合高精度的反应机理研究,但计算资源需求高,通常只能处理小体系(几十到几百个原子)、短时间(皮秒到纳秒级别)的分子运动,整体规模受限。

Table 1. Activation energy and free energy of reactions [6]

1. 反应的活化能和自由能[1]

Reactants

Products

Product Energy (Ha)

Activation Energy (kcal/mol)

△G (kcal/mol)

ASBS1 + MDI

MASBS1

0.0577

51.922

+36.246

ASBS1 + TDI

TASBS1

−0.0217

25.246

−13.636

ASBS2 + MDI

MASBS2

−0.0036

39.624

−2.260

ASBS2 + TDI

TASBS2

0.0065

43.813

+4.091

Figure 3. Reaction energy change diagram [6]

3. 反应能量变化图[1]

3. 老化沥青改性机理

随着老化沥青改性研究的不断深入,分子模拟方法凭借其在微观层面剖析改性机理的独特优势,正逐渐成为相关领域的热点。本章将从聚合物改性、再生剂改性和无机物改性三个方面,综述分子模拟在老化沥青改性机理研究中的最新进展。

3.1. 聚合物改性

通过表征扩散系数、分子浓度在空间位置变化,我们可以理清多种改性剂混合的情况下改性剂与沥青之间的相互作用,从分子层面阐明改性剂的改性机理。

在橡胶粉改性沥青的储存稳定性的问题中,MD模拟被用来表征废低密度聚乙烯(LDPE)橡胶粉改性沥青的改性机理[7]。基于对分子体系组分的扩散系数和组分浓度分布的研究,LDPE的加入减小了分子体系中轻质组分的扩散系数(图4)。同时,复合体系中的分子分布更均匀,特别是经过8天的紫外老化的LDPE/CR复合改性沥青体系有相对较佳的表现(图5)。这些分子模拟的结果与研究中开展的改性沥青储存稳定性的结果是一致的。

Xie等[8]实验测定沥青样老化前后的渗透、软化点、延性、旋转粘度、高温流变和低温蠕变,并利用MD模拟的方法研究分子间的相互作用。通过实验结合分子动力学模拟,系统研究了接枝活化碎橡胶(GR)对改性沥青老化性能的改善效果。分子动力学模拟的结果表明,相对于普通橡胶(CR),GR的分子链对沥青的团聚效应更明显,且更能吸附轻质组分,使其具有改善改性沥青老化性能的原因(图6)。

Zhang等[9]利用分子动力学模拟研究聚乙烯(PE)光氧化老化改性沥青的相容性机制表明,轻微老化(PE-D1)的PE因羰基含量适度增加,与沥青的结合能增强,分散性更优(图7),从而改善高温性能;而过度老化(PE-D128)则因PE分子链发生断链、过度交联而导致相容性下降。该研究为PE在沥青改性中的可控应用提供了分子设计依据。

Figure 4. Diffusion coefficient of the four components in four modifiedbitumen systems [7]

4. 四种成分在四种改性沥青体系中的扩散系数[7]

Figure 5. Concentration distribution of the four components and CR in LDPE-8/CR-modified bitumen [7]

5. LDPE-8/CR改性沥青中四种组分和CR的浓度分布[7]

3.2. 再生剂改性

Hu等[10]通过构建四种聚合物基复合再生剂(PBCRs)模型开展分子动力学模拟,发现SBS基再生剂(SBS + R)在重建聚合物网络结构方面效果最佳(图8),但其界面扩散能力较弱;而CR + R虽扩散系数高,但再生效果有限。实验与模拟结合表明,SBS + R能显著恢复老化HVMA的流变性能和低温延伸性,为高效再生提供了技术路径。

Figure 6. RDFs between CR, GR and four components of aging bitumen systems: (a) CB-RTFOT, (b) CB-PAV, (c) GB-RTFOT, (d) GB-PAV [8]

6. CR、GR和老化沥青系统的四个组成部分之间的径向分布函数:(a) CB-RTFOT、(b) CB-PAV、(c) GB-RTFOT、(d) GB-PAV [8]

Figure 7. Molecular diffusion coefficients in the six modified bitumen systems [9]

7. 六种改性沥青体系中的分子扩散系数[9]

Figure 8. MSCR test results of rejuvenated HVMA with different PBCRs [10]

8. 不同PBCR对新生HVMA的MSCR检测结果[10]

陈美祝等[11]通过Materials Studio的Forcite模块优化构建轻质油、重质油、基质沥青、老化沥青的平衡态分子模型,并在Build Layers模块分别构建轻质油、重质油在老化沥青中的扩散模型,研究轻质油、重质油在老化沥青中的扩散特性。在采用MD方法计算废食用油中不同组分在老化沥青体系中的自由体积分数和扩散系数的同时,结合了密度泛函理论(DFT),更深入地分析了废食用油中不同组分产生不同的分子运动行为的原因,发现低极性的废食用油组分在高温施工环境下有更好的扩散融合的效果(图9表2)。

Figure 9. The diffusion coefficient curve graph of light oil (a) and heavy oil (b) [11]

9. 轻质油(a)和重质油(b)的扩散系数曲线图[11]

Table 2. Fitting results of the diffusion coefficient-temperature curves for different components of waste cooking oil [11]

2. 废食用油不同组分扩散系数–温度曲线的拟合结果[11]

废食用油组分

拟合直线

斜率

R2

轻质油

Y = 9.298 × 10−4X − 0.292

9.298 × 10−4

0.976

重质油

Y = 5.365 × 10−4X − 0.148

5.365 × 10−4

0.973

SHI等[12]建立了SBS (苯乙烯–丁二烯–苯乙烯共聚物)分子、断裂SBS分子链和重组后再生SBS分子的模型,构建了SBSMA (苯乙烯–丁二苯–苯乙烯改性沥青)和ASBSMA (丙烯腈–丁二烯–苯乙烯改性沥青)模型体系,并利用MD方法从分子角度对SBS改性剂的性能进行了表征。通过分析SBS分子与沥青分子之间的相互作用能、沥青–沥青模型的相对浓度、界面作用能和扩散效应,研究了不同再生剂对老化SBS改性沥青的再生机理(图10图11)。

Figure 10. The interaction energy between SBS & asphalt model: (a) Schematic diagram of SBSMA; (b) Interaction energy [12]

10. SBS与沥青模型之间的相互作用能:(a) SBSMA示意图;(b) 相互作用能[12]

Figure 11. The interaction energy of asphalt-asphalt model’s interface: (a) the interface situation of SBSMA and SBS-rejuvenated asphalt; (b) Interaction energy [12]

11. 沥青–沥青模型界面的相互作用能:(a) SBSMA与SBS再生沥青的界面情况;(b) 相互作用能[12]

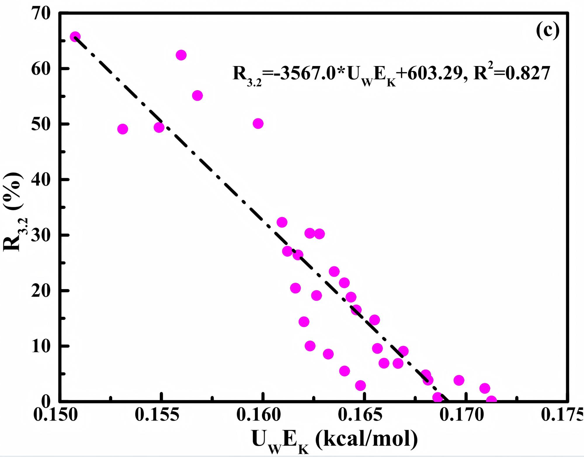
Ren等[13]将分子动力学模拟与能量分析联用,研究不同再生剂对老化沥青的恢复效果。研究表明,再生剂通过提升老化沥青的CED指标而对沥青高温性能进行修复。此外,他们还研究了在原子规模层面的能量参数与宏观流变性能的定量关系,发现零剪切粘度ZSV指标与CED的相关性较为明显,动能指标(UWEK)与再生沥青的高温流变性能指标也具有强相关性(图12图13),提示我们可以利用这种相关性对更多种类的再生剂对旧沥青高温流变性能的影响做预测。该课题组还利用MD模拟方法对不同条件下再生剂的再生效率差异原因进行了研究,认为再生剂的分子迁移率、分子体系中的自由体积均是导致不同再生效率差异的主要原因[14]。此外,该课题组还发现再生剂类型、沥青老化程度以及温度这三个因素也会对再生剂–老化沥青界面扩散能力造成影响[15]

Figure 12. Correlations between high-temperature critical parameters with CED [13]

12. 高温临界参数与CED之间的相关性[13]

Figure 13. Correlations between high-temperature critical parameters and kinetic energy [13]

13. 高温临界参数与动能之间的相关性[13]

3.3. 无机物改性

Wang等[16]通过MD方法计算了插层层状氧化物LDH在使用紫外吸收剂BP改性前后与改性沥青分子之间的溶解度参数、相互作用能,阐明了BP-LDH改性后拥有与改性沥青更好相容性的分子机理。

克高果等[17]通过MD模拟方法研究了老化的表面有机化硫酸钙晶须(OCSW)改性沥青界面的相互作用机理,发现老化沥青与OCSW的相互作用能大于未处理的硫酸钙晶须CSW (图14),可能是其优异的改性效果的来源。

Figure 14. Interaction energy of aged asphalt-whisker interface at different temperatures [17]

14. 不同温度下老化沥青–晶须界面相互作用能[17]

金娇等[18]采用MD方法研究有机蒙脱土OMMT改性沥青物理老化的分子机制,发现物理老化后OMMT改性沥青分子状态均更为活跃,不同类型的OMMT在分子体系自由体积、扩散系数方面的表现各有不同(图15图16),显示其分子层面的改性机制仍有进一步研究的空间。

4. 老化沥青与集料界面的相互作用

本章聚焦分子模拟在老化沥青与集料界面相互作用研究中的进展。通过梳理不同学者对氧气扩散、盐溶液侵蚀以及改性材料等关键因素的探讨,相关研究从微观层面阐明了界面相互作用的机理及其对沥青性能的影响,为改性策略与抗老化技术提供了重要的理论依据。

Figure 15. The free volume fraction of the asphalt model [18]

15. 各沥青模型的自由体积分数[18]

Figure 16. The MSD curves of the bitumen model [18]

16. 各沥青模型的MSD曲线[18]

张宇等[19]建立了氧气–沥青–集料的分子模型,研究扩散时间、温度、氧气分子数量、集料类型等因素对氧气扩散和沥青组分的影响,发现氧气扩散能力与时间、温度呈正相关,集料–沥青界面处的氧气浓度显著升高,CaCO3集料相比SiO2更利于氧气扩散,沥青质向膜中心迁移,胶质向集料界面聚集,轻质组分(芳香分、饱和分)受挥发与集料吸附双重作用影响。

Li等[20]建立了沥青–溶液–沥青分子体系和沥青–溶液–石英/方解石分子体系,通过计算分子体系的能量比ER、组分扩散系数、组分之间的径向分布函数(RDF),来从分子层面上研究盐溶液、纯水、碱性溶液三种工况对上述两种分子体系性质的影响。结果表明,方解石体系呈现最低的ER值,对应最弱的抗水损害性能。沥青–集料体系的高SARA扩散系数表明水分子在该体系中有更强的介入作用。

Yan等[21]通过MD方法研究不同阶段的废弃食用油WCO对老化沥青和集料界面粘附行为的影响。选用甘油三酯、游离脂肪酸以及经过处理的游离脂肪酸表征WOC的不同阶段,在集料界面建立了酸碱性不同的三种矿物,分别为石英、方解石和钠长石。通过计算体系在干、湿平衡状态下的粘附功、相对浓度、剥离功和能量比对沥青–集料界面相互作用、分子分布状态、界面粘附强度进行表征,并分析不同分子体系的表现异同(图17)。

抗老化材料(ARMs)能显著提高高粘度改性沥青(HiMA)的环境抗性。Hu等[22]采用MD方法在分子尺度上研究了HiMA-集料界面性能受ARMs影响的内在机制,同时研究了海水侵蚀条件下HiMA-集料界面的纳米结构演化机理(图18),发现ARMs通过改变分子体系中组分的空间排列来增强对界面的相互作用。

Figure 17. Sensitivity index of work of adhesion considering the effect of WCO at different stages and moisture of the asphalt-mineral interfaces: (a) SOR values; (b) SW values; and (c) SC values [21]

17. 虑WCO在不同阶段和沥青–矿物界面水分的影响的粘附工作灵敏度指数:(a) SOR值、(b) SW值和 (c) SC值[21]

Figure 18. Nanostructural evolution and component distribution at asphalt-seawater-aggregate interface (Seawater: 22% NaCl solution): (a) HiMA, (b) 9LSM, (c) 1LAM, and (d) 5AOM [22]

18. 沥青–海水–骨料界面(海水:22%氯化钠溶液)处的纳米结构演变和组分分布:(a) HiMA、(b) 9LSM、(c) 1LAM和 (d) 5AOM [22]

5. 结论与展望

对沥青老化机理的研究可为道路材料的耐久性设计提供更深入的理论依据,本研究整理了近年来不同尺度分子模拟技术在老化沥青与界面相互作用研究中的应用的研究结果,总结了分子模拟在沥青老化中的应用研究成果。得出如下基本结论:

(1) 现有研究从分子尺度出发,借助传统分子动力学、反应力场及量子化学等方法,探讨了沥青老化过程中分子结构演变、官能团生成及聚合物改性、再生剂改性和无机物改性等机制。分子模拟因在微观层面剖析改性机理的特性使其在揭示老化沥青微观行为方面具有不可替代的优势。未来的研究可以考虑将反应力场、分子动力学与量子化学模拟方法相结合,这种结合可以在不同尺度上捕捉化学反应的关键细节,既能在大分子体系中模拟复杂的反应路径,又能在电子层面精确描述化学键的形成和断裂过程,提高模拟的准确性和可靠性。

(2) 结合不同实验室数据进行热力学和动力学参数的多角度分析,有助于构建更全面的老化沥青分子结构与宏观性能关联。未来的研究可以考虑将分子模拟与宏观实验进行更深入全面的结合,从微观到宏观全面揭示老化沥青机制,全面地理解沥青老化过程中的微观与宏观性能变化,以便更准确地预测沥青材料在实际使用中的性能退化。

(3) 现有分子模拟研究多从某一参数角度展开,且主要集中考虑单一环境因素的影响。未来研究宜进一步加强多尺度模拟与实验验证的结合,通过在更复杂的模型中引入多环境因素和反应动力学,提高对实际工程中沥青老化行为模拟的准确度,全面揭示老化沥青与集料界面的相互作用机制,从而进一步探索新型抗老化材料的开发和应用。

(4) 在改性与再生应用方面,分子模拟技术为优化改性剂选择和改性配方、阐释老化机理及估计长期性能提供了重要依据。未来研究中,分子模拟技术应深入挖掘分子层面的相互作用对材料整体性能的影响规律,并探索高通量计算与数据驱动方法的融合,不断完善材料设计及性能预测的理论框架。此外,需建立更标准化的分子模型和系统验证手段,推动分子模拟技术在沥青老化与改性领域的普遍应用。

基金项目

广西高校中青年教师科研基础能力提升项目(2021KY1796);广西高校中青年教师科研基础能力提升项目(2024KY1880)。

NOTES

*通讯作者。

参考文献

[1] Wu, M., You, Z., Jin, D., Yin, L. and Xin, K. (2024) Aging Effects on Asphalt Adhesive Properties: Molecular Dynamics Simulation of Chemical Composition and Structural Changes. Molecular Simulation, 50, 836-854. [Google Scholar] [CrossRef
[2] 曹佃光, 张伟, 张伟光, 祝铭阳. 老化条件下基于分子模拟的SBS改性沥青自愈合性能研究[J]. 辽宁工程技术大学学报(自然科学版), 2024, 43(6): 682-691.
[3] 徐芳, 张锐, 崔达, 王擘. ReaxFF-MD揭示木质素热解反应机制的分子动力学研究[EB/OL]. 化工学报, 2024: 1-15.
http://kns.cnki.net/kcms/detail/11.1946.TQ.20241012.1643.008.html, 2025-02-07.
[4] 杨丰华. 木质素对沥青老化特性影响的分子动力学研究[J]. 合成材料老化与应用, 2022, 51(1): 56-60.
[5] 胡栋梁, 顾兴宇, 孙丽君, 等. 基于量子化学的沥青热老化与紫外老化机理[J]. 交通运输工程学报, 2023, 23(2): 141-152.
[6] Zhang, Y., Zhou, C., Zou, P., Hu, M. and Xu, Y. (2024) Shedding Light on the Rejuvenation Mechanism of Reactive Compounds in Aged SBS-Modified Asphalt through Molecular Dynamics and Quantum Chemical Simulations. Journal of Materials in Civil Engineering, 36, Article 04024358. [Google Scholar] [CrossRef
[7] Hu, K., Zhang, T., Chen, Y., Zhang, W., Wang, D. and Du, X. (2024) Effect of Low-Density Polyethylene and Crumb Rubber Blends with Different Ultraviolet Aging Degrees on the Storage Stability of Bitumen Based on Molecular Dynamics Simulation. Journal of Materials in Civil Engineering, 36, Article 04024268. [Google Scholar] [CrossRef
[8] Xie, J., Li, S., Lin, J., Lu, Z., Ding, Z. and Gong, L. (2024) Influence of Graft-Activated Crumb Rubber on the Aging Performance of Modified Bitumen: Experimental Analysis and Molecular Dynamics Simulation. Materials Today Communications, 39, Article ID: 109249. [Google Scholar] [CrossRef
[9] Zhang, T., Chen, Y., Hu, K., Zhang, W. and Chen, G. (2023) Investigating the Compatibility Mechanism of Bitumen Modified with Photo-Oxidative Aging of Polyethylene Using Molecular Dynamics Simulation. Journal of Materials in Civil Engineering, 35, Article 04023424. [Google Scholar] [CrossRef
[10] Hu, M., Sun, D., Hofko, B., Sun, Y., Mirwald, J. and Xu, L. (2024) Multiscale Optimization on Polymer-Based Rejuvenators for the Efficient Recycling of Aged High-Viscosity Modified Asphalt: Molecular Dynamics Simulation and Experimental Analysis. Journal of Cleaner Production, 449, Article ID: 141736. [Google Scholar] [CrossRef
[11] 陈美祝, 马佳萌, 赵月超, 贺俊, 于静君. 基于分子模拟的废食用油组分在老化沥青中的扩散特性研究[EB/OL]. 化工新型材料, 1-12. 2025-02-11.[CrossRef
[12] Shi, K., Ma, F., Liu, J., Fu, Z., Song, R., Yuan, D., et al. (2023) Rejuvenation Effect of Aged SBS-Modified Asphalt Utilizing Molecule Analysis. Journal of Cleaner Production, 405, Article ID: 136964. [Google Scholar] [CrossRef
[13] Ren, S., Liu, X. and Erkens, S. (2024) Exploring the Recovery Capacity of Recycling Agents on Atomic-Scale Energy Properties of Aged Bitumen and Their Potential Correlations with High-Temperature Rheological Performance. Materials & Design, 241, Article ID: 112957. [Google Scholar] [CrossRef
[14] Ren, S., Liu, X. and Erkens, S. (2023) Towards Critical Low-Temperature Relaxation Indicators for Effective Rejuvenation Efficiency Evaluation of Rejuvenator-Aged Bitumen Blends. Journal of Cleaner Production, 426, Article ID: 139092. [Google Scholar] [CrossRef
[15] Ren, S., Liu, X., Gao, Y., Jing, R., Lin, P., Erkens, S., et al. (2023) Molecular Dynamics Simulation and Experimental Validation on the Interfacial Diffusion Behaviors of Rejuvenators in Aged Bitumen. Materials & Design, 226, Article ID: 111619. [Google Scholar] [CrossRef
[16] Wang, T., Wu, J., Zhang, C., Yang, S., Dong, H., Hu, S., et al. (2024) Styrene-Butadiene-Styrene Block Copolymer Modified Bitumen with Ultraviolet Absorbent Intercalated Layered Double Hydroxide: Compatibility and Anti-Ageing Properties. Journal of Molecular Liquids, 410, Article ID: 125634. [Google Scholar] [CrossRef
[17] 克高果, 刘雨彤. 有机化硫酸钙晶须改性沥青抗老化性能[J]. 土木工程与管理学报, 2024, 41(6): 32-38.
[18] 金娇, 高玉超, 李锐, 等. 有机蒙脱土改性沥青抗老化性及其分子模拟试验[J]. 中国公路学报, 2022, 35(12): 24-35.
[19] 张宇, 李政, 方珑, 韩波, 王伟成, 毛自根, 刘奇, 于斌. 基于分子动力学模拟的沥青膜内氧气扩散行为研究[J]. 中外公路, 2024, 44(4): 115-126.
[20] Li, C., Qin, W., Fu, Z., Dai, J. and Ma, F. (2023) Comparative Evaluation on Decay Process of Asphalt-Aggregate Interfaces under Solution Erosion. Construction and Building Materials, 400, Article ID: 132698. [Google Scholar] [CrossRef
[21] Yan, S., Dong, Q., Chen, X., Wang, X., Shi, B. and Yao, K. (2024) Impact of Waste Cooking Oil under Different Stages on Aged Asphalt-Mineral Interface Adhesion via Molecular Dynamics Simulations. Journal of Materials in Civil Engineering, 36, Article 04023628. [Google Scholar] [CrossRef
[22] Hu, M., Zhou, C., Sun, G., Hofko, B., Mirwald, J. and Sun, D. (2024) Molecular-Atomic Scale Insight on Asphalt-Aggregate Interface Interaction and Seawater Erosion with Different Aging-Resistant Materials Using Molecular Dynamics Simulations. Energy & Fuels, 38, 9438-9457. [Google Scholar] [CrossRef