ECMWF细网格2 m气温和10 m风场在新疆地区的误差分析
Error Analysis of ECMWF Fine Grid Model for 2 m Temperature and 10 m Wind Speed in Xinjiang Region
DOI: 10.12677/ojns.2026.141009, PDF, HTML, XML,   
作者: 程海艳:中国民用航空新疆空中交通管理局气象中心,新疆 乌鲁木齐
关键词: EC细网格误差分析2 m气温10 m风速大风ECMWF Fine Grid Model Error Analysis 2 m Air Temperature 10 m Wind Speed Strong Wind Weather
摘要: 利用2015~2019年新疆地区各机场实况报文中的气温和风速数据以及对应时次的EC细网格2 m气温、10 m风速,进行比对分析。结果表明:(1) EC细网格预报的2 m气温和10 m风速系统性偏低,相对来说,EC细网格对2 m气温的预报优于10 m风速;(2) EC细网格2 m气温、10 m风速的误差具有明显的日变化特征,表现为白天误差小于夜间;(3) 2 m气温在12月~2月偏高,3月~11月偏低,10 m风速春夏季的偏差大于秋冬季;(4) EC细网格10 m风场在新疆地区大风天气中的漏报率较高,其对伊宁、库车、喀什、莎车4机场大风天气的预报中表现相对较好,预报准确率为100%。
Abstract: The 2 m temperature and 10 m wind speed from ECMWF are evaluated by comparing with observational data of 21 airports in Xinjiang region. The results show that: (1) The 2 m temperature and 10 m wind speed predicted by ECMWF are both lower than the measured factors, and the forecast of 2 m temperature is better than 10 m wind speed. (2) The errors of 2 m temperature and 10 m wind speed of ECMWF have obvious diurnal variation characteristics, that is, they are smaller in the day than at night. (3) The temperature by ECMWF is higher from December to February and lower from March to November, and the deviation of 10 m wind speed in spring and summer is greater than that in autumn and winter. (4) The omission rate of the 10 m wind speed forecast by EC fine grid is relatively high in strong wind weather in Xinjiang, and it performs relatively well in the forecast of strong wind weather in Yining, Kuche, Kashgar, and Shache airports, with a forecast accuracy of 100%.
文章引用:程海艳. ECMWF细网格2 m气温和10 m风场在新疆地区的误差分析[J]. 自然科学, 2026, 14(1): 81-88. https://doi.org/10.12677/ojns.2026.141009

1. 引言

在航空气象保障中,2 m气温和10 m风速是非常重要的两个气象要素,2 m气温是雨雪相态转换[1]-[3]的重要判据,同时还会影响航空器的载重,而不稳定的风场及大风则会严重影响到低空飞行安全[4]-[6]。欧洲中期天气预报中心(ECMWF)的大气模式能够提供高时空分辨的气象预报资料,预报产品精度较高,是当前2 m气温和10 m风速主要获取途径之一。但数值预报产品中由初始场和次网格过程参数化等问题引起的误差是不可避免的,而且数值预报在不同天气、不同季节以及不同地域下的准确率也存在差异[7] [8],因此在使用数值预报产品前有必要对其进行全方面的评估和检验。

众多学者根据实际需求对EC细网格产品进行了对比分析[7]-[12]。例如玛依热·艾海提等[9]发现ECMWF细网格模式2 m温度预报产品对南疆西部非山区站未来24 h最高、最低气温的预报能力较好,对山区站未来24 h预报效果差;吴诗梅等[10]和黎倩等[11]分别对西南环横断山区和甘肃省南部山区的2m气温进行了预报评估,均发现随着地形高度的增加,预报偏差也随之增加。杨怡曼等[12]系统评估了欧洲中期天气预报中心EC细网格10 m风24 h预报产品在象山港海域的准确性,发现相比于平均风速,极大风速的EC预报结果与象山港海域的实测结果更接近。钟有亮等[13]发现ECMWF细网格10 m极大风速预报误差与海拔高度密切相关,海拔较低站点与实况观测一致性更高。然而,现有研究多侧重于特定天气过程或单一要素,缺乏针对新疆全区、特别是从航空气象服务保障需求出发,系统性地、精细化地分析ECMWF细网格对2 m温度和10 m风速这两个关键航空要素的误差特征,并专门评估其在大风天气预报中的表现。

基于以上背景,本研究旨在系统检验ECMWF细网格产品对新疆地区各机场2 m温度和10 m风速的预报效果,尤其是对新疆机场大风天气的预报能力。以期为该地区航空气象的精细化预报与服务提供科学依据和技术支持。

2. 资料和方法

2.1. 资料

误差分析所用的实况资料为2015年1月1日~2019年12月31日新疆地区21个机场的航空例行天气报告(METAR)中的气温、风速数据,时间分辨率1小时。

EC细网格模式资料为2015年1月1日~2019年12月31日每日北京时20时起报的12~72小时2 m气温、10 m风速数据,空间分辨率0.125˚ × 0.125˚,时间分辨率3小时,采用最近经纬网格数据作为机场的预报值。

2.2. 方法

采用平均偏差(Bias)、平均绝对误差(MAE)、均方根误差(RMSE)以及相关系数来评估EC细网格2 m气温、10 m风速在新疆地区的释用情况。计算公式如下:

Bias= 1 N i=1 N ( y i x i ) (1)

MAE= 1 N i=1 N | y i x i | (2)

RMSE= 1 N i=1 N ( y i x i ) 2 (3)

式中,xi为观测值,yi为预报值;N为样本总数;i为样本。

大风天气严重影响飞机起降,因此检验数值预报对大风天气的预报效果十分重要。这里选用的大风标准为:平均风速大于等于12 m/s,若某日出现大风天气,则将该日记为一个大风日,通过统计EC细网格对机场大风日的准确率、空报率以及漏报率来初步检验其对大风天气的预报能力。

准确率 = m 1 M ×100% (4)

漏报率 = N m 1 N ×100% (5)

空报率 = M m 1 M ×100% (6)

式中,M为EC预报的大风日数,N为实际大风日数, m 1 为预报准确大风日数。

3. 误差分析

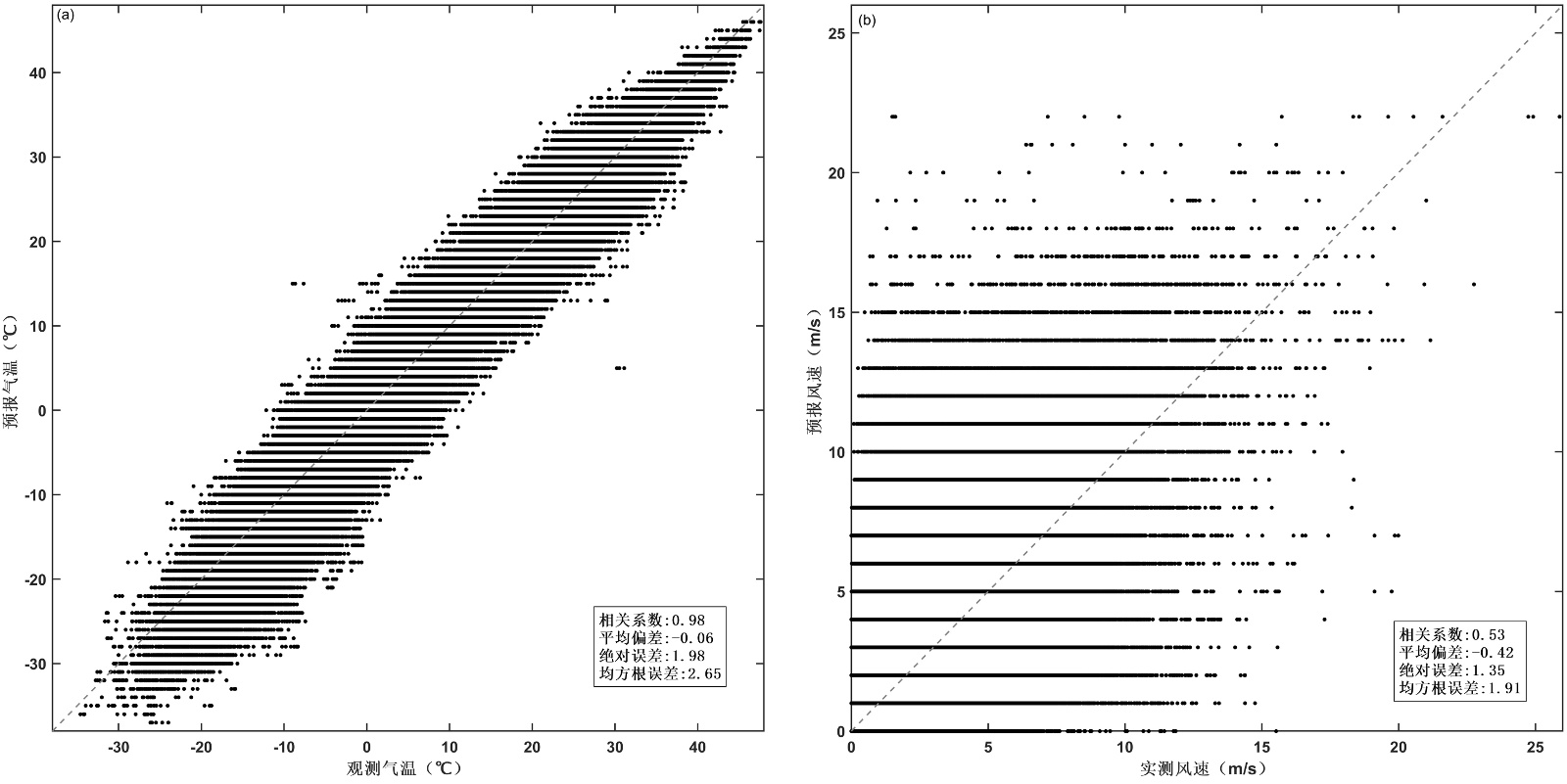
Figure 1. Scatter plots of 2 m temperature (a), 10 m wind speed (b) predicted by ECMWF and observed temperature and wind speed from 2015 to 2019

1. 2015~2019年EC细网格2 m气温(a)、10 m风速(b)和观测气温、风速的散点图

为了检验EC细网格预报的2 m气温和10 m风速的总体效果,图1给出了12~72 h预报和观测的散点图及相关系数、绝对误差和均方根误差。由图可知,EC细网格预报的2 m气温与实测气温的相关性极好(0.98),10 m风速的相关性则相对较差,但仍通过了0.01显著性水平检验,说明EC细网格对于风速变化的趋势预报是可靠的。EC细网格2 m气温的平均偏差为−0.06,2 m气温系统性偏低,平均绝对误差为1.96℃,均方根误差2.65℃,均方根误差大于绝对误差,说明EC细网格在对气温的预报中存在误差非常大的时刻,这可能受天气影响,以往研究表明乌鲁木齐在大雾天气时,EC细网格预报的气温最大误差可达12℃ [8]。对于10 m风速,EC细网格的预报结果系统性偏低,平均绝对误差1.35 m/s,均方根误差1.91 m/s,均方根误差大于绝对误差,EC细网格在风速的预报中也存在误差非常大的时刻。另外,通过计算发现EC细网格预报的2 m气温和10 m风速的相对误差分别为4%和49%。因此,总体来看EC细网格对2 m气温的预报优于10 m风速。

3.1. 日变化特征

图2给出了2015~2019年EC细网格2 m气温未来12~72小时预报误差的日变化情况。由图2可知,各误差均存在明显的日变化特征,白天误差(11:00~20:00,下文同)小于夜间误差(23:00~08:00,下文同),且随着预报时长的增长,同一时刻的误差也随之增加。

从平均偏差来看,2 m气温以负偏差为主,仅在每日08:00~14:00出现正偏差,即EC细网格预报的2 m气温系统性偏低。绝对误差与均方根误差分布较为一致,均方根误差值大于绝对误差,存在误差异常大的时刻。绝对误差范围在1.66~2.31℃之间,白天误差小,夜间误差大。

Figure 2. Daily variation of Bias (a), MAE (b), and RMSE (c) of 2m temperature in ECWMF for 12~72 hours from 2015 to 2019

2. 2015~2019年EC细网格2 m气温未来12~72 h的误差日变化((a) 平均偏差;(b) 绝对误差;(c) 均方根误差)

图3为2015~2019年EC细网格10 m风速未来12~72小时预报误差的日变化情况。与2 m气温一致,10 m风速的误差也存在明显的日变化特征,平均偏差白天误差小于夜间误差,均方根误差和绝对误差在14:00~23:00之间呈增长趋势,在23:00达到最大后开始减少,且随着预报时长的增长,同一时刻的误差也随之增加。

平均偏差显示,EC细网格预报的10 m风速系统性偏低,整体表现为负偏差,偏差值在0.2~0.7 m/s。绝对误差与均方根误差分布较为一致,均方根误差值大于绝对误差,存在误差异常大的时刻。

Figure 3. Daily variation of Bias (a), MAE(b), and RMSE (c) of 10m wind speed in ECWMF for 12~72 hours from 2015 to 2019

3. 2015~2019年EC细网格12~72小时10 m风速平均偏差(a)、绝对误差(b)、均方根误差(c)日变化

3.2. 月变化特征

图4为EC细网格2 m气温各误差的月分布图。由图4(a)可知,除冬季(12月~2月)外,各月2 m气温平均偏差均为负偏差,最大正偏差出现在1月,为1.27℃,最大负偏差出现在4月,为−0.92℃。均方根误差和绝对误差变化趋势一致,表现为“W”型,均方根误差大于绝对误差。根据均方根误差的月分布可知(图4(c)),2 m气温在冬季的误差最大,尤其是1月,为全年最大值(3.34℃),最小值出现在10月,为2.23℃。

Figure 4. Monthly variation of Bias (a), MAE(b), and RMSE (c) of 2m temperature in ECWMF for 12~72 hours from 2015 to 2019

4. 2015~2019年EC细网格12~72小时2 m气温平均偏差(a)、绝对误差(b)、均方根误差(c)月变化

从EC细网格10 m风速平均偏差的月分布可知(图5),EC细网格预报的10 m风速系统性偏低,各月均为负偏差,偏差值在−0.2~−0.6 m/s之间,4月开始平均偏差有一个明显增大的过程,维持在−0.6 m/s左右,9月开始迅速减小,即春夏季的偏差大于秋冬季。10 m风速均方根和绝对误差的月分布变化趋势一致(图4(b)、图4(c)),春夏季的偏差大于秋冬季。

Figure 5. Monthly variation of Bias (a), MAE (b), and RMSE (c) of 10m wind speed in ECWMF for 12~72 hours from 2015 to 2019

5. 2015~2019年EC细网格12~72小时10 m风速平均偏差(a)、绝对误差(b)、均方根误差(c)月变化

3.3. EC细网格10 m风速在大风天气中的应用效果

通过表1可知,库尔勒机场为大风天气最多的机场,年平均大风日数21日,其次为吐鲁番机场(18日),再次为哈密机场(17.6日),图木舒克、石河子、乌鲁木齐机场大风天气较少。EC细网格在新疆各机场的大风平均准确率为50%;伊宁、库车、喀什、莎车4机场的大风准确率为100%;哈密、富蕴、吐鲁番、若羌4机场的大风准确率超过80%;阿勒泰、喀纳斯、博乐、那拉提、石河子、图木舒克以及和田机场的大风预报准确率为0。EC细网格在新疆各机场的大风平均空报率21%,整体空报较少,其中博乐机场大风空报率最高(100%),其次为乌鲁木齐机场(81%),阿勒泰、石河子、库车、喀纳斯、那拉提、莎车、喀什、和田、图木舒克以及伊宁机场空报率为0。EC细网格在新疆各机场的大风平均漏报率82%,漏报率较高,其中阿勒泰、博乐、石河子、喀纳斯、那拉提、和田、图木舒克机场的大风漏报率为100%,克拉玛依、乌鲁木齐漏报率较低,分别为25%和33%。

总的来说,EC细网格10 m风场在新疆地区大风天气中的漏报率较高,但是一旦预报了大风天气,则很少空报。从各机场的表现来看,EC细网格在伊宁、库车、喀什、莎车4机场大风天气的预报中表现相对较好,预报准确率为100%,并且不存在空报;而其对阿勒泰、博乐、石河子、喀纳斯、那拉提、和田、图木舒克机场大风天气不具有预报能力,漏报率为100%。

Table 1. The forecasting effect of ECWMF 10 m wind field in strong wind weather at various airports in Xinjiang from 2015 to 2019

1. 2015~2019年EC细网格10 m风场在新疆各机场大风天气中的预报效果

机场

实际大风日数/日

EC预报大风日数/日

准确率/%

空报率/%

漏报率/%

阿克苏

10

4

50

50

80

阿勒泰

15

0

0

0

100

博乐

16

1

0

100

100

且末

20

16

56

44

55

富蕴

63

17

88

12

76

哈密

88

28

82

18

74

石河子

3

0

0

0

100

库车

44

5

100

0

89

库尔勒

105

4

75

25

97

克拉玛依

56

98

43

57

25

喀纳斯

21

0

0

0

100

那拉提

34

0

0

0

100

若羌

70

43

91

9

44

莎车

26

2

100

0

92

喀什

65

6

100

0

91

塔城

33

3

67

33

94

吐鲁番

90

16

88

12

84

和田

21

0

0

0

100

图木舒克

1

0

0

0

100

乌鲁木齐

9

31

19

81

33

伊宁

16

3

100

0

81

4. 结论和讨论

利用2015~2019年新疆地区各机场实况报文中的气温、风速以及EC细网格预报的对应时次的2 m气温、10 m风速,通过分析两者之间的平均偏差、均方根误差、绝对误差以及相关系数,得到以下结论:

(1) EC细网格预报的2 m气温和10 m风速系统性偏低,相对来说,EC细网格对2 m气温的预报优于10 m风速。

(2) 从日变化来看,2 m气温和10 m风速的误差均存在明显的日变化特征,白天误差(11:00~20:00)小于夜间误差(23:00~08:00)。

(3) 2 m气温在12月~2月偏高,3月~11月偏低,1月EC预报气温比实际气温高1.27℃,4月EC预报气温比实际气温低为0.92℃;均方根误差表明2 m气温在冬季的误差最大,尤其是1月,为全年最大值(3.34℃),最小值则出现在10月,为2.23℃。

(4) EC细网格预报的10 m风速各月平均偏差在−0.2~−0.6 m/s之间,4月开始明显增大,9月开始迅速减小,即春夏季的偏差大于秋冬季。

(5) EC细网格10 m风场在新疆地区大风天气中的漏报率较高,但是一旦预报了大风天气,则很少空报。其对伊宁、库车、喀什、莎车4机场大风天气的预报中表现相对较好,预报准确率为100%。

通过分析验证,可知EC细网格模式在新疆地区具备较好的应用基础,尤其在气温预报方面表现稳定,但对风速和大风天气的预报能力仍有提升空间。未来可尝试通过系统性偏差订正、分区域分时段优化、融合多源数据等方法,持续开展本地化检验与评估,提升其在航空气象、灾害预警等领域的实用价值,形成适用于新疆复杂下垫面的预报订正体系。

参考文献

[1] 朱乾根, 林锦瑞, 寿绍文, 等. 天气学原理和方法[M]. 北京: 气象出版社, 1992.
[2] 张琳娜, 郭锐, 曾剑, 等. 北京地区冬季降水相态的识别判据研究[J]. 高原气象, 2013, 32(6): 1780-1786.
[3] 卢晔, 孟妙志, 乔丹杨, 等. 宝鸡市冬半年降水相态精细化客观预报方法研究[J]. 干旱气象, 2023, 41(5): 820-827.
[4] 陈阳权, 朱雯娜, 尹才虎, 等. 一次东南大风天气下近地面风场结构及航空影响分析[J]. 沙漠与绿洲气象, 2024, 18(4): 8-14.
[5] 王楠, 尹才虎, 刘晓明, 等. 乌鲁木齐机场一次冷锋型低空风切变过程的LiDAR分析[J]. 激光技术, 2023, 47(4): 565-571.
[6] 曼吾拉·卡德尔, 刘鑫华, 李云翔, 等. 西北干旱区机场低空风切变基本特征分析[J]. 干旱气象, 2024, 42(3): 347-356.
[7] 佟华, 姚明明, 王雨, 陈起英, 等. T213L31全球中期数值天气预报系统2 m温度预报误差源分析[J]. 气象, 2006(2): 52-57.
[8] 张超, 李娜, 贾健. ECMWF细网格模式2 m温度产品在乌鲁木齐市温度预报中的检验[J]. 沙漠与绿洲气象, 2015, 9(5): 62-68.
[9] 玛依热·艾海提, 希热娜依·铁里瓦尔地, 杨利鸿. ECMWF细网格2 m温度预报产品在南疆西部温度预报中的释用[J]. 沙漠与绿洲气象, 2021, 15(5): 1-7.
[10] 吴诗梅, 唐娜, 梁雨琪, 等. ECMWF模式对我国西南环横断山区冬季近地面2 m温度的预报评估[J]. 高原气象, 2024, 43(1): 88-98.
[11] 黎倩, 刘新伟, 叶培龙, 等. ECMWF模式对甘肃省南部山区近地面2 m气温的预报评估[J]. 兰州大学学报(自然科学版), 2025, 61(5): 693-701.
[12] 杨怡曼, 邓琪, 张晟宁, 等. ECMWF细网格10 m风预报在象山港海域的评估与订正[J]. 海洋预报, 2025, 42(3): 45-55.
[13] 钟有亮, 李勋, 陈静, 等. ECMWF细网格10 m极大风速预报在海南岛的评估与订正[J]. 热带农业科学, 2024, 44(10): 140-147.