不同类型石油树脂对EVA热熔胶性能影响研究
Study on the Effects of Different Types of Petroleum Resins on the Properties of EVA Hot-Melt Adhesive
DOI: 10.12677/amc.2026.141008, PDF, HTML, XML,   
作者: 侯高明, 卢 森, 郑梁欣子, 郑 昭, 梁 涛:广东欣涛新材料科技股份有限公司,广东 佛山
关键词: 石油树脂EVA热熔胶粘接性能Petroleum Resin EVA Hot-Melt Adhesive Bonding Performance
摘要: 石油树脂是EVA热熔胶最重要的增粘组分,为研究不同类型石油树脂对EVA热熔胶性能的影响,本研究选用相同软化点的C5、C9、DCPD和C5/C9共聚石油树脂,对EVA热熔胶的粘度、软化点、拉伸强度、断裂伸长率、耐老化性能和粘接效果进行的研究。结果表明,C5石油树脂对EVA热熔胶的性能影响最大,C9石油树脂对EVA热熔胶的性能影响最小。
Abstract: Petroleum resin is the most important tackifying component of EVA hot-melt adhesive. To investigate the effects of different types of petroleum resins on the properties of EVA hot-melt adhesive, this study selected C5, C9, DCPD and C5/C9 copolymer petroleum resins with the same softening point, and conducted research on the viscosity, softening point, tensile strength, elongation at break, aging resistance and bonding effect of EVA hot-melt adhesive. The results show that C5 petroleum resin has the greatest influence on the properties of EVA hot-melt adhesive, while C9 petroleum resin has the smallest influence.
文章引用:侯高明, 卢森, 郑梁欣子, 郑昭, 梁涛. 不同类型石油树脂对EVA热熔胶性能影响研究[J]. 材料化学前沿, 2026, 14(1): 64-70. https://doi.org/10.12677/amc.2026.141008

1. 引言

石油树脂是一类以石油裂解副产物为核心原料,经催化聚合、精制等工艺合成的热塑性烃类树脂,具有“低成本、易加工、性能可调控”的显著优点[1] [2]。其产业化及推广使用不仅有效解决了石油裂解副产物带来的环保问题,实现对石油资源高效利用和增值;同时填补了天然树脂因受地理气候限制导致的资源不足、产能波动大、品质稳定性差等行业痛点;更作为关键增粘组分广泛赋能热熔胶、涂料、橡胶、油墨等领域,尤其在热熔胶行业中,其增粘、抗老化、改善粘结强度等作用使其成为不可或缺的核心原料[3]-[5]

EVA (乙烯–醋酸乙烯酯共聚物)热熔胶因具有低VOC、固化速度快、粘结范围广、安全环保且可回收利用等突出特点,已成为包装、木工、纺织、电子、汽车内饰等领域应用范围最广、使用量最大的热熔胶体系之一[6] [7]。在EVA热熔胶配方中,石油树脂的种类、软化点、分子量分布等特性直接影响胶粘剂的初粘度、软化点、力学性能及耐温性能,更会影响到粘接效果[8] [9]。因此EVA与石油树脂之间的关系对热熔胶产品起着决定性作用,相关研究具有重要的实际应用价值[10]-[12]

本研究聚焦于目前市面上最主要的四类石油树脂:脂肪族C5石油树脂、芳香族C9石油树脂、二环戊二烯DCPD石油树脂和兼具C5/C9特性的共聚石油树脂,系统探究他们对EVA热熔胶性能的影响规律,旨在为行业从业者在原材料选择和配方设计和产品优化上提供实践参考。

2. 实验部分

2.1. 材料

费托蜡;EVA (28/150);脂肪族C5石油树脂;芳香族C9石油树脂;二环戊二烯DCPD石油树脂;C5/C9共聚石油树脂;抗氧化剂;瓦楞纸箱。

2.2. 仪器

YP10002电子天平,RVDV-I Brookfield黏度计,SYD-2806H全自动沥青软化点试验器,DHG-9203A电热鼓风干燥箱,XLW型万能拉伸试验机。

2.3. 制备方法

将蜡、EVA、增粘树脂和抗氧化剂按照比例称取后加入反应釜中,升温至140℃~160℃,物料充分混合均匀后出胶,待冷却后收存标记。

2.4. 测试试验

熔融粘度按HG/T 3660-1999执行,软化点按GB/T 15332-1994执行,拉伸强度和断裂伸长率按GB/T 528-2009执行。

3. 结果与讨论

3.1. 石油树脂对热熔胶熔融粘度和软化点的影响

在EVA热熔胶体系中,熔融粘度和软化点是决定其性能的核心参数,二者共同构成了热熔胶基本性能与使用场景的基础。从实际应用来看,熔融粘度关乎热熔胶的应用领域、施工方式、涂布效果与基材渗透性;而软化点则直接关乎热熔胶的粘接强度、内聚强度及耐温性能。因此,为精准调控EVA热熔胶的综合性能,深入探究树脂对其熔融粘度和软化点的影响规律显得尤为重要。

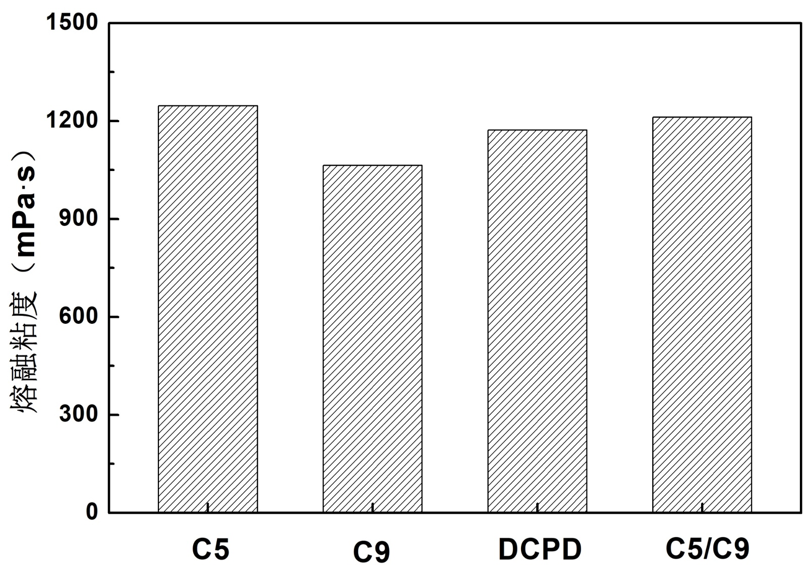
Figure 1. Effect of different types of tackifying resins on the viscosity of hot-melt adhesives

1. 不同类型增粘树脂对热熔胶粘度的影响

图1可以看出不同石油树脂类型对EVA热熔胶熔融粘度的作用规律,在160℃条件下,四种石油树脂对EVA热熔胶熔融粘度的整体影响程度较小,未出现显著的粘度差异。

从具体数据对比来看,在160℃条件下,不同类型石油树脂对熔融粘度的影响存在细微差异:其中,以C5石油树脂制备的EVA热熔胶,其相对熔融粘度在四种样品中表现最高;而以C9石油树脂制备的EVA热熔胶,相对熔融粘度则为四种样品中的最低值。C5石油树脂分子结构为直链脂肪族,余EVA相容性最佳,C9石油树脂是含有苯环、萘环等芳香环,与EVA相容性最差。结合实验现象与配方构成可进一步推断,在本研究体系内,相较于石油树脂这组分,EVA主体树脂本身的结构(如分子量、支化度)、VA含量才是决定EVA热熔胶熔融粘度的核心因素。

Figure 2. Effect of different types of tackifying resins on the softening point of hot-melt adhesives

2. 不同类型增粘树脂对热熔胶软化点的影响

与对于熔融粘度影响作用相比,不同类型石油树脂对EVA热熔胶的软化点调控影响相当显著。从图2的结果可以看出,以C5石油树脂制备的EVA热熔胶具有最高的软化点,以C5/C9共聚石油树脂制备的EVA热熔胶具有最低的软化点。石油树脂分子直链结构与EVA分子间作用力更强,热熔胶在高温环境下更易保持结构稳定性,可适用于对耐热性有较高要求的应用场景。

3.2. 石油树脂对热熔胶拉伸强度和断裂伸长率的影响

拉伸强度和断裂伸长率是热熔胶重要的力学性能指标,能有效体现热熔胶的内聚强度,具体表现为热熔胶在拉伸过程中所能承受的最大应力和断裂前所能发生的最大形变程度。

Figure 3. Effect of different types of tackifying resins on the tensile strength of hot-melt adhesives

3. 不同类型增粘树脂对热熔胶拉伸强度的影响

图3可以看出,不同类型石油树脂对EVA热熔胶拉伸强度存在明显差异,C5石油树脂制备的EVA热熔胶拉伸强度最大,C9石油树脂制备的EVA热熔胶拉伸强度最小,增粘树脂与主体树脂之间的相容性是影响热熔胶拉伸强度的重要因素。

Figure 4. Effect of different types of tackifying resins on the elongation at break of hot-melt adhesives

4. 不同类型增粘树脂对热熔胶断裂伸长率的影响

相对于石油树脂对EVA热熔胶拉伸强度的影响,石油树脂对EVA热熔胶断裂伸长率的影响正好相反。从图4中可以看出,C5石油树脂制备的EVA热熔胶断裂伸长率最小,断裂伸长率只有200%,C9石油树脂制备的EVA热熔胶断裂伸长率最大,达到了850%。综合来看,石油树脂的分子结构(如官能团种类、链段柔性)是影响EVA热熔胶力学性能平衡的核心因素。

3.3. 石油树脂对热熔胶耐老化性能的影响

热熔胶除了保质时间比较长,其使用环境比较特殊,需在加热环境下才能使用,耐老化性能是热熔胶的一个重要性能指标。耐老化性能不足,在存储或者胶箱加热条件下会出现颜色变深,结皮碳化,易导致胶管或者喷头堵塞,甚至影响粘接性能。在180℃热氧条件下,对不同增粘树脂制备的EVA热熔胶进行耐老化性测试。图5是在不同老化时间下,热熔胶颜色随时间变化的照片。

Figure 5. Effect of different types of tackifying resins on the aging resistance of hot-melt adhesives (180˚C)

5. 不同类型增粘树脂对热熔胶老化性能的影响(180℃)

图5中可以看出,C9石油树脂耐老化性能比较差,老化24 h条件下颜色已经明显发生变化;DCPD的耐老化性能最理想,48 h老化后,颜色没有发生明显的变化。C5石油树脂和C5/C9树脂耐老化性能没有太大差异,在48 h老化条件下可以看到有明显老化现象。

Table 1. Test results of the effect of different types of tackifying resins on the aging resistance of hot-melt adhesives (180˚C)

1. 不同类型增粘树脂对热熔胶耐老化性能测试结果(180℃)

0 h

6 h

12 h

24 h

48 h

C5

6

7

10

13

15

C9

6

10

14

17

18

DCPD

4

5

7

10

11

C5/C9

6

10

13

15

16

表1测试结果可以看出,选用C5石油树脂和C5/C9树脂制备的热熔胶在老化48 h后,颜色变化约10个色号;C9石油树脂制备的热熔胶在老化48 h后,颜色达到了最高18号色,色号变化达到12个色号;DCPD制备的热熔胶老化48 h后,颜色变化只有7个色号。DCPD分子结构不饱和键含量极低,C5石油树脂为直链脂肪族树脂,含有一定量的饱和键,C5石油树脂含有大量芳香环和不饱和键,在高温下会产生严重黄变。树脂自身的结构决定了热熔胶的耐老化特性,在配方设计时,基体树脂的选取非常重要。

3.4. 石油树脂对热熔胶粘接性能的影响

粘接效果是评价热熔胶性能最重要的技术参数之一,EVA体系热熔胶开发,主要以粘接效果为导向。破材:粘接物本身被破坏、胶层没有被破坏,是粘接效果最有效、直接的判断方式。EVA热熔胶在粘接基材中,以纸质基材粘接最为广泛,选用普通5层瓦楞纸对不同类型石油树脂制备的EVA热熔胶粘接效果进行测试。

Figure 6. Effect of different types of tackifying resins on the adhesive performance of hot-melt adhesives: a) C5 petroleum resin; b) C9 petroleum resin; c) DCPD petroleum resin; d) C5/C9 copolymerized petroleum resin

6. 不同类型增粘树脂对热熔胶粘接性能的影响:a) C5石油树脂;b) C9石油树脂;c) DCPD石油树脂;d) C5/C9共聚石油树脂

图6中可以看到,不同类型石油树脂制备的EVA热熔胶对瓦楞纸均具有良好的粘接效果,对被粘接物均能做到有效破材,但粘接效果还是存在差异。C5石油树脂和C9石油树脂粘接效果理想,能做到100%破材;DCPD石油树脂粘接效果最差,只有80%破材;C5/C9共聚石油树脂粘接能到90%以上破材。

4. 结论

1. 四种石油树脂均跟EVA主体树脂具有良好的相容性;

2. C5石油树脂对EVA热熔胶整体性能影响相对要大;

3. EVA热熔胶性能之间不是相互独立的,在调节某个性能的同时,也会引起其他指标的变化,在调节EVA热熔胶的性能时,需要分析每个指标的要求,综合考虑整体性能。

参考文献

[1] 吕维华, 颉林, 伍家卫, 等. 石油树脂制备技术进展[J]. 中国建材科技, 2016, 25(3): 64-66.
[2] 席满意, 周艳青, 李薇, 等. C5/DCPD/C9共聚石油树脂热聚合成反应研究[J]. 天津化工, 2023, 37(4): 105-108.
[3] 陈均志, 代辉, 唐宏科. 石油树脂改性作为热熔胶增粘树脂的研究[J]. 化学世界, 2004(3): 126-129.
[4] 卢言成, 童昕, 孙向东. 石油树脂对热熔胶、压敏胶粘接性能的影响[J]. 化工生产与技术, 2007(6): 51-54+2.
[5] 杜新胜, 杨成洁, 张霖, 等. 石油树脂在热熔胶中的应用[J]. 上海涂料, 2013, 51(6): 37-40.
[6] 翁国建. 浅谈EVA热熔胶[J]. 中国胶粘剂, 2010, 19(7): 66-67.
[7] 宋海龙. EVA在热熔胶行业的应用[J]. 化工新型材料, 2014, 42(10): 236-237.
[8] 陈妙贤. EVA热熔胶性能影响因素的研究[J]. 化工管理, 2016(20): 67.
[9] 朱万章. EVA热熔胶的主要成分及其对性能的影响[J]. 粘接, 1999(1): 28-32+4.
[10] 陈均志, 代辉, 唐宏科. 用改性石油树脂作增粘剂制EVA热熔胶的研究[J]. 精细石油化工, 2002(6): 1-3.
[11] 高升平, 郑桂富. EVA热熔胶性能影响因素的研究[J]. 化学工程师, 2008(5): 4-5.
[12] 靳洪飞, 李文风, 孙达, 等. 增粘树脂对EVA热熔胶性能的影响[J]. 合成材料老化与应用, 2021, 50(3): 21-24.