癌症患者中心静脉导管置管后置管相关性血栓的独立危险因素分析
Analysis of Independent Risk Factors for Catheter-Related Thrombosis in Cancer Patients after Central Venous Catheter Placement
DOI: 10.12677/acm.2026.162531, PDF, HTML, XML,    科研立项经费支持
作者: 张涵蕴, 杨 梅*, 庄钰春, 汤璐羽, 陈 露:北京大学肿瘤医院云南医院/云南省肿瘤医院/昆明医科大学第三附属医院I期临床试验病房,云南 昆明
关键词: 癌症中心静脉导管置管相关性血栓形成危险因素Cancer Central Venous Catheter Catheter-Related Thrombosis Risk Factors
摘要: 背景:癌症患者由于肿瘤微环境变化处于高凝状态,导致静脉血栓发生率增高。随着中心静脉导管(CVC)置管的广泛应用,置管相关性血栓形成(CRT)发生率也随之升高,但CVC置管相关性血栓形成(CRT)的危险因素仍不清楚。目的:本研究拟通过对癌症患者中心静脉导管(CVC)置管后血栓形成(CRT)的发生率及危险因素的分析,为临床识别高风险患者、实施早期干预、提升患者生存质量提供依据。方法:回顾性分析2020年1月1日至2025年1月1日期间254名癌症患者的临床资料,分为血栓组和非血栓组,采用卡方检验或t检验分析各因素与CRT的关系,并通过二元logistic回归进行多因素变量分析。结果:在中位导管留置时间为4天的情况下,92例(36.2%)患者发生CRT,血栓主要位于右侧颈内静脉下段及中下段。单因素分析显示,VTE评分、纤维蛋白原水平、甘油三酯、总胆固醇、低密度脂蛋白及导管留置时间与CRT相关(P < 0.05)。多因素分析确认,纤维蛋白原水平(OR = 5.75, 95% CI: 2.82~11.73, P < 0.001)、甘油三酯(OR = 4.49, 95% CI: 1.89~10.71, P < 0.001)及导管留置时间(OR = 4.7, 95% CI: 2.37~9.32, P < 0.001)为CRT的独立危险因素(导管留置时间以天为单位)。结论:纤维蛋白原升高、高甘油三酯及较长的导管留置时间与CRT形成正相关。这些发现为临床风险评估和管理提供了重要依据,提示在治疗过程中需特别关注这些因素,以改善恶性肿瘤患者的预后。
Abstract: Background: Cancer patients are in a hypercoagulable state due to changes in the tumor microenvironment, resulting in an increased incidence of venous thrombosis. With the widespread use of central venous catheters (CVCs), the incidence of catheter-related thrombosis (CRT) has also increased, but the risk factors for CVC-related thrombosis remain unclear. Objective: This study aims to analyze the incidence and risk factors of catheter-related thrombosis (CRT) in cancer patients following CVC placement, to provide a basis for clinical identification of high-risk patients, early intervention, and improvement of patient quality of life. Methods: A retrospective analysis was conducted on the clinical data of 254 cancer patients from January 1, 2020, to January 1, 2025. Patients were divided into thrombosis and non-thrombosis groups. Chi-square test or t-test was used to analyze the relationship between various factors and CRT, and multivariate analysis was performed using binary logistic regression. Results: Among patients with a median catheter indwelling time of 4 days, 92 patients (36.2%) developed CRT, with thrombosis primarily located in the lower and middle-lower segments of the right internal jugular vein. Univariate analysis showed that VTE score, fibrinogen level, triglycerides, total cholesterol, low-density lipoprotein, and catheter indwelling time were associated with CRT (P < 0.05). Multivariate analysis confirmed that fibrinogen level (OR = 5.75, 95% CI: 2.82~11.73, P < 0.001), triglycerides (OR = 4.49, 95% CI: 1.89~10.71, P < 0.001), and catheter indwelling time (OR = 4.7, 95% CI: 2.37~9.32, P < 0.001) were independent risk factors for CRT (catheter indwelling time in days). Conclusion: Elevated fibrinogen, high triglycerides, and longer catheter indwelling time are positively correlated with CRT. These findings provide important evidence for clinical risk assessment and management, indicating that special attention should be paid to these factors during treatment to improve the prognosis of patients with malignant tumors.
文章引用:张涵蕴, 杨梅, 庄钰春, 汤璐羽, 陈露. 癌症患者中心静脉导管置管后置管相关性血栓的独立危险因素分析[J]. 临床医学进展, 2026, 16(2): 1440-1449. https://doi.org/10.12677/acm.2026.162531

1. 背景

中心静脉导管(CVC)是一种插入大中央静脉(如颈内静脉、锁骨下静脉或股静脉),末端腔位于下腔静脉、上腔静脉或右心房内的留置装置[1],该装置广泛应用于癌症患者中,适用于化疗、血液制品输注、抗生素治疗、静脉营养支持[2] [3]。然而,CVC置管一般会产生多种并发症,例如感染、气胸、置管相关性血栓形成(CRT)等[4]。在CVC置管相关的并发症中,除了感染,最常见的就是置管相关性血栓形成(CRT),CRT约占所有深静脉血栓的50%~90%,且CVC置管被认为深静脉血栓的独立的风险因素[5]。CRT是指与CVC的置入、留置或移除相关的静脉血栓形成,最常见于置入后的第一周内,75% CRT发生在置入后的第一个月内,95%发生在104天内[6]。研究表明,CRT在肿瘤患者中更常见,而且静脉血栓栓塞是癌症的第二大死亡原因,仅次于癌症本身[7]。此外,因血栓引发的医疗费用和相关并发症的治疗费用也给医疗系统带来了沉重的经济负担[8]。目前各项研究报道的置管相关性血栓形成的发生率差异较大,范围从5%到28% [9]-[14]。现有VTE风险评估量表(例如,Caprini风险评分、Padua预测评分和Khorana风险评分)在预测癌症患者CRT方面存在局限性,其准确性和适用性有限。虽然CVC作为癌症患者长期静脉治疗的重要途径,极大地提高了治疗的便利性,针对CRT的预防和管理仍然存在许多挑战。虽然已有多种VTE风险评估量表(如Caprini评分、Padua预测评分和Khorana评分)被提出用于评估癌症患者的CRT风险,但这些工具在临床应用中表现出一定的局限性[15]。因此,针对CRT的独立危险因素的识别和分析显得尤为重要,这将有助于制定更有效的预防策略。

本研究采用回顾性队列设计,收集云南省肿瘤医院癌症患者CVC置管的临床数据。通过统计软件进行描述性分析和多因素logistic回归分析,能够同时控制多种混杂因素,准确识别影响CRT的独立危险因素。研究的主要目的是明确CVC置管后血栓的发生率及其相关危险因素,从而为临床制定更有效的预防和管理措施提供依据。这种关联分析将有助于揭示血栓形成的机制,为临床风险评估和个体化预防策略提供理论依据,对于改善患者预后至关重要。

2. 材料与方法

2.1. 研究对象

本研究回顾性分析2020年1月1日至2025年1月1日期间,在我院接受CVC置管并拔管的254名恶性肿瘤患者的临床资料,探究CVC置管后6个月内CRT的发生率及危险因素。本研究通过对患者特征、治疗方案、药物效果、副作用以及风险因素等多个维度的综合分析,力求为临床医生在管理癌症患者时提供重要的参考依据。该研究通过了伦理审查会的审查,并且所有患者均签署了知情同意书。纳入标准有:(1) 接受CVC置管并且在我院拔除的患者(所有纳入患者均使用非隧道式CVC);(2) 经组织学或病理学证实年龄 ≥ 18岁癌症患者;(3) 具有完整的病历记录,包括但不限于体重、身高(用于计算BMI)、实验室检测结果(如血液检查)、影像学资料等;(4) EGOG评分 ≥ 1;排除标准:(1) 有血栓或既往有血栓的患者;(2) 血液系统疾病。最终,期望通过本研究的结果为提高恶性肿瘤患者的生活质量和预后提供科学依据和实践指导。

2.2. 数据收集

收集患者的病历资料,病历资料包括姓名、性别、年龄、住院号、BMI、癌症类型、分期、治疗方案、合并症、VET评分、置管次数、置管位置、留置导管时间(指CVC导管置入至CVC导管拔出的天数)、抗凝药物的使用、外周血相关指标、血栓发生时间及部位、个人史、远处转移、有无放疗等信息。

2.3. 统计学分析

采用SPSS 26.0进行统计分析。定量数据以中位数[四分位间距]表示;分类数据以例数(百分比)表示,采用卡方检验进行分析。采用二元logistic回归分析CRT危险因素,以P < 0.05为差异有统计学意义。

定量数据转换分类数据:对血小板计数(PLT)、D-二聚体(D-Dimer)、纤维蛋白原(FIB)、甘油三酯(TG)、总胆固醇(TC)、高密度脂蛋白胆固醇(HDL-C)及低密度脂蛋白胆固醇(LDL-C)共7项实验室检测指标,分别以各指标在整体研究人群中的中位数为界值,将每个指标对应的研究对象划分为中位数及以上组与中位数以下组,后续用卡方检验分析实验室指标对血栓的影响。

3. 结果

3.1. 人群特征

共纳入254名癌症患者,男性161例(63.4%),年龄 ≥ 60岁者103例(40.6%)。BMI分布:正常140例(55.1%),体重过轻25例(9.8%),超重或肥胖89例(35.1%)。癌症类型以肺癌为主(170例,66.9%),其次为淋巴瘤(21例,8.3%)。癌症分期以Ⅲ期(57例,22.4%)和Ⅳ期(176例,69.3%)为主。治疗方案以化疗为主(133例,52.4%),化疗联合免疫治疗占71例(28.0%)。49例(19.3%)患者有血栓相关合并症(糖尿病、高血压、冠心病),241例(94.9%)患者ECOG评分为1。吸烟史、饮酒史、远处转移及放疗史分布见表1

CVC置管特征:置管中位数为3次[2] [4],导管留置时间中位数为4天[3] [5]。置管位置以右侧颈内静脉为主(240例,94.5%)。VTE评分以3分为主(220例,86.6%)。241例(94.9%)患者未使用预防性抗凝药物。92例(36.2%)患者发生CRT,162例(63.8%)未发生。血栓部位主要为右侧颈内静脉下段(44例,47.8%)及中下段(38例,41.3%)。血栓发生中位时间为25天,均通过B超确诊(表2)。

Table 1. Baseline characteristics of enrolled patients

1. 纳入患者的基线特征

Project

Group

Count

proportion (%)

Gender

161

63.4

93

36.6

Age

<60

151

59.4

≥60

103

40.6

BMI

<18.5

25

9.8

18.5 ≤ BMI < 24

140

55.1

24 ≤ BMI < 28

68

26.8

≥28

21

8.3

Cancer type

nasopharyngeal carcinoma

6

2.4

Lung cancer

170

66.9

liver cancer

2

0.8

cervical cancer

8

3.1

colon cancer

7

2.8

lymphoma

21

8.3

ovarian cancer

11

4.3

esophageal cancer

7

2.8

gastric cancer

4

1.6

pancreatic cancer

3

1.2

rectal cancer

6

2.4

Installment

I

7

2.8

II

14

5.5

III

57

22.4

176

69.3

Treatment

Targeting

3

1.2

Chemotherapy

133

52.4

Chemotherapy + targeted

47

18.5

Chemotherapy + Immunology

71

28.0

Comorbidity

yes

49

19.3

no

205

80.7

ECOG

0

13

5.1

1

241

94.9

Smoking

Never smoke

177

69.7

Current smoke

60

23.6

Previous smoke

17

6.7

Drinking

no

212

83.5

yes

42

16.5

Metastasis

0

136

53.5

1

52

20.5

2

28

11.0

≥3

38

15.0

Radiotherapy

no

229

90.2

yes

25

9.8

注:缩略语BMI:体重指数,ECOG:美国东部肿瘤协作组体能状态评分。

Table 2. Baseline characteristics related to CVC catheterization

2. CVC置管相关基线特征

Project

Group

Count

proportion (%)/median

VET

3

220

86.6

4

31

12.2

5

3

1.2

Tube placement times

-

-

3 [2, 4]

Pipe placement position

Right femoral vein

7

2.75

Right internal jugular vein

240

94.5

Left internal jugular vein

7

2.75

Catheter retention time

-

-

4 [3, 5]

Anticoagulant

Yes

13

5.1

No

241

94.9

Platelet

-

-

273.15 [250.31, 295.98]

D-dimer

-

-

1.69 [1.02, 2.37]

Fibrinogen

-

-

4.53 [4.25, 4.82]

Triglyceride

-

-

2.32 [1.91, 2.74]

Total Cholesterol

-

-

5.49 [5.23, 5.75]

HDL

-

-

1.13 [1.07, 1.20]

LDL

-

-

3.36 [3.18, 3.54]

Thrombosis occurrence time

-

-

25 [20, 30]

Thrombus occurrence location

Lower segment of right femoral vein

3

3.3

Lower segment of right internal jugular vein

44

47.8

Lower middle segment of right internal jugular vein

38

41.3

Lower segment of left internal jugular vein

2

2.2

Lower middle segment of left internal jugular vein

5

5.4

注:VET评分:又称静脉血栓栓塞症风险评分,使用的是Padua评分。

3.2. 单因素分析

单因素分析显示,VET评分(χ2 = 6.799, P = 0.033)、纤维蛋白原(χ2 = 29.447, P < 0.001)、甘油三酯(χ2 = 22.475, P < 0.001)、总胆固醇(χ2 = 15.648, P < 0.001)、低密度脂蛋白(χ2 = 15.229, P < 0.001)及导管留置时间(χ2 = 21.682, P < 0.001)与CRT相关。而性别、年龄、BMI、癌症类型、分期、治疗方案、合并症、ECOG评分、吸烟史、饮酒史、远处转移、放疗史、血小板、D-二聚体、置管次数及置管位置无统计学关联(表3)。

Table 3. Univariate analysis of risk factors for thrombosis related to CVC catheterization

3. CVC置管相关血栓形成危险因素的单因素分析

Project

t/χ2

P

Gender

0.026

0.873

Age

−0.858

0.391

BMI

1.634

0.106

Cancer type

8.582

0.670

Installment

5.629

0.197

Treatment

0.807

0.865

Comorbidity

0.523

0.470

ECOG

1.504

0.220

Smoking

2.908

0.234

Drinking

0.653

0.419

Metastasis

1.806

0.614

Radiotherapy

0.978

0.323

Platelet

0.011

0.917

D-dimer

3.787

0.052

Fibrinogen

29.447

0.001

Triglyceride

22.475

0.001

Total Cholesterol

15.648

0.001

HDL

2.708

0.100

LDL

15.229

0.001

VET

6.799

0.033

Catheter retention time

21.682

0.001

Pipe placement position

4.050

0.132

Tube placement times

0.665

0.415

Anticoagulant

0.001

0.974

3.3. 多因素Logistic回归分析

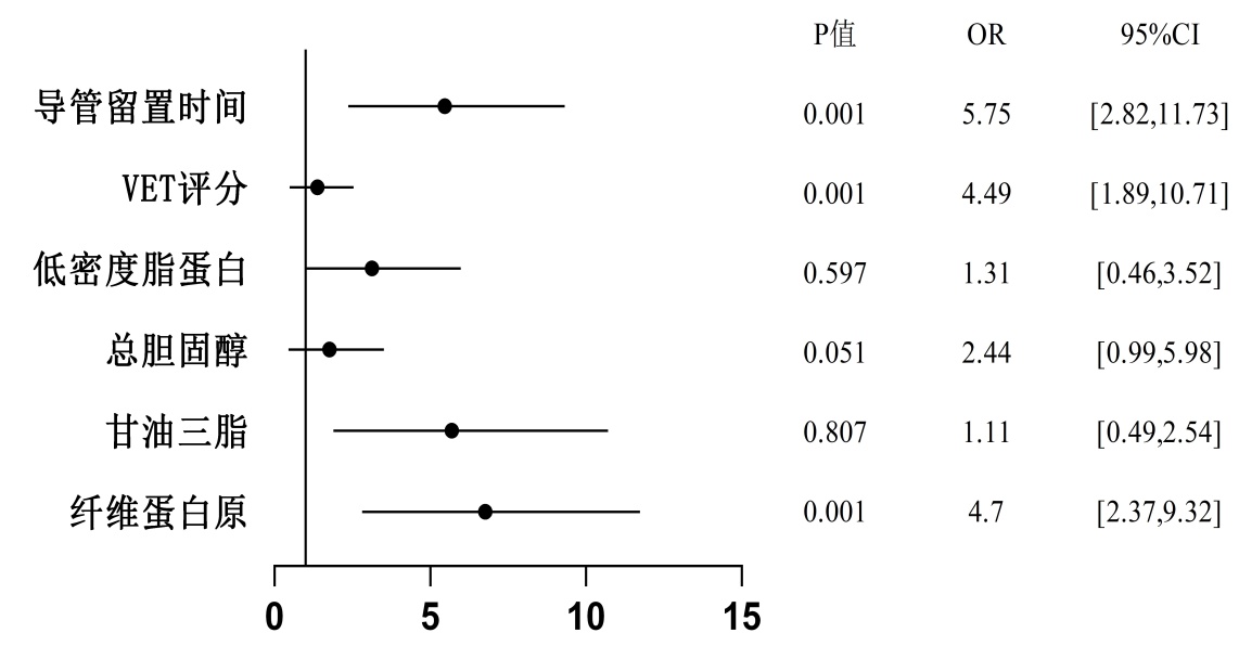
二元logistic回归分析显示,纤维蛋白原(OR = 5.75, 95% CI: 2.82~11.73, P < 0.001)、甘油三酯(OR = 4.49, 95% CI: 1.89~10.71, P < 0.001)及导管留置时间(OR = 4.7, 95% CI: 2.37~9.32, P < 0.001)被确定为CRT独立危险因素。高纤维蛋白原组CRT风险为低纤维蛋白原组的5.75倍,高甘油三酯组为低甘油三酯组的4.49倍,导管留置时间较长组为短时间组的4.7倍(表4图1)。

Table 4. Multivariate logistic regression analysis of risk factors for thrombosis related to CVC catheterization

4. CVC置管相关血栓形成危险因素的多因素logistic回归分析

Project

B

P

OR

95% CI

Fibrinogen

1.749

0.001

5.75

[2.82, 11.73]

Triglyceride

1.504

0.001

4.49

[1.89, 10.71]

Total Cholesterol

0.267

0.597

1.31

[0.46, 3.52]

LDL

0.892

0.051

2.44

[0.99, 5.98]

VET

0.100

0.807

1.11

[0.49, 2.54]

Catheter retention time

1.548

0.001

4.7

[2.37, 9.32]

Figure 1. Forest plot of binary logistic regression results of factors affecting thrombosis related to CVC catheterization

1. CVC置管相关血栓影响因素的二元logistic回归结果森林图

4. 讨论

在恶性肿瘤患者中,中心静脉导管(CVC)置管后血栓形成(CRT)的发生率引起了广泛关注。CVC置管会增加癌症患者血栓形成的风险,在过去的几十年中,在癌症患者中使用CVC的情况显著增加,导致置管相关性血栓形成(CRT)成为临床实践中的一个棘手问题,CRT造成了癌症患者治疗时间延长、住院费用上升、生活质量下降、心理健康受影响等一系列问题,因此识别CRT以及CRT相关的影响因素非常重要[16]。本研究通过对254名CVC置管恶性肿瘤患者的临床资料进行回顾性研究,旨在探讨CVC置管后6个月内CRT的发生率及其相关的危险因素,为临床管理提供科学依据。研究结果显示,癌症患者CRT发生率为36%,血栓发生的中位时间为25天。静脉血栓形成是多种因素共同作用的结果,比如凝血纤溶系统异常、组织因子异常、内皮功能障碍等,血栓形成的三大必要条件包括:血流缓慢、血管黏膜损伤、血液高凝状态,癌症患者通常属于高凝状态或血栓前状态,在治疗中使用CVC会导致内皮细胞持续受损,从而增加CVC置管的癌症患者静脉血栓发生率增加[17] [18]

本研究的创新点在于针对中心静脉导管(CVC)置管后血栓形成(CRT)的深入分析,尤其是在恶性肿瘤患者中,填补了现有知识的空白。结果显示高纤维蛋白原、高甘油三酯及较长的导管留置时间为CRT独立危险因素。纤维蛋白原升高可能导致凝血–抗凝失衡,增加血栓风险;甘油三酯升高增加血液黏稠度,减缓血流,促进CRT形成;较长的导管留置时间因持续内皮损伤而增加CRT风险。本研究不仅为理解CVC置管后CRT发生的机制提供了科学依据,同时也为临床实践提供了重要的指导,帮助医生更好地识别高风险患者并制定相应的预防措施。

尽管本研究揭示了CRT的独立危险因素,但依然存在一些局限性。首先,样本量相对较小,且本研究为单中心回顾性分析,可能影响结果的普适性。研究表明,活动性肿瘤中,D-二聚体升高血栓形成风险增高,血小板功能与数量影响静脉血栓的形成[19] [20],并且在置管后预防性使用抗凝药物,可以降低患者静脉血栓发生率[21],除此之外,导管置入部位以及导管置管次数与CRT的形成也有密切联系[22]。与先前的研究不同,本研究未发现D-二聚体、血小板数量、置管位置、置管次数及抗凝药物使用与CRT相关,这可能与样本量有限、回顾性设计及癌种分布不均有关。另外,癌症通过释放组织因子、促凝微粒、炎症因子等持续激活凝血–纤溶系统,使多数癌症患者D二聚体基线即高于健康人,一项纳入1883例化疗的癌症患者的研究显示,胰腺癌、肺癌患者无血栓时D二聚体也显著升高,D二聚体单独作为血栓预测指标的特异性低,难以区分其升高是肿瘤相关还是与血栓相关[23]。单因素分析中总胆固醇、低密度脂蛋白及VET评分与CRT相关,但在多因素分析中未显示独立关联,提示其影响可能受其他因素干扰。本研究建议临床关注患者血液指标变化,识别高纤维蛋白原及高甘油三酯患者,及时采取预防措施。优化治疗方案,缩短CVC留置时间,定期随访,可降低CRT发生率。

本研究存在一定局限性,首先,本研究为单中心回顾性研究,样本量相对较小,因果推论能力受限,结果普适性需验证。其次,癌种分布不均,不同癌症类型对血栓风险的影响可能导致偏差。另外,本研究为回顾性设计,可能受到选择偏倚和信息偏倚的影响。最后,我们只对置入CVC导管后6个月内的血栓发生时间进行统计,可能遗漏晚发性血栓,这也使得我们的结果会有一定的偏差。因此,未来我们的研究仍需更大规模前瞻性的随机对照研究去验证,并结合生物标志物的动态监测,以验证我们发现的危险因素对CRT发生的影响。

5. 结论

本研究揭示了CVC置管后6个月内CRT的发生率及其独立危险因素,包括高纤维蛋白原、高甘油三酯及较长的导管留置时间。这些发现为临床风险评估提供了重要依据,临床应加强血液指标监测,优化导管管理,缩短留置时间,以降低CRT发生率,提升患者生存质量。此外,针对已识别的危险因素进行更多的深入研究将有助于优化CRT的预防策略,从而改善恶性肿瘤患者的生活质量和预后。综上所述,本研究的结果为进一步探索和管理CRT提供了重要的科学依据,未来应关注这些危险因素的生物机制,并探索针对性的干预策略,以提高恶性肿瘤患者的预后和生活质量。

作者贡献

所有作者均对本研究做出贡献。杨梅、张涵蕴提出研究思路,设计研究方案,研究命题的提出、设计;庄钰春、张涵蕴负责研究对象的筛选,数据的收集;汤璐羽、张涵蕴负责数据清洗和统计学分析、绘制图表等;陈露、张涵蕴负责论文起草;杨梅、张涵蕴负责最终版本修订。

利益冲突

作者声明不存在潜在的利益冲突。

基金项目

昆明医科大学研究生创新基金项目2025S302。

NOTES

*通讯作者。

参考文献

[1] Kolikof, J., Peterson, K., Williams, C., et al. (2025) Central Venous Catheter Insertion. StatPearls Publishing.
[2] Saber, W., Moua, T., Williams, E.C., Verso, M., Agnelli, G., Couban, S., et al. (2011) Risk Factors for Catheter‐Related Thrombosis (CRT) in Cancer Patients: A Patient‐Level Data (IPD) Meta‐analysis of Clinical Trials and Prospective Studies. Journal of Thrombosis and Haemostasis, 9, 312-319. [Google Scholar] [CrossRef] [PubMed]
[3] Debourdeau, P., Farge, D., Beckers, M., Baglin, C., Bauersachs, R.M., Brenner, B., et al. (2013) International Clinical Practice Guidelines for the Treatment and Prophylaxis of Thrombosis Associated with Central Venous Catheters in Patients with Cancer. Journal of Thrombosis and Haemostasis, 11, 71-80. [Google Scholar] [CrossRef] [PubMed]
[4] Teja, B., Bosch, N.A., Diep, C., Pereira, T.V., Mauricio, P., Sklar, M.C., et al. (2024) Complication Rates of Central Venous Catheters. JAMA Internal Medicine, 184, 474-482. [Google Scholar] [CrossRef] [PubMed]
[5] Taglialatela, I., Mariani, L., Dotti, K.F., Di Vico, L., Pisanu, M.N., Facchinetti, C., et al. (2023) Central Venous Catheters-Related-Thrombosis and Risk Factors in Oncological Patients: A Retrospective Evaluation of Recent Risk Scores. Tumori Journal, 109, 363-369. [Google Scholar] [CrossRef] [PubMed]
[6] Debourdeau, P., Lamblin, A., Debourdeau, T., Marcy, P.Y. and Vazquez, L. (2021) Venous Thromboembolism Associated with Central Venous Catheters in Patients with Cancer: From Pathophysiology to Thromboprophylaxis, Areas for Future Studies. Journal of Thrombosis and Haemostasis, 19, 2659-2673. [Google Scholar] [CrossRef] [PubMed]
[7] Dave, H.M. and Khorana, A.A. (2024) Management of Venous Thromboembolism in Patients with Active Cancer. Cleveland Clinic Journal of Medicine, 91, 109-117. [Google Scholar] [CrossRef] [PubMed]
[8] Farag, M.M., Ghazal, H.A.E.R., Radwan, M.M. and El-Sayed, N.S. (2024) Catheters Linked Thrombosis in Neonates: A Single Center Observational Study. Italian Journal of Pediatrics, 50, Article No. 174. [Google Scholar] [CrossRef] [PubMed]
[9] Couban, S., Goodyear, M., Burnell, M., Dolan, S., Wasi, P., Barnes, D., et al. (2005) Randomized Placebo-Controlled Study of Low-Dose Warfarin for the Prevention of Central Venous Catheter—Associated Thrombosis in Patients with Cancer. Journal of Clinical Oncology, 23, 4063-4069. [Google Scholar] [CrossRef] [PubMed]
[10] Karthaus, M., Kretzschmar, A., Kröning, H., Biakhov, M., Irwin, D., Marschner, N., et al. (2006) Dalteparin for Prevention of Catheter-Related Complications in Cancer Patients with Central Venous Catheters: Final Results of a Double-Blind, Placebo-Controlled Phase III Trial. Annals of Oncology, 17, 289-296. [Google Scholar] [CrossRef] [PubMed]
[11] Lokich, J.J. and Becker, B. (1983) Subclavian Vein Thrombosis in Patients Treated with Infusion Chemotherapy for Advanced Malignancy. Cancer, 52, 1586-1589. [Google Scholar] [CrossRef] [PubMed]
[12] Bern, M.M., Lokich, J.J., Wallach, S.R., Bothe, A., Benotti, P.N., Arkin, C.F., et al. (1990) Very Low Doses of Warfarin Can Prevent Thrombosis in Central Venous Catheters. Annals of Internal Medicine, 112, 423-428. [Google Scholar] [CrossRef] [PubMed]
[13] Fagnani, D., Franchi, R., Porta, C., Pugliese, P., Borgonovo, K., Bertolini, A., et al. (2007) Thrombosis-Related Complications and Mortality in Cancer Patients with Central Venous Devices: An Observational Study on the Effect of Antithrombotic Prophylaxis. Annals of Oncology, 18, 551-555. [Google Scholar] [CrossRef] [PubMed]
[14] Lee, A.Y.Y., Levine, M.N., Butler, G., Webb, C., Costantini, L., Gu, C., et al. (2006) Incidence, Risk Factors, and Outcomes of Catheter-Related Thrombosis in Adult Patients with Cancer. Journal of Clinical Oncology, 24, 1404-1408. [Google Scholar] [CrossRef] [PubMed]
[15] Peng, M., Yang, S., Li, G., Zhang, T., Qin, X., Shi, C., et al. (2021) Solid Tumor Complicated with Venous Thromboembolism: A 10-Year Retrospective Cross-Sectional Study. Clinical and Applied Thrombosis/Hemostasis, 27, 1-8. [Google Scholar] [CrossRef] [PubMed]
[16] Kuter, D.J. (2004) Thrombotic Complications of Central Venous Catheters in Cancer Patients. The Oncologist, 9, 207-216. [Google Scholar] [CrossRef] [PubMed]
[17] Falanga, A., Marchetti, M. and Russo, L. (2015) The Mechanisms of Cancer-Associated Thrombosis. Thrombosis Research, 135, S8-S11. [Google Scholar] [CrossRef] [PubMed]
[18] Mukai, M. and Oka, T. (2018) Mechanism and Management of Cancer-Associated Thrombosis. Journal of Cardiology, 72, 89-93. [Google Scholar] [CrossRef] [PubMed]
[19] Olson, J. (2015) D-Dimer: An Overview of Hemostasis and Fibrinolysis, Assays, and Clinical Applications. Advances in Clinical Chemistry, 69, 1-46.
[20] Maekawa, T., Kobayashi, N., Arai, H. and Takeuchi, T. (1976) Role of Blood Platelet in the Formation of Thrombus. Thrombosis Research, 8, 227-234. [Google Scholar] [CrossRef] [PubMed]
[21] 杨佳, 王梅林, 陈晓琳, 等. 预防性应用抗凝药物对乳腺癌PICC相关性血栓形成的影响[J]. 齐鲁护理杂志, 2018, 24(8): 30-32.
[22] 张梦可, 李欢欢, 向明丽, 等. 急性白血病患儿经外周静脉穿刺的中心静脉导管置管后发生静脉血栓栓塞的影响因素分析及预测模型构建[J]. 癌症进展, 2025, 23(1): 63-67.
[23] Hempel, G., Neef, M., Rotzoll, D. and Heinke, W. (2013) Study of Medicine 2.0 Due to Web 2.0?!—Risks and Opportunities for the Curriculum in Leipzig. GMS Zeitschrift für Medizinische Ausbildung, 30, Doc11.