中断风险下基于双源采购的供应链协调与优化
Supply Chain Coordination and Optimization Based on Dual-Sourcing under Disruption Risk
摘要: 在全球供应链高度一体化与贸易环境不确定性持续上升的背景下,供应链系统面临频繁中断与需求波动的双重挑战。本文以需求不确定与供应商中断风险下的双源采购二级供应链为研究对象,提出了结合期权契约与营业中断保险的风险管理策略,构建了供应链利润模型并分析了供应链成员在不同中断情境下的最优采购与保险决策。研究表明,在一定条件下,营业中断保险能够弥补期权契约在突发事件中的不足,从而优化供应链系统的整体效益。通过数值算例验证了模型的合理性,并为企业制定采购与风险应对策略提供了决策建议。
Abstract: Against the backdrop of highly integrated global supply chains and the continuous rise in trade environment uncertainty, supply chain systems are confronted with dual challenges of frequent disruptions and demand fluctuations. This paper takes a two-source procurement two-level supply chain under demand uncertainty and supplier disruption risk as the research object, proposes a risk management strategy combining option contracts and business interruption insurance, constructs a supply chain profit model, and analyzes the optimal procurement and insurance decisions of supply chain members under different disruption scenarios. The research shows that, under certain conditions, business interruption insurance can make up for the deficiencies of option contracts in emergencies, thereby optimizing the overall benefits of the supply chain system. The rationality of the model is verified through numerical examples, and decision-making suggestions for enterprises to formulate procurement and risk response strategies are provided.
文章引用:马晨曦. 中断风险下基于双源采购的供应链协调与优化[J]. 统计学与应用, 2026, 15(2): 116-125. https://doi.org/10.12677/sa.2026.152039

1. 引言

随着全球化不断深化,企业供应链布局日益跨国化、网络化,供应链管理不再局限于本地或单一国家,而是涉及多个国家和区域的复杂协同。然而,国际贸易环境的不确定性加剧,疫情、极端气候等突发事件频繁发生,引发局部乃至全球性供应链中断,不仅阻断物流链条,还造成关键原材料与零部件短缺,严重影响企业运营连续性与订单履约能力[1] [2]。在此背景下,企业普遍采用双源采购策略,通过引入多个供应商分散供货依赖,从而提升抗冲击能力。然而,研究与实践表明,双源采购虽然可以在一定程度上降低单一节点失效的风险,但也带来了采购成本上升、管理复杂度加剧等问题,特别是在全球性同步中断情境下,其保护作用依然有限[3]

针对需求不确定性问题,期权契约作为一种灵活的风险管理工具,被广泛引入供应链管理实践与研究中。Wang、Zhao等分别探讨了在风险厌恶型零售商背景下,期权契约在最优订购与促销策略中的协调作用[4] [5]。在政企合作与应急储备领域,扈衷权、刘阳等提出了基于期权契约的柔性利润分配与物资储备机制[6] [7];行为经济视角下,唐振宇与马超等人关注信息不对称与心理账户对供应链协调的影响[8] [9]。然而,期权契约在面对突发供应中断时,其保护作用受限,因为一旦供应端整体失效,即使持有采购权利,也无法实际履行采购行为[10]

为增强供应链的抗风险能力,近年来有学者将保险机制引入供应链管理。马本江等人指出不同主体在营业中断保险购买决策上存在差异[11],有研究还发现营业中断保险可以在企业遭遇供应中断或运营停滞时,提供经济赔偿,缓解资金压力,帮助供应链企业快速恢复运营[12],在不同主体购买保险时尽管营业中断保险在供应链风险管理中各自发挥着重要作用[13],但现有文献主要围绕单一工具展开研究,关于二者协同应用的研究仍较为有限。

本文以需求不确定及供应商中断风险并存的双源采购二级供应链为研究对象,提出结合期权契约与营业中断保险的联合风险管理策略,构建供应链利润模型,系统分析不同中断情境下供应链成员的最优采购与保险决策。通过理论推导与数值仿真,验证期权与保险协同机制在提升供应链韧性、优化整体利润方面的有效性。本文不仅丰富了供应链风险管理与契约设计的理论体系,也为企业在复杂动态环境下制定灵活、稳健的采购与风险应对策略提供了参考依据。

2. 条件假设

(1) 供应链由不稳定的供应商1、稳定的供应商2以及收购商组成,且供应链各参与者是完全理性且均是风险中性的;

(2) 市场需求为随机变量x,服从 ( 0,b ) 上的均匀分布,概率密度函数为 f( x ) ,分布函数为 F( x )

(3) 供应商1的货物供应完全中断的概率为 Pr=α ,此时供应商1提供的货物数量为0;供应商1供应正常的概率为 Pr=1α ,提供的货物数量为 q 1

(4) 供应商2不存在供货中断风险,交货期可以满足收购商的期权购买量;

(5) 市场售价 p ,声誉损失 l ,供应商批发价格 w, c 1 , c 2 均为外生变量,且 p>w> c 2 > c 1

(6) 保证期权契约的有效性: p>e o+e>w

(7) 保险费率 r 为外生变量,且满足 α>r ,否则供应商1不会投保;

(8) 收购商占主导地位。

3. 期权契约协调供应链

3.1. 基础模型描述

图1,期初收购商在不稳定的供应商1处订购数量为 q 1 的货物,并且在向稳定的供应商2承诺每单位货物提供单位价格为 o 的费用购买数量为 q 2 的期权量,期末收购商从零售商1处得到中断信息,并向供应商2处以单位价格 e 收购不大于期权购买量的货物,而后向市场上售卖。

Figure 1. Basic model supply chain structure diagram

1. 基础模型供应链构成图

3.2. 系统决策

发生中断时供应链整体利润:

Π C N =pmin( x, q 2 )lmax( x q 2 ,0 ) c 2 q 2 .

不发生中断时供应链整体的利润:

Π C N =pmin( x, q 1 + q 2 )lmax( x q 1 q 2 ,0 ) c 2 q 2 c 1 q 1 .

系统期望利润:

E[ Π C N ]=( 1α )[ pEmin( x, q 1 + q 2 )lEmax( x q 1 q 2 ,0 ) c 1 q 1 ] +α[ pEmin( x, q 2 )lEmax( x q 2 ,0 ) ] c 2 q 2 .

定理1 采用期权契约进行双源采购时,供应链的系统决策 q C1 N * = b( c 2 c 1 ) α( p+l ) q C2 N * =b+ b[ ( 1α ) c 1 c 2 ] α( p+l )

推论1 q NC1 * 随着 α 的增加而增加, q NC2 * 随着 α 的增加而减少。

3.3. 分散决策

3.3.1. 供应商1的利润函数

供应商1的期望利润:

E[ Π s1 N ]=( 1α )( w c 1 ) q 1 .

3.3.2. 供应商2的利润函数

发生中断时供应商2的利润:

Π s2 N = e N min( x, q 2 )+ o N q 2 c 2 q 2 .

不发生中断时供应商2的利润:

Π s2 N = e N max( min( x q 1 , q 2 ),0 )+ o N q 2 c 2 q 2 .

供应商2的期望利润:

E[ Π s2 N ]=α e N Emin( x, q 2 )+( 1α ) e N Emax( min( x q 1 , q 2 ),0 )+ o N q 2 c 2 q 2 .

3.3.3. 收购商的决策模型

发生中断时收购商利润:

Π d N =( p e N )min( x, q 2 )lmax( x q 2 ,0 ) o N q 2 .

不发生中断时收购商的利润:

Π d N =( p e N )min( x, q 1 + q 2 )+ e N min( x, q 1 )lmax( x q 1 q 2 ,0 )w q 1 o N q 2 .

收购商期望利润:

E[ Π d N ]=α[ ( p e N )Emin( x, q 2 )lEmax( x q 2 ,0 ) ] o N q 2 +( 1α )[ e N Emin( x, q 1 )lEmax( x q 1 q 2 ,0 )+( p e N )Emin( x, q 1 + q 2 )w q 1 ].

定理2 当收购商采用双源采购策略时,收购商在两个供应商的最优订购量分别为:

q d1 N * = b( o N + e N w ) e N +α( p+l e N ) q d2 N * = b( p+l o N e N ) p+l e N b( 1α ) b( o N + e N w ) e N +α( p+l e N )

定理3 供应链达到协调时期权契约的参数 ( o N , e N ) 的设置应当满足以下条件:

c 1 ( 1α )( p+l ) = o N p+l e N α( o N + e N w ) e N +α( p+l e N ) ,此时供应商最优订货量等于系统最优订货量,供应链系统达到协调。

对集中决策与分散决策两种情况下各方的期望利润函数式进行分析,可以发现,采用期权契约进行管理后,供应商、收购商及整个供应链系统的利润依然受到 α 的影响。在突发事件的冲击下, α 的变化直接作用于供应链的运营表现,进而影响整体收益。在集中决策模式下,随着 α 的增加,供应链系统在供应商1处的订货量逐渐减少,而在供应商2处的期权购买量呈现上升趋势。这一调整反映出供应链主体在不确定性环境中的决策取向,即在风险增加的背景下,更倾向于减少不稳定货物的采购量,以保证对市场的供应,同时增加了对期权的依赖。然而,这种调整并未能有效抵消突发事件带来的不利影响,供应链主体的利润随之受到影响,使得供应链整体的不稳定,使供应链在应对外部冲击时的韧性受到削弱。

因此考虑在协调的双源采购模式的供应链中引入营业中断保险作为风险管理的工具,弥补突发事件造成的供应链损失,向供应链外部转移风险。

4. BI保险对供应链协调决策优化

4.1. BI保险

BI保险,即营业中断保险,是一种专为企业设计的保障机制,旨在当公司因遭遇不可预见的灾害或事故,如火灾、自然灾害、突发事故等导致停业时,弥补其期间的收入损失与持续性支出。这类保险通常涵盖租金、工资、水电费用等基本开销,帮助企业在恢复正常运营前维持稳定的现金流。相比传统财产险仅赔偿物理损坏,营业中断保险关注的是经营中断期间的经济影响,具有显著的风险转移和缓冲作用,是企业风险管理体系中不可或缺的一环。英国的BI保险可以单独投保,但中国与美国的BI保险均为财产险的附加险,因此不可进行单独投保。为了清晰刻画BI保险对基于双源采购的供应链的影响,本文选取英国的保险模式进行研究。

4.2. 模型描述

图2,收购商确定在供应商1处的现货订购量 q 1 后,期初供应商1在保险公司处购买BI保险,其投保标的(保险对象)是不发生中断时获得的利润。因此,投保的额度为 ( w c 1 ) q 1 ,供应商1所交保费为 r( w c 1 ) q 1 。期末若未发生突发事件影响供应商1,则保险公司不赔偿;若发生突发事件造成供应商1供应中断,那么保险公司的理赔额为: I=( w c 1 ) q 1 ,即:

I={ 0 Pr=1α ( w c 1 ) q 1 Pr=α .

Figure 2. Diagram of the supply chain structure after incorporating BI insurance

2. 加入BI保险后的供应链构成图

4.3. 系统决策

发生中断时供应链整体利润:

Π C I =pmin( x, q 2 )lmax( x q 2 ,0 ) c 2 q 2 +( 1r )( w c 1 ) q 1 .

不发生中断时收购商的利润:

Π C I =pmin( x, q 1 + q 2 )lmax( x q 1 q 2 ,0 ) c 2 q 2 c 1 q 1 r( w c 1 ) q 1 .

系统期望利润:

E[ Π C I ]=α[ pEmin( x, q 2 )lEmax( x q 2 ,0 )+( w c 1 ) q 1 ] c 2 q 2 +( 1α )[ pEmin( x, q 1 + q 2 )lEmax( x q 1 q 2 ),0 ) c 1 q 1 ]r( w c 1 ) q 1 .

定理4 当供应商1购买营业中断保险时,系统进行双源采购的订购量分别为:

q C1 I * =b ( 1α )( c 2 c 1 )+( αr )( w c 1 ) α( 1α )( p+l ) q C2 I * =b( 1 c 2 +( αr )( w c 1 )( 1α ) c 1 α( p+l ) )

推论2 q IC1 * 随着 α 的增大呈现先降低后增加的变化趋势, q IC2 * 则随着 α 的增大而增大。

4.4. 分散决策

4.4.1. 供应商1的决策模型

供应商1的期望利润:

E[ Π s1 I ]=( 1r )( w c 1 ) q 1 .

4.4.2. 收购商和供应商2的决策模型

供应商2的期望利润:

E[ Π s2 I ]= o I q 2 +α e I min( x, q 2 )+( 1α ) e I max( min( x q 1 , q 2 ),0 ) c 2 q 2 .

收购商期望利润:

E[ Π d I ]=α[ ( p e I )min( x, q 2 )lmax( x q 2 ,0 ) ] o I q 2 +( 1α )[ e I min( x, q 1 )lmax( x q 1 q 2 ,0 )+( p e I )min( x, q 1 + q 2 )w q 1 ].

定理4 引入保险后收购商的最优订货量 q d1 I * = b( e I + o I w ) e I +α( p+l e I ) q d2 I * = b( p+l e I o I ) p+l e I b( 1α ) b( e I + o I w ) e I +α( p+l e I )

定理5 引入营业中断保险后,供应链协调时期权契约参数 ( o I , e I ) 满足的条件为: ( αr )(w c 1 ) ( 1α )( p+l ) = o I p+l e I α( o I + e I w ) e I +α( p+l e I )

5. BI保险对协调时供应链的影响

通过对营业中断保险下的供应链双源采购模型的分析,发现不论供应链在系统决策或是进行分散决策时,供应链中各方都受到突发事件造成的中断风险概率 α 的影响。引入营业中断保险后,供应链在可以通过营业中断保险的理赔弥补突发事件造成的亏损,可以将可能造成损失的风险转移到供应链外部,具体影响如下。

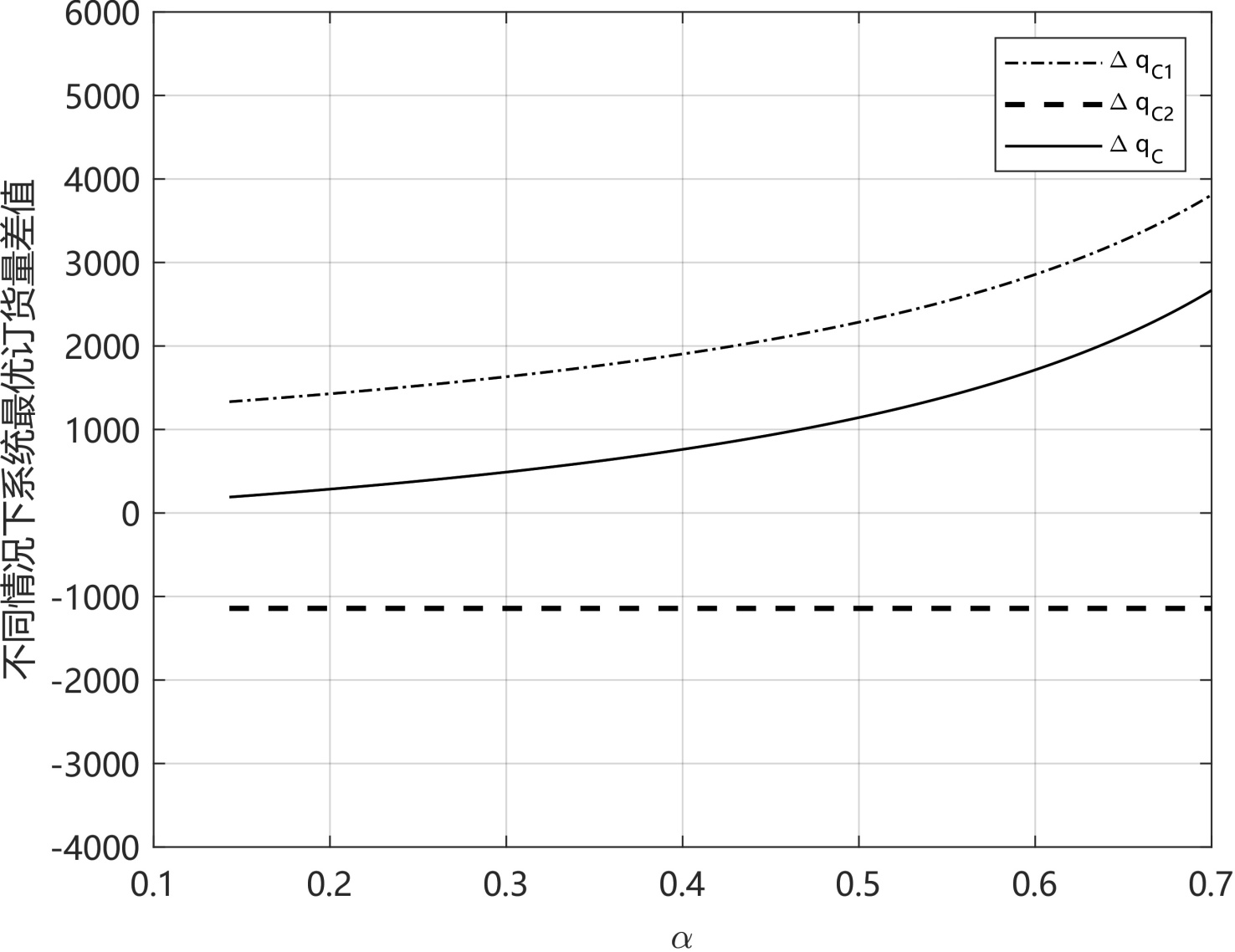
命题1 投保可以促进系统在供应商1处的实物订购量,降低在供应商2处的期权购买量,并且提升系统最优供货总量,即:

Δ q C1 * =b ( αr )( w c 1 ) α( 1α )( p+l ) >0,Δ q C2 * =b ( αr )( w c 1 ) α( p+l ) <0,Δ q C * =b ( αr )( w c 1 ) ( 1α )( p+l ) >0 .

推论3 Δ q C1 * 随着 α 的增加而增大; Δ q C2 * 随着 α 的增加而减少; Δ q C * 随着 α 的增加而增大。

购买营业中断保险对系统的商品订购量及实物期权的购买量均产生了重要影响。在供应链协调过程中,保险的引入不仅增加了系统整体的商品订购量,同时也提升了期权购买的总量。这一变化主要体现在对不同供应商的采购策略调整上:一方面,企业在供应商1处的订购量显著增长,这可能与保险降低供应中断风险、增强企业采购信心有关;另一方面,尽管系统整体的期权购买量有所增加,但向供应商2的期权购买量却有所下降。这表明,在保险机制的作用下,企业可能更倾向于通过直接订购而非期权采购来应对潜在的不确定性,从而优化供应链的稳定性与成本管理。

命题2 保险对供应链系统期望利润并不总是存在正向作用。在一定条件下保险时的系统期望利润高于不投保时的系统期望利润,具体如下:

(1) 当 max( 1τ, c 2 c 1 p+lw )< ( w c 1 )[ r( w c 1 ) c 2 + c 1 ] ( w c 1 )( w c 2 )+ c 1 时,若 max( 1τ, c 2 c 1 p+lw )<α< ( w c 1 )[ r( w c 1 ) c 2 + c 1 ] ( w c 1 )( w c 2 )+ c 1 ,则有 ΔE[ Π C * ]>0 ;若 α> ( w c 1 )[ r( w c 1 ) c 2 + c 1 ] ( w c 1 )( w c 2 )+ c 1 ,则有 ΔE[ Π C * ]<0

(2) 当 max( 1τ, c 2 c 1 p+lw )> ( w c 1 )[ r( w c 1 ) c 2 + c 1 ] ( w c 1 )( w c 2 )+ c 1 时,则有 ΔE[ Π C * ]<0

其中 τ=min( ( p+l )( p+l o I e I ) ( p+lw )( p+l e I ) , ( p+l )( p+l o N e N ) ( p+lw )( p+l e N ) ) ΔE[ Π C * ]=E[ Π C I * ]E[ Π C N * ]

当供应商1投保后,其期望利润相较于未投保的情况有所提升,主要原因在于保险机制能够在一定程度上降低运营风险,增强供应商1的抗风险能力。然而,保险对整个供应链的利润影响并非始终呈现正向效应,而是受到多个因素的共同作用。当保险费用、理赔金额、供应商的生产成本以及市场需求波动等变量之间满足特定的数值关系时,保险的引入能够优化供应链整体的收益结构,提高系统决策的合理性,从而使整体利润上升。但若这些变量的匹配关系未达到特定条件,保险可能会增加供应链的总成本,削弱整体利润,甚至在某些情况下导致供应链效益下降。

6. 数值实验

数值实验部分将对系统决策时供应链的期望利润以及不同决策下供应商的期望利润以及系统订货量进行实验模拟。营业中断保险的保费率通常在企业年收入的0.1%至1%之间,根据于辉等人的研究,我们选取保费率为 r=0.001 [14]。不失一般性的前提下,为了更好的观察营业中断保险对双源采购时的供应链的影响,我们选取 α 的取值范围为 [ 0,0.7 ] 。其余部分参数参考舒彤等人的文章[15],具体取值如表1所示。

Table 1. Basic parameter assumptions

1. 基本参数假设

b

p

c 1

c 2

w

l

r

8000

100

20

30

35

5

0.0001

6.1. 保险对供应链协调时的系统决策的影响

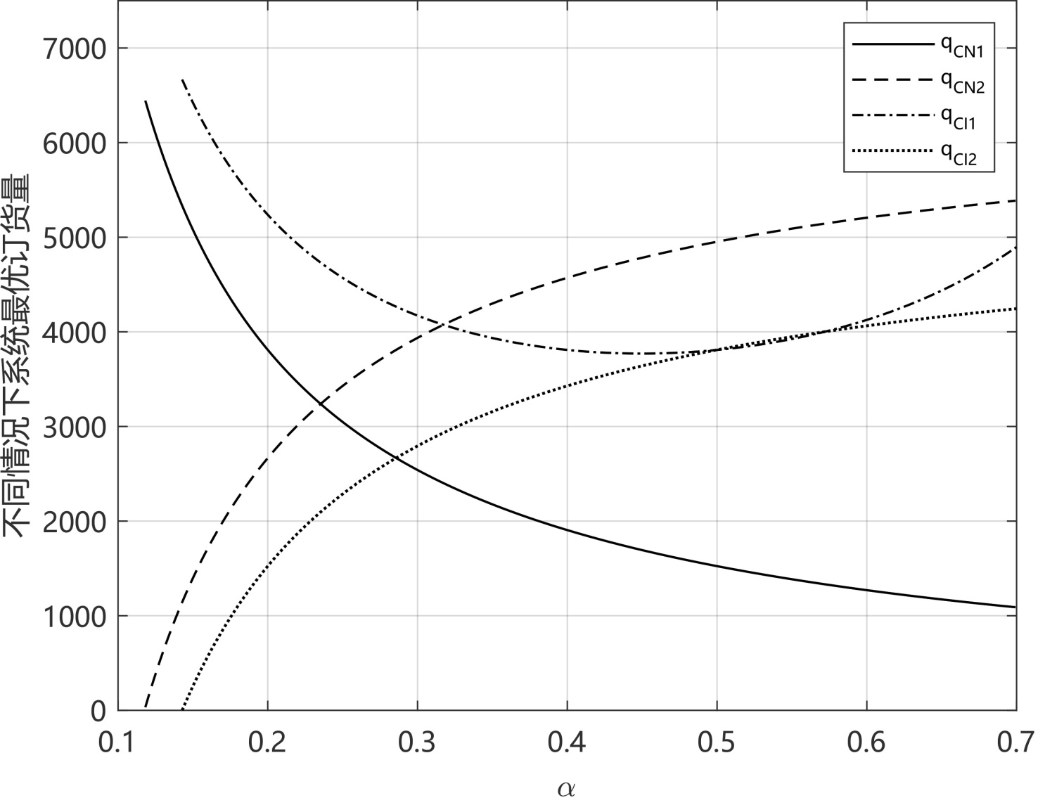
图3所示,从不同情况协调时系统货物订购量与期权购买量随 α 变化情况来看,不稳定的供应商1不购买保险且系统协调时,供应链整体的货物订购量随着 α 增大而降低,当营业中断保险保险加入,系统协调时在供应商1处的货物订购量随着 α 增大呈现出先减小后增加的趋势;而不论是否有保险的加入,系统在稳定的供应商2处的期权购买量均随着 α 的增加而增加。这是因为当价格低廉的供应商1供货中断概率较小时,系统更加倾向于订购价格较低的货物,以此来降低成本,而当供应商供货中断概率较大时,系统则更倾向于购买更加稳定的期权来确保在销售期时的货物数量,以降低声誉损失。

图4结果表明,在系统决策下,投保相对于不投保的总订购量差值在研究区间内始终为正,且随中断概率 α 单调上升,并在较高 α 区间呈现更快的增长趋势,说明当中断风险加剧时,保险对系统最优订购规模的提升作用具有更强的边际效应。其内在原因在于:中断情形发生概率增大,收购商因缺货、履约失败而引致的商誉损失等下行损失在决策目标中的权重上升;投保通过对不利状态损失的补偿,降低中断状态下的边际损失,从而削弱风险驱动的保守订货动机并推升总订购量。分供应商层面,供应商1对应的订货差值在不同 α 下基本保持稳定,表明投保对供应商1订货量的影响更接近“固定幅度”的提升,对风险参数变化不敏感;相对地,供应商2对应的订货差值在全区间为负且随 α 增大而进一步下降,反映投保后集中决策对供应商2的期权购买量被持续压缩,并在高灾害概率下压缩更为明显。

Figure 3. Graph showing how the quantities of goods ordered and options purchased vary with α when the system is coordinated

3. 系统协调时货物订购量和期权购买量随 α 变化图像

Figure 4. Graph showing the variation of the total demand with α under different scenarios when the system is coordinated

4. 不同情况下系统协调时总需求量随 α 变化图像

6.2. 保险对供应链协调时系统期望利润的影响

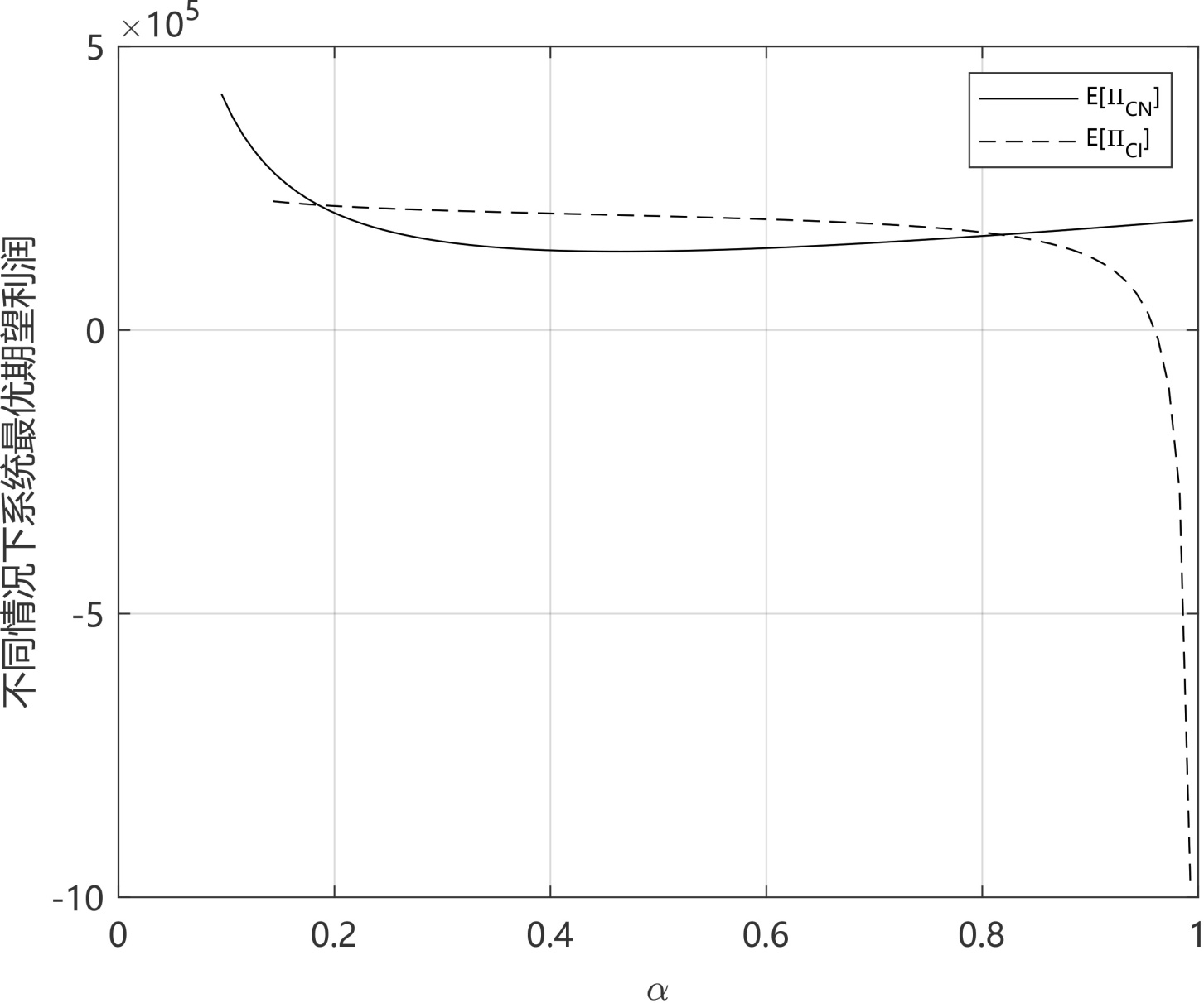
图5所示,该图展示了集中决策情形下供应链系统期望利润随供应中断概率 α 变化的规律。供应商1不投保时,在 α 从低位上升的初期,期望利润明显下降,说明中断概率提高会通过停供引发的缺货及商誉损失等增加中断造成的成本,从而降低系统收益;但当 α 继续增大后,无保险曲线的下降趋势减弱并逐渐转为上升,这是由于当风险处于较高水平时,供应链系统通过继续提高期权购买量以降低缺货的边际效果显著递减,最优订货策略因而趋于收缩以降低无效订货成本,从而在期望意义下带来净收益改善。供应商1投保时,保费由固定保险费率决定且与最优订货量相关,因此投保方案的期望利润同时受到两类因素影响:一方面,保险通过损失分担机制缓释中断引致的商誉损失,降低利润对 α 的敏感性;另一方面,随着最优订货量变化,保费支出也随之内生调整,使投保成本并非外生常数。由图可见,投保曲线在低–中风险区间相对平缓且与无保险差距缩小,说明在该区间内,保险能够起到稳定系统收益的作用。然而,当 α 进一步增大并超过某一临界水平后,投保曲线出现明显转折并加速下滑,且显著低于无保险方案。这表明在高风险环境中,保险的赔付无法抵消掉投保成本与供货中断造成的各项损失,且保险补偿的边际改善不足以覆盖成本端的上升,导致投保方案净效应转为不利并引发利润快速恶化。

Figure 5. Graph showing how the system’s expected profit varies with α under different scenarios

5. 不同情况下系统期望利润随 α 变化图像

进一步比较两条曲线可以发现,投保并不能总是对供应链系统带来正向影响,其效果具有区间性:在 α 较低时,投保方案整体低于无保险,原因在于中断风险较小、期望商誉损失有限,而保费作为与订货量相关的确定性支出会直接降低利润;在中等风险区间,两者差距缩小且投保更为平稳,表明当风险上升到一定水平后保险的损失分担作用开始显现;但当 α 超过临界水平后,投保方案下降速度明显加快并被无保险方案反超。

7. 结论

在考虑供应与需求双重不确定的前提下,本文构建由稳定供应商、不稳定供应商与收购商组成的双源采购模型,并在期权契约基础上引入营业中断保险,分析其对采购决策与系统绩效的影响。结论表明:随着灾害中断概率 α 上升,营业中断保险提升了集中决策下的系统最优总订购量,且该促进效应在中–高 α 区间更为明显;同时,保险会改变采购结构,降低系统对期权渠道的风险对冲依赖,减少因为中断带来的损失,因此使订单更倾向于向不稳定供应商配置。利润层面,无论是否投保,系统期望利润均随 α 上升而下降,说明突发中断会显著增加总体成本并减少供应链绩效;且投保并不必然带来最优期望利润改善,其效果具有区间性,取决于保险成本与保障强度、以及与期权参数的匹配程度。由此得到的管理启示是:企业应将营业中断保险作为随风险水平动态配置的工具,并与期权契约进行协同优化,根据中断风险评估选择是否进行投保,避免在较高风险时进行投保,造成运营成本上升降低系统收益,从而提升供应链韧性与决策稳健性。

参考文献

[1] Ivanov, D. and Dolgui, A. (2020) Viability of Intertwined Supply Networks: Extending the Supply Chain Resilience Angles towards Survivability. A Position Paper Motivated by COVID-19 Outbreak. International Journal of Production Research, 58, 2904-2915. [Google Scholar] [CrossRef
[2] 蒋忠中, 郭佳润, 郑伟. 供应链韧性: 研究综述与展望[J]. 东北大学学报(自然科学版), 2025, 46(7): 59-70.
[3] Craighead, C.W., Ketchen, D.J. and Darby, J.L. (2020) Pandemics and Supply Chain Management Research: Toward a Theoretical Toolbox*. Decision Sciences, 51, 838-866. [Google Scholar] [CrossRef] [PubMed]
[4] 代建生, 刘悦. 公平偏好和销售努力下供应链期权契约协调[J]. 中国管理科学, 2022, 30(7): 20-30.
[5] Wang, R., Song, S. and Wu, C. (2016) Coordination of Supply Chain with One Supplier and Two Competing Risk-Averse Retailers under an Option Contract. Mathematical Problems in Engineering, 2016, Article ID: 1970615. [Google Scholar] [CrossRef
[6] Zhao, H., Wang, H., Liu, W., Song, S. and Liao, Y. (2021) Supply Chain Coordination with a Risk-Averse Retailer and the Call Option Contract in the Presence of a Service Requirement. Mathematics, 9, Article 787. [Google Scholar] [CrossRef
[7] 扈衷权, 田军, 冯耕中. 基于供应方生产能力的应急物资生产模型[J]. 运筹与管理, 2019, 28(4): 100-108.
[8] 刘阳, 田军, 冯耕中, 等. 期权契约机制下应急物资储备模型研究[J]. 中国管理科学, 2022, 30(12): 338-351.
[9] 唐振宇, 罗新星, 陈晓红. 两类信息不对称条件下基于期权的生鲜农产品供应链协调研究[J]. 预测, 2019, 38(3): 76-83.
[10] Wang, X. and Disney, S.M. (2019) The Bullwhip Effect: Progress, Trends and Directions. European Journal of Operational Research, 250, 691-701. [Google Scholar] [CrossRef
[11] 马本江, 康健, 张运生. 基于供应链需求侧中断风险下的营业中断保险研究[J]. 系统工程理论与实践, 2025, 45(5): 1589-1599.
[12] 贺燕, 陈建峰. 营业中断保险在企业供应链风险管理中的应用探讨[J]. 保险研究, 2021(3): 85-92.
[13] 刘纯霞, 陈友余, 汪寿阳. 运营中断风险下企业营业中断保险购买策略研究[J]. 中国管理科学, 2023, 31(4): 26-34.
[14] 于辉, 吴腾飞. 基于营业中断保险的供应链中断模型分析[J]. 保险研究, 2016(5): 24-35.
[15] 舒彤, 杨芳, 陈收, 等. 基于期权与回购合同的供应链中断协调研究[J]. 科技管理研究, 2015, 35(7): 168-173.