青少年重度抑郁症患者电休克治疗后认知功能改变的Meta分析
Meta-Analysis of Cognitive Function Changes after Electroconvulsive Therapy in Adolescents with Major Depressive Disorder
DOI: 10.12677/acm.2026.162575, PDF, HTML, XML,   
作者: 查冰阳, 杨依琳, 洪 素, 况 利*:重庆医科大学附属第一医院精神科,重庆;李琳洁:重庆医科大学附属第一医院泌尿外科,重庆
关键词: 电休克治疗青少年重度抑郁症认知功能Electroconvulsive Therapy Adolescent Depressive Disorder Major Cognition
摘要: 目的:系统评价电休克治疗(ECT)对青少年重度抑郁症(MDD)患者短期及长期认知功能的影响,并探究不同认知维度及联合艾司氯胺酮的调节作用。方法:计算机检索PubMed、Embase、Cochrane Library、CNKI、万方等数据库,搜集关于ECT治疗青少年MDD的随机对照试验(RCT)和队列研究,检索时限均为建库至2025年10月30日。纳入标准包括经诊断为MDD的10~19岁患者,且提供标准化的认知评估数据。采用Cochrane风险偏倚工具和纽卡斯尔–渥太华量表(NOS)评价质量,使用RevMan 5.3和Stata 16.1软件进行Meta分析。结果:最终纳入6项研究,共包含584例患者。Meta分析结果显示:① 短期(疗程结束10天内)整体认知功能与基线相比差异无统计学意义(SMD = −0.04, 95% CI: −0.35~0.26, P = 0.79)。② 长期(疗程结束1个月以上)整体认知功能较基线显著改善(SMD = 0.63, 95% CI: 0.43~0.83, P < 0.0001)。③ 亚组分析显示,联合艾司氯胺酮麻醉组(SMD = 0.27)与常规麻醉组相比,差异无统计学意义(P = 0.08)。④ 认知维度方面,治疗后执行功能显著改善(P = 0.03),注意力呈改善趋势(P = 0.06),但空间记忆和言语记忆在短期内受到轻度抑制(P < 0.05)。结论:ECT治疗青少年MDD在短期内未造成整体认知损害,虽引起特定记忆领域的暂时性波动,但长期随访显示其有助于改善整体认知水平,尤其是执行功能。至于联合艾司氯胺酮麻醉对认知功能的具体调节作用,目前的证据尚不足以得出确切结论,有待进一步研究验证。
Abstract: Objective: To systematically evaluate the short-term and long-term effects of electroconvulsive therapy (ECT) on cognitive function in adolescents with major depressive disorder (MDD), and to explore the regulatory effects of different cognitive dimensions and combined esketamine. Methods: Databases including PubMed, Embase, Cochrane Library, CNKI, and Wanfang Data were searched for randomized controlled trials (RCTs) and cohort studies on ECT for adolescent MDD from inception to October 30, 2025. Inclusion criteria involved patients aged 10~19 diagnosed with MDD and provided standardized cognitive assessment data. Quality was assessed using the Cochrane risk of bias tool and the Newcastle-Ottawa Scale (NOS). Meta-analysis was performed using RevMan 5.3 and Stata 16.1 software. Results: Six studies involving 584 patients were finally included. Meta-analysis results showed: (1) There was no statistically significant difference in short-term (within 10 days after treatment) global cognitive function compared with baseline (SMD = −0.04, 95% CI: −0.35 to 0.26, P = 0.79). (2) Long-term (more than 1 month after treatment) global cognitive function significantly improved compared with baseline (SMD = 0.63, 95% CI: 0.43 to 0.83, P < 0.0001). (3) Subgroup analysis showed that the difference between the esketamine-combined anesthesia group (SMD = 0.27) and the conventional anesthesia group was not statistically significant (P = 0.08). (4) Regarding cognitive dimensions, executive function significantly improved after treatment (P = 0.03), and attention showed an improving trend (P = 0.06), while spatial memory and verbal memory were mildly inhibited in the short term (P < 0.05). Conclusion: ECT does not cause global cognitive impairment in adolescents with MDD in the short term. Although it causes temporary fluctuations in specific memory domains, long-term follow-up shows it helps improve overall cognitive levels, especially executive function. Combined esketamine anesthesia requires further investigation regarding its potential role in cognitive outcomes, as current evidence is inconclusive.
文章引用:查冰阳, 李琳洁, 杨依琳, 洪素, 况利. 青少年重度抑郁症患者电休克治疗后认知功能改变的Meta分析[J]. 临床医学进展, 2026, 16(2): 1815-1826. https://doi.org/10.12677/acm.2026.162575

1. 引言

MDD是导致全球青少年残疾和疾病负担的主要原因之一[1] [2]。据流行病学数据显示,中国青少年抑郁症检出率呈上升趋势,且自杀风险显著高于成人[3] [4]。尽管传统的抗抑郁药物和心理治疗是首选方案,但仍有相当比例的青少年患者表现为难治性抑郁(TRD) [5]。Faries等最新的系统评价指出,对于青少年TRD,ECT在症状改善方面表现出较大的效应量,显著优于常规药物治疗,甚至在缓解率上优于重复经颅磁刺激(rTMS) [6]

然而,尽管疗效确切,ECT在儿童青少年精神科的应用仍面临巨大阻力,其核心担忧在于ECT是否会对发育中的大脑造成不可逆的认知功能损害(如记忆减退、学习能力下降) [7] [8]。既往关于ECT认知副作用的Meta分析多聚焦于成人群体或混杂了成人与青少年数据,导致结论难以直接推演至青少年[9] [10]。Guo等针对成人MDD患者的研究发现,ECT后短期内确实存在记忆和学习能力的下降,但执行功能和处理速度在长期随访中有所改善[11]

考虑到青少年大脑正处于突触修剪和前额叶皮层成熟的关键神经发育窗口期,其对电刺激的反应可能与成人存在本质差异[12]-[14]。青少年的神经可塑性是否能提供更强的认知恢复能力?或者发育中的大脑是否对电损伤更敏感?目前尚缺乏针对这一特定人群的高质量循证医学证据。此外,新兴的麻醉策略(如使用具有神经保护作用的艾司氯胺酮)是否能缓解ECT的认知副作用,亦是临床关注的热点[15]-[17]。艾司氯胺酮作为N-甲基-D-天冬氨酸受体(NMDA)拮抗剂,不仅具有快速抗抑郁作用,理论上还能通过阻断谷氨酸兴奋性毒性来保护神经元[15] [18]-[20]。基于此,本研究旨在通过Meta分析,整合最新的RCT和队列研究,系统评价ECT对青少年MDD患者短期和长期认知功能的影响,并对比不同认知维度及麻醉药物的差异,旨在为临床医生平衡ECT的疗效与安全性提供循证医学证据。

2. 资料与方法

2.1. 文献检索策略

本研究严格遵循PRISMA 2020指南,并已在PROSPERO国际前瞻性系统评价注册平台完成注册(注册号:CRD420251238496)。计算机检索PubMed、Embase、Web of Science、scopus、sycINFO、Cochrane Library以及中国知网、万方数据库、维普数据库、中国生物医学文献服务系统。中文检索词包括:“电休克治疗”、“青少年”、“重度抑郁症”、“认知功能”、“记忆”、“执行功能”等;英文检索词包括:“Electroconvulsive therapy”,“ECT”,“Adolescent”,“Teenager”,“Depression”,“MDD”,“Cognition”,“Memory”,“Executive function”等。检索时间截止至2025年10月30日。

2.2. 纳入与排除标准

纳入标准:(1) 研究对象:年龄10~19岁,符合ICD-10或DSM-5诊断标准的MDD患者;(2) 干预措施:接受ECT;(3) 结局指标:包含标准化的神经心理学测验(如MoCA,MMSE等),且提供了治疗前后或随访期的认知功能数据(均值和标准差)。为统一分析标准,参考Guo等相关研究,本研究将短期结局定义为ECT疗程结束10天内,长期结局定义为疗程结束1个月以上[11];(4) 研究类型:RCT和队列研究。

排除标准:(1) 综述、系统评价、个案报告;(2) 重复发表、数据不完整的研究;(3) 非中文和英文的研究。

2.3. 资料提取与质量评价

由2名研究者独立进行文献筛选和资料提取,筛选过程中如遇分歧,则请第3名高级职称研究者裁决。提取内容包括:第一作者、发表年份、样本量、年龄、干预措施、麻醉方案、电极放置方式、认知评估工具及随访时间等。对于纳入的随机对照试验(RCT),采用Cochrane风险偏倚工具进行评价,涵盖随机序列产生、分配隐藏、盲法等7个维度。

2.4. 统计学方法

采用RevMan 5.3和Stata 16.1软件进行统计分析。由于认知评分工具多样,采用标准化均数差(SMD)及其95%置信区间(CI)表示效应量。异质性检验:采用I2统计量,若I2 < 50%,采用固定效应模型;若I2 ≥ 50%,采用随机效应模型,并进一步通过亚组分析或敏感性分析寻找异质性来源。发表偏倚:采用漏斗图及Egger’s检验。若存在偏倚(P < 0.05),采用剪补法进行校正。所有检验均为双侧检验,检验水准α= 0.05。

3. 结果

3.1. 文献检索结果与纳入研究特征

初检获得820篇文献,经去重、初筛和全文复筛,最终纳入6篇高质量研究(Wang等,Yang等,Du等,Hu等,李伟等,伍宏琪等) [8] [21]-[25],文献检索与筛选的流程见图1。共涉及584名青少年患者,虽然纳入文献数量较少,但总样本量相对充足,且均为近年发表的高质量研究。纳入研究的基本特征见表1

Figure 1. Flow diagram of the literature screening process

1. 文献筛选流程图

Table 1. Characteristics of the included studies

1. 纳入研究的基本特征

作者 年份

研究 设计

样本量(N)

(实验组/ 对照组)

青少年年龄()

(Mean ± SD)

诊断

干预措施

(实验组vs对照组)

电极放置位置

麻醉药物

认知评估工具

随访时间点

Wang 2025

RCT

120 (60/60)

15.20 ± 1.75/ 15.15 ± 1.64

MDD

MST (磁惊厥治疗) vs MECT (改良电休克)

双侧颞叶

丙泊酚

MoCA

治疗后7天

Yang 2025

观察性研究

206 (130/76)

14.68 ± 1.46

MDD

ECT (青少年组) vs ECT (成人组)

双侧颞叶

丙泊酚

MoCA

治疗结束后

Du 2025

RCT

143 (72/71)

15.51 ± 1.27/ 15.55 ± 1.44

MDD

低电量ECT (40% × 年龄) vs 常规电量ECT (80% × 年龄)

双侧颞叶

丙泊酚

MCCB

治疗后48 h、2周、 6周

Hu 2025

观察研究

60 (自身对照)

15.75 ± 1.28

MDD

双额叶ECT (自身前后对照)

双侧颞叶

丙泊酚

CANTAB

治疗后1天、2周、4个月

伍宏琪 2025

RCT

120 (40/40/40)

15.85 ± 1.53/ 16.10 ± 1.53/ 16.08 ± 1.42

TRD

ECT + 艾司氯胺酮 (0.25 mg/kg) vs ECT + 艾司氯胺酮(0.50 mg/kg) vs ECT + 生理盐水对照

未报告

C组:丙泊酚;S/A组:艾司氯胺酮 + 丙泊酚

MMSE

治疗后1天、3个月

李伟 2025

CCT

160 (81/79)

15.23 ± 0.19/ 14.87 ± 0.18

MDD

ECT + 抗抑郁药 vs 单纯抗抑郁药

双侧颞叶

丙泊酚

MoCA

治疗后、2周、6周

3.2. 方法学质量评价

根据Cochrane风险偏倚评估工具(针对RCT)的评价结果显示,纳入研究的总体质量较高(图2)。

Figure 2. Assessment of risk of bias using the Cochrane tool. (A) Risk of bias summary: judgments for each risk of bias item for each included study (green = low risk, yellow = unclear risk, red = high risk); (B) Risk of bias graph: percentages of risk across all included studies for each domain

2. Cochrane风险偏倚评估结果。(A) 风险偏倚摘要图:展示每项纳入研究在各偏倚风险领域的具体评价(绿色 = 低风险,黄色 = 不清楚,红色 = 高风险);(B) 风险偏倚百分比图:展示所有纳入研究在各风险领域的总体比例

3.3. ECT对短期认知功能的影响

汇总4篇文献的6项数据,随机效应模型分析显示,ECT治疗疗程结束即刻,实验组患者的整体认知功能与基线相比差异无统计学意义[SMD = −0.04, 95% CI (−0.35, 0.26), Z = 0.26, P = 0.79] (图3)。这表明在治疗结束后早期,虽然存在较高的异质性(I2 = 76%),但总体并未表现出显著的认知损害。

Figure 3. Forest plot showing changes in short-term global cognitive function following ECT

3. ECT治疗后短期整体认知功能改变的森林图

3.4. 发表偏倚与剪补法分析

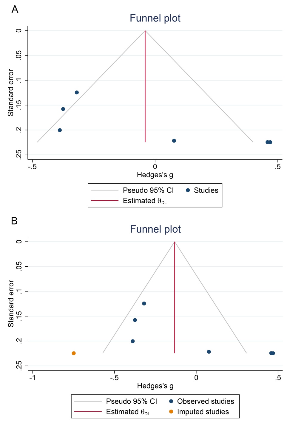
Figure 4. Assessment of publication bias. (A) Original funnel plot showing asymmetry in the distribution of studies; (B) Funnel plot adjusted using the trim-and-fill method: orange dots represent imputed virtual studies, indicating a symmetrical distribution after adjustment

4. 发表偏倚评估图。(A) 原始漏斗图:显示各研究分布存在不对称性;(B) 剪补法校正后的漏斗图:橙色点代表填补的虚拟研究,填补后漏斗图趋于对称

漏斗图显示存在不对称性(图4(A))。Egger’s检验结果显示:P = 0.024,提示存在统计学显著的发表偏倚。为了验证结论的稳健性,我们采用非参数剪补法。分析显示需填补1项虚拟研究。填补后的合并效应量为SMD = −0.13 [95% CI: −0.44, 0.17],虽然效应值略向负向偏移,但95% CI仍包含0,差异依然无统计学意义(图4(B))。这进一步证实了“短期无显著整体认知损害”这一结论的可靠性。

3.5. 亚组分析:麻醉药物的影响

在分析短期认知数据时,我们观察到明显的异质性(I2 = 76%)。通过审视森林图(图5),我们发现伍宏琪等的三组数据均显示出认知功能的改善趋势(SMD > 0),这与Wang 2025及李伟2025等研究显示的认知轻度下降或无变化形成对比。为了追溯这种改善的原因,我们详细核对了各研究的干预方案,发现伍宏琪2025的研究独特性地采用了联合“艾司氯胺酮”进行麻醉诱导。鉴于既往基础研究提示艾司氯胺酮作为NMDA受体拮抗剂可能具有神经保护和促进突触可塑性的作用,我们推测麻醉药物的差异可能是导致结果异质性的关键因素。因此,我们将研究分为“使用艾司氯胺酮”与“未使用艾司氯胺酮”两个亚组进行分析。结果显示:未使用艾司氯胺酮组:SMD = −0.18 [95% CI: −0.51, 0.14];使用艾司氯胺酮组:SMD = 0.27 [95% CI: −0.11, 0.66]。亚组间差异未达到统计学显著性水平(P = 0.08)。尽管艾司氯胺酮组的效应值点估计为正值,但置信区间跨越了无效线,提示目前尚不能断定其在ECT过程中对青少年认知功能的调节作用,仍需更大样本的随机对照试验进一步验证联合麻醉策略的实际临床获益。

Figure 5. Forest plot of subgroup analysis stratified by the type of anesthetic agent

5. 基于麻醉药物类型的亚组分析森林图

3.6. 不同认知维度的分析

对不同认知领域的亚组分析显示:执行功能在治疗后较基线有显著改善(SMD > 0, P = 0.03);注意力虽然也显示出正向改善的趋势(SMD > 0),但差异未达统计学显著性水平,仅为边缘显著(P = 0.06)。此外,空间记忆和言语记忆在短期内呈现轻微下降趋势(SMD < 0, P > 0.05),而工作记忆、处理速度、定向力及社会认知均未见显著差异(图6)。

Figure 6. Forest plots of meta-analyses for different cognitive sub-domains. (A) Working memory; (B) Verbal memory; (C) Spatial memory; (D) Processing speed; (E) Attention; (F) Executive function; (G) Orientation; (H) Social cognition

6. 不同认知功能亚维度的Meta分析森林图。(A) 工作记忆;(B) 言语记忆;(C) 空间记忆;(D) 处理速度;(E) 注意力;(F) 执行功能;(G) 定向力;(H) 社会认知

3.7. ECT对长期认知功能的影响

基于随访数据(治疗后大于1月)的Meta分析显示,ECT组患者的认知功能较治疗前有显著改善,差异具有统计学意义[SMD = 0.63, 95%CI (0.43, 0.83), P < 0.00001]。该结果异质性较低(I2 = 42%),提示长期来看,ECT治疗有利于青少年认知功能的恢复(图7)。

Figure 7. ECT治疗后长期整体认知功能改变的森林图

7. Forest plot of long-term changes in overall cognitive function after ECT treatment

4. 讨论

本研究通过Meta分析发现,ECT治疗青少年MDD后短期内整体认知功能保持稳定(SMD = −0.04),且经过发表偏倚校正后结论依然成立。这与大众认为“ECT会严重损伤青少年大脑”的担忧相反。与Faries等的研究结果对照,虽然他们发现rTMS在副作用方面优于ECT,但本研究的量化数据表明,ECT的认知副作用可能是微弱或短暂的,并不构成其作为二线甚至一线治疗(针对严重自杀风险)的绝对禁忌[6] [26]-[28]

本研究最显著的发现是ECT对长期认知功能的正向效应(SMD = 0.63)。这一结果支持了“认知复原”假说。抑郁症本身即伴随严重的认知损害(如执行功能障碍、思维迟缓),这种“假性痴呆”状态严重影响青少年的学业功能。ECT通过有效缓解抑郁症状,解除了情绪对认知的抑制作用,从而使被压抑的认知潜能得以释放[8] [29]-[32]。与Guo等在成人中的发现相比,我们观察到的青少年长期认知改善幅度似乎更大[11]。这可能与青少年大脑独特的神经可塑性有关:青少年海马区的神经发生较成人更为活跃,处于发育高峰期的大脑可能比固化的大脑具有更强的突触重塑和代偿能力,从而在ECT后展现出更好的认知反弹[33] [34]

本研究在数据分析过程中发现了一个有趣的现象:纳入的伍宏琪等研究在短期认知结局上表现出独特的改善趋势,这成为导致总体异质性的主要来源。通过对研究方案的溯源,我们发现该研究是唯一联合使用艾司氯胺酮进行麻醉的试验。这一发现促使我们进行了针对性的亚组分析,结果(P = 0.08)虽然仅达边缘显著,但在临床意义上极具启发性。

艾司氯胺酮作为NMDA受体拮抗剂,其调节认知的机制可能涉及两个方面:首先,ECT引起的短暂认知损害被认为与海马区谷氨酸兴奋性毒性有关,而艾司氯胺酮可阻断过量的谷氨酸传递,从而减轻神经元损伤;其次,艾司氯胺酮能迅速激活BDNF-TrkB信号通路,上调脑源性神经营养因子的表达,促进突触发生和树突棘重塑[35]-[38]。对于大脑尚处于发育可塑性高峰期的青少年而言,这种神经保护作用可能比成人更为显著。本研究的结果为“ECT联合艾司氯胺酮麻醉”策略提供了初步的循证医学支持。

本研究细化了不同认知维度的变化,发现执行功能和注意力的改善明显,而特定记忆功能(言语、空间)短期受损。这与Guo等在成人中观察到的模式高度一致,即前额叶相关功能(执行、注意)随抑郁改善而恢复,而海马相关功能(记忆)受电刺激影响出现短暂抑制[11] [39]-[41]。这一发现提示临床医生应明确告知患儿及家属,ECT 可能会引起暂时性的记忆波动,但这种影响通常是可逆的,且长期来看有助于学习能力的恢复。

尽管我们的研究取得相应结果,但是我们仍存在许多局限:(1) 样本数量与研究设计局限:因原始研究匮乏,本研究最终仅纳入6项研究,限制了统计效能及更深入的亚组分析。为最大化利用现有证据,我们混合纳入了RCT和观察性研究,且部分研究(如伍宏琪等)的多组干预数据可能存在潜在相关性,虽经严格质控,这种混合设计及数据独立性问题仍可能引入一定的偏倚。(2) 异质性来源未完全阐明:受限于原始数据的数量和报告质量,难以对所有混杂因素进行细致分析。例如,各研究使用的认知评估工具灵敏度不一,且未能进一步区分电极放置方式及电刺激参数对认知结局的特异性影响,这可能是导致结果异质性的原因之一。(3) 长期随访数据缺乏:多数研究的随访时间较短,缺乏远期数据,因此 ECT 对青少年大脑发育及认知轨迹的超长期影响仍有待进一步探索。

此外,本研究在认知评估工具的异质性上存在局限。纳入研究中多数(4/6)采用MMSE或MoCA量表,这类工具主要设计用于老年痴呆筛查,对于处于神经发育活跃期的青少年群体,可能难以捕捉执行功能或处理速度等领域的细微认知变化。为了验证结论的稳健性,我们对比分析了使用专业成套神经心理测验的研究(Du 2025使用MCCB,Hu 2025使用CANTAB),发现其在执行功能改善和短期记忆波动方面的结果趋势与整体Meta分析结果基本一致。尽管如此,未来研究应更倾向于使用CANTAB或MCCB等对青少年更敏感的标准化神经心理测验工具,以获得更精确的结论。

综上所述,ECT是治疗青少年难治性抑郁症的一种在认知方面相对安全的治疗手段。虽然短期内可能伴随特定记忆领域的轻微波动,但并未造成整体认知损害。相反,从长期来看,ECT通过有效缓解抑郁症状,显著提升了青少年的整体认知水平,特别是执行功能。关于联合使用艾司氯胺酮麻醉是否能进一步改善认知结局,目前的证据尚不支持其作为常规推荐,仍需更多高质量研究予以证实。对于伴有严重自杀风险或难治性抑郁的青少年,临床医生应在充分知情同意的前提下,权衡利弊,不应因过分夸大的认知副作用担忧而剥夺其接受ECT治疗的机会。

利益冲突

所有作者声明无利益冲突。

作者贡献声明

查冰阳:研究设计、数据收集、文章撰写;李琳洁:数据统计分析、作图;杨依琳:数据整理;洪素和况利:研究指导、论文审阅、经费支持。

致 谢

感谢本次科研及论文协作过程中导师及科室同事的指导和大力支持。

伦理批准与知情同意

本研究为系统评价与Meta分析,不直接涉及人类受试者试验。本研究已在PROSPERO平台注册(注册号:CRD420251238496)。纳入的所有原始研究均在文中注明,且据原始文献记载,各纳入研究均已获得其所在机构伦理委员会批准,受试者均已签署知情同意书。

NOTES

*通讯作者。

参考文献

[1] Cha, C.B., Franz, P.J., M. Guzmán, E., Glenn, C.R., Kleiman, E.M. and Nock, M.K. (2017) Annual Research Review: Suicide among Youth—Epidemiology, (Potential) Etiology, and Treatment. Journal of Child Psychology and Psychiatry, 59, 460-482. [Google Scholar] [CrossRef] [PubMed]
[2] Rose-Clarke, K., Sonmez, C.C., Shrestha, S., Lamichhane, B., Pradhan, I., Pandey, P., et al. (2025) School-Based Group Interpersonal Therapy for Adolescents with Depression in Nepal: Protocol for a Phase III Realist Cluster-Randomised Controlled Trial. BMC Psychiatry, 25, Article No. 863. [Google Scholar] [CrossRef
[3] Zhou, J., Liu, Y., Ma, J., Feng, Z., Hu, J., Hu, J., et al. (2024) Prevalence of Depressive Symptoms among Children and Adolescents in China: A Systematic Review and Meta-Analysis. Child and Adolescent Psychiatry and Mental Health, 18, Article No. 150. [Google Scholar] [CrossRef] [PubMed]
[4] Wu, Y., Zhang, Y., Wang, C. and Huang, B. (2024) A Meta-Analysis on the Lifetime and Period Prevalence of Self-Injury among Adolescents with Depression. Frontiers in Public Health, 12, Article 1434958. [Google Scholar] [CrossRef] [PubMed]
[5] Dwyer, J.B., Stringaris, A., Brent, D.A. and Bloch, M.H. (2020) Annual Research Review: Defining and Treating Pediatric Treatment-Resistant Depression. Journal of Child Psychology and Psychiatry, 61, 312-332. [Google Scholar] [CrossRef] [PubMed]
[6] Faries, E., Mabe, L.A., Franzen, R.L., Murtaza, S., Nathani, K., Ahmed, B., et al. (2024) Interventional Approaches to Treatment Resistant Depression (DTR) in Children and Adolescents: A Systematic Review and Meta-Analysis. Journal of Affective Disorders, 367, 519-529. [Google Scholar] [CrossRef] [PubMed]
[7] Døssing, E. and Pagsberg, A.K. (2021) Electroconvulsive Therapy in Children and Adolescents: A Systematic Review of Current Literature and Guidelines. The Journal of ECT, 37, 158-170. [Google Scholar] [CrossRef] [PubMed]
[8] Yang, Y., Chen, K., Liang, K., Guo, J. and Du, L. (2025) Electroconvulsive Therapy in Adolescents and Adults with Depression: Effects, Cognitive Function and Related Influencing Factors. Journal of Affective Disorders, 389, Article 119700. [Google Scholar] [CrossRef] [PubMed]
[9] Kassar, O., Makhlouf, H.A., Mansour, M.E.M. and Sartorius, A. (2025) Long-Term Dementia Risk Following Electroconvulsive Therapy: A Grade-Assessed Systematic Review and Meta-Analysis. International Psychogeriatrics, Article 100159. [Google Scholar] [CrossRef
[10] Guo, Q., Wang, Y., Guo, L., Li, X., Ma, X., He, X., et al. (2024) Long-Term Cognitive Effects of Electroconvulsive Therapy in Major Depressive Disorder: A Systematic Review and Meta-Analysis. Psychiatry Research, 331, Article 115611. [Google Scholar] [CrossRef] [PubMed]
[11] Guo, Q., Wang, Y., Guo, L., Chen, C., Han, S. and Shang, S. (2024) Evaluating Cognitive Assessment Tools for Patients with Major Depressive Disorder Receiving Electroconvulsive Therapy: A Systematic Review and Meta-Analysis. Asian Journal of Psychiatry, 100, Article 104169. [Google Scholar] [CrossRef] [PubMed]
[12] Selemon, L.D. (2013) A Role for Synaptic Plasticity in the Adolescent Development of Executive Function. Translational Psychiatry, 3, e238. [Google Scholar] [CrossRef] [PubMed]
[13] Goodpaster, C.M., Christensen, C.R., Alturki, M. and DeNardo, L.A. (2026) Prefrontal Cortex Development and Its Implications in Mental Illness. Neuropsychopharmacology, 51, 114-128. [Google Scholar] [CrossRef] [PubMed]
[14] Marín, O. (2016) Developmental Timing and Critical Windows for the Treatment of Psychiatric Disorders. Nature Medicine, 22, 1229-1238. [Google Scholar] [CrossRef] [PubMed]
[15] Zhao, G., Zhao, J., Kong, Y., Pang, Y., Zheng, X. and Zhang, Y. (2025) Effect of Esketamine and Etomidate Anesthesia on Neuroplasticity in Electroconvulsive Therapy for Treatment-Resistant Depression. World Journal of Psychiatry, 15, Article 109458. [Google Scholar] [CrossRef
[16] Chen, X., Zhou, R., Lan, L., Zhu, L., Chen, C., Zhang, X., et al. (2024) Comparison of Effects of Propofol Combined with Different Doses of Esketamine for ECT in the Treatment of Depression: A Randomized Controlled Trial Protocol. Neuropsychiatric Disease and Treatment, 20, 1107-1115. [Google Scholar] [CrossRef] [PubMed]
[17] Stripp, T.K., Jorgensen, M.B. and Olsen, N.V. (2018) Anaesthesia for Electroconvulsive Therapy—New Tricks for Old Drugs: A Systematic Review. Acta Neuropsychiatrica, 30, 61-69. [Google Scholar] [CrossRef] [PubMed]
[18] Mikellides, G. (2025) Ketamine and Esketamine in Psychiatry: A Comparative Review Emphasizing Neuroplasticity and Clinical Applications. Psychoactives, 4, Article 20. [Google Scholar] [CrossRef
[19] Wang, S., Bian, L., Yin, Y. and Guo, J. (2022) Targeting NMDA Receptors in Emotional Disorders: Their Role in Neuroprotection. Brain Sciences, 12, Article 1329. [Google Scholar] [CrossRef] [PubMed]
[20] Chrobak, A.A. and Siwek, M. (2024) Drugs with Glutamate-Based Mechanisms of Action in Psychiatry. Pharmacological Reports, 76, 1256-1271. [Google Scholar] [CrossRef] [PubMed]
[21] Hu, R., Li, J., Luo, H., Guo, Y., Tan, J., Li, S., et al. (2025) Effects of Electroconvulsive Therapy on Cognitive Function, Depressive Symptoms, and Suicidal Ideation in Adolescents with Major Depressive Disorder: A Prospective Observational Study. Journal of Affective Disorders, 391, Article 120092. [Google Scholar] [CrossRef] [PubMed]
[22] Du, R., Zhao, S., Zhang, X., Li, W., Ma, Y., Zhang, Y., et al. (2026) Efficacy and Safety of Lower Dose Electroconvulsive Therapy for Major Depression in Adolescents with Suicide Ideation: A Non-Inferiority Randomized Controlled Trial in China. Journal of Affective Disorders, 393, Article 120303. [Google Scholar] [CrossRef
[23] Wang, W., Lu, Y., Mi, G., Li, X., Zhang, D. and Qi, S. (2025) Cognitive Preservation Advantage and Efficacy Balance of Magnetic Seizure Therapy in Adolescent Major Depressive Disorder: A Randomized Controlled Trial Revealing Efficacy Cognition Decoupling Phenomenon. Rivista di Psichiatria, 60, 196-201. [Google Scholar] [CrossRef
[24] 伍宏琪, 曾祥刚, 熊兴龙, 等. 改良电休克治疗中不同剂量艾司氯胺酮对青春期难治性抑郁症患者的抗抑郁及麻醉效果分析[J]. 贵州医科大学学报, 2025, 50(5): 744-750.
[25] 李伟, 杜若南, 蔡海鹏, 等. 电休克疗法对伴有自杀意念重性抑郁障碍青少年的疗效与安全性研究[J]. 中国神经精神疾病杂志, 2025, 51(3): 142-148.
[26] Porter, R.J., Baune, B.T., Morris, G., Hamilton, A., Bassett, D., Boyce, P., et al. (2020) Cognitive Side-Effects of Electroconvulsive Therapy: What Are They, How to Monitor Them and What to Tell Patients. BJPsych Open, 6, e40. [Google Scholar] [CrossRef] [PubMed]
[27] Hammershøj, L.G., Petersen, J.Z., Jensen, H.M., Jørgensen, M.B. and Miskowiak, K.W. (2021) Cognitive Adverse Effects of Electroconvulsive Therapy: A Discrepancy between Subjective and Objective Measures? The Journal of ECT, 38, 30-38. [Google Scholar] [CrossRef] [PubMed]
[28] Benson, N.M. and Seiner, S.J. (2019) Electroconvulsive Therapy in Children and Adolescents: Clinical Indications and Special Considerations. Harvard Review of Psychiatry, 27, 354-358. [Google Scholar] [CrossRef] [PubMed]
[29] Porter, R.J., Bourke, C. and Gallagher, P. (2007) Neuropsychological Impairment in Major Depression: Its Nature, Origin and Clinical Significance. Australian & New Zealand Journal of Psychiatry, 41, 115-128. [Google Scholar] [CrossRef] [PubMed]
[30] Perini, G., Cotta Ramusino, M., Sinforiani, E., et al. (2019) Cognitive Impairment in Depression: Recent Advances and Novel Treatments. Neuropsychiatric Disease and Treatment, 15, 1249-1258. [Google Scholar] [CrossRef] [PubMed]
[31] Hack, L.M., Tozzi, L., Zenteno, S., Olmsted, A.M., Hilton, R., Jubeir, J., et al. (2023) A Cognitive Biotype of Depression Linking Symptoms, Behavior Measures, Neural Circuits, and Differential Treatment Outcomes: A Prespecified Secondary Analysis of a Randomized Clinical Trial. JAMA Network Open, 6, e2318411. [Google Scholar] [CrossRef] [PubMed]
[32] Iverson, G.L. and Iverson, I.A. (2022) Perceived Cognitive Impairment in High School Students in the United States. Frontiers in Psychology, 13, Article 1019159. [Google Scholar] [CrossRef] [PubMed]
[33] João, R.B., Toiansk de Azevedo, J.P.R.P., Pereira, D.A., Ragazzo, P.C. and de Oliveira, P.M. (2025) Immune-Inflammatory, Neuroplastic, and Epigenetic Effects of Electroconvulsive Therapy in Mood Disorders: An Overview of Recent Studies. Frontiers in Psychiatry, 16, Article 1577530. [Google Scholar] [CrossRef
[34] Min, J., Zhu, T., Liu, M., Zhang, J., Yan, T., Zhu, S., et al. (2025) Electroconvulsive Therapy Induces Cortical and Subcortical Structural Changes in Adolescents with Major Depressive Disorder. Psychiatry Research, 358, Article 116845. [Google Scholar] [CrossRef
[35] Kim, J., Kim, T., Lee, S. and Koo, J.W. (2023) The Role of Glutamate Underlying Treatment-Resistant Depression. Clinical Psychopharmacology and Neuroscience, 21, 429-446. [Google Scholar] [CrossRef] [PubMed]
[36] Pardossi, S., Fagiolini, A. and Cuomo, A. (2024) Variations in BDNF and Their Role in the Neurotrophic Antidepressant Mechanisms of Ketamine and Esketamine: A Review. International Journal of Molecular Sciences, 25, Article 13098. [Google Scholar] [CrossRef] [PubMed]
[37] Kang, M.J.Y., Hawken, E. and Vazquez, G.H. (2022) The Mechanisms behind Rapid Antidepressant Effects of Ketamine: A Systematic Review with a Focus on Molecular Neuroplasticity. Frontiers in Psychiatry, 13, Article 860882. [Google Scholar] [CrossRef] [PubMed]
[38] Antos, Z., Żukow, X., Bursztynowicz, L. and Jakubów, P. (2024) Beyond NMDA Receptors: A Narrative Review of Ketamine’s Rapid and Multifaceted Mechanisms in Depression Treatment. International Journal of Molecular Sciences, 25, Article 13658. [Google Scholar] [CrossRef] [PubMed]
[39] Semkovska, M. and McLoughlin, D.M. (2010) Objective Cognitive Performance Associated with Electroconvulsive Therapy for Depression: A Systematic Review and Meta-Analysis. Biological Psychiatry, 68, 568-577. [Google Scholar] [CrossRef] [PubMed]
[40] Landry, M., Moreno, A., Patry, S., Potvin, S. and Lemasson, M. (2021) Current Practices of Electroconvulsive Therapy in Mental Disorders: A Systematic Review and Meta-Analysis of Short and Long-Term Cognitive Effects. The Journal of ECT, 37, 119-127. [Google Scholar] [CrossRef] [PubMed]
[41] Du, L., Qiu, H., Liu, H., Zhao, W., Tang, Y., Fu, Y., et al. (2016) Changes in Problem-Solving Capacity and Association with Spontaneous Brain Activity after a Single Electroconvulsive Treatment in Major Depressive Disorder. The Journal of ECT, 32, 49-54. [Google Scholar] [CrossRef] [PubMed]