循环鞘氨醇-1-磷酸作为阻塞性睡眠呼吸暂停 综合征诊断生物标志物的研究
Circulating Sphingosine-1-Phosphate as a Diagnostic Biomarker for Obstructive Sleep Apnea Syndrome
DOI: 10.12677/acm.2026.162674, PDF, HTML, XML,    科研立项经费支持
作者: 蔡 湘, 张 超, 王逸群, 马 静, 杨 进*:安徽医科大学第二临床医学院,安徽 合肥;安徽医科大学第二附属医院呼吸与危重症医学科,安徽 合肥
关键词: 阻塞性睡眠呼吸暂停综合征鞘氨醇-1-磷酸Epworth嗜睡量表Obstructive Sleep Apnea Syndrome Sphingosine-1-Phosphate Epworth Sleepiness Scale
摘要: 目的:阻塞性睡眠呼吸暂停综合征(OSAS)是重大公共卫生问题,可增加患者代谢性疾病和心血管疾病的发病风险,本研究旨在明确OSAS发病及其严重程度与血清鞘氨醇-1磷酸(S1P)浓度的相关性。方法:纳入111名肥胖受试者,均接受夜间多导睡眠监测(PSG)评估肥胖手术适应症。其中有86例确诊为OSAS患者,25例则作为对照组。采用酶联免疫吸附试验(ELISA)检测血清S1P水平,收集并分析人口统计学及临床相关信息。结果:相较于对照组,OSAS患者的血清S1P水平显著降低;进一步分析可见,OSAS患者群体中,血清S1P水平随病情严重程度的加剧呈逐步下降趋势。线性回归分析结果证实,血清S1P水平与呼吸暂停低通气指数(AHI)存在显著强负相关,而与最低血氧饱和度(LSaO2)则呈明显正相关关系。受试者工作特征(ROC)曲线分析表明,血清S1P在OSAS筛查中的预测效能优于Epworth嗜睡量表(ESS)和STOP评分。结论:相较于对照组,OSAS患者血清S1P水平显著下调,且其水平高低与疾病严重程度呈负相关;同时血清S1P在OSAS诊断中具有良好的特异性、敏感性及阳性预测值,有望成为OSAS的潜在诊断性生物标志物。
Abstract: Objective: Obstructive sleep apnea syndrome (OSAS) is a significant public health issue that increases patients’ risk of developing metabolic and cardiovascular diseases. This study aims to clarify the association between OSAS incidence and severity with serum sphingosine-1-phosphate (S1P) concentrations. Methods: A total of 111 obese subjects were enrolled and underwent overnight polysomnography (PSG) to assess eligibility for bariatric surgery. Among them, 86 were diagnosed with OSAS, while 25 served as the control group. Serum S1P levels were measured using enzyme-linked immunosorbent assay (ELISA), and demographic and clinically relevant information was collected and analyzed. Results: Compared with the control group, serum S1P levels were significantly reduced in OSAS patients. Further analysis revealed that within the OSAS patient cohort, serum S1P levels exhibited a progressive decline with increasing disease severity. Linear regression analysis confirmed a significantly strong negative correlation between serum S1P levels and the apnea-hypopnea index (AHI), while a marked positive correlation was observed with the lowest arterial oxygen saturation (LSaO2). Receiver operating characteristic (ROC) curve analysis indicated that serum S1P demonstrated superior predictive efficacy for OSAS screening compared to the Epworth Sleepiness Scale (ESS) and STOP score. Conclusion: Compared with the control group, serum S1P levels were significantly downregulated in OSAS patients, and their levels showed a negative correlation with disease severity. Simultaneously, serum S1P demonstrated good specificity, sensitivity, and positive predictive value in OSAS diagnosis, suggesting its potential as a diagnostic biomarker for OSAS.
文章引用:蔡湘, 张超, 王逸群, 马静, 杨进. 循环鞘氨醇-1-磷酸作为阻塞性睡眠呼吸暂停 综合征诊断生物标志物的研究[J]. 临床医学进展, 2026, 16(2): 2646-2653. https://doi.org/10.12677/acm.2026.162674

1. 引言

阻塞性睡眠呼吸暂停综合征(OSAS)是一项全球重大的公共卫生挑战,影响约4%的普通人群和30%~50%的肥胖人群[1] [2]。OSAS的特征在于间歇性缺氧和气流减少,这是由于睡眠期间上气道反复阻塞所致[3] [4]。OSAS的诊断和严重程度分类通过夜间多导睡眠图(PSG)测量的呼吸暂停低通气指数(AHI)和最低血氧饱和度(LSaO2)进行验证[5]。大量证据表明,OSAS患者发生高血压、脑卒中、糖尿病和代谢综合征等代谢性和心血管疾病的风险更大,且OSAS的严重程度与这些疾病的发病率和死亡率相关[6] [7]。鞘氨醇-1-磷酸(S1P)是一种多效的脂质信号分子[8],它通过激活一个由5个G蛋白偶联受体组成的家族来发挥其生物学功能(S1PR1~S1PR5) [8] [9]。通过与不同的受体亚型结合,S1P参与了几种生理和病理过程,包括炎症[8]、氧化应激[10]和血管内皮功能[11] [12],它们都在OSAS的发病机制中起着至关重要的作用。基于此,我们提出推测,S1P可能具备作为OSAS诊断与严重程度分级生物标志物的潜力。本研究以OSAS患者为研究对象,测定其血清S1P水平,探讨该指标与疾病严重程度的相关性,并初步评价其在OSAS诊断中的应用价值。

2. 资料与方法

2.1. 研究对象

本研究为前瞻性资料收集的回顾性分析研究,共纳入111例患者,纳入病例均为2018年9月至2022年6月在安徽医科大学第二医院普外科连续收治的患者。所有患者入院后均签署书面知情同意书,并配合完成空腹血样采集。研究所需的人口统计学信息及临床特征数据,均来源于医院电子病历系统的检索提取。本研究已获得安徽医科大学第二附属医院研究伦理委员会批准,批准文号为YX2021-099(F1)。

2.1.1. 纳入标准

1) 通过多导睡眠监测方法,暂停低通气指数(AHI) ≥ 5次的患者被诊断为OSAS。2) 所有患者年龄均>18岁。3) 患者临床资料完整。

2.1.2. 排除标准

1) 排除诊断有其他严重影响睡眠的相关患者,如不宁腿综合征、睡眠障碍等。2) 年龄小于18岁。3) 中枢性睡眠呼吸暂停每小时占5例以上。4) 总睡眠时间小于5 h;5) 资料不全的患者。

3. 研究方法

3.1. PSG监测

本研究所有受试者均通过多导睡眠图系统(Embla S4500, USA)开展多导睡眠图检测。根据美国睡眠医学学会(AASM) 2007年标准方法对多导睡眠图记录进行分析与评分。呼吸暂停的诊断标准为气流减少程度 ≥ 90%,且持续时间达到或超过10秒;低通气需满足气流下降 ≥ 30%、持续 ≥ 10秒,同时合并血氧饱和度下降 ≥ 4%这三项条件。AHI是诊断和分级OSAS最常用的指标,定义为每小时睡眠中呼吸暂停和低通气事件的平均次数。AHI ≥ 5的患者被诊断为OSAS。根据AHI值,OSAS患者可分为三组:轻度OSAS (AHI ≥ 5且<15)、中度OSAS (AHI ≥ 15且<30)和重度OSAS (AHI ≥ 30)。将AHI < 5的人群纳入对照组。

3.2. 酶联免疫吸附试验(Enzyme-Linked Immunosorbent Assay, ELISA)

从受试者处采集血清样本,在4℃条件下以3000转/分钟的速度离心处理。血清S1P浓度采用ELISA试剂盒定量检测。所有检测均严格遵循厂商操作规程进行。

4. 统计学方法

本研究统计学分析均借助SPSS 18.0软件完成;分类变量以例数或百分比形式呈现,组间比较则选用卡方检验或Fisher精确检验。连续数据以均数 ± SEM或中位数(四分位数范围)表示,组间差异比较采用单因素方差分析,并通过Tukey事后检验开展组间两两比较。采用Spearman或Pearson相关分析,评估血清S1P水平与临床特征的相关性;运用线性回归分析,明确血清S1P与AHI、LSaO2的关联程度。以P < 0.05作为差异具有统计学意义的标准。

5. 结果

5.1. 患者及对照者基本情况

本研究共纳入86例OSAS患者及25例健康对照者。两组人口统计学与临床基线资料见表1。结果显示,OSAS组与对照组在年龄、性别、体重指数(BMI)、收缩压及舒张压方面均未见显著差异。所有研究对象于入院时空腹采血,进行血常规及生化指标检测。分析发现,OSAS患者的白细胞计数、血糖及尿酸水平均显著高于对照组。两组受试者在红细胞计数、血小板计数、白蛋白、高密度脂蛋白、总胆固醇、甘油三酯、丙氨酸氨基转移酶、天冬氨酸氨基转移酶、尿素氮及肌酐等指标水平方面,均未显示出统计学差异。此外,OSAS患者的AHI显著高于对照组,而LSaO2显著低于对照组。

Table 1. Comparison of demographic and clinical characteristics of OSAS group and control group

1. OSAS组和对照组的人口统计学和临床信息对比

变量

OSAS (86)

Control (25)

P

年龄(岁)

33.22 ± 0.82

30.00 ± 1.5

0.06

男性(%)

40 (46.51)

6 (24.0)

0.06

身体质量指数

40.71 (35.14, 44.88)

39.03 (35.80, 43.18)

0.49

收缩压(mmHg)

135.70 (122.00, 146.0)

129.80 (124.80, 134.0)

0.22

舒张压(mmHg)

81.21 (73.00, 90.25)

78.09 (69.75, 87.00)

0.31

白细胞(109/L)

9.62 ± 0.33

8.2 ± 0.35

0.009

红细胞(1012/L)

4.91 ± 0.08

4.81 ± 0.09

0.489

血小板(1012/L)

288.0 ± 9.11

284.7 ±20.12

0.867

白蛋白(mg/L)

40.75 ± 0.525

41.73 ± 0.70

0.308

血糖(mmol/L)

5.90 (5.19, 6.63)

4.94 (4.64, 5.62)

0.009

高密度脂蛋白(mmol/L)

0.98 (0.83, 1.17)

1.07 (0.90, 1.23)

0.22

总胆固醇(mmol/L)

4.45 (3.92, 5.06)

4.29 (3.65, 4.83)

0.53

甘油三酯(mmol/L)

2.36 ± 0.36

1.75 ± 0.45

0.35

谷丙转氨酶(U/L)

45.79 ± 4.80

42.45 ± 8.80

0.73

谷草转氨酶(U/L)

30.85 ± 2.99

27.60 ± 3.82

0.55

尿素氮(mmol/L)

5.05 ± 0.19

5.12 ± 0.35

0.86

肌酐(mmol/L)

54.10 ± 1.34

52.75 ± 2.69

0.62

尿酸(mmol/L)

444.9 ± 11.20

391.4 ± 21.39

0.02

AHI

24.15 (8.60, 33.73)

1.36 (0.15, 2.3)

<0.0001

LSaO2 (%)

71.16 (62.50, 81.25)

81.63 (74.00, 88.75)

0.0004

5.2. OSAS患者与健康对照组血清S1P水平的比较分析

健康对照组的血清S1P水平显著高于OSAS患者(图1(a))。进一步分析发现,在OSAS患者内部,血清S1P水平随疾病严重程度的加剧呈现进行性降低特征。如图1(b)所示,轻度OSAS组患者的血清S1P水平明显高于中度及重度OSAS组。

5.3. 血清S1P水平PSG参数的关系

通过线性回归分析探讨了OSAS患者血清S1P水平与AHI及LSaO2的关联性。如表2所示,单变量线性回归分析显示,血清S1P水平与AHI呈显著负相关(β = −0.58 6, 95% CI: −9.496, −5.112),与LSaO2呈显著正相关(β = 0.553, 95% CI: 0.377, 0.878)。多变量线性回归分析显示,血清S1P水平与AHI呈显著负相关(β = −0.380, 95% CI: −7.395, −2.071),与LSaO2呈显著正相关(β = 0.272, 95% CI: 1.148, 9.733)。

注:(a) OSAS患者与对照组血清S1P水平;(b) 不同病情严重程度OSAS患者血清S1P水平。所有数据采用均值 ± 标准差形式呈现;**P < 0.01,***P < 0.001。

Figure 1. S1P levels in OSAS patients and control group

1. OSAS患者与对照组的S1P水平

Table 2. Correlation between serum S1P levels and PSG parameters

2. 血清S1P水平与PSG的相关性

Variables

Univariable (β, 95% CI)

P

Multivariable (β, 95% CI)*

P

AHI

−0.586 (−9.496, −5.112)

<0.001

−0.380 (−7.395, −2.071)

0.001

LSaO2 (%)

0.553 (7.439, 14.664)

<0.001

0.272 (1.148, 9.733)

0.014

注:*为调整了性别、年龄、白细胞、血糖尿酸等因素。

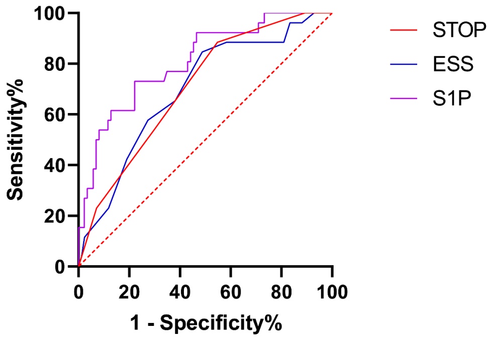
5.4. 血清S1P水平诊断性能的ROC曲线与截断值分析

为明确血清S1P水平对OSAS的诊断价值,本研究进一步绘制受试者工作特征(ROC)曲线,并计算曲线下面积(AUC)以评估其诊断效能。如图2所示,血清S1P诊断OSAS的AUC为0.808 (95% CI: 0.722~0.894),确定最佳截断值为1856.00 nmol/L,此时诊断灵敏度为73.08%,特异性为77.91%。作为临床常用的OSAS筛查工具,埃普沃思嗜睡量表(ESS)与STOP评分的AUC分别为0.697 (95% CI: 0.585~0.810)和0.706 (95% CI: 0.599~0.811)。

Figure 2. Receiver Operating Characteristic (ROC) curves of different predictive indicators for OSAS diagnosis

2. 不同预测指标在OSAS诊断中的受试者工作特征(ROC)曲线

6. 讨论

OSAS是一种全球范围内日益严峻的公共卫生问题,其发病率和死亡率均较高,尤其在肥胖人群中更为突出。然而,由于多导睡眠监测(PSG)操作不便且普及性有限,多数OSAS患者未能获得及时诊断。本研究围绕OSAS患者血清S1P水平变化及与疾病严重程度的相关性展开分析,发现OSAS患者血清S1P水平显著下调,且其水平随病情进展呈持续下降趋势。这一结论表明,血清S1P具备作为OSAS潜在新型生物标志物的应用前景。

生物活性鞘脂在多种细胞过程中介导信号传导,对维持正常生理功能及疾病发生发展具有重要作用[13]-[16]。近年研究表明,该类鞘脂在急性肺损伤[17]、肺炎[18]及囊性纤维化[19]等疾病中,具有成为临床治疗靶点及诊断生物标志物的潜在价值。其中S1P作为一种重要的生物活性鞘脂,广泛参与多种细胞过程的调控。累积的临床证据进一步证实,S1P在炎症相关疾病中发挥关键作用,例如高血压[20]、阿尔茨海默病(AD) [9]及脓毒性休克[21]等。先前研究表明,S1P具备抑制炎症反应及强化内皮完整性的多重有益功效。一项针对COVID-19患者的研究显示,相较于健康对照者,COVID-19患者的血清S1P水平显著降低,且其水平与COVID-19的疾病严重程度呈负相关[22]。Liu等学者指出,血清S1P水平降低不仅能区分缺血性卒中、出血性卒中患者与健康人群,其水平还与缺血性卒中的病情严重程度相关[23]。因此,血清S1P可能成为炎症相关疾病的潜在生物标志物,并具有提示疾病严重程度的临床价值。

间歇性缺氧与氧化应激诱发的持续性低度全身炎症是OSAS患者的重要病理特征之一[2] [24] [25]。近期研究表明,OSAS患者中存在的低度全身炎症状态,部分参与了OSAS相关代谢性疾病及心血管并发症的发生发展[25] [26]。多项研究表明,OSAS患者循环中炎症介质,比如白细胞介素-6 (IL-6)、白细胞介素1β (IL-1β)及肿瘤坏死因子-α (TNF-α)水平升高,且这些促炎介质与OSAS疾病严重程度呈正相关[27]-[29]。其中,S1P作为一种重要的炎症介质,在中性粒细胞的活化与募集[30] [31]、B细胞迁移[32]及淋巴细胞向循环中外渗[33]等过程中均发挥关键作用。S1P水平降低可能与缺氧诱导的代谢紊乱直接相关:OSAS患者反复间歇性缺氧可抑制鞘氨醇激酶1/2 (SphK1/2)活性,减少S1P的合成;同时缺氧状态下,肝细胞及血管内皮细胞中ApoM表达下调,导致结合型S1P释放减少,循环中游离S1P水平下降。此外,OSAS伴随的高尿酸、高血糖等代谢异常可通过氧化应激通路进一步抑制SphK活性,并促进S1P经磷酸酶降解。未来研究可补充检测SphK1/2活性及ApoM、白蛋白水平,以明确缺氧环境下S1P合成–释放–降解的动态平衡变化;当前研究虽观察到S1P与AHI的负相关,但需辩证考虑缺氧可能通过下调S1P载体蛋白而非直接抑制合成通路导致其水平降低,这一机制有待进一步验证。多项研究表明,S1P在炎症相关疾病中具有保护作用,提示其可能作为一种具有抗炎潜力的有益生物标志物。例如,Hsu等人的研究表明,社区获得性肺炎患者血清S1P水平与病情严重程度呈负相关[34]。本研究检测了OSAS患者与健康对照组的血清S1P水平,结果显示,OSAS患者血清S1P水平显著降低,且随着疾病严重程度加重而进一步下降。为深入阐明血清S1P与OSAS的关系,分析发现血清S1P水平与AHI呈负相关,与LSaO2呈正相关。通过ROC曲线评估并与ESS、STOP评分比较,血清S1P对OSAS表现出良好的预测效能,提示其在OSAS筛查中具有潜在应用价值,可作为反映OSAS发生及其严重程度的可靠生物标志物。

本研究存在若干局限性。首先,样本量相对较小,且所有受试者均来自同一医疗中心,未来需要更多中心、更大规模的人群研究以验证当前结果。其次,所有纳入研究的受试者均为肥胖患者,因此结论可能不适用于该特定人群之外的其他群体,有必要在正常BMI人群中开展进一步研究加以验证。此外,本研究虽然观察到OSAS患者血清S1P水平的变化,但其具体作用机制尚未明确,尚需通过后续体内外实验进一步阐明。

基金项目

国家自然科学基金项目(81400058),安徽省重点研究与发展计划项目(2022e07020049)。

NOTES

*通讯作者。

参考文献

[1] Le Tallec-Estève, N., Rousseau, C., Desrues, B., Loréal, O. and Thibault, R. (2021) Transferrin Saturation Is Independently Associated with the Severity of Obstructive Sleep Apnea Syndrome and Hypoxia among Obese Subjects. Clinical Nutrition, 40, 608-614. [Google Scholar] [CrossRef] [PubMed]
[2] Zou, H., Yang, W. and Liu, Y. (2021) Correlation of Serum Myonectin Concentrations with the Presence and Severity of Obstructive Sleep Apnoea Syndrome. Annals of Clinical Biochemistry: International Journal of Laboratory Medicine, 58, 117-122. [Google Scholar] [CrossRef] [PubMed]
[3] Cai, J., Lyu, X., Huang, P., Li, S., Chen, R., Chen, Z., et al. (2022) Increased Levels of CHI3L1 and HA Are Associated with Higher Occurrence of Liver Damage in Patients with Obstructive Sleep Apnea. Frontiers in Medicine, 9, Article 854570. [Google Scholar] [CrossRef] [PubMed]
[4] Peres, B.U., Allen, A.H., Shah, A., Fox, N., Laher, I., Almeida, F., et al. (2020) Obstructive Sleep Apnea and Circulating Biomarkers of Oxidative Stress: A Cross-Sectional Study. Antioxidants, 9, Article 476. [Google Scholar] [CrossRef] [PubMed]
[5] Fakhouri, E.W., Weingarten, J.A., Singh, S.P., Shah, P. and Peterson, S.J. (2021) The Association of Nephroblastoma Overexpressed (NOV) and Endothelial Progenitor Cells with Oxidative Stress in Obstructive Sleep Apnea. Oxidative Medicine and Cellular Longevity, 2021, Article 7138800. [Google Scholar] [CrossRef] [PubMed]
[6] Chihara, Y., Chin, K., Aritake, K., Harada, Y., Toyama, Y., Murase, K., et al. (2013) A Urine Biomarker for Severe Obstructive Sleep Apnoea Patients: Lipocalin-Type Prostaglandin D Synthase. European Respiratory Journal, 42, 1563-1574. [Google Scholar] [CrossRef] [PubMed]
[7] Sunadome, H., Matsumoto, H., Tachikawa, R., Matsumoto, T., Tanizawa, K., Oga, T., et al. (2020) Role of Serum Periostin in Severe Obstructive Sleep Apnea with Albuminuria: An Observational Study. Respiratory Research, 21, Article No. 143. [Google Scholar] [CrossRef] [PubMed]
[8] Chew, W.S., Wang, W. and Herr, D.R. (2016) To Fingolimod and Beyond: The Rich Pipeline of Drug Candidates That Target S1P Signaling. Pharmacological Research, 113, 521-532. [Google Scholar] [CrossRef] [PubMed]
[9] Chua, X.Y., Chai, Y.L., Chew, W.S., Chong, J.R., Ang, H.L., Xiang, P., et al. (2020) Immunomodulatory Sphingosine-1-Phosphates as Plasma Biomarkers of Alzheimer’s Disease and Vascular Cognitive Impairment. Alzheimers Research & Therapy, 12, Article No. 122. [Google Scholar] [CrossRef] [PubMed]
[10] Ueda, N. (2022) A Rheostat of Ceramide and Sphingosine-1-Phosphate as a Determinant of Oxidative Stress-Mediated Kidney Injury. International Journal of Molecular Sciences, 23, Article 4010. [Google Scholar] [CrossRef] [PubMed]
[11] Raza, Z., Saleem, U. and Naureen, Z. (2020) Sphingosine 1-Phosphate Signaling in Ischemia and Reperfusion Injury. Prostaglandins & Other Lipid Mediators, 149, Article 106436. [Google Scholar] [CrossRef] [PubMed]
[12] Xiong, Y. and Hla, T. (2014) S1P Control of Endothelial Integrity. In: Current Topics in Microbiology and Immunology, Springer, 85-105. [Google Scholar] [CrossRef] [PubMed]
[13] Jiang, J., Shi, Y., Cao, J., Lu, Y., Sun, G. and Yang, J. (2021) Role of ASM/Cer/TXNIP Signaling Module in the NLRP3 Inflammasome Activation. Lipids in Health and Disease, 20, Article No. 19. [Google Scholar] [CrossRef] [PubMed]
[14] Bowler, R.P., Jacobson, S., Cruickshank, C., Hughes, G.J., Siska, C., Ory, D.S., et al. (2015) Plasma Sphingolipids Associated with Chronic Obstructive Pulmonary Disease Phenotypes. American Journal of Respiratory and Critical Care Medicine, 191, 275-284. [Google Scholar] [CrossRef] [PubMed]
[15] Ma, X., Chen, L., He, Y., Zhao, L., Yu, W., Xie, Y., et al. (2022) Targeted Lipidomics Reveals Phospholipids and Lysophospholipids as Biomarkers for Evaluating Community-Acquired Pneumonia. Annals of Translational Medicine, 10, Article 395. [Google Scholar] [CrossRef] [PubMed]
[16] Yeganeh, B., Lee, J., Bilodeau, C., Lok, I., Ermini, L., Ackerley, C., et al. (2019) Acid Sphingomyelinase Inhibition Attenuates Cell Death in Mechanically Ventilated Newborn Rat Lung. American Journal of Respiratory and Critical Care Medicine, 199, 760-772. [Google Scholar] [CrossRef] [PubMed]
[17] Kupsch, S., Eggers, L.F., Spengler, D., Gisch, N., Goldmann, T., Fehrenbach, H., et al. (2022) Characterization of Phospholipid-Modified Lung Surfactant in Vitro and in a Neonatal ARDS Model Reveals Anti-Inflammatory Potential and Surfactant Lipidome Signatures. European Journal of Pharmaceutical Sciences, 175, Article 106216. [Google Scholar] [CrossRef] [PubMed]
[18] Torretta, E., Garziano, M., Poliseno, M., Capitanio, D., Biasin, M., Santantonio, T.A., et al. (2021) Severity of COVID-19 Patients Predicted by Serum Sphingolipids Signature. International Journal of Molecular Sciences, 22, Article 10198. [Google Scholar] [CrossRef] [PubMed]
[19] Becker, K.A., Riethmüller, J., Seitz, A.P., Gardner, A., Boudreau, R., Kamler, M., et al. (2018) Sphingolipids as Targets for Inhalation Treatment of Cystic Fibrosis. Advanced Drug Delivery Reviews, 133, 66-75. [Google Scholar] [CrossRef] [PubMed]
[20] Jujic, A., Matthes, F., Vanherle, L., Petzka, H., Orho-Melander, M., Nilsson, P.M., et al. (2021) Plasma S1P (Sphingosine-1-Phosphate) Links to Hypertension and Biomarkers of Inflammation and Cardiovascular Disease: Findings from a Translational Investigation. Hypertension, 78, 195-209. [Google Scholar] [CrossRef] [PubMed]
[21] Piotti, A., Novelli, D., Meessen, J.M.T.A., Ferlicca, D., Coppolecchia, S., Marino, A., et al. (2021) Endothelial Damage in Septic Shock Patients as Evidenced by Circulating Syndecan-1, Sphingosine-1-Phosphate and Soluble VE-Cadherin: A Substudy of Albios. Critical Care, 25, Article No. 113. [Google Scholar] [CrossRef] [PubMed]
[22] Marfia, G., Navone, S., Guarnaccia, L., Campanella, R., Mondoni, M., Locatelli, M., et al. (2021) Decreased Serum Level of Sphingosine-1-Phosphate: A Novel Predictor of Clinical Severity in Covid-19. EMBO Molecular Medicine, 13, e13424. [Google Scholar] [CrossRef] [PubMed]
[23] Liu, J., Sugimoto, K., Cao, Y., Mori, M., Guo, L. and Tan, G. (2020) Serum Sphingosine 1-Phosphate (S1P): A Novel Diagnostic Biomarker in Early Acute Ischemic Stroke. Frontiers in Neurology, 11, Article 985. [Google Scholar] [CrossRef] [PubMed]
[24] Lin, Q., Chen, L., Yu, Y., Liu, K. and Gao, S. (2013) Obstructive Sleep Apnea Syndrome Is Associated with Metabolic Syndrome and Inflammation. European Archives of Oto-Rhino-Laryngology, 271, 825-831. [Google Scholar] [CrossRef] [PubMed]
[25] Popadic, V., Brajkovic, M., Klasnja, S., Milic, N., Rajovic, N., Lisulov, D.P., et al. (2022) Correlation of Dyslipidemia and Inflammation with Obstructive Sleep Apnea Severity. Frontiers in Pharmacology, 13, Article 897279. [Google Scholar] [CrossRef] [PubMed]
[26] Kheirandish-Gozal, L. and Gozal, D. (2019) Obstructive Sleep Apnea and Inflammation: Proof of Concept Based on Two Illustrative Cytokines. International Journal of Molecular Sciences, 20, Article 459. [Google Scholar] [CrossRef] [PubMed]
[27] Cao, Y., Song, Y., Ning, P., Zhang, L., Wu, S., Quan, J., et al. (2020) Association between Tumor Necrosis Factor Alpha and Obstructive Sleep Apnea in Adults: A Meta-Analysis Update. BMC Pulmonary Medicine, 20, Article No. 215. [Google Scholar] [CrossRef] [PubMed]
[28] Imani, M.M., Sadeghi, M., Khazaie, H., Emami, M., Sadeghi Bahmani, D. and Brand, S. (2020) Evaluation of Serum and Plasma Interleukin-6 Levels in Obstructive Sleep Apnea Syndrome: A Meta-Analysis and Meta-Regression. Frontiers in Immunology, 11, Article 1343. [Google Scholar] [CrossRef] [PubMed]
[29] Tang, T., Zhou, X., Huang, H. and Huang, Q. (2017) Relationship between IL-1β Polymorphisms and Obstructive Sleep Apnea Syndrome. European Review for Medical and Pharmacological Sciences, 21, 3120-3128.
[30] Florey, O. and Haskard, D.O. (2009) Sphingosine 1-Phosphate Enhances Fcγ Receptor-Mediated Neutrophil Activation and Recruitment under Flow Conditions. The Journal of Immunology, 183, 2330-2336. [Google Scholar] [CrossRef] [PubMed]
[31] Ratajczak, M.Z., Borkowska, S. and Ratajczak, J. (2013) An Emerging Link in Stem Cell Mobilization between Activation of the Complement Cascade and the Chemotactic Gradient of Sphingosine-1-phosphate. Prostaglandins & Other Lipid Mediators, 104, 122-129. [Google Scholar] [CrossRef] [PubMed]
[32] Cinamon, G., Matloubian, M., Lesneski, M.J., Xu, Y., Low, C., Lu, T., et al. (2004) Sphingosine 1-Phosphate Receptor 1 Promotes B Cell Localization in the Splenic Marginal Zone. Nature Immunology, 5, 713-720. [Google Scholar] [CrossRef] [PubMed]
[33] Pappu, R., Schwab, S.R., Cornelissen, I., Pereira, J.P., Regard, J.B., Xu, Y., et al. (2007) Promotion of Lymphocyte Egress into Blood and Lymph by Distinct Sources of Sphingosine-1-Phosphate. Science, 316, 295-298. [Google Scholar] [CrossRef] [PubMed]
[34] Hsu, S., Chang, J., Hsu, Y., Bai, K., Huang, S. and Hsu, C. (2019) Circulating Sphingosine-1-Phosphate as a Prognostic Biomarker for Community-Acquired Pneumonia. PLOS ONE, 14, e0216963. [Google Scholar] [CrossRef] [PubMed]