基于VMD-SWO-RF的短期电力负荷预测研究
Research on Short-Term Power Load Forecasting Based on VMD-SWO-RF
摘要: 短期电力负荷预测对智能电网的电力系统的安全稳定运行及调控具有重要意义。本文提出了一种基于“分解与优化”框架的短期电力负荷预测方法。首先,通过变分模态分解(Variable Mode Decomposition, VMD)对负荷数据进行分解,提取不同时间尺度的模态分量。然后,利用随机森林(Random Forest, RF)模型对各模态分量分别进行预测,并结合蜘蛛蜂优化算法(SWO)对模型的关键超参数进行优化,从而提升预测的精度和模型的泛化能力。最后,将所有模态分量的预测结果进行整合,得到最终的负荷预测值。实验结果显示,VMD-SWO-RF模型的4个评价指标均表现最佳,MAE为136.59,RMSE为190.52,MAPE为1.55%,R2达0.98。相比VMD-SSA-RF、VMD-RF、RF、KNN、LSTM和SVM模型,VMD-SWO-RF在MAE上分别减少了1.94 kW、8.75 kW、12.31 kW、23.66 kW、13.53 kW和19.19 kW,展现出更小的误差和更高的预测精度,充分验证了其优越性,能够更好挖掘电力负荷数据中的复杂特征关系,在短期电力负荷预测任务中表现出显著优势,具有良好的应用前景。
Abstract: Short-term power load forecasting is of great significance to the safe and stable operation and regulation of power systems in smart grids. This paper proposes a short-term power load forecasting method based on the “decomposition and optimization” framework. First, Variable Mode Decomposition (VMD) is applied to decompose the load data, so as to extract modal components at different time scales. Then, the Random Forest (RF) model is employed to predict each modal component individually, and the Spider Wasp Optimization (SWO) algorithm is integrated to optimize the key hyperparameters of the model, thereby improving the prediction accuracy and the generalization ability of the model. Finally, the prediction results of all modal components are integrated to obtain the final load prediction value. Experimental results show that the VMD-SWO-RF model performs best in all four evaluation metrics: the MAE is 136.59, RMSE is 190.52, MAPE is 1.55%, and R2 reaches 0.98. Compared with the VMD-SSA-RF, VMD-RF, RF, KNN, LSTM, and SVM models, the VMD-SWO-RF reduces the MAE by 1.94 kW, 8.75 kW, 12.31 kW, 23.66 kW, 13.53 kW, and 19.19 kW respectively. It exhibits smaller errors and higher prediction accuracy, fully verifying its superiority. This model can better mine the complex feature relationships in power load data, demonstrates significant advantages in short-term power load forecasting tasks, and possesses promising application prospects.
文章引用:黄峥, 闫聪聪, 安潇文, 巩星博, 袁秋霞. 基于VMD-SWO-RF的短期电力负荷预测研究[J]. 计算机科学与应用, 2026, 16(2): 427-438. https://doi.org/10.12677/csa.2026.162071

1. 引言

在“碳达峰、碳中和”目标的驱动下,推动产业结构优化和能源结构调整,快速发展智慧城市已成为必然趋势。智慧城市的发展离不开智能电网的支撑,它通过实时监控和优化电力分配,提升能源效率,确保城市可持续发展的同时,满足日益增长的能源需求。而电力负荷预测是关键环节,它是电力调度和智能电网管理的决策依据。短期电力负荷预测是根据历史负荷数据以及天气、季节、温度等其他影响因素,预测未来几天的电力需求的过程。精准预测可以为电网运行计划、能源管理、电力资源经济配置、协同调度提供更有效的支持,故对短期电力负荷预测的精度需要达到更高才能满足人们的要求[1]

目前,国内外许多学者针对短期电力负荷预测进行了相关研究,主流的预测方法主要分为传统预测方法和深度学习方法[2]。传统的短期电力负荷预测方法主要包括回归分析法[3]和时间序列法[4]等,这些方法通常采用线性模型预测负荷,在某些场景下存在一定的局限性,其预测精度较低。而基于人工智能的预测算法则包括循环神经网络[5]、模糊预测法[6]和支持向量机[7]等,然而一些算法仍然存在显著的局限性,例如,神经网络面临局部极小值问题、收敛速度慢、应用实例与网络规模之间的矛盾;BP神经网络[8]在预测能力与训练能力上的不匹配、样本依赖性等问题,因此更适合于中期负荷预测[9]-[12]。尽管电力负荷预测算法日益复杂,国内外学者仍在不断探索更为先进和精准的预测方法,以满足不断增长的需求。

基于上述研究,本文通过变分模态分解(VMD) [13]对电力负荷序列进行分解,提取不同时间尺度的模态分量,通过相关性分析选取负荷相关性强的温度和电价数据作为输入,然后建立蜘蛛蜂优化算法(SWO)和随机森林(RF)的短期电力负荷预测模型,将干球温度、露点温度、湿球温度及电价数据作为模型的输入参数,电力负荷的模态分量作为模型输出,且使用SWO优化算法寻找最优的RF模型参数,最后整合每个模态的预测结果得到最终的负荷预测结果。与其他算法模型预测结果进行对比,实验结果表明,本文VMD-SWO-RF电力负荷预测模型与传统预测模型相比,精度明显提高,为电力负荷预测提供一种新的思路和方法。

2. VMD-SWO-RF预测模型建立

通过SWO-RF模型对每个负荷模态分解结果进行预测;最后将所有SWO-RF模型输出结果进行整合,得到最终预测结果,模型框架图如图1所示。

Figure 1. Model framework

1. 模型框架

2.1. VMD基本原理

变分模态分解(VMD)是一种具有模态变分自适应特性并且完全非递归的信号处理方法,能够有效应对非线性和非平稳信号。通过自适应分解给定的信号序列,VMD生成一组确定数量的固有模态函数(IMF),每个IMF都代表信号的一个频率成分。该方法通过计算各模态的中心频率和带宽,自适应地将信号的频域进行分离,以获得问题的全局最优解。类似的信号分解方法最早可追溯到经验模态分解(EMD)。EMD以递归的方式将信号分解为独立的频谱模式,但对噪声和采样非常敏感,并易受到端点效应和模态混叠的影响。相比之下,VMD是一种完全非递归的变分分解方法,同时提取各个模态。VMD通过将模态的中心频率作为优化约束,确保每个模态分量的频率范围明确,从而有效减少模态间的混叠现象。此外,由于VMD采用优化问题求解,其分解过程具有更高的稳定性和更强的收敛性。

VMD算法的基本原理基于两个假设:(1) 信号可以被分解为若干个IMFs的线性组合;(2) 每个IMF在时间和频率上均为局部振荡模式。基于这两个假设,VMD通过优化方法寻找一组IMFs,使其以最优方式重构原始信号。

(1) 原始信号 X( t ) 可以表示为:

X( t )= k=1 K u k ( t )+r( t ) (1)

K表示IFM的数量, u k ( t ) 表示第k个IFM, r( t ) 表示残差。

(2) VMD的优化问题可以形式化表示为最小化成本函数:

J= X( t ) k=1 K u k ( t ) 2 2 +λ k=1 K f ^ k f k 2 2 (2)

第一项表示数据拟合项,使IMFs可以模拟原始信号,第二项表示模态频率保持项,能够约束IMFs的频率保持性, f ^ k 是第k个IMF的估计频率, f k 是预设的中心频率。最终,VMD的目标是通过调整IMFs和残差来最小化成本函数J,达到信号分解目的。

(3) 当分解层数K过大时,可能会引入虚拟分量,使得分量的中心频率分布不集中,导致不必要的噪声模态或误分解的出现。而当K过小时,部分信号成分可能无法充分分解,导致中心频率不能准确分离。VMD算法的模态分解个数是确定的,所以在进行模态分解前要确定该信号的最佳分解层数,根据如下准则:

ω k n+1 = 0 | u ^ k ( ω ) | 2 ωdω 0 | u ^ k ( ω ) | 2 dω (3)

ω k n+1 表示第k个模态的中心频率,表示该模态的主频率成分,第 n+1 次迭代中更新的中心频率。分子部分表示模态k在频域中的加权频率和,权重是频谱功率 | u ^ k ( ω ) | 2 ,即该频率处信号的能量,越高的能量的频率贡献越大。分母部分表示模态k的总能量,将模态归一化,保证最终结果是一个频率值。

(4) 判断中心频率是否收敛的公式如下:

k=1 K u k n+1 ( t ) u k n ( t ) 2 u k n ( t ) 2 <ϵ (4)

u k n ( t ) u k n+1 ( t ) 表示当前模态在n次迭代和 n+1 次迭代中的值, ϵ 表示收敛阈值,通常是很小的值。对于每个模态k计算当前模态与上一迭代模态之间的相对变化,若所有模态的相对变化总和小于阈值 ϵ ,则认为算法收敛,基本流程图如图2所示。

Figure 2. Basic flowchart of the VMD algorithm

2. VMD算法基本流程图

2.2. SWO算法原理

蜘蛛蜂算法(Spider wasp optimization, SWO)模拟了蜘蛛蜂的行为,包括搜索、追捕、筑巢和交配4个阶段,主要应用于求解复杂的优化问题,能够在大规模、高维度的优化问题中获得较好的表现,主要步骤如下:

(1) 初始种群计算公式:

S W i t =L+r×( HL ) (5)

S W i t 为当前时刻t的解,其中i为种群数量,LH分别为初始解的上界和下界,r为[0, 1]的随机向量。

(2) 在搜索阶段,蜘蛛蜂将随机进入定步长的随机探索模式,其计算公式为:

S W i t+1 =S W i t + μ 1 ×( S W a t S W b t ) (6)

S W i t+1 为下一时刻 t+1 的解, μ 1 为系数, S W a t S W b t 为总体中随机选取的个体。

(3) 在进入追捕阶段之后,分为成功捕杀和远离猎物2个状态,其计算公式为:

S W i t+1 =S W i t +C| 2 r 5 S W a t S W i t | (7)

C 为决定黄蜂速度的距离因子, r 5 为[0, 1]之间的随机向量。

(4) 在筑巢阶段,将蜘蛛拖入最适合蜘蛛的区域,其计算公式为:

S W i t+1 =S W * +cos( 2πl )×( S W * S W i t ) (8)

S W * 表示目前得到的最优解。

(5) 交配繁殖出的新个体的计算公式为:

S W i t+1 =Crossover( S W i t ,S W m t , C R ) (9)

Crossover为均匀交叉算子, S W i t 为雄性蜘蛛蜂的向量, C R 为交叉概率。

SWO算法的基本流程如图3所示,其中: r 4 为[0, 1]之间的随机数,N为初始种群,T为当前迭代次数, T max 为最大迭代次数。

Figure 3. Basic flowchart of the SWO algorithm

3. SWO算法基本流程图

2.3. RF算法原理

随机森林(RF)是一种集成学习方法,它通过构建多棵独立的决策树,并将其预测结果进行整合,从而提高模型的准确性并减少过拟合的风险。RF进行电力负荷预测的过程通过构建多个独立的决策树来降低过拟合风险并提高预测精度。首先,使用Bootstrap抽样方法从历史电网负荷数据中随机抽取多个训练子集,每个子集用于训练一棵决策树。在训练过程中,每棵树通过随机选择特征子集来分裂节点,确保模型的多样性和稳定性。对于每个新的预测输入,随机森林将通过所有决策树的输出结果来给出最终预测值。在回归问题中,这个预测值是所有树预测结果的均值。通过集成多个决策树的预测结果,随机森林能够有效提高模型的准确性和鲁棒性,从而在电力负荷预测中取得较好的表现。主要步骤如下:

(1) 采样方法从原始数据集中生成多个子集,每个子集用于训练一棵回归树,采样过程:

D ={ ( x 1 , y 1 ),( x 2 , y 2 ),,( x n , y n ) } (10)

D 是从原始数据集D中使用有放回的方式采样得到的训练子集,每次生成一个新的数据集 D K ,然后用其训练第k棵回归树。

(2) 决策树的构建使用均方误差(MSE)作为节点分裂的标准,公式如下:

MSE( t )= 1 n t i=1 n t ( y i y ^ t ) 2 (11)

n t 表示节点t中样本数量, y i 是样本i的真实标签, y ^ t 是节点t的预测值,即节点中样本标签的均值。

(3) 节点分裂时,选择使得加权平均MSE最小的特征和切分点。假设我们在特征f上进行划分,左子树和右子树的MSE加权平均为:

MSE split = n L n t MSE L + n R n t MSE R (12)

n L n R 是左子树和右子树中的样本数量, MSE L MSE R 分别是左子树和右子树的均方误差。

(4) 每棵回归树的预测值是叶子节点中样本的均值:

y ^ k = 1 n k i=1 n k y i (13)

y ^ k 表示第k棵树的预测值, n k 是第k棵树的叶子节点中的样本数量, y i 是样本i的真实值。

(5) 最终的预测结果 y ^ 是所有树的输出值的均值:

y ^ = 1 k k=1 k y ^ k (14)

Figure 4. Basic flowchart of the RF algorithm

4. RF算法基本流程图

基本流程图如图4所示。

2.4. VMD-SWO-RF模型

为提升电力系统短期负荷预测精度,本文提出一种基于VMD-SWO-RF的电力负荷预测模型。具体模型流程如图5所示:

Figure 5. Flowchart of the VMD-SWO-RF model

5. VMD-SWO-RF模型流程图

步骤1:数据输入,包括负荷数据、气象数据和电价数据。负荷数据通过VMD进行降噪并提取多尺度特性,得到多个IMF分量,通过相关性分析选取对负荷相关性较强的温度和电价数据作为输入。

步骤2:为每个模态分量分别构建一个的SWO-RF预测模型,通过输入温度数据和电价数据对每个模态分量进行预测。

步骤3:将SWO-RF模型模态分量的预测结果进行整合,得到电力负荷的最终预测值。

步骤4:通过模型评价指标MAE、RMSE、MAPE和R2对模型进行全面评价,验证本文提出的VMD-SWO-RF负荷预测模型在短期负荷预测中的准确性。

3. 实例验证与结果分析

3.1. 相关性分析

为了验证VMD-SWO-RF预测模型对短期电力负荷的预测结果,选取澳大利亚某地区2006年1月1日~2006年12月31日的历史实测数据集(数据来源于gitcode),如下表1所示,数据包括每0.5 h记录一次的干球温度、露点温度、湿球温度、相对湿度、电价和电力负荷数据,通过相关性分析,挑选对负荷影响程度大的特征作为模型输入。

Table 1. Historical measured dataset

1. 历史实测数据集

日期

干球温度(℃)

露点温度(℃)

湿球温度(℃)

相对湿度(%)

电价(元/kWh)

负荷(kW)

2016.1.1 0:00

23.9

21.7

22.4

87.5

19.7

8013

2016.1.1 0:30

23.8

21.7

22.4

88

18.6

7726

2016.12.31 23:30

23.5

20.6

15.2

17.4

17.1

7319

各特征变量相关性如图6所示。

Figure 6. Results of correlation analysis

6. 相关性分析结果

由相关性结果可以看出,干球温度、露点温度、湿球温度、电价数据与电力负荷之间存在较高相关性,相对湿度与负荷之间相关性不强,所以后面模型预仅考虑干球温度、露点温度、湿球温度和电价对电力负荷的影响,不考虑相对湿度对电力负荷的影响。

3.2. VMD分解

原始电力负荷数据如图7所示,并对数据进行数据缺失值处理、异常值检测与处理等。

Figure 7. Original load data

7. 原始负荷数据

本研究严格遵循防泄露实验流程,先按时间顺序将前80%的数据作为训练集,后20%的数据作为测试集,再进行VMD分解:所有分解参数,如最佳模态数K,均仅基于训练集数据通过中心频率法确定,测试集数据在VMD预处理阶段完全不可见,其分解过程直接复用训练集优化后的VMD参数,不引入任何测试集自身信息。

VMD的分解效果受到分解层数K的影响。分解层数较多时,会产生混频现象;分解层数较少时,原始信号的信息容易丢失。本文通过中心频率法来获得最佳分解层数K,当K为4和5时,中心频率均在0.35左右。表明K为4时,中心频率稳定,此时的K值为最佳K值,VMD分解结果如图8所示。

Figure 8. VMD decomposition results

8. VMD分解结果

通过对电力负荷数据进行VMD分解,生成的IMF分量清晰地展现了负荷数据中不同频率的特性,为短期负荷预测提供了多尺度分析的优势。从分解结果来看,高频IMF1能够反应短期趋势特征,降低原始数据中的噪声干扰;中频IMF2和IMF3捕捉了负荷数据的短期和中期周期性变化,如日内用电波动或者工作日与周末的电力周期性特征;低频IMF4则提取了负荷的季节性变化。

3.3. 评估指标

为了更加精确地评价模型性能,本文采用平均绝对误差(MAE)、均方根误差(RMSE)、平均绝对百分比误差(MAPE)以及R2用于评估所提模型的预测性能。公式如下所示:

MAE= 1 n i=1 n | y ^ i y i | (15)

RMSE= 1 n i=1 n ( y ^ i y i ) 2 (16)

MAPE= 1 n i=1 n | y ^ i y i | y i (17)

其中n是样本总数, y ^ i 描述预测值, y i 是观测值, y ¯ i 是平均值。

3.4. VMD-SWO-RF模型预测结果

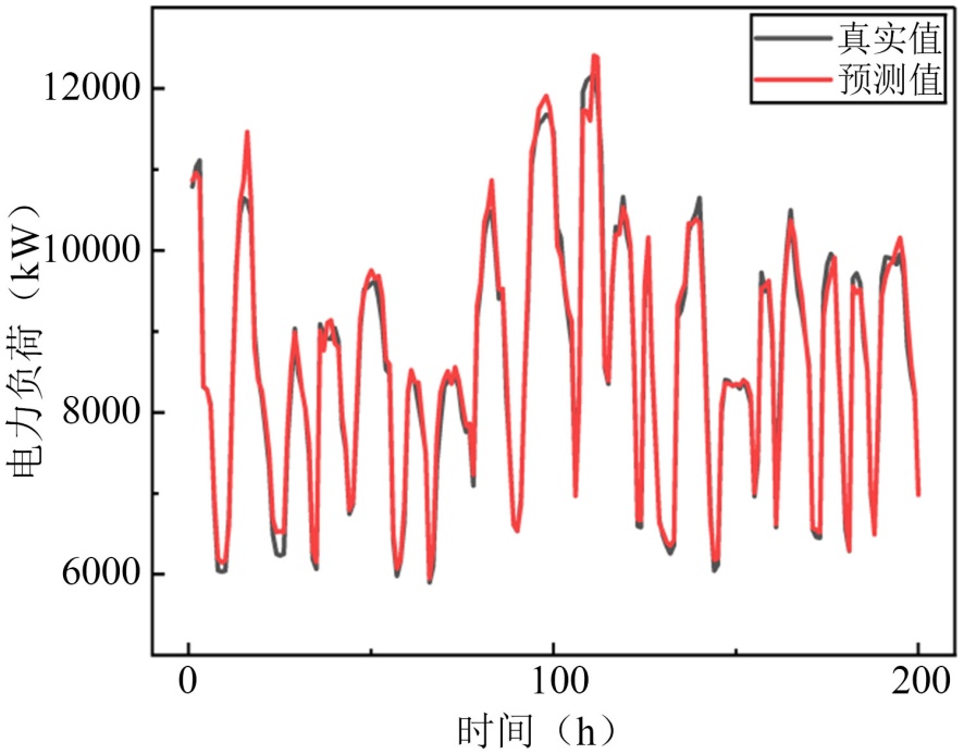
通过对2006年1月1日~2006年12月31日的数据建立模型进行预测,每0.5小时一个采样点,共17500多条电力负荷数据,采用80%作为训练集,20%作为测试集。通过模型预测输出模型评价指标及预测结果来判断VMD-SWO-RF模型的准确性。最终VMD-SWO-RF模型的R2值为0.98,MAE为136.59,RMSE为190.52,MAPE为1.55%,如图9所示前200个测试点进行展示,由结果可知预测模型具有较高的准确性。

Figure 9. Prediction results of the VMD-SWO-RF model

9. VMD-SWO-RF模型预测结果图

3.5. 结果对比

为了验证本文提出的VMD-SWO-RF负荷预测模型在短期负荷预测中的有效性和准确性,本节将VMD-SWO-RF算法与VMD-SSA-RF、VMD-RF、RF、KNN、LSTM和SVM经典算法进行对比。预测结果的评估指标如表1所示。从表2可以看出,VMD-SWO-RF模型在MAE、RMSE、MAPE和R2四个评价指标上均优于其他模型。在MAE方面,VMD-SWO-RF模型比VMD-SSA-RF减少了1.94 kW,比VMD-RF减少了8.75 kW,比RF减少了12.31 kW,相比KNN、LSTM和SVM则分别减少了23.66 kW、13.53 kW和19.19 kW。总体来看,VMD-SWO-RF算法具有更小的误差和更高的预测精度,如图10图11所示。

Table 2. Error comparison of different models

2. 不同模型误差对比

算法

MAE

RMSE

MAPE/%

R2

VMD-SWO-RF

136.59

190.52

1.55

0.98

VMD-SSA-RF

138.53

195.34

1.63

0.96

VMD-RF

145.34

200.48

1.75

0.96

RF

148.9

205.13

1.85

0.95

KNN

160.25

220.10

2.1

0.93

LSTM

150.12

210.75

1.85

0.95

SVM

155.78

215.9

2.05

0.94

Figure 10. Comparison of MAE and RMSE error results among different models

10. 不同模型MAE和RMSE误差结果对比

Figure 11. Comparison of MAPE error results among different models

11. 不同模型MAPE误差结果对比

4. 结论

为了解决传统预测方法精度不佳的问题,本文建立了一种VMD-SWO-RF预测模型,该模型通过采用VMD将负荷数据分解为4个IMF模态分量,将温度气象参数及电价数据作为模型的输入参数,每个模态分量作为模型输出,最后整合每个模态的预测结果得到最终的负荷预测结果。该模型能够充分利用气象信息、电价数据信息特征,提升模型对电力负荷预测能力和准确性。通过不同模型误差的对比展示了良好的预测效果,验证了所提模型的优越性能。

(1) 通过采用变分模态分解(VMD)方法对电力负荷数据进行分解,能够更高效地提取电力负荷时间序列中的振荡模式,从而显著提升信号的可解释性和预测性能。

(2) 在VMD-RF模型中引入SWO优化算法,对RF模型的超参数进行寻优,减少了人工调整超参数的时间和精力,通过SWO算法选择的最佳超参数组合提升了模型的预测准确性。

(3) 最终的VMD-SWO-RF模型能够处理多维时序数据,电力负荷受到多种因素的影响,例如季节性、天气等,这些因素可视为不同维度的时序特征,VMD-SWO-RF模型能够更有效地挖掘这些影响因素之间的复杂关联,从而提升预测的精度。通过对比不同模型预测结果,进一步验证了本文提出的VMD-SWO-RF模型的短期电力负荷预测的准确性。

NOTES

*通讯作者。

参考文献

[1] 孔祥玉, 马玉莹, 艾芊, 等. 新型电力系统多元用户的用电特征建模与用电负荷预测综述[J]. 电力系统自动化, 2023, 47(13): 2-17.
[2] 雷绍兰, 孙才新, 周湶, 等. 电力短期负荷的多变量时间序列线性回归预测方法研究[J]. 中国电机工程学报, 2006(2): 25-29.
[3] 邓斌, 张楠, 王江, 等. 基于LTC-RNN模型的中长期电力负荷预测方法[J]. 天津大学学报(自然科学与工程技术版), 2022, 55(10): 1026-1033.
[4] Goehry, B., Goude, Y., Massart, P. and Poggi, J. (2020) Aggregation of Multi-Scale Experts for Bottom-Up Load Forecasting. IEEE Transactions on Smart Grid, 11, 1895-1904. [Google Scholar] [CrossRef
[5] Wang, Y., Gan, D., Sun, M., Zhang, N., Lu, Z. and Kang, C. (2019) Probabilistic Individual Load Forecasting Using Pinball Loss Guided LSTM. Applied Energy, 235, 10-20. [Google Scholar] [CrossRef
[6] 黄锦增, 段炼, 邓祺. 基于模糊概率的微电网短期负荷预测方法[J]. 微型电脑应用, 2023, 39(4): 187-190.
[7] 吴景龙, 杨淑霞, 刘承水. 基于遗传算法优化参数的支持向量机短期负荷预测方法[J]. 中南大学学报(自然科学版), 2009, 40(1): 180-184.
[8] 张晋轩, 柳影, 黄冬梅. 基于改进BP神经网络法电力负荷短期预测[J]. 武汉理工大学学报, 2021, 43(1): 103-106.
[9] 余志成, 孙皓月, 张碧宁. 基于ARIMA和SVR的短期电力负荷预测[J]. 河北建筑工程学院学报, 2023, 41(3): 189-196.
[10] 白星振, 赵康, 葛磊蛟, 等. 基于EWT-GRU-RR的配电网短期电力负荷预测模型[J]. 山东科技大学学报(自然科学版), 2023, 42(5): 77-87.
[11] 沈旃葳, 吴细秀, 罗格帅, 等. 基于EMD-BiLSTM的短期电力负荷预测研究[J]. 武汉理工大学学报, 2024, 46(2): 141-149.
[12] 周思明, 段金长, 李颖杰, 等. 一种改进的SVM短期电力系统负荷预测方法[J]. 沈阳工业大学学报, 2023, 45(6): 661-665.
[13] 王寅超, 蒋本建, 韩东, 等. 基于变分模态分解(VMD)数据分解的多通道短期电力负荷预测模型[J]. 流体测量与控制, 2024, 5(3): 25-31.