髋关节置换术后脱位的多因素分析和列线图 预测模型的构建
Multifactorial Analysis and Construction of a Nomogram Prediction Model for Dislocation after Hip Arthroplasty
摘要: 目的:对髋关节置换术(THA)后发生假体脱位的情况及其相关危险因素进行探讨,构建出THA术后发生假体脱位的列线图预测模型。方法:采用回顾性分析法,对2021年1月至2024年12月在安徽医科大学附属六安医院接受髋关节置换手术的555名患者的临床资料进行研究,记录髋关节脱位情况,脱位患者均由髋关节X线片检查确诊,依照THA术后是否发生脱位,将患者分为非脱位组(515例)和脱位组(40例),通过多因素Logistic回归分析术后脱位发生的危险因素,构建列线图预测模型,对THA术后假体脱位进行预测,进而对该预测模型的有效性和可靠性进行验证。结果:555例行髋关节置换术治疗患者术后脱位的发生率为7.21% (40/555),经多因素Logistic回归分析显示,性别为女性、高龄、有肢体或精神疾病、后外侧入路、假体放置在安全区外、人工股骨头直径较小、既往有髋部手术史均是导致THA术后关节脱位的危险因素(P < 0.05)。THA术后假体脱位的列线图模型的校正曲线基本与理想曲线一致,受试者工作特征曲线下面积(AUC)为0.961 (95% CI: 0.925~0.997),表明该模型能够准确地预测THA术后假体脱位的风险。结论:性别为女性、高龄、有肢体或精神疾病、后外侧入路、假体放置在安全区外、人工股骨头直径较小、既往有髋部手术史均是THA术后假体脱位的影响因素,通过建立预测模型,可以较好地预测THA术后假体脱位的风险,临床上可据此制定个性化的干预措施,减少THA术后假体脱位的发生。
Abstract: Objective: To explore the occurrence of prosthesis dislocation following total hip arthroplasty (THA) and its associated risk factors, and to construct a nomogram prediction model for prosthesis dislocation after THA. Methods: A retrospective analysis was conducted on the clinical data of 555 patients who underwent hip replacement surgery at the Affiliated Lu’an Hospital of Anhui Medical University from January 2021 to December 2024. The occurrence of hip dislocation was documented, with all dislocations confirmed by hip X-ray examination. Based on whether dislocation occurred after THA, the patients were divided into a non-dislocation group (515 cases) and a dislocation group (40 cases). Risk factors for postoperative dislocation were identified through multivariate logistic regression analysis, and a nomogram prediction model was constructed to predict prosthesis dislocation after THA. Subsequently, the validity and reliability of this prediction model were validated. Results: The postoperative dislocation incidence was 7.21% (40/555). Multivariate logistic regression analysis revealed that female gender, advanced age, presence of limb or mental disorders, posterolateral surgical approach, prosthesis placement outside the safe zone, smaller artificial femoral head diameter, and a history of previous hip surgery were all risk factors for joint dislocation after THA (P < 0.05). The calibration curve of the nomogram model for prosthesis dislocation after THA is essentially consistent with the ideal curve. The area under the receiver operating characteristic curve (AUC) was 0.961 (95% confidence interval [CI]: 0.925~0.997), indicating excellent predictive accuracy. Conclusion: Female gender, advanced age, presence of limb or mental disorders, posterolateral surgical approach, prosthetic placement outside the safe zone, small artificial femoral head diameter, and a history of prior hip surgery are all influencing factors for prosthetic dislocation after total hip arthroplasty (THA). By establishing a prediction model, the risk of prosthetic dislocation after THA can be effectively predicted, enabling the development of personalized intervention measures in clinical practice to reduce the incidence of prosthetic dislocation following THA.
文章引用:蔚涛, 曹志, 窦强兵. 髋关节置换术后脱位的多因素分析和列线图 预测模型的构建[J]. 临床医学进展, 2026, 16(2): 3028-3037. https://doi.org/10.12677/acm.2026.162715

1. 引言

全髋关节置换术(THA)是一种通过人工关节替换严重受损髋关节的手术,是治疗终末期髋关节病最成功的手术之一,能够显著改善患者的疼痛和功能障碍,疗效确切[1]。随着临床治疗发现,髋关节置换术后部分患者易发生关节脱位,且多发生于术后3个月内,这不仅是手术失败的常见因素之一,也是髋关节假体需要修复的主要原因[2]。脱位的发生不仅对患者的心理和生活质量带来了较大负面影响,也严重影响病人康复进程[3]。研究显示,年龄、手术方式以及合并疾病等均被证实与脱位风险密切相关[4],因此探讨THA术后脱位的相关影响因素,并制定有效的干预措施,对降低术后脱位的发生率有重大意义,同时构建列线图模型通过整合患者的多项风险因素,可提供直观的量化评分,帮助医生预测特定患者术后脱位的概率,这有助于制定个性化的预防措施,降低假体脱位的风险。

2. 资料与方法

2.1. 研究对象

选择2021年1月至2024年12月于我院就诊并行髋关节置换术的555例患者作为研究对象,其中男436例,女119例,记录髋关节脱位情况,按患者术后是否发生脱位分组,将其分为脱位组(40例)和非脱位组(515例)。

2.2. 纳入标准与排除标准

纳入标准:1) 患者及家属接受THA手术治疗并签署知情同意书;2) 顺利完成THA手术,术后随访1年;3) 临床资料完整;4) 依从性好,愿意配合本研究并接受随访;5) 年龄 ≥ 18岁。

排除标准:1) 合并严重胸、肺、脑等基础疾病;2) 肝肾功能存在严重障碍;3) 合并凝血性疾病;4) 日常生活能力差,术后不能进行正常功能恢复锻炼患者;5) 由于各种原因未完成随访者。

2.3. 资料收集

收集患者的临床资料。包括性别、年龄、有无肢体或精神疾病、入路方式、假体放置位置、人工股骨头直径、有无合并髋部手术史,术后有无输血及病因类型。

2.4. 统计学方法

先对计量数据进行正态检验,正态分布数据以均数 ± 标准差表示,组间比较采用独立样本t检验;非正态分布数据以中位数(四分位数)表示,组间比较采用Mann-Whitney U检验。分类变量以频数(百分比)表示,组间比较使用卡方检验或Fisher精确检验。针对术后假体脱位的潜在影响因素进行单因素分析,以筛选与脱位显著相关的变量。多因素回归模型通过最大似然估计计算回归系数、标准误、OR值及其95%置信区间,以识别独立危险因素。基于多因素回归结果,构建列线图以量化各自变量对术后脱位风险的贡献。模型预测能力通过受试者的工作特征(ROC)曲线评估,对曲线下的面积(AUC)、灵敏度、特异度等进行计算;模型校准性通过Bootstrap自助法绘制校准曲线,并计算平均绝对误差和平均平方误差,以验证预测概率与实际概率的一致性。全部检验均为双侧检验,以P < 0.05为差异有统计学意义。

3. 结果

3.1. 髋关节置换术后脱位的单因素分析

555例髋关节置换术治疗的患者中有40例术后脱位,术后脱位发生率为7.21%,根据患者术后是否脱位分为脱位组(40例)和非脱位组(515例)。单因素分析的结果表明,两组在性别、年龄、有无肢体或精神疾病、入路方式、假体放置位置、人工股骨头直径、髋部手术史等方面的差异具有统计学意义(P < 0.05),而两组患者的输血史和病因对比差异没有统计学意义(P > 0.05)。见表1

Table 1. Comparison of baseline characteristics between the two groups

1. 两组一般资料比较

指标

未脱位组(N = 515)

脱位组(N = 40)

χ2/Z统计量

P值

性别

91.543

<0.001

86 (16.7%)

33 (82.5%)

429 (83.3%)

7 (17.5%)

年龄

66.00 (58.00, 74.00)

77.00 (70.00, 79.00)

6.49

<0.001

肢体或精神疾病

38.478

<0.001

497 (96.5%)

29 (72.5%)

18 (3.5%)

11 (27.5%)

后外侧入路

16.338

<0.001

380 (73.8%)

17 (42.5%)

135 (26.2%)

23 (57.5%)

假体放置位置

43.104

<0.001

安全区内

425 (82.5%)

15 (37.5%)

安全区外

90 (17.5%)

25 (62.5%)

人工股骨头直径

32.00 (32.00, 32.00)

28.00 (28.00, 32.00)

-3.847

<0.001

髋部手术史

10.568

<0.001

355 (68.9%)

17 (42.5%)

160 (31.1%)

23 (57.5%)

术后输血

0.033

0.856

425 (82.5%)

34 (85%)

90 (17.5%)

6 (15%)

创伤性病因

0.184

0.668

308 (59.8%)

22 (55%)

207 (40.2%)

18 (45%)

3.2. 髋关节置换术后脱位的多因素分析

对纳入模型的自变量进行了统一编码与赋值。列出各变量的名称、类型及具体赋值方式。见表2。性别、肢体或精神疾病、后外侧入路、假体放置位置、以及既往髋部手术史均为分类变量,其中性别以女性为参考组(0 = 女,1 = 男),肢体或精神疾病、后外侧入路、假体放置位置及既往髋部手术史均以无或否为参考组(0 = 无/否,1 = 有/是);年龄与人工股骨头直径为连续变量,分别使用原始数值进行建模。

对单因素分析中显著的变量纳入到多因素logistic回归分析中,结果显示,性别、年龄、有无肢体或精神疾病、入路方式、假体放置位置、人工股骨头直径、髋部手术史均是发生髋关节置换术后脱位的影响因素(P < 0.05)。见表3

Table 2. Variable assignments

2. 变量赋值表

变量名称

类型

赋值方式

性别

分类变量

0 = 女,1 = 男

年龄

连续变量

原始数值(岁)

肢体或精神疾病

分类变量

0 = 无,1 = 有

后外侧入路

分类变量

0 = 否,1 = 是

假体放置位置

分类变量

0 = 安全区内,1 = 安全区外

人工股骨头直径

连续变量

原始数值(mm)

既往髋部手术史

分类变量

0 = 无,1 = 有

Table 3. Multivariate logistic regression analysis of prosthesis dislocation

3. 假体脱位的多因素逻辑回归分析

自变量

β系数

SE标准误

z统计量

OR (95% CI)

P值

性别

−2.4

0.583

−4.114

0.09 (0.03, 0.28)

<0.001

年龄

0.155

0.045

3.47

1.17 (1.07, 1.27)

<0.001

肢体或精神疾病

1.95

0.755

2.581

7.03 (1.60, 30.87)

0.01

后外侧入路

2.167

0.602

3.598

8.73 (2.68, 28.42)

<0.001

假体放置位置

2.773

0.6

4.619

16.00 (4.93, 51.90)

<0.001

人工股骨头直径

−0.312

0.134

−2.321

0.73 (0.56, 0.95)

0.02

髋部手术史

1.765

0.553

3.193

5.84 (1.98, 17.25)

0.001

3.3. 髋关节置换术后脱位的列线图风险预测模型

在R软件中引入上述7个危险因素来预测髋关节置换术后脱位的列线图模型。其中,性别、有无肢体或精神疾病、入路方式、假体放置位置及既往髋部手术史为分类变量,按照前述赋值方式进行编码;年龄与人工股骨头直径为连续变量,使用原始数值。列线图通过将每个自变量的回归系数转换为对应的评分点数,总分与脱位概率一一对应,见图1。为了评估多因素逻辑回归模型在预测髋关节置换术后假体脱位方面的能力,构建了受试者工作特征(ROC)曲线。结果显示该模型的预测性能优异,曲线下面积(AUC)为0.961,95%置信区间为0.925~0.997,提示模型具有极高的区分能力。见图2

Figure 1. Nomogram for predicting the risk of prosthesis dislocation

1. 假体脱位风险列线图

Figure 2. ROC curve of the nomogram model

2. 列线图模型的ROC曲线

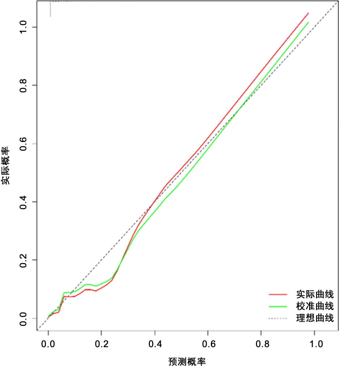
Figure 3. Calibration curve of the nomogram model

3. 列线图模型的校正曲线

为评价多因素预测模型的校准能力,即模型预测概率与实际发生概率的一致性,基于lrm函数构建了校准曲线,并采用自助法(Bootstrap,B = 1000次重采样)进行内部验证。结果表明,校准曲线整体靠近对角线,这显示模型预测的概率与实际观察的概率高度一致。平均绝对误差(Mean absolute error, MAE)为0.01,平均平方误差(Mean squared error, MSE)为0.00033,绝对误差0.9分位数为0.023,进一步提示模型预测精度较高,偏倚较小。见图3

4. 讨论

髋关节连接躯干与下肢,是人体最大、最稳定的承重关节之一。它的主要功能是支撑身体的重量,并实现下肢在三维空间内广泛而灵活的运动,如行走、奔跑、下蹲和转身等。髋关节的稳定性依赖于骨性结构、关节囊、韧带以及周围肌肉的协同作用。例如,股骨颈区域的结构特征,如髋臼缘与股骨头的匹配以及股骨颈角度,都对关节的力学稳定性至关重要[5]。此外,髋部周围肌肉,特别是髋外展肌群的力量和协调性,对于维持骨盆稳定和减轻关节压力具有重要影响,这些软硬组织的完整性和功能状态决定了髋关节的承重和运动能力[6]。髋关节在日常活动中需要承受较高的机械负荷,完成复杂的运动,因而容易受到损伤和退行性病变的影响[7]。全髋关节置换术(THA)是一种通过人工假体替换损伤或病变的髋关节的外科手术,可有效缓解患者疼痛、恢复关节功能并改善患者生活质量,尽管材料、植入物设计和手术技术的进步显著降低了全髋关节置换术的脱位率,但术后脱位仍然是重建性关节手术中的主要问题,它会对患者造成二次伤害,增加痛苦,延长治疗时间,直接影响患者病情康复,对患者及医疗系统均是重大经济负担[8]。因此,明确髋关节置换术后脱位的危险因素,建立列线图预测模型,对于早期进行针对性的干预与治疗意义重大。

在本研究中共有40人发生假体脱位,假体脱位发生率为7.21%,通过多因素Logistic回归分析结果显示,性别为女性、高龄、有肢体或精神疾病、后外侧入路、假体放置在安全区外、人工股骨头直径较小、既往有髋部手术史是发生全髋关节置换术后脱位的影响因素。本研究中脱位组女性患者占比高于非脱位组,分析原因可能与女性骨盆的解剖特征、髋臼的覆盖范围以及软组织的松弛性密切相关。与男性相比,女性的骨盆入口和出口更为宽广,髋臼的解剖角度及覆盖面积也存在一定差异。这些解剖学上的特点可能会对关节的生物力学性能及假体的稳定性产生影响,从而提升术后脱位的风险。此外,由于女性的激素水平及结缔组织的特性,软组织的弹性较高,可能导致周围肌肉和韧带的支撑能力相对减弱,进而增加了髋关节的不稳定性。就年龄而言,本研究中脱位组年龄中位数高于非脱位组,高龄作为髋关节置换术后脱位的高危因素一直备受各国学者讨论,这可能与骨质状况密切相关[9]。分析原因可能是骨质疏松是高龄患者常见的病理状态,骨密度降低影响假体的稳定性和骨整合,从而增加脱位风险。其次,高龄患者神经反射迟钝及肌肉力量减弱,会导致髋关节周围软组织的稳定性下降,股骨周围肌群功能障碍,特别是髋关节外旋肌的肌力减弱,极大地增加了脱位的风险[10]。有研究表明,合并肢体疾病如偏瘫,帕金森病或合并精神疾病如痴呆,精神分裂症的患者更易发生假体脱位[11],这主要是因为这类患者相对较低的患处和周围肌肉张力,以及手术后较难进行髋关节锻炼、有较高的关节脱位风险,这与本研究中脱位组有肢体或精神疾病患者占比大于非脱位组的结论具有一致性。手术入路的选择和术后假体脱位有密切的联系,后外侧入路一直是全髋关节置换术的临床常规入路方式,因其良好的手术暴露和便捷的操作而被广泛采用[12],但该入路损伤了外旋肌群和后方关节囊,破坏了髋关节后方的稳定性,相比于其他入路脱位的风险更高[13]。相比之下,前外侧入路通过较少损伤臀中肌和臀小肌等关键肌肉结构,较好地保护了髋关节外展肌群功能,有助于避免术后跛行和肌力下降,降低了术后脱位的风险[14],这与本研究中脱位组后外侧入路的患者占比高于非脱位组的结论相符,因此在手术前应该对患者进行综合评估,包括患者解剖特点和整体健康状况,根据评估结果选择合适的手术入路方案至关重要。传统的Lewinnek安全区提供了假体放置角度的初步指导,在前倾角约为15˚± 10˚、外展角约为40˚ ± 10˚的范围内被认为是较为安全的,放置在该区域内能够降低脱位风险[15]。根据一项大型数据库分析提示,术后两年内,假体脱位发生率约为2.3%,其中假体位置在安全区外是重要的危险因素之一[16]。当假体放置在安全区外时,前倾角过小可能导致假体后脱位风险增加,而前倾角过大则可能引起假体前脱位或撞击症状。外展角增加则边缘负荷增加,臼杯与股骨头接触面积减小易远期骨溶解、假体松动,而外展角减小虽然能够使假体碰撞减少,但会使荷载转移,髋关节活动受到限制,术后脱位风险大大增加。此外,前倾角和外展角的异常也会影响假体的生物力学性能,导致假体与周围组织的冲突和磨损,加重脱位可能性[17]。较大直径的股骨头在髋关节置换术后显著降低脱位率,这主要归因于其对关节稳定性的增强和活动范围的扩展。首先,较大股骨头直径增加了所谓的“跳出距离”(jump distance),即股骨头从髋臼中脱位所需移动的距离。跳出距离的增加直接提高了关节的稳定性,减少了脱位的可能。同时大直径股骨头对软组织张力失衡的补偿作用,使其在复杂病例和高危患者中更具优势。王勇[18]等人研究发现股骨头直径与术后脱位有关,直径越大越不容易脱位,Valtteri J Panula [19]等人的研究指出30 mm及以上的股骨头直径相较于较小直径,脱位率显著降低,上述研究均与本研究中脱位组人工股骨头直径中位数低于非脱位组的结论相一致。本研究中脱位组患者中有髋关节手术史的患者比例高于非脱位组患者,这表明存在髋关节手术史是全髋关节置换术后假体脱位的危险因素,李志昌[20]等认为有髋关节手术史的患者术后存在软组织张力降低或肢体长度未完全恢复的问题,这些均会导致髋关节的稳定性下降,行全髋关节置换手术后容易脱位。

列线图是一种基于多因素回归分析的图形工具,可实现对不良临床事件发生风险的个体化预测,从而帮助临床医生迅速完成患者风险的量化评估,辅助制定个性化的诊疗决策[21]。本研究通过分析髋关节置换术后脱位的独立危险因素,并整合各项指标构建预测发生术后脱位的列线图模型。预测发生髋关节置换术后假体脱位的AUC值为0.961 (95% CI: 0.925~0.997),表明了该模型在预测髋关节置换术后假体脱位的有效性。构建髋关节置换术后脱位的列线图模型完美实现了风险的个体化和可视化管理,具有极其重要的临床意义,传统上医生主要依据临床经验和相对零散的高危因素来评估风险,但列线图的构建可将这些因素量化整合后提供一个精确的风险概率值,不仅可以辅助医生选择手术方案,还可以改善医患沟通和加强患者知情同意,患者通过可视化的模型了解到自己的具体风险时,他们能避免高风险活动,积极配合术后康复锻炼,增强参与感和依从性。此外,医护人员可为不同风险级别的患者制定不同的护理方案,针对高风险的患者,可采取更严格的预防措施,降低术后脱位的发生率。

5. 总结

综上所述,性别为女性、高龄、有肢体或精神疾病、后外侧入路、假体放置在安全区外、人工股骨头直径较小、既往有髋部手术史均是THA术后假体脱位的重要危险因素。借助于列线图模型的构建,对患者进行全面评估与风险分层,从而制定个性化的预防及治疗策略,促进髋关节置换术的临床应用水平的提高,可以减少脱位的发生。然而,本研究仍存在一定的不足,本研究假体脱位发生率为7.21%,高于国际平均水平,这一差异是患者因素、技术选择与特定临床背景共同作用的结果,部分患者因高龄且同时合并肢体及精神疾病,术后依从性差,难以遵守防脱位禁忌,更易发生脱位,在复杂病例上,为了追求充分松解或臼杯覆盖,在初始稳定性上有所牺牲,且患者均来自于单中心回顾性研究,较高的脱位率可能受到数据收集期间特定临床实践模式的影响,同时样本量的限制易导致选择偏倚和模型过拟合现象的出现,其次,数据的异质性不足限制了模型的泛化能力,因此未来需要大样本量多中心的进一步验证,完善验证体系的建设,提升列线图模型的临床适用性及实用价值。

NOTES

*通讯作者。

参考文献

[1] 詹剑锋, 江燕梅, 俞志平. 髋关节置换术后实施后侧软组织修复术与后外侧结构重建对髋关节功能的影响[J]. 透析与人工器官, 2025, 36(2): 1-4.
[2] 马俊平. 髋关节置换术后脱位情况及其相关危险因素分析[J]. 内蒙古医学杂志, 2021, 53(1): 69-70.
[3] 郑志博, 冯宾, 董玉雷, 等. 全髋关节置换术后脱位因素分析及防治策略[J]. 中华骨与关节外科杂志, 2016, 9(3): 198-203.
[4] Janz, V., Wassilew, G., Putzier, M., Kath, G. and Perka, C. (2021) Identification of Risk Factors for Treatment Failure of Closed Reduction and Abduction Bracing after First-Time Total Hip Arthroplasty Dislocation. Archives of Medical Science, 18, Article No. 133. [Google Scholar] [CrossRef] [PubMed]
[5] Zhou, X., Jia, J. and Lian, K. (2024) Structural Characteristics, Biomechanics and Clinical Significance of Calcar Femorale: A Review. Medicine, 103, e38323. [Google Scholar] [CrossRef] [PubMed]
[6] Murata, Y., Kida, N., Jiromaru, T., Wachi, M., Yoshikawa, K., Noguchi, S., et al. (2025) Effects of Ankle Joint Angles and Surrounding Muscles on Hip Joint Musculature. Journal of Functional Morphology and Kinesiology, 10, Article No. 110. [Google Scholar] [CrossRef] [PubMed]
[7] 张景良, 刘新宇, 原所茂, 等. 髋关节疾病合并腰椎退行性疾病(髋腰综合征)误诊误治的原因分析[J]. 山东大学学报(医学版), 2022, 60(5): 67-73.
[8] Li, P., Tang, H., Liu, X., Chen, Z., Zhang, X., Zhou, Y., et al. (2021) Reconstruction of Severe Acetabular Bone Defects with Porous Metal Augment in Total Hip Arthroplasty: A Finite Element Analysis Study. Proceedings of the Institution of Mechanical Engineers, Part H: Journal of Engineering in Medicine, 236, 179-187. [Google Scholar] [CrossRef] [PubMed]
[9] Delsmann, M.M., Strahl, A., Mühlenfeld, M., Jandl, N.M., Beil, F.T., Ries, C., et al. (2021) High Prevalence and Undertreatment of Osteoporosis in Elderly Patients Undergoing Total Hip Arthroplasty. Osteoporosis International, 32, 1661-1668. [Google Scholar] [CrossRef] [PubMed]
[10] Ito, Y., Suzuki, D., Kizawa, F., Kanaizumi, A., Hiraiwa, T., Tamura, T., et al. (2025) Comparison of External Rotation Torque of Short External Rotator Muscles in Hip Flexion Position. Journal of Orthopaedic Research, 43, 1655-1665. [Google Scholar] [CrossRef] [PubMed]
[11] Sánchez, M., Anitua, E., Azofra, J., et al. (2008) Intra-Articular Injection of an Autologous Preparation Rich in Growth Factors for the Treatment of Knee OA: A Retrospective Cohort Study. Clinical and Experimental Rheumatology, 26, 910-913.
[12] 马邹, 张上上, 张鹏, 等. 微创直接前侧入路与后外侧入路髋关节置换术治疗股骨颈骨折的效果对比观察[J]. 国际骨科学杂志, 2022, 43(5): 307-313.
[13] 龚保军, 窦强兵, 李行星, 等. 后外侧结构重建对后外侧入路全髋关节置换术后早期脱位的影响[J]. 骨科, 2019, 10(2): 101-104.
[14] Billuart, F., Lalevée, M., Brunel, H., Van Driessche, S., Beldame, J. and Matsoukis, J. (2022) MRI Assessment of Minimally Invasive Anterolateral Approaches in Total Hip Arthroplasty. Orthopaedics & Traumatology: Surgery & Research, 108, Article ID: 103356. [Google Scholar] [CrossRef] [PubMed]
[15] Chen, J.X., Yu, Z.Y., Cheng, Q.X., et al. (2022) Application of Personalized Digital Analog Assisted Acetabular Prosthesis Precise Implantation in Crowe Type Ⅰ and Ⅱ Hip Dysplasia. China Journal of Orthopaedics and Traumatology, 35, 605-609.
[16] Gillinov, S.M., Joo, P.Y., Zhu, J.R., Moran, J., Rubin, L.E. and Grauer, J.N. (2022) Incidence, Timing, and Predictors of Hip Dislocation after Primary Total Hip Arthroplasty for Osteoarthritis. Journal of the American Academy of Orthopaedic Surgeons, 30, 1047-1053. [Google Scholar] [CrossRef] [PubMed]
[17] Kostewicz, M., Zaczyk, M. and Szczęsny, G. (2025) Predisposition of Hip Prosthesis Component Positioning on Dislocation Risk: Biomechanical Considerations Based on Finite Element Method Analysis. Journal of Clinical Medicine, 14, Article No. 7056. [Google Scholar] [CrossRef
[18] 王勇, 孙俊英, 蒋建农, 等. 股骨头假体直径与全髋关节置换术后脱位的关系[J]. 中国矫形外科杂志, 2010, 18(1): 30-33.
[19] Panula, V.J., Ekman, E.M., Venäläinen, M.S., Laaksonen, I., Klén, R., Haapakoski, J.J., et al. (2020) Posterior Approach, Fracture Diagnosis, and American Society of Anesthesiology Class III-IV Are Associated with Increased Risk of Revision for Dislocation after Total Hip Arthroplasty: An Analysis of 33,337 Operations from the Finnish Arthroplasty Register. Scandinavian Journal of Surgery, 110, 351-358. [Google Scholar] [CrossRef] [PubMed]
[20] 李志昌, 李儒军, 柯岩, 等. 人工髋关节置换术后股骨假体周围骨折的分型与治疗[J]. 中华骨科杂志, 2017, 37(15): 952-960.
[21] 王树相, 陈鑫磊, 徐超. 个体化预测老年髋部骨折患者术后谵妄风险[J]. 中国矫形外科杂志, 2019, 27(6): 542-548.