二氧化碳地质封存过程中断层活化光纤监测适用性研究
A Study on the Applicability of Fault Activation Monitoring Using Fiber Optics During Carbon Dioxide Geological Sequestration Process
DOI: 10.12677/ag.2026.162019, PDF, HTML, XML,   
作者: 王杉杉:成都理工大学能源学院(页岩气现代产业学院),四川 成都
关键词: 二氧化碳地质封存光纤监测数值模拟流固耦合CO2 Geosequestration Fiber Optic Monitoring Numerical Simulation Hydro-Mechanical Coupling
摘要: 二氧化碳地质封存是一种将工业产生和大气中捕获的二氧化碳气体安全地储存到地下储层中,并防止其泄露进入大气层对气候造成影响的技术。现有研究表明断层活化、盖层破裂及井筒失效等因素会导致二氧化碳地质封存过程中的泄漏,需要借助监测手段进行安全性监测。分布式光纤传感技术因其井下无电源、抗电磁能力强以及可大范围监测等特性,广泛应用于石油、土木等领域,但尚未应用于二氧化碳地质封存泄露监测。本文首先介绍二氧化碳地质封存技术和光纤监测技术的研究现状及意义,整理归纳目前二氧化碳地质封存典型项目。而后,选定阿尔及利亚In salah二氧化碳封存项目的Krechba气田作为研究区域,通过数值模拟研究了二氧化碳地质封存过程中断层活化光纤监测的应用场景,并探究了二氧化碳注入压力对监测效果的影响。结果表明,随着二氧化碳不断注入,当遇到断层时,会优先沿渗透率更高的断层运移,断层内压力骤增,光纤监测点处会产生明显的拉张应变信号,且不同地质和工程参数会对应变信号特征产生显著影响。研究结果对于分布式光纤监测技术在二氧化碳地质封存过程中的实际应用具有重要参考价值,并为进一步优化监测方案和提高封存系统的安全性提供了理论基础。
Abstract: Carbon dioxide geological sequestration is a technology that safely stores industrial and captured CO2 gas underground in reservoirs, preventing its release into the atmosphere and mitigating its impact on climate. Existing studies have shown that factors such as fault activation, cap rupture and wellbore failure will lead to leakage during the geological storage of carbon dioxide, and safety monitoring needs to be carried out with the help of monitoring methods. Distributed optical fiber sensing technology is widely used in petroleum, civil engineering and other fields due to its characteristics of no underground power supply, strong electromagnetic resistance and large-scale monitoring, but has not yet been applied to carbon dioxide geological storage leakage monitoring. This paper first introduces the research status and significance of carbon dioxide geological storage technology and optical fiber monitoring technology and summarizes the current typical projects of carbon dioxide geological storage. Then, the Krechba gas field of the in salah CO2 storage project in Algeria was selected as the research area, and the application scenarios of fault layer activation fiber monitoring in the process of CO2 geological storage were studied through numerical simulation CO2 injection pressure on the monitoring effect were explored. The results show that with the continuous injection of carbon dioxide, when encountering faults, it will preferentially migrate along faults with higher permeability, the pressure in the faults will increase sharply, obvious tensile strain signals will be generated at the optical fiber monitoring points, and different geological and engineering parameters will have a significant impact on the characteristics of strain signals. The research results have important reference value for the practical application of distributed optical fiber monitoring technology in the process of CO2 geological storage, and provide a theoretical basis for further optimizing the monitoring scheme and improving the security of the storage system.
文章引用:王杉杉. 二氧化碳地质封存过程中断层活化光纤监测适用性研究[J]. 地球科学前沿, 2026, 16(2): 189-199. https://doi.org/10.12677/ag.2026.162019

1. 引言

21世纪以来,为支持工业发展,大量使用化石能源,造成以二氧化碳为主的温室气体排放量显著增加,导致全球变暖等气候问题十分严峻,亟需一套行之有效的方法来减少大气中二氧化碳的含量。当今,碳中和与绿色低碳化发展是世界各国的普遍共识。二氧化碳地质封存被视为绿色低碳化发展道路上实现双碳目标必不可少的技术途径、关键托底技术和最后手段,可以实现减少大气中的温室气体含量,缓解全球变暖等气候恶化问题。通过将二氧化碳从其来源中分离提取出来,并将其输送到目标封存场所进行封存,是化石能源清洁化利用的重要配套技术,对于构建具有韧性和弹性的能源系统至关重要[1]-[3]

在转向清洁能源和低碳经济的过程中,二氧化碳地质封存可以作为一种过渡期的解决方案,帮助我们控制温室气体排放并减缓气候变化的速度。地质封存技术不仅有助于减少温室气体排放,还可以带来经济利益[4] [5]。地下储层中的二氧化碳可以被利用来增强石油和天然气的开采,提高能源产量。此外,地质封存技术的研究和开发也极大促进了相关产业的发展,创造就业机会和经济增长。

尽管二氧化碳地质封存对绿色低碳发展有诸多益处,但我们不能忽视泄漏风险及其所带来的严重危害。虽然为了防止二氧化碳封存过程中在地层中沿裂缝或断层引起泄露,在地质封存选址和选层过程中就会尽量避免选取已存在断层和裂缝的地质构造。然而,随着二氧化碳的大量注入,地层压力不断升高,形成断层和裂缝是不可避免的。二氧化碳的注入必然会导致地层应力场的变化,从而导致产生新的裂缝[6]。为及时预防二氧化碳泄露,降低二氧化碳泄漏的风险,需要明确地质封存过程中断层和裂缝对二氧化碳迁移的影响。因此,实现对断层和裂缝的实时监测是预测评估二氧化碳泄漏的研究重点。

近年来,分布式光纤传感技术因其井下无电源、抗电磁能力强以及可大范围监测等特性,广泛应用于各个行业。分布式光纤传感技术能实现地震波、温度、应变的分布式测量,利用光纤“传感合一”、耐温耐压、全井段、高密度、多参数、体积小的优势,深入地下直接感知地层信息。将分布式光纤传感技术应用于地质封存泄露监测中,是强化地质封存安全性的重要手段。但光纤监测信号解释技术仍不成熟,深入理解断层活化的光纤特征信号响应是建立有效光纤信号解释方法的基础。

2. 研究现状

二氧化碳地质封存是一种将大气中的二氧化碳分离和提纯,然后注入地下封存场所,使其像石油和天然气一样长期储存于地下空间的过程。这个过程涉及从排放源捕获二氧化碳,并进行处理后输送到适当的地质储层,如深层咸水层、盐穴或废弃油气田等,并依靠上覆层阻止其运移和泄漏[7] [8]

全球二氧化碳地质封存项目的主要地区是北美和欧洲,据统计北美共有24个大规模CCUS项目,欧洲共有21个大规模CCUS项目,这两个地区的项目总和占全球项目总和的60%。北美地区尤其是美国大力发展二氧化碳地质固碳,二氧化碳封存量位居全球之首,CCUS项目总数也位居全球之首。自1970年起,美国便开始开展二氧化碳驱油研究。预计在2015年至2020年期间,全球大部分大规模CCUS项目将逐步实施。二氧化碳地质封存类型多样,陆地咸水层、海上咸水层、海上枯竭油气藏均为二氧化碳地质封存的场所。目前,全球大规模CCUS项目中有46%属于EOR (增强油气采收率)项目,26%属于陆地咸水层项目,14%属于海上咸水层项目,7%属于海上枯竭油气藏项目,而其余7%则属于不确定和其他类型项目[9] [10]

尽管碳捕集与封存(CCS)技术正在逐步成熟,但作为一种尚在不断研究和发展中的新型技术,它仍面临着众多关键技术问题需要解决,其中如何在地层封存过程中监测二氧化碳的渗漏和评估泄漏造成风险是实现长期封存的重要因素。

二氧化碳地质封存技术的安全性和可靠性是其发展的核心关注点[11]-[14]。不同的CCS项目在监测技术方面也因地制宜采用了不同的方法和技术[15]-[18]。目前常见的二氧化碳地质封存的监测技术主要包括地球物理勘探技术、地球化学监测技术、遥感监测技术以及示踪剂监测技术等[19] [20]。四维地震和垂直地震剖面技术被广泛应用于二氧化碳地质封存的监测过程中[17] [21] [22]。在神华CCS项目示范区,共进行了三次VSP监测。通过对注入前后VSP地震响应特征的深度域标定和属性优选分析,依据监测结果成功预测了二氧化碳地下运移范围,充分体现VSP地震勘探技术在CCS项目中的应用潜力。

随着工程应用的不断增加,实际工况越来越复杂,监测测量技术也亟需不断发展创新。然而,现存的监测手段针对现场复杂工程实施数据监测十分困难,一方面缺乏大范围实时监测的能力;另一方面,监测数据的响应处理解释也存在难题。分布式光纤监测技术与其他监测技术相比具有测量范围广阔、高精度、大数据量、实时采集和易于组网等优点,在矿山灾害监测领域近年来备受关注。将分布式光纤监测技术应用于岩石变形监测,已成为围岩智能控制的精准监测手段[23]

目前,针对利用分布式光纤监测上覆岩层变形方面的工程研究尚处于初级阶段,主要是通过在实验室中进行相似模型实验来进行研究,验证分布式光纤监测的有效性[24]-[28]。Zhang et al. (2021) [28]等研究人员在物理相似模拟实验中布设了垂直分布式光纤,并对其受力和变形情况进行了监测。然而,如何通过光纤监测实现地层大范围变形的精确表征仍需要进一步研究。前人利用分布式光纤监测技术对岩石变形进行了监测,并基于光纤应变的岩层变形建立了力学模型[29]-[31]。研究结果表明光纤应变的变化与岩层破断的垂直位移量和垮落强度呈正相关关系。前人将分布式光纤水平埋设于三维相似材料物理模型中,通过分析监测值与岩层变形的关系研究上覆岩层的变形规律。研究结果表明,分布式光纤监测数据能有效地反映上覆岩层变形的特征,其监测精度优于传统的测管位移测试方法。此外,Sun et al. (2021) [32]在煤层顶部的钻孔中布置了分布式光纤,监测在开采过程中光纤的应变特性,根据应变分布特征确定垮落带和断裂带的高度。目前,分布式光纤监测在部分实际工程中得到了初步应用。通过埋设少量光纤就可以完成对光纤测点周围岩石变形状态的监测,并分析得到垮落带和导水裂隙带的最终发育高度。然而,还无法全面表征上覆岩层在开采过程中的大范围变形状态[33] [34]。此外,光纤传感(FOS)技术已经应用于非常规水平井的完井和生产监测[29]。分布式声学传感(DAS)是一种基于FOS的技术,可以测量储层中的动态应变扰动。韦世明[35]等人开展了倾斜水力裂缝扩展过程中的光纤监测信号特征研究。陈铭[36]等人构建了基于裂缝前缘光纤应变的裂缝参数反演模型,分析光纤应变分布随裂缝参数的变化特征,建立了峰值应变及零应变位置与裂缝参数的关系式。Shaohua You [37]等人研究提出了一种基于径向基函数的断裂几何反演框架。

3. 研究方法

在这项研究中,本文构建了一个二维数值模拟模型,以研究二氧化碳地质封存过程中应变的实时监测,假设光纤与地层是完全理想耦合状态。计算区域是一个模拟地层剖面的二维正方形,其物理尺寸为长400 m、宽400 m。图1给出了一个地质模型的示意图。计算区域被离散成三角形,断层周围网格剖分更细,网格总数为54,897。盖层埋深为2000 m,注入层50 m,最下部为基岩。二氧化碳注入井为注入层最左侧位置,模型内含一条穿过盖层和注入层的断层。

Figure 1. Geological model used in numerical simulation

1. 数值模拟中使用的地质模型

二氧化碳地质封存涉及渗流和力学过程,需分别建立相应的数学模型。岩石基质和断层内流体渗流方程:

t ( ϵρ )+( ρu )= Q m (3-1)

u= k u P (3-2)

式中: ϵ 为岩石孔隙度, ρ 为流体密度, u 为流体粘度, k 为渗透率, P 为压力。

岩石的力学平衡:

σ+f=0 (3-3)

式中: σ 为应力张量,f为体力矢量。岩石材料的应力–应变关系遵循线性热–孔–弹性原理:

σ =σ α B PI=( λtrε3K α T ΔT )I+2Gε (3-4)

式中: σ 为有效应力张量, α B 为比奥系数, α T 为热膨胀系数,P为流体压力,I为单位矩阵, ΔT=T T ref 为温度差值, λ 为杨氏模量和泊松比的参数,K为体积模量,G为剪切模量, ε=[ u+ ( u ) T ]/2 为位移梯度, u 为位移张量。

使用双曲线模型来模拟正常压应力下的断裂变形:

ν n = σ n ν m K n 0 V m + σ n (3-5)

式中: ν n 为正常闭合度, σ n 为有效常规压应力,即断裂上的总法向应力与裂缝内部流体压力之差, K n 0 为初始法向刚度, V m 为允许的最大闭合度。

断裂剪切行为遵循库仑摩擦定律:

τ s ={ K s u s , u s < u P τ p , u s u P (3-6)

式中: τ s 为剪切应力, u s 为剪切位移, K s 为断裂剪切刚度, τ p 为剪切应力峰值, u P 为剪切位移峰值。

计算不可逆剪切诱导的剪胀是基于通过增量形式的剪切位移:

d v s ={ tan ϕ d d u s , u P u s u r 0,else (3-7)

式中: u r 为残余剪切位移, ϕ d 为剪胀角。

b={ b 0 +w, σ n <0 b 0 ν n ν S , σ n 0 (3-8)

式中: b 0 为初始开度, w 为裂隙张开度。

4. 结果分析

4.1. 基础案例分析

为控制变量探讨后续不同因素影响,设置基础案例研究二氧化碳地质封存过程中断层活化光纤监测的可行性,明确应变信息响应特征,为后续研究分析提供基本支持。基础案例模型的基本参数设置为:注入压力30 MPa,裂隙开度1 mm,断层倾角70˚。

图2显示了地质模型在0.1年、1年和2年时模拟出来的地层压力演变图。可以看出因二氧化碳的不断注入,注入压力在0.1年时已经传播到断层。从0.1年到2年的压力对比图可以看出随着二氧化碳的不断注入,压力不断向右传播。当压力传播到断层时,断层因高渗透率作为优势通道,压力传播迅速,盖层中断层内的压力分布较均匀且相较于盖层压力处于高值。

Figure 2. Comparison of formation pressure at different time points

2. 不同时间地层压力对比图

为更好地探究断层的光纤应变响应信息,在断层上设置了3条不同位置的监测线,线长40 m,监测线与断层的交点为监测点,并且监测点位于监测线中点。监测线具体设置见图3

Figure 3. Layout of monitoring lines

3. 监测线位置图

图4给出了不同监测线上应变信号随时间的动态演化,其中分布式光纤监测的应变信号是以初始地层应变为基准,后续地层产生的应变变化。由图可知,0.01年时YY方向应变张量曲线无凸起,基本为一条光滑平直的直线。从0.02年起可以看出在监测点位置开始有应变信号的凸起,即在断层附近产生了明显的拉张变形。随着时间的增加,监测点的应变值逐渐增加,即在监测线图中应变尖峰越明显,峰值越来越高。以监测点为中心两边的监测线,0~0.04年期间应变逐年上升,0.04~0.1年期间应变逐年下降,但监测线中点即监测点的应变一直随时间增加而增大。考虑初期二氧化碳注入对监测线周围地层压力影响较小,未产生形变,随二氧化碳注入压力慢慢传播,应变缓慢增加一段时间。当0.04年时,二氧化碳的注入对地层逐渐产生挤压造成断层附近应变减小,但由于压力随断层上传,应力重新分布,对断层内部有拉张,因此监测点的应变突增,且随时间峰值逐渐增大。对比三条监测线可知,距离注入层越远的监测线,监测线的应变峰值越大。由于监测线距离越远,盖层围岩受二氧化碳注入影响较小,因此,距离注入层越远监测点周围的应变随时间增加变化不大。由监测点的压力与YY方向应变张量关系图可知,应变与压力基本呈线性增长关系。这主要是由于监测点处地层有效应力主要受流体压力变化影响,流体压力与地层有效应力变化基本一致。

Figure 4. Strain information along monitoring lines and pressure-strain relationship at monitoring points

4. 监测线应变信息与监测点压力–应变关系

4.2. 注入压力因素分析

注入压力是影响地质封存中二氧化碳泄露的重要因素。因此,本文设置了不同注入压力参数,以探究注入压力的影响。如图5所示,在基础案例上讨论了注入压力为30 MPa、40 MPa、50 MPa的三种情况。由图可看出,注入压力对地层压力的影响非常大。在二氧化碳注入初期,不同注入压力的地层压力变化就十分明显,注入压力越高,注入层压力传播越快,且注入层压力迅速上升。后期受断层的影响,注入压力越大越有利于二氧化碳的运移,断层内的压力越大,因此在1年与2年的压力分布图中能明显地看出注入压力越大,断层的压力越高。

在二氧化碳注入过程中,应变响应如图6所示。注入压力越大,监测到的应变信号越强,监测点应变尖峰特征越明显。由于监测线距离越远,盖层围岩受二氧化碳注入影响较小,因此,距离注入层越远监测点周围的应变随时间增加变化不大。虽然随注入压力增大,同一时间同一位置的应变增大,但整体的应变响应特征未改变。

Figure 5. Variation of formation pressure under different injection pressures

5. 不同注入压力下的地层压力变化图

Figure 6. Strain response under different injection pressures

6. 不同注入压力下应变响应图

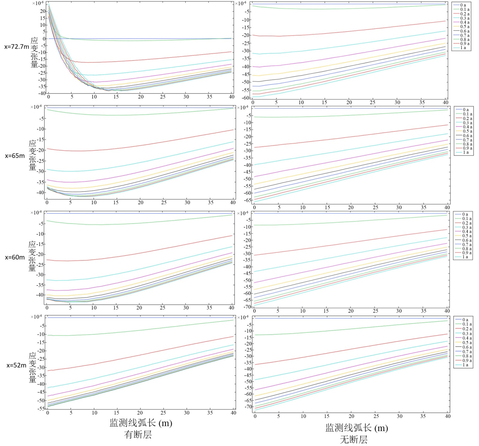
4.3. 监测范围分析

为研究因断层存在的应变响应范围,本文还设置了有断层与无断层的地质模型,控制y轴坐标不变,通过改变监测线水平位置,对比两种情况下的应变曲线分析明确了可监测应变的范围。监测线设置见图7,断层起始点即监测线的下端刚好在断层上。

Figure 7. Layout of monitoring lines

7. 监测线位置

通过改变监测线x轴数值发现,见图8的应变数值变化,当x = 52 m时有断层的应变曲线与无断层的应变曲线基本一致,即当x = 52 m时已监测不到断层导致的应变变化。又因,断层起始点位置x = 72.7 m,即有应变响应特征的范围约为20 m。

Figure 8. Strain response at different locations

8. 不同位置应变响应

5. 结论

本论文旨在研究二氧化碳地质封存过程中利用分布式光纤监测其应变响应信号。通过构建数值模拟模型,模拟了二氧化碳注入过程中光纤监测地层应变信息,以评估其在监测二氧化碳泄露方面的可行性。研究重点关注注入压力对监测效果的影响。根据上述模型运算结果,可以得出如下结论:

(1) 二氧化碳注入过程中,断层同一位置的应变值随注入时间增长而增大,即注入时间越久尖峰特征越显著。监测线距离注入层越远,断层周围的基岩应变随时间变化不大,即受距离影响断层周围的基岩应变分布较为均匀。结果表明,二氧化碳地质封存过程中断层活化光纤监测应变响应是可行的。

(2) 不同注入压力对应变响应产生明显影响。注入压力越大,监测到的应变信号越强,监测点应变尖峰特征越明显。但整体的应变响应特征未改变。

(3) 通过改变监测线范围,对比有断层与无断层的应变响应曲线得出,该模型基础案例应变响应特征的范围约为20 m。

通过利用COMSOL模拟二氧化碳地质封存过程中断层活化的光纤应变检测,了解不同参数对二氧化碳注入过程应变响应的影响。基于本研究结果,我们可以对地质封存中监测二氧化碳泄露做出具有参考意义的定量化预测。

参考文献

[1] 赵改善. 二氧化碳地质封存地球物理监测:现状、挑战与未来发展[J]. 石油物探, 2023, 62(2): 194-211.
[2] 舒娇娇. 深部咸水层封存二氧化碳迁移规律研究[D]: [硕士学位论文]. 大连: 大连海事大学, 2020.
[3] 宫玉菲. CO2封存物性参数分析及地质精准建模研究[D]: [硕士学位论文]. 湘潭: 湖南科技大学, 2020.
[4] 贺凯. CO2地质封存系统完整性演化及其泄漏研究[D]: [硕士学位论文]. 大庆: 东北石油大学, 2019.
[5] 王金龙, 崔大伟, 郭萍. 二氧化碳深部含盐水层地质封存国际研究进展及启示[J]. 环境保护, 2013, 41(17): 71-72.
[6] 王晓桥, 马登龙, 夏锋社, 张晓明, 王瑜, 毛维高. 封储二氧化碳泄漏监测技术的研究进展[J]. 安全与环境工程, 2020, 27(2): 23-34.
[7] 霍传林. 我国近海二氧化碳海底封存潜力评估和封存区域研究[D]: [博士学位论文]. 大连: 大连海事大学, 2014.
[8] 柳玉昕. 二氧化碳埋存对储层及盖层的影响研究[D]: [硕士学位论文]. 大庆: 东北石油大学, 2017.
[9] 张军, 李桂菊. 二氧化碳封存技术及研究现状[J]. 能源与环境, 2007(2): 33-35.
[10] 姜睿. 国内外CCUS项目现状分析及展望[J]. 安全、健康和环境, 2022, 22(4): 1-4+21.
[11] 王建秀, 吴远斌, 于海鹏. 二氧化碳封存技术研究进展[J]. 地下空间与工程学报, 2013, 9(1): 81-90.
[12] 戴靠山, 陈亘, 宋学行, 潘永东. 二氧化碳地质封存工程安全研究现状及地脉动法监测可行性初步分析[J]. 结构工程师, 2012, 28(5): 159-169.
[13] 李光, 刘建军, 刘强, 纪佑军. 二氧化碳地质封存研究进展综述[J]. 湖南生态科学学报, 2016, 3(4): 41-48.
[14] 马劲风, 杨杨, 蔡博峰, 曹丽斌, 周颖, 李琦. 不同类型二氧化碳地质封存项目的环境监测问题与监测范围[J]. 环境工程, 2018, 36(2): 10-14.
[15] 刘枫. 二氧化碳地质封存环境监测现状及建议[J]. 农家参谋, 2017(13): 219.
[16] 李琦, 刘桂臻, 张建, 贾莉, 刘海丽. 二氧化碳地质封存环境监测现状及建议[J]. 地球科学进展, 2013, 28(6): 718-727.
[17] 郝艳军, 杨顶辉. 二氧化碳地质封存的数值模拟和地震监测研究[C]//中国地球物理学会. 中国地球物理2012. 合肥: 中国科学技术大学出版社, 2012: 551.
[18] 蔡博峰. 二氧化碳地质封存项目及环境监测[J]. 低碳世界, 2013(1): 38-41.
[19] 杨扬, 马劲风, 李琳. CO2地质封存四维多分量地震监测技术进展[J]. 地球科学进展, 2015, 30(10): 1119-1126.
[20] 白云云, 师洋阳, 卢美娟, 梁颖. 双碳目标下CO2地质封存泄露途径及监测方法研究进展[J]. 榆林学院学报, 2021, 31(6): 43-46.
[21] 金显杭, 方佳伟, 王永胜, 冯良兴, 刘昕, 张卫东. 咸水层. CO2地质封存泄漏监测的示踪剂优选[J]. 天然气化工(C1化学与化工), 2020, 45(5): 72-76.
[22] 赵海英, 陈沅忠, 李彦鹏, 刘国军, 李陶, 夏淑君, 范含周. CO2地质封存时移垂直地震监测技术[J]. 岩土力学, 2018, 39(8): 3095-3102.
[23] 朱鹏飞. 基于深度学习的覆岩变形分布式光纤监测数据推测[D]: [硕士学位论文]. 西安: 西安科技大学, 2021.
[24] 赵丽芝, 唐福建. 分布式光纤裂缝监测实验与数值分析[J]. 中国测试, 2022, 48(12): 7-14.
[25] Daley, T.M., Myer, L.R., Peterson, J.E., Majer, E.L. and Hoversten, G.M. (2008) Time-Lapse Crosswell Seismic and VSP Monitoring of Injected CO2 in a Brine Aquifer. Environmental Geology, 54, 1657-1665. [Google Scholar] [CrossRef
[26] Hopp, C., Guglielmi, Y., Rinaldi, A.P., Soom, F., Wenning, Q., Cook, P., et al. (2022) The Effect of Fault Architecture on Slip Behavior in Shale Revealed by Distributed Fiber Optic Strain Sensing. Journal of Geophysical Research: Solid Earth, 127, e2021JB022432. [Google Scholar] [CrossRef
[27] Sidenko, E., Tertyshnikov, K., Gurevich, B. and Pevzner, R. (2022) DAS Signature of Reservoir Pressure Changes Caused by a CO2 Injection: Experience from the CO2-CRC Otway Project. International Journal of Greenhouse Gas Control, 119, Article 103735. [Google Scholar] [CrossRef
[28] Zhang, Y., Lei, X., Hashimoto, T. and Xue, Z. (2021) Toward Retrieving Distributed Aquifer Hydraulic Parameters from Distributed Strain Sensing. Journal of Geophysical Research: Solid Earth, 126, e2020JB020056. [Google Scholar] [CrossRef
[29] Liu, Y.Z., Wu, K., Jin, G., Moridis, G.J., Kerr, E., Scofield, R., et al. (2020) Strain and Strain-Rate Responses Measured by LF-DAS and Corresponding Features for Fracture-Hit Detection during Multiple-Fracture Propagation in Unconventional Reservoirs. Proceedings of the 8th Unconventional Resources Technology Conference, Online, 20-22 July 2020, 1134-1152. [Google Scholar] [CrossRef
[30] Shi, B., Zhang, D., Zhu, H., Zhang, C., Gu, K., Sang, H., et al. (2021) DFOS Applications to Geo-Engineering Monitoring. Photonic Sensors, 11, 158-186. [Google Scholar] [CrossRef
[31] Habel, W.R. and Krebber, K. (2011) Fiber-Optic Sensor Applications in Civil and Geotechnical Engineering. Photonic Sensors, 1, 268-280. [Google Scholar] [CrossRef
[32] Ugueto, G.A., Wojtaszek, M., Mondal, S., Guzik, A., Jurick, D. and Jin, G. (2021) New Fracture Diagnostic Tool for Unconventionals: High-Resolution Distributed Strain Sensing via Rayleigh Frequency Shift during Production in Hydraulic Fracture Test 2. Proceedings of the 9th Unconventional Resources Technology Conference, Houston, 26-28 July 2021, URTeC, D021S031R002. [Google Scholar] [CrossRef
[33] Liu, Y.Z., Jin, G. and Wu, K. (2021) New Insights on Characteristics of the Near-Wellbore Fractured Zone from Simulated High-Resolution Distributed Strain Sensing Data. SPE Reservoir Evaluation & Engineering, 25, 99-112. [Google Scholar] [CrossRef
[34] Jin, G., Ugueto, G., Wojtaszek, M., Guzik, A., Jurick, D. and Kishida, K. (2021) Novel Near-Wellbore Fracture Diagnosis for Unconventional Wells Using High-Resolution Distributed Strain Sensing during Production. SPE Journal, 26, 3255-3264. [Google Scholar] [CrossRef
[35] 韦世明, 郝亚龙, 隋微波, 等. 不同倾角水力裂缝扩展的邻井光纤监测信号特征研究[J]. 石油科学通报, 2024, 9(5): 764-776.
[36] 陈铭, 郭天魁, 翁定为, 等. 基于裂缝前缘邻井光纤应变的压裂裂缝参数解释方法[J]. 石油学报, 2024, 45(8): 1282-1295+1308.
[37] You, S.H., Liao, Q., Yue, Y., Tian, S., Li, G. and Patil, S. (2025) Enhancing Fracture Geometry Monitoring in Hydraulic Fracturing Using Radial Basis Functions and Distributed Acoustic Sensing. Advances in Geo-Energy Research, 16, 260-275. [Google Scholar] [CrossRef