具有网状结构钻井液处理剂在钻井液中的应用
Application of Drilling Fluid Additives with Network Structure in Drilling Fluid
DOI: 10.12677/ag.2026.162023, PDF, HTML, XML,   
作者: 李培海, 张高波:中国石油集团长城钻探工程有限公司钻井液公司,北京;赵创新:中石化中原石油工程有限公司,河南 濮阳
关键词: 网状结构钻井液处理剂交联Network Structure Drilling Fluid Additives Cross-Link
摘要: 钻井液处理剂合成过程中通过形成适度的网状结构,在提高处理剂的抗温和抗盐能力、降低钻井液API滤失量和高温高压滤失量、提高钻井液动切力、提高动塑比、改善钻井液流型、增粘、封堵、防塌、成膜、堵漏等方面表现出更为优越的性能,在钻井液领域有广泛的研究和应用,同时在研制和合成高性价比的钻井液处理剂方面具有重要意义。在分析形成具有网状结构钻井液处理剂方法的基础上,综述了近年来具有网状结构钻井液处理剂研究进展及在钻井液中的应用,并展望了研发具有网络结构钻井液处理剂方向。
Abstract: To form suitable network structure in drilling fluid additives synthesizing, have superior performances on increasing anti-temperature and anti-salt ability, decrease API filtration and HTHP filtration, improve drilling fluid flow type, increase drilling fluid Yield Point and Dilatancy Ratio, thickening, plugging and sealing, prevent collapse, film former, cure drilling fluid leakage etc., and have wide range applications and research in drilling fluid field, at same time, these methods have great significance in the research and synthesis of high performance drilling fluid additives. On the base of analyzing to form the ways and methods of network structure drilling fluid additives, review network structure drilling fluid additives progress of the research and applications on drilling fluid, and prospect to research directions of new network structure drilling fluid additives.
文章引用:李培海, 张高波, 赵创新. 具有网状结构钻井液处理剂在钻井液中的应用[J]. 地球科学前沿, 2026, 16(2): 231-248. https://doi.org/10.12677/ag.2026.162023

1. 引言

在钻井液处理剂合成过程中,通过交联、超支化、疏水缔合等途径,可以使其分子间形成适度的网状结构,具有网状结构的钻井液处理剂在多方面展现出优越的性能,包括:处理剂的抗温和抗盐能力、降滤失效果、切力的提高、动塑比的提高及钻井液流型的改善、增粘、成膜、封堵、防塌、堵漏等方面,尤其降滤失剂在降滤失、抗温和抗盐能力方面会显著提升[1]。研究证实,随着2-丙烯酰胺-2-甲基丙磺酸(AMPS)、N-乙烯基吡咯烷酮(NVP)等抗温、抗盐单体的广泛应用以及价格的大幅度降低,满足大多数钻井工程技术需求的抗饱和盐且抗温达180℃~220℃的处理剂的成本显著降低。在此背景下,开发低成本合成工艺以制备高性价比的钻井液处理剂,已成为该领域的研究重点。

使钻井液处理剂具有网状结构最为简单的方法就是加入交联剂,这在改善降滤失性能和抗温性能、钻井液流型以及堵漏等方面更为有效,疏水缔合聚合物在降滤失、增粘、防塌等方面也较为有效,而超支化聚合物在抑制、防塌以及提高钻井液抗温和降滤失性能方面则有特别重要的意义。本文在分析形成网状结构钻井液处理剂方法的基础上,综述了近期具有网状结构的钻井液处理剂的研制应用情况,并对开发新的具有网状结构钻井液处理剂的研制进行了展望。

2. 网状结构的钻井液处理剂主要形成途径及其原料

2.1. 交联聚合物

常规线性大分子高聚物在高温环境下,易发生主链断裂或侧链降解,导致性能削弱甚至完全失效。在聚合物的制备过程中引入适量交联剂,可合成具有适度交联的网状结构聚合物。

常用的交联剂有N,N-亚甲基双丙烯酰胺(MBA)、对二乙烯基苯、季戊四醇三烯丙基醚、季戊四醇四烯丙基醚、聚乙烯亚酰胺(PEI)、甲醛等,其中N,N'-亚甲基双丙烯酰胺(MBA)和甲醛使用最为广泛。还有一些自制交联剂,比如文献[2]中的交联剂EAAD,是以氮丙啶与3-氯丙烯反应制得N-烯丙基氮丙啶(ALAI),ALAI与乙二胺反应制得四烯基交联剂单体(EAAD)。而无机单体包括硅藻土、凹凸棒土、氧化钙、柠檬酸铝、柠檬酸锆等。

交联聚合物是聚合物通过交联剂,由原来的“一维的线”变成了“三维的网”,一方面通过限制交联点附近分子链段的自由运动趋势,增强分子链刚性,提升处理剂的机械稳定性与化学稳定性;另一方面可确保其水溶性不受负面影响。这种结构的特点:1. 在钻井液中更有利于束缚自由水,提高水分子流动阻力,从而提高钻井液的粘度和动切力。2. 易于吸附在井壁上,形成一层致密的滤饼,起到降滤失的效果。3. 对于漏失地层,交联聚合物可以进入裂缝并迅速形成高强度的凝胶塞,物理阻断流体漏失。但交联过度易导致钻井液粘度异常升高,影响钻井液的流变性,部分化学交联剂(如油基铬交联剂)存在环保风险,在绿色钻井作业中应用有限。

交联聚合物当前面临的最大问题是“交联度”的控制,交联度太低:网络结构松散,耐温抗盐性能差,起不到好的降滤失作用。交联度太高:聚合物直接变成了不溶的“塑料”或“橡胶”,在水中无法分散,甚至直接堵死钻头水眼。

2.2. 超支化聚合物

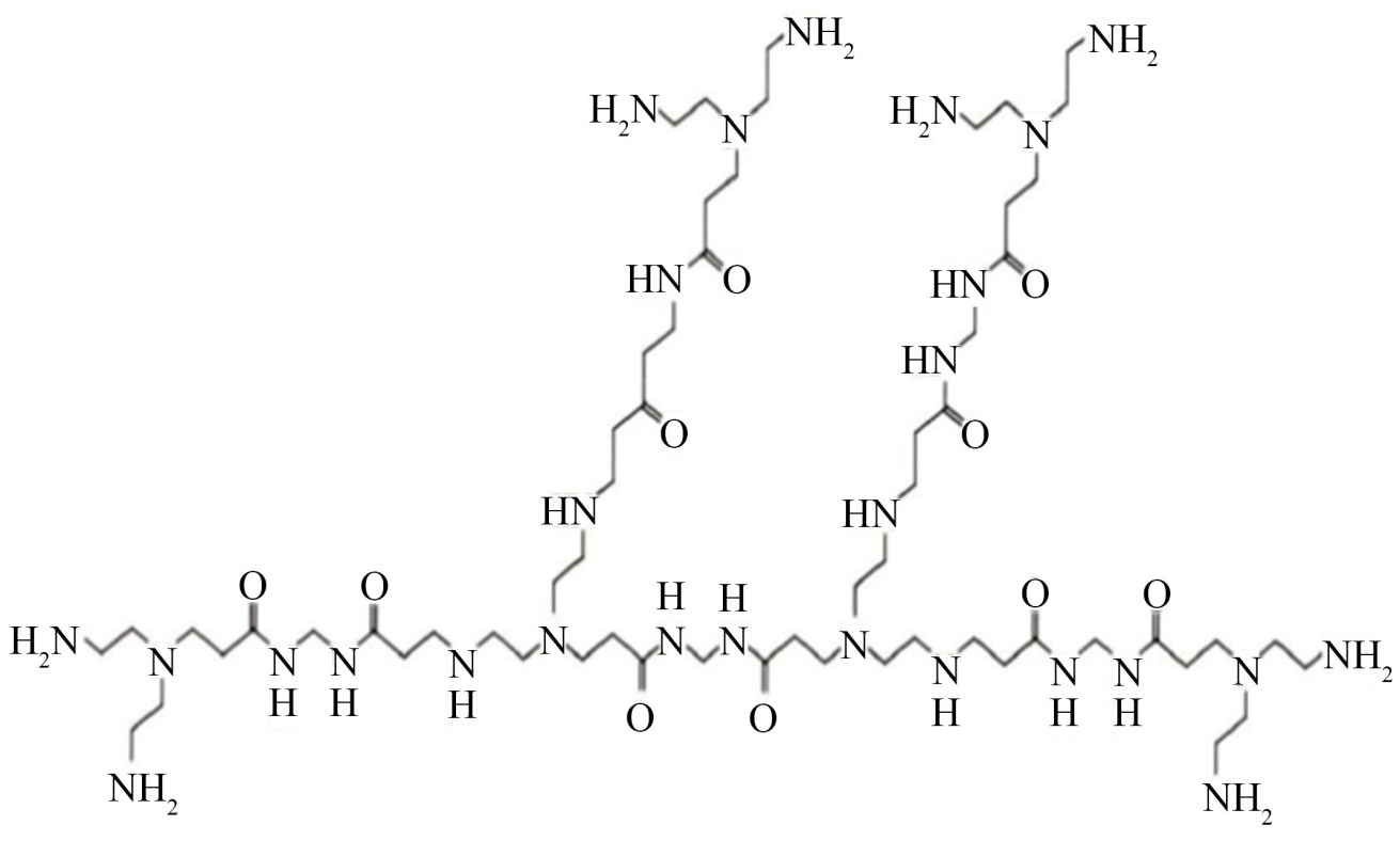
超枝化聚合物是由一个中心核和逐渐伸展的支化单体(ABx)组成,具有三维球状立体结构,含有丰富末端官能团的大分子聚合物。

其合成的方法很多,超支化聚合物通常是在链转移剂(常用的有二硫代酯、三硫代碳酸酯、二硫代氨基甲酸酯和黄原酸酯等)作用下,通过可逆加成–断裂的可控/“活性”自由基链转移聚合反应,合成超支化聚合物。但这种支化聚合物必须在交联剂的进一步作用下才能形成更为“强大”、有效的网络结构,仅仅支化的聚合物网络结构较弱。也可以通过其它支化中间体合成。图1 [3]为超支化聚合物分子结构示意图。

Figure 1. Schematic diagram of the molecular structure of hyperbranched polymers

1. 超支化聚合物分子结构示意图

在钻井液领域,采用可逆加成–断裂链转移聚合(RAFT)法,通过在聚合物体系中加入特种链转移剂,可使增长自由基和该链转移剂之间发生退化转移,实现动态平衡;同时采用适宜的加料工艺,促使直链聚合物支化,最终实现对聚合物分子量和支化的控制。

相关研究表明[3],对于线型聚合物而言,提升分子主链结构的刚性有利于改善产物的稳定性,但当温度超过180℃后,这种效果逐渐减弱。与传统的线性聚合物相比,超支化聚合物的结构更接近三维球体,其支链产生的位阻效应及支链上官能团的相互作用,能够显著提高分子链的刚性;加之其具有高度支化的结构特征,分子内带有大量官能团端基,使得该类聚合物在热稳定性、抗盐性及抗剪切性能等方面明显提高。同时分子支链上丰富的官能团可保障处理剂具有良好的吸附和水化性能,由于支链结构上基团的相互影响,进一步增强了高温下的稳定性。

更为关键的是,超支化聚合物即使部分链结构破坏,其次生结构仍能够满足要求:在特定条件下,当聚合物同时发生降解与交联时,其表观相对分子质量保持稳定,同时分子断裂产生的次生基团,可确保分子链上有效官能团的数量维持在合理水平。此外,超支化聚合物还具有良好的抗剪切能力,与相同分子量的线型聚合物相比,其具有易溶解、低粘度、网状结构等特点。上述优势使得超支化聚合物在钻井液中应用中,展现出较强的抗温、抗盐性能、抗钙离子污染能力以及较高的动塑比等技术优势。

超支化聚合物的主要问题是单价相对较高,性价比低,导致超支化聚合物综合处理成本高于传统淀粉或纤维素类产品。

2.3. 疏水缔合聚合物

疏水缔合聚合物是指在聚合物亲水性的分子链上引入一定量疏水基团(通常摩尔占比低于2 mol%)的一类水溶性聚合物,是最近十多年来用于水流体流变性能控制的一种新材料。

目前应用的疏水单体主要为长链的不饱和单体,例如:长链不饱和脂肪酸酯(主要有月桂酸丙烯酸酯(LA)、丙烯酸十八酯SA、甲基丙烯酸十八酯SMA、2-苯氧乙基丙烯酸酯、甲氧基聚乙二醇丙烯酸酯MPEGA、丙烯酸正辛酯OA、带有苄基长链不饱和酯等疏水单体等)、阳离子长链不饱和单体(二甲基十八烷基烯丙基氯化铵DMCAAC-18)、长链烷基丙烯酰胺(2-丙烯酰胺基烷基磺酸钠、N-正辛基丙烯酰胺、N,N-二辛基丙烯酰胺)等。

疏水缔合聚合物,通过疏水作用发生分子间或分子内缔合,形成三维空间网状结构,使高分子线团的流体力学尺寸增大,从而具有较高的粘度。同时,较大尺寸的疏水基团能够一定程度上抑制邻近基团酰胺基的水解,从而增加其耐盐耐温性。在盐溶液中,小分子电解质的加入使疏水缔合作用增强,溶液粘度大幅增加,表现出明显的抗盐性能。同时由于疏水聚合物中疏水基团不溶于水,在地层中疏水基团会伸展到油层中,这在一定程度降低了油水界面的界面张力。

疏水缔合聚合物理论性能极佳,但在工业化生产和现场应用中,面临的主要问题是反应条件苛刻,需要精密控制。

2.4. 互穿网络聚合物(IPN)

互穿网络聚合物(IPN) [4]是由两种或多种聚合物相互贯穿而成的一种特殊结构,也是最重要的高聚物加工技术之一,是成为继接枝共聚、嵌段共聚后的又一种制备聚合物合金的新途径。其特点是通过化学交联进行强迫互容,使聚合物之间相互缠结,并形成相互贯穿的聚合物网络,从而增加了两种组分的相容性,形成了比较精细的共混结构。

近几年来,IPN在国内外的发展十分迅速,已从主导型工程材料如环氧树脂(EP)、双马来酰亚胺(BMI)、聚氨酯(PU)和聚硅氧烷等的复合加工扩展到胶粘剂、阻尼材料、多孔材料和药物等领域。但在钻井液方面没有发现有相关研究,仅仅在堵漏方面有相关的报道。

互穿网络聚合物之所以能起作用,是因为它构建了一个“你中有我,我中有你”的三维立体结构:刚性部分负责抗温、抗剪切,柔性部分负责降滤失、吸附。这种结构完美契合了深井、超深井钻井液对“强封堵、高抗温、耐剪切”的综合需求。

互穿网络聚合物在钻井液处理剂领域的研发与应用,虽然在实验室和部分深井中取得了突破,但要实现大规模工业化普及,仍面临着成本较高、生产工艺要求严格等问题。

2.5. 树枝状聚合物

树枝状聚合物[5]-[11]的研究近年来受到充分的重视,此类聚合物的结构特点是高度支化,也属于超支化聚合物的一种,与线性结构的聚合物相比具有较低的分子量、良好的溶解性和较低的粘度,而且其分子尺寸通常在纳米尺度范围,在生物、医药、催化剂、表面活性剂和光电功能材料、絮凝剂等不同得到广泛的应用。

树枝状大分子的结构非常规整,体积、形状等都具有可控性,可以得到精确控制,其结构一般为球形,也有椭球形和圆锥型等。典型的结构见图2 [5] [6]。其分子结构是由内部的核心和多个支化官能团及外部的表面基团三部分组成,分子的最外层具有大量的活化功能基团,而内部则存在着众多大小不一的空腔体,这就导致该类分子具有无限的修饰性和功能化的空间。而随着重复反应的不断增加,该分子的代数也不断加大,功能性就更加明显。

(a) (b) (c)

Figure 2. Typical structure of dendritic macromolecules

2. 树枝状大分子的典型结构

作为树枝状聚合物的主要一类,聚酰胺–胺(简称PAMAM)树枝状高分子是一种迄今研究最广泛、最深入的典型的树枝状高分子,由核心(胺或乙二胺)出发,通过重复的逐步反应进行分子构建,使得分子表面具有很高的官能团密度,同时分子内部具有广阔的空腔。据不完全统计,从20世纪80年代出现至今,经过不到30年的努力,科学家们已经合成出200多种树枝状聚合物。除了PAMAM“乔木状”树枝醇(Arborols),Frechet聚醚,多种树枝P0PAM外,典型的还有聚苯、聚苯乙炔、聚吡啶与钉的复合物、聚碳硅烷等。其的合成方法大致有发散合成法、收敛合成法、一步合成法等。

查询相关文献发现以三乙烯三胺、多乙烯多胺为起始剂,合成出聚酰胺–胺树枝状聚合物并可作为破乳剂在原油集输过程中应用[7]。以乙二胺和丙烯酸甲酯为原料制得的两性型破乳剂,脱水率有所提高,脱水速率明显加快[8]。而低分子量的树枝状聚合物聚胺在钻井液的抑制和防塌方面有相当大的应用[9]-[11],而从树枝状聚合物的机理的分子结构来看,高分子的树枝状聚合物应该在钻井液的絮凝剂、封堵剂、堵漏剂等方面应该有广泛的应用,但缺乏这几方面的文献。

树枝状聚合物当前面临的问题:合成成本极其高昂,合成工艺复杂。

2.6. 网状结构钻井液处理剂的无机物原料

网状结构钻井液处理剂的无机物原料主要有:纳米SiO2、石墨烯及其用不饱和硅烷偶联剂改性的中间体。纳米SiO2的羟基使其呈枝化状,而石墨烯的结构呈网状结构,见图3 [12]图4 [13],其表面的羟基与聚合物相互作用可形成网状结构;或者与不饱和硅烷偶联剂相互作用后,再与不饱和单体反应,从而形成网状结构的聚合物。而环状结构的单体则是在反应过程与其它单体形成网状结构。

Figure 3. Structure of nano SiO2

3. 纳米SiO2结构图

Figure 4. Net structure of graphene

4. 石墨烯的网状结构示意

不同类型的网状聚合物合成难度不同,具有各自的优缺点,使用温度不同,其对比见表1

Table 1. Summary table of the properties of different types of net structured polymers

1. 不同类型网状结构聚合物性能综合表

网状聚合物种类

合成难度

优点

缺点

使用温度范围

交联聚合物

容易合成,难点在于 交联度的控制。

分子链刚性增强,提升了处理 剂的机械稳定性与化学稳定 性即抗温性能。

大多聚合物分子量较大, 切力较高。

180℃~220℃,主要 取决于交联剂和 主链的结构

超支化聚合物

操作简单,但产物是 混合物,提纯出单一 结构较难。

显著提高该类聚合物分子链 的刚性、热稳定性、抗盐性 及抗剪切性能。

原料成本较高、保存条件 苛刻,合成及生产过程 复杂。

180℃~280℃

疏水缔合 聚合物

较难,难在 “竞聚率”控制。

聚合物有较高的粘度,抗盐

性能及降低油水界面的界面

张力较好。

聚合物分子量较大, 切力较高,反应条件 较严格。

120℃~150℃

互穿网络 聚合物

较难,难在“反应 控制”。

聚合物网络相互贯穿,抗温、

抗剪切能力强。

成本较高,精确控制 较难。

180℃~250℃

树枝状聚合物

最难。多层反应, 每一层都需要 精确控制。

较低的分子量、良好的溶解性

和较低的粘度。

成本较高,反应条件 复杂。

<220℃

3. 网状结构钻井液处理剂的应用

3.1. 降滤失剂

在降滤失剂方面主要采用交联、超支化、疏水缔合、接枝网状结构单体等方法合成具有网络结构处理剂,所合成的降滤失剂无论在降滤失效果、抗盐能力,还是在抗温能力方面都有大幅度提高。

在使用交联剂方面,王志永等[14]通过调整交联剂,在主单体丙烯酰胺(AM)中添加抗盐单体2-丙烯酰胺-2-甲基丙磺酸(AMPS)和耐温单体N-乙烯基吡咯烷酮(NVP),同时采用极少量的有机交联剂N,N'-亚甲基双丙烯酰胺(MBA)和金属交联剂柠檬酸锆(MC),制备具有双重交联结构的降滤失剂,其平均粒径为16.48 μm,水解后的聚合物分子链与金属交联剂进行二次交联,保护了水解的聚合物分子链不会快速降解,从而形成更加致密复杂的三维网络结构,使得聚合物降滤失剂表现出优异的耐温抗盐降滤失性能。耐温高达350℃,含有5000 mg/L降滤失剂的基浆在210℃下热滚16 h后的高温高压滤失量和API滤失量分别由77.6 mL、18.8 mL降至31.4 mL、6.8 mL。宋永涛等[15] [16]针对现有的降滤失剂在使用过程中存在对钻井液流变性影响大、抗温和抗盐能力不足的问题,以季戊四醇为核心结构的多烯基单体四烯丙基醚(PPTE),与2-丙烯酰胺-2-甲基丙磺酸(AMPS)、N-乙烯基吡咯烷酮(NVP)、丙烯酰胺(AM)为原料,通过自由基聚合反应合成一种基于季戊四醇的超支化降滤失剂PPAAN-1。实验结果表明,降滤失剂PPAAN-1对钻井液流变性能影响小,同时拥有良好的热稳定性能以及降滤失效果,其热降解温度高达302.29℃,在30%氯化钠盐水浆(1% PPAAN-1)中的API滤失量(220℃老化后)为9.8 mL、高温高压滤失量(150℃)为18.5 mL;在高温高矿化度的条件下降滤失剂PPAAN-1可形成网状结构,并吸附在粘土表面,提高钻井液中粘土颗粒粒径的分布范围,从而形成致密的泥饼,以达到降滤失的目的。丁伟俊等[17]通过超支化单体季戊四醇三烯丙基醚(APE)与2-丙烯酰胺-2-甲基丙磺酸(AMPS)、丙烯酰胺(AM)、对苯乙烯磺酸钠(SSS)共聚合成了一种耐高温的超支化聚合物降滤失剂JHPAS。结果表明,JHPAS具有很好的热稳定性,在水溶液中可形成网络结构,在无粘土水基钻井液中吸附于超细CaCO3表面形成致密滤饼,并堵塞滤饼上的孔隙,进一步降低钻井液滤失量,构筑的无粘土水基钻井液在200℃老化16 h、饱和氯化钠盐水的条件下仍具有稳定的流变性和良好的降滤失性能,API滤失量和高温高压滤失量分别为5.5 mL和7.6 mL,笔者认为,交联剂多烯基单体四烯丙基醚(PPTE)和季戊四醇三烯丙基醚(APE)都是四臂和三臂交联剂,文献中认为是形成了超支化聚合物,实际上也是一种交联网状结构聚合物。

采用可逆加成–断裂链转移聚合(RAFT)加交联剂的方式合成的高分子超支化聚合物方面,王中华[18]以丙烯酸、2-丙烯酰胺-2-甲基丙磺酸、丙烯酰胺为原料,在RAFT试剂存在下,通过反相乳液聚合制备了超支化P (AA-AM-AMPS)反相乳液聚合物。结果表明,该超支化P (AA-AM-AMPS)反相乳液聚合物在淡水、盐水、饱和盐水和复合盐水基浆中具有较好的增粘、降滤失能力,抗温、抗盐能力强,同时具有较强的润滑能力,在淡水基浆中加量为1%时润滑系数降低率为68.3%。之后,徐生婧[19]和郭鹏等[20]分别进一步研究并阐述了该项产品的生产、评价和现场应用。苏雪霞等[21]为改变线性聚合物分子链长,高温下易剪切断链,抗温抗盐能力不足等缺点,以AM、AMPS、AA为可聚合单体,同时引入星型单体,在单体及组成一定的情况,通过改变聚合物的分子构象,基于星型单体与RAFT相结合方法,制备得到粘度效应低、抗温抗盐能力强的超支化聚合物EHBPS-P,提高了产物的支化程度,相对于同组分线性聚合物相同分子质量下,抗温抗盐及抗剪切能力提高,支化程度高、基团密度高,利于抑制吸附基团变性,热稳定性好、作用时间延长。性能评价结果表明,EHBPS-P抗温可达220℃,加入超支化聚合物的基浆在220℃老化后粘度降低率为66.7% (同组分线性聚合物粘度降低率达90.98%),淡水、盐水、复合盐水基浆中加量为1.0% (质量分数)时,可使钻井液的滤失量控制在10.0 mL以内,优于线性聚合物,有较好持续抗温性和长效的作用周期。

在合成交联剂方面,戎克生等[22]为提高聚合物降滤失剂耐温抗盐性和与高密度高固相深井钻井液体系的配伍性,以自制的含六个端基不饱和碳碳双键的超支化单体六烯基单体TDED为交联剂(与常用的含两个不饱和碳碳双键的双烯类交联剂相比,TDED具有难自聚,单位空间尺度内交联点多等优点),与丙烯酰胺(AM)、2-丙烯酰胺基-2-甲基丙磺酸(AMPS)和N-乙烯基吡咯烷酮(NVP)进行自由基共聚反应,制得微交联共聚物降滤失剂PTAPN,合成路线见图5 [22]。结果表明,PTAPN在高温、高矿化度环境中具备良好的降滤失性能。加入2% PTAPN后,淡水与复合盐水基浆240℃老化前后的粘度增加,滤失量大幅降低。PTAPN与不同密度水基钻井液的配伍性良好,可有效控制密度为2.30 g/cm3的加重钻井液在高温环境中的流变性与滤失量。当老化温度为240℃时,加重钻井液的API滤失量与高温高压滤失量分别为2.6 mL和12.6 mL,远小于含常规线性聚合物降滤失剂的钻井液。任晗等[2]以氮丙啶与3-氯丙烯反应制得N-烯丙基氮丙啶(ALAI),ALAI与乙二胺反应制得四烯基交联剂单体(EAAD),该交联剂含有4臂状不饱和键,EAAD与丙烯酰胺(AM)和2-丙烯酰胺基-2-甲基丙磺酸(AMPS)发生水溶液自由基共聚反应,合成了具有网状结构的微交联共聚物降滤失剂(PAAT),合成路线见图6 [2]。结果表明,PAAT可抗220℃高温,在高温、高矿化度条件下可维持钻井液的滤失量与流变性能,API滤失量均低于4.0 mL,高温高压滤失量均小于13.0 mL。

Figure 5. Synthesis route of PTAPN

5. PTAPN的合成路线

Figure 6. Synthesis route of PAAT

6. PAAT的合成路线

在使用网状结构单体的纳米SiO2和石墨烯方面,范开鑫[23]γ-甲基丙烯酰氧基丙基三甲氧基硅烷(KH570)对纳米二氧化硅进行表面改性,然后同丙烯酰胺(AM)、2-丙烯酰胺基-2-甲基丙磺酸(AMPS)、二甲基二烯丙基氯化铵(DMDAAC)作为反应原料,采用水溶液聚合法合成PADD/改性纳米二氧化硅降滤失剂。在加量为基浆质量的2.5%时,PADD/改性纳米二氧化硅降滤失剂在淡水基浆、饱和盐水基浆、复合盐水基浆的API滤失量分别为6.0 mL、4.7 mL、4.0 mL;经220℃高温老化16 h后,两种降滤失剂的API滤失量分别为15.8 mL。毛惠等[24]以制备的疏水缔合聚合物聚P (AM-NaAMPS-MA-b-ST)为聚合物基体,纳米二氧化硅为填料,研制了一种具有核壳结构的疏水缔合聚合物/纳米二氧化硅微纳米降滤失剂FLR-1。该降滤失降滤失效果显著,200℃/16 h的高温高压滤失量仅为20.5 mL。该聚合物是以二氧化硅表面的羟基与聚合物相互作用,成功地包覆在无机纳米二氧化硅的表面,形成网状结构的“核壳”结构,从而达到抗高温降低高温高压滤失量的目的。曲建峰[25]根据钻井液降滤失剂作用机理与氧化石墨烯特点分析,通过分子结构设计,以石墨烯和不饱和单体AM、AMPS、DMDAAC、VAC,研制出了一种钻井液用氧化石墨烯/聚合物钻井液成膜降滤失剂GOJ-1,GOJ-1可以迅速吸附形成致密膜,与已有的成膜剂CMJ-1和LPF相比,具有更好的抑制防塌性能,实验浆滤饼的渗透率更低,滤饼的承压能力以及浸泡稳定性、耐冲刷性和压缩性更好。GOJ-1高温降滤失作用突出,抗温抗盐抗钙性能优异,150℃老化前后流变性能稳定,与常用钻井液处理剂的配伍性较好。在基浆中,0.2%的GOJ-1使基浆的150℃老化后API滤失量降低了约70%,仅为9.0 mL,加量0.6%时,高温高压滤失量从76 mL降为29 mL,150℃老化后塑性粘度稍有增加,动切力老化前后变化不大,具有较好的动塑比。氧化石墨烯可以提升GOJ-1的高温降滤失能力,200℃老化后GOJ-1的滤失量为12.6 mL,220℃老化后为14.8 mL;GOJ-1具有较强的抗盐性能,抗盐可至饱和。

3.2. 增稠剂、提切剂及流型改善剂、絮凝剂

在增稠剂、提切剂及流型改善剂、絮凝剂合成方面,主要通过交联、引入疏水基团、分子结构超支化以及改性的方式实现,所合成处理剂在抗温抗盐能力、增粘提切方面都有不同幅度的提升。

在增粘剂增稠剂方面,罗情丹等[26]以丙烯酸AA、甲基丙烯酸十八酯SMA为原料,以季戊四醇三烯丙基醚APE为交联剂,采用沉淀聚合方法,合成了一种高粘度聚丙烯酸类增粘剂,研究表明该丙烯酸酯增粘剂具有三维网状结构交联聚合物,产物有较好的透光度和粘度,0.5%该增粘剂的透光率为95.1%,粘度最高可达1938 Pa∙s。覃孝平等[27]采用水溶液聚合法以丙烯酸(AA)丙烯酰胺(AM)、2-丙烯酰胺基-2-甲基丙磺酸(AMPS)、疏水单体二甲基十八烷基烯丙基氯化铵(DMCAAC-18)和骨架单体(M1.0)为主要原料,合成了一种超支化疏水缔合聚合物(B-P-HPAM)。结果表明,在65℃下用注入水配制的2000 mg/L的B-P-HPAM溶液的表观粘度明显高于相同浓度普通聚丙烯酰胺(HPAM)溶液;在经过20000 r/min的机械剪切30 s后,2000 mg/L的B-P-HPAM溶液的粘度保留率比相同浓度HPAM溶液高30%。孙举等[28]针对高温深井及特殊工艺井对钻井液的要求,采用反相乳液聚合方法研制了抗高温弱凝胶提粘切剂WG-1,WG-1中含有AMPS、DMAM和NVP等基团,其中DMAM有一定抗温增粘作用,NVP的加入使处理剂含有环状结构从而具有提切作用,在交联剂的作用下呈网状结构的球状,粒径为0.1~1.8 μm;浓度为1.0%的弱凝胶提粘切剂分散液经200℃老化16 h后,动塑比为0.47 Pa/mPa∙s,满足200℃下的提粘度、切力要求;经170℃连续老化72 h后,表观粘度、动切力保持率较好,分别为60%和37%,能满足170℃下高温稳定性要求;且在淡水、饱和盐水钻井液中均具有较好的提粘度、切力能力和降滤失效果,170℃高温老化后,WG-1加量从0.5%增加到11.0%,淡水钻井液API滤失量由9.6 mL降低至4.8 mL;WG-1加量从1.0%增加到1.5%,饱和盐水钻井液API滤失量由8.8 mL降低至3.2 mL,说明研制的提粘切剂能够封堵微裂缝,改善滤饼质量,降低钻井液滤失量。郭鹏等[20]采用可逆加成–断裂链转移自由基聚合反应链转移剂(RAFT)可控聚合方式合成了水溶性超支化聚合物产品,产物的分子量为300万,在150℃、180℃和200℃下分别高温老化16 h和48 h,老化前后的粘度保持率远高于线性聚合物,在淡水基浆中抗温达220℃,盐水和复合盐水基浆中抗温可达到180℃,降滤失性能优于常规线性聚合物。超支化聚合物产品在现场应用中发挥了较好的低粘提切特性、抗剪切性能和较强的抗温、抗Ca2+ CO 3 2 污染能力突出等优点,有效解决了高温深井、小井眼CO2和盐水污染带来的一系列钻井液问题。

在提切剂和流型改善剂方面,张永涛等[29]以黄原胶为原料,2-丙烯酰胺-2-甲基丙磺酸(AMPS)、N-乙烯吡咯烷酮(NVP)为接枝单体,合成了一种超支化改性黄原胶HB-VIS。结果表明,相比黄原胶,0.3% HB-VIS在提高钻井液动切力的同时,塑性粘度降低了14.3%,动塑比和3转值分别提升了23.3%和25.0%,更有助于高机械钻速条件下的井眼清洁。HB-VIS体系老化88 h后的动塑比和3转值保留率分别为65.1%和34.8%,显著优于黄原胶体系的30.8%和5.6%,具有更好的长时间热稳定性能。

张领宇等[30] [31]针对目前水基钻井液增粘提切剂普遍存在塑性粘度增加幅度大于切力增加幅度的缺点,采用超分子和高分子化学的原理,通过复合引发研发了AM/AMPS/DMDAAC三元共聚物,其中DMDAAC可产生更多网状结构,有利于提高产物的粘度和切力。单体中阳离子与阴离子之间的离子作用以及氢键、亲疏水的协同作用促使分子间形成有序的超分子网状结构。共聚物与基浆作用后,阳离子与负电的膨润土通过离子键以及氢键作用使共聚物发生团聚,包裹于膨润土颗粒中,增加了基浆的粘度和切力。TEM表明,研发的三元共聚物分子间形成了具有超分子结构的三维网状结构,同时与粘土颗粒之间形成了具有超分子特点的动态可逆有序结构。实验结果表明,共聚物具有优异的提切效果,4%淡水基浆的表观粘度从9 mPa∙s提高到30.5 mPa∙s,动塑比从0.5 Pa/mPa∙S提高到1.77 Pa/mPa∙S,耐温150℃,可用于饱和盐水体系。田发国等[32]也用同样的单体以丙烯酰胺AM、AMPS、二甲基二烯丙基氯化铵DMDAAC为原料,合成了一种钻井液增粘提切剂YF-01。该提切剂具有抗温抗盐的特点,加入少量就能大幅度提高钻井液的粘度和切力。

为研究超分子钻井液的“盐响应”特性,蒋官澄等[33]研发超分子提切剂和超分子降滤失剂,并以此为核心形成超分子钻井液体系。结果表明:该体系内部形成的网络结构强度大,更有利于悬浮和携带岩屑,具备良好的剪切恢复特性,特别是与常规钻井液相比,降低了极高剪切速率下的粘度,流变性能更接近理想范围;渗透率恢复值超过90%,连续热滚72 h后体系的流变和滤失性稳定,抗土侵性能强;该体系在新疆油田5口不同类型井中的应用中,与同区块的其他井相比,井下复杂情况降低率为97.66%,平均机械钻速提高1.08~1.75 m/h,油层段井径扩大率降低18.29%~32.20%。褚奇等[34]为了实现在调控钻井液粘度的情况下获得良好的携岩能力,以丙烯酰胺(AM)、2-丙烯酰胺基-2-甲基丙磺酸(AMPS)、二甲基二烯丙基氯化铵(DMDAAC)、甲基丙烯酰氧乙基-N,N-二甲基丙磺酸(DMAPS)和十六烷基疏水单体(C16-D)为原料,制备了一种新型的两性疏水缔合聚合物(PAADDC),可作为水基钻井液流变性能调节剂。结果表明,与常规增粘剂相比,PAADDC具有良好的热稳定性和更佳的抑粘增切效果。在60℃~180℃热老化实验中,动塑比值随PAADDC用量的增加而降低。环境扫描电镜(ESEM)和原子力显微镜(AFM)的观察表明,PAADDC在溶液中形成了连续的三维网状结构,聚合物分子间的疏水缔合作用,以及正负基团间的静电作用,对于提高钻井液内部的结构强度具有积极影响,这是其剪切强度显著提高的主要原因。

对于絮凝剂,王墩明[35]通过半连续的RAFT聚合,使用二烯类单体作为枝化剂,成功的研制出超支化聚丙烯酰胺(b-PAM)和超支化阳离子聚丙烯酰胺(b-CPAM),发现枝化结构能有效提高絮凝效果,低分子量的超支化阳离子聚丙烯酰胺就与高分子量的阳离子聚丙烯酰胺相当,同样分子量的b-CPAM具有高效絮凝能力,有很好的工业化应用前景。王学川等[36]利用端羟基超支化聚合物(HPAE)末端所具有的大量活性基团,将Fe3+负载于其上合成了一种新型超支化聚合物絮凝剂(HPAE-F)。将HPAE-F用于油气田废弃钻井液絮凝沉降中,其上清液色度去除率可达95%,透光率达96.5%,具有较好的絮凝效果。

3.3. 堵漏剂

具有网状结构处理剂在堵漏方面的应用,主要集中在聚合物凝胶堵漏和聚合物固化堵漏方面。聚合物在交联剂的作用下在一定的环境条件(比如pH值、电解质和温度)下形成网状结构,交联形成凝胶,交联过度就会固化。凝胶吸水膨胀形成亲水性的三维空间网络状结构,高分子链由无规蜷曲状变为伸展状,并产生内聚力。当聚合物凝胶堵漏剂进入地层后,分子间相互作用将构成空间网络结构,且其形成的具有高粘弹性的凝胶体便会通过地层缝隙到达指定封堵层,形成结构牢固,粘度、切力、弹性足够大的凝胶段塞最终封堵漏层,达到固结堵漏的目的[37]

文献[38]特种凝胶ZND是在大分子链上引入特种功能单体的水溶性高分子材料,在水溶液中,大分子链通过分子间相互作用自发地聚集,形成可逆的超分子结构–动态物理交联网络。该凝胶水很难与它混合并冲稀它,具有很高的粘度和剪切稀释能力,具有很好的粘弹性,静止后要使其移动必须克服足够的弹性阻力,能够与其它堵漏材料混合而不影响自身具有的特点,对钻井液和水泥浆无明显损害。随后钱志伟等[39]则对特种凝胶的适用性进行了研究,认为特种凝胶与聚合物、聚磺及KCl体系等的配伍性良好,具有改善失水造壁性,提高钻井液粘度切力的作用;化学交联的凝胶体系抗温达到150℃,可以用于处理高含二氧化碳和硫化氢地区的恶性漏失井漏;凝胶与水泥浆接触不会发生结块和沉淀,凝胶与水泥浆相容性良好;凝胶的适用性足以满足解决裂缝性及破碎性地层恶性漏失的要求。而王平全[40]对特种凝胶的抗冲稀性能进行了研究,实验验证了特种凝胶ZND具有强的抗冲稀能力,为有效堵住恶性漏失和对付喷漏同层的安全隐患提供了科学的实验依据与理论指导。

针对高温地层,由于普通凝胶抗温能力较差,难以适应堵漏环境的需求,胡子乔等[41]开展了抗高温凝胶的研究工作,通过引入抗温单体,研制了一种抗高温凝胶堵漏材料,采用丙烯酰胺(AM)、2-丙烯酰胺基-2-甲基丙磺酸(AMPS)和N-乙烯基毗咯烷酮(NVP)构成的三元共聚物(AM-AMPS-NVP),该凝胶材料具有良好的热稳定性,在180℃下老化24 h后,7.34 s1下剪切粘度大于10000 mPa∙S,大幅加重后180℃老化24 h仍能保持较好的粘弹性。宋元洪等[42]以聚丙烯酸钠(PAANa)和壳聚糖(CTS)为原料,以过硫酸钾(KPS)为引发剂,以N,N'-亚甲基双丙烯酰胺(MBA)为交联剂,碳酸钙(CaCO3)作为增强剂,通过优化PAANa和CTS二者比例,以水溶液聚合接枝共聚法制备高分子凝胶堵漏剂(CPA),高分子凝胶堵漏剂的抗盐性较好,温度越高,吸水速率越快,但最大吸水倍率基本相同,温度对吸水倍率影响不大,pH值在5~9时其吸水能力最强。张志强[43]、张文哲等[44]对酚醛树脂交联的高温凝胶进行了研究。采用部分水解聚丙烯酰胺(HPAM)与自制的三羟甲基苯酚为交联剂,利用聚丙烯酰胺分子侧链上酰胺基团中的活性氨基与三羟甲基苯酚分子中的三个羟甲基发生亲核反应,制备具有三维网状结构的交联聚合物凝胶,作为耐高温凝胶堵剂,连续受热24 h,凝胶体系水化严重且粘弹性变差,该耐温凝胶的最高耐温可达180℃。这是由于成胶后形成的网络结构中含有很多苯环结构,苯环中的碳–碳键的键长和键能相等,苯环结构因其结构稳定而具有一定的耐温性能,因此使得堵剂体系具有较好的耐高温性能。同时在加入柔性纤维后,纤维可与凝胶主链、侧链发生物理交联,通过增强空间网架结构,增强凝胶的耐温性能,增加了凝胶的韧性,提高了承压堵漏性能。而何绍群等[45]利用凝胶中聚合物链与硅藻土之间具有较强的相互作用,使得凝胶中分子运动受阻,提高了凝胶的耐温性。姚文爽等[46]针对目前凝胶堵漏材料强度低、韧性较差和成胶时间不可控等问题,以聚丙烯酰胺(PAM)为凝胶主剂、纳米二氧化硅为增强材料、羧甲基纤维素钠(CMC)为增粘材料、酚醛树脂为交联剂,通过物理化学交联反应研发了一种成胶强度高的纳米材料复合聚合物凝胶堵漏剂。结果表明,当加入1.5%聚丙烯酰胺、3%纳米二氧化硅、0.6%羧甲基纤维素钠、1.5%交联剂,交联温度为150℃,制备的复合凝胶堵漏剂性能最优,其对应复合凝胶强度为1000 Pa,成胶粘度达6 × 105 mPa∙s,成胶时间2 h。该凝胶堵漏剂具有良好的膨胀性能,可适应不同尺寸的裂缝通道,复合凝胶与惰性材料所形成的复合堵漏配方对1~4 mm裂缝漏层承压能力高达12 MPa (150℃、老化48 h),具有良好的堵漏效果,有望解决大孔隙、大裂缝等复杂高温漏失地层恶性漏失问题。

苏金磊等[47]为解决普通堵漏凝胶存在抗温、可控性较差等问题,通过分子结构设计,以丙烯酰胺、2-丙烯酰胺-2-甲基丙磺酸、疏水单体为原料合成了一种新型双亲聚合物,以新型双亲聚合物为主剂,通过与自制交联剂交联反应制备了一种新型凝胶堵漏剂。试验结果表明,堵漏剂成胶时间可控,凝胶抗温性能较好,在140℃下老化24 h后,仍有吐舌效应;应力为11 Pa、振动频率为0.01~15 Hz条件下,凝胶具有较好的粘弹性及剪切稀释性;凝胶承压能力较好,压力达到7 MPa时,在10~20目砂石模拟漏层中10 min的漏失量仅为2.3 mL。李文哲等[48]以甲基丙烯酸月桂酯(LMA)为疏水性单体,丙烯酰胺(AM)、2-丙烯酰胺基-2-甲基丙磺酸(AMPS)、丙烯酸(AA)为亲水性单体,通过自由基聚合法合成了凝胶封堵剂(LAS),并利用Al3+金属离子与聚合物分子链上的羧基配位作用增强凝胶的力学性能。结果表明,LAS凝胶表现出可再交联特性,在高温和高压条件下具有良好的封堵性能和自适应性。在120℃、6 MPa下,2%浓度的LAS凝胶对20~40目、40~60目和60~80目裂缝模拟砂床的漏失体积分别为69.5 mL、58.3 mL和41 mL,封堵性能明显优于常规凝胶和传统封堵剂。同时,LAS凝胶在不同温度和盐浓度条件下均具有较好的溶胀和流变性能,可在地层温度激发下形成稳定的封堵层,从而有效降低漏失体积。LAS凝胶的动态可再交联性使其在高温和高压环境下依然保持良好的封堵效果。汪成[49]通过改变纳米二氧化硅在凝胶溶液中质量分数,结果表明,随着纳米二氧化硅在凝胶配方中的质量分数从0增加至4%,凝胶溶液粘度从86 mPa∙s逐渐增加至141 mPa∙s,凝胶溶液的弹性模量从13.5 Pa增加至20 Pa、粘性模量由5.4 Pa增加至7.8 Pa。成胶后的凝胶的弹性模量从20.7 Pa增加至205 Pa、粘性模量由3.1 Pa增加至17.55 Pa,屈服值从72 Pa增加至1020 Pa,凝胶对热水的封堵压力从0.27 MPa增加至3.45 MPa,凝胶的微观网络结构逐渐致密,孔洞尺寸变小,说明纳米二氧化硅可以增加凝胶的弹性与强度。

沈群等[50]以互穿网络聚合物IPN、粉煤灰、交联剂A为主剂,研制了一种互穿网络凝胶堵漏配方:互穿网络聚合物IPN浓度2000 mg/L,交联剂A和交联剂B用量都为1.0%,粉煤灰用量6.0%。此凝胶在30℃下成胶时间短,老化45 d后成胶强度为G级。岩心封堵实验表明,岩心封堵率最高可达99%以上,突破压力梯度在7.55 MPa/m以上。该凝胶堵剂具有选择性封堵性能,封堵水层、不封堵油层。

对于凝胶的固结堵漏,刘伟等[51]通过对油基钻井液漏失特征及机理分析、研究,研制出二种不同温度下交联固化剂CQ-HM1,CQ-HM2,与油基钻井液按照40:60混合后,在100℃~150℃温度下,70~90 min即可固化成弹性体,抗压强度大于6 MPa。陈曾伟等[52]研究的交联凝胶材料SF-1,在地层高温、高Ca2+环境中与学固结堵漏材料HDL-1可发生井下交联反应,并迅速增稠、固结,粘度在10000 mPa∙S以上,滞留性强,且抗温达130℃、抗压15 MPa以上,可以解决碳酸盐岩缝洞漏层高温、高压差、高矿化度情况下漏失封堵难题。

3.4. 封堵剂

谢彬强等[53]基于疏水缔合聚合物的缔合理论,合成了新型的丙烯酰胺(AM)/十八烷基二甲基烯丙基氯化铵(C18DMAAC)/丙烯酸钠(AANa)疏水缔合共聚物(HMP)。结果表明,新型疏水缔合聚合物HMP的重均分子量小于10万,对钻井液的流变性能影响小,当HMP分子中疏水单体C18DMAAC摩尔含量达到0.66%,且HMP在钻井液中的质量浓度达到0.6%后,其具有优良的封堵性能,在高温高压条件下可以实现对石英砂床和不同渗透率岩心的有效封堵,且形成的封堵层薄而致密;因为封堵剂HMP分子中含有长烷基疏水链段,当HMP在钻井液中达到一定浓度时,其分子中的疏水链段会产生强烈的疏水缔合作用。由于HMP分子量较低,导致疏水基团的缔合方式发生改变,以分子内缔合为主形成不同尺寸的胶束状缔合体;同时,HMP分子中含有大量的吸附基团酰胺基和少量的季铵盐阳离子基团,可吸附大量的粘土,与粘土形成HMP/粘土复合体,这些胶束状缔合体、HMP/粘土复合体可以充填由纤维、碳酸钙等架桥材料形成的封堵层中的微孔隙,从而进一步降低封堵层的渗透率,并增强封堵层的强度。

褚军杰等[54]以经过KH-570烷基化处理的纳米二氧化硅为填料,以甲基丙烯酸甲酯(MMA)为聚合物基体,使用溶液聚合法合成了具有核壳结构的纳米二氧化硅封堵材料NMFD-1。实验结果表明,合成的NMFD-1质均分子量为13,974,平均粒径位于30 nm左右,在3%浓度的NMFD-1加量下,滤饼的封堵率达91.16%页岩一次回收率90.11%,页岩膨胀率仅2.7%,说明该材料性能优异,封堵抑制效果好,同时NMFD-1的加入可以改善钻井液流变性,增强钻井液携岩能力和失水造壁性。

李欣儒等[55]以丙烯酰胺和丙烯酸为功能单体,硝酸铝为交联剂,通过油包水乳液形成的微反应器进行自由基聚合,并引入氧化石墨烯纳米材料制备得到各向同性良好的P (AA/AM)复合石墨烯(GO)凝胶暂堵剂颗粒。由于纳米材料的加入,分子链相互缠绕,形成三维空间结构有利于提高暂堵剂颗粒的强度,并且此时GO与大分子链上的基团COOH及CONH2通过氢键等力连接,利于提高暂堵剂的抗压和抗盐能力。结果表明,复合凝胶暂堵剂颗粒不但尺寸均一,而且由于纳米材料的引入,暂堵剂颗粒自身的吸水倍率、耐盐性和承压强度等性能显著提高。

3.5. 抑制剂和防塌剂、成膜剂

在抑制剂和防塌剂、成膜剂方面的改性,主要是合成小分子聚合物,同时在其分子结构上引入阳离子集团、能在膨润土层间结构表面吸附的胺基基团以及表面网状结构的无机物从而抑制膨润土的水化膨胀分散而实现。

钟成兵等[56]将疏水基团十六烷基三甲基溴化铵(CTAB)接枝到纳米二氧化硅表面制备了新型页岩稳定剂(SNL),结果表明,新型页岩稳定剂粒度分布在0.06~0.22 μm范围内,平均粒径为0.12 μm,能有效抑制粘土的水化膨胀和分散,其水化抑制效果优于常用水化抑制剂,通过在泥页岩裂隙中填充、弱化粘土的静电斥力,包被粘土粒子,并将其表面变得疏水,来弱化泥页岩水化作用,改善泥页岩井壁稳定性。

王伟吉[13]采用改进的Hummers方法对石墨烯表面进行活化处理,引入羧基、羟基、环氧基等活性基团,与优选的单体在活化石墨烯表面接枝聚合,制备了一种基于石墨烯修饰的超低渗透成膜剂SMSL。结果表明,超低渗透成膜剂SMSL的分子结构达到了设计要求,可显著降低岩石的压力传递及自渗吸作用,与高效聚合物成膜剂相比其页岩成膜效率提高162.96%,致密砂岩自渗吸能力降低88.74%,与水基钻井液的配伍性较好。研究结果表明,钻井液中加入超低渗透成膜剂SMSL,可在井壁上形成致密膜,能够阻止钻井液滤液进入地层,维持井壁稳定和保护储层,而这一切得益于石墨烯的网状结构。

朱金智等[57]通过优选,引入了一种能够用于渗透性地层和泥岩地层的温压成膜剂PF-HCM,成膜剂PF-HCM分子与水接触后,在井底压差作用下粒子之间发生聚并、融合,当一粒子外层进入另一粒子中间层时,分布在外层与中间层的反应性官能团发生交联反应而形成网状结构,直至粒子最外侧的亲水性官能团被反应完全。无数胶束粒子相互之间都发生着上述同样的聚并、融合、交联过程,最后形成连续性的膜,并且有一定强度,整个体系成为均匀分布着硬核的完整交联网络体系。实验结果表明,成膜剂PF-HCM在30℃~180℃较宽的温度范围内均具有较高的成膜效率,对低、中、高不同渗透率级别的岩心均表现出良好的封堵特性。

由于小分子量树枝状聚合物大小在纳米尺寸范围内,易进入泥页岩基质和黏土层间,也能吸附在泥页岩表面,抑制活性泥页岩外表面的水化,可作为钻井液的抑制剂或防塌剂。对泥页岩/黏土内外表面的双重抑制作用可避免泥页岩表面和基质的破坏,因而采用水基钻井液钻井即能保持泥页岩地层的稳定。由于树枝状聚合物巨大的比表面积和多吸附点,其使用浓度将非常低。同时,纳米尺寸的树枝状聚合物进入泥页岩基质中,当树枝状聚合物端基带正电时,会强烈吸附在渗透性通道和孔喉的壁上,部分或者完全封堵近井壁泥页岩基质,有效阻挡其它无机盐离子进入,提高泥页岩膜效率,从而进一步阻隔更多水分子的进入,从而提高泥页岩膜效率[8]

马英杰[9]针对聚胺抑制剂的作用效果和存在的缺点,结合树枝状分子的性质特征,开发了一系列分子量较小、黏度低、溶解性好的低聚酰胺–胺类产品,分别含有高密度的伯胺基、叔胺基、酰胺基和羟基,具有较好的抑制黏土水化膨胀的作用。探讨了作用机理,认为低聚酰胺–胺分子具有高度支化结构,支化末端的作用基团可与黏土颗粒表面形成多点吸附,作用力更强,进而防止颗粒运移。张国等[10]报道了一种含有树枝状多胺基聚合物的钻井液,采用树枝状多胺基聚合物来抑制泥页岩的水化膨胀和分散,其实质为低代数的聚酰胺–胺树枝状聚合物。钟汉毅[11]等针对泥页岩水化特征,将树枝状聚合物聚酰胺–胺PAMAM作为泥页岩稳定剂。研究表明,不同代数树枝状聚合物聚酰胺–胺能有效抑制泥页岩水化膨胀和分散,G0代PAMAM和G5代PAMAM抑制性优于传统的KCl和聚醚胺类抑制剂,适当降低介质pH可提高其抑制性。不同代数的PAMAM在黏土表面的吸附排列方式不同,G0代为单层吸附;G1代、G2代和G3代在黏土层间的吸附与浓度有关,随着浓度的升高分子排列由单层向双层转变;G4代和G5代相对分子质量较大,由于空间位阻效应不能进入黏土晶层间,主要吸附在黏土颗粒的外表面。G0代能抑制黏土晶层内表面的水化膨胀,G5代能阻止黏土颗粒的水化分散,将2者配合起来可达到协同稳定泥页岩的效果(见图7) [11]

Figure 7. Scheme of interaction between PAMAM dendrimers bentonite

7. 树枝状聚合物PAMAM与膨润土的作用示意图

Figure 8. Schematic diagram of bentonite inhibition by HPEI

8. 聚乙烯亚胺抑制膨润土水化膨胀机制

宋然然等[58]选取了重均分子量为6 × 104 g/mol的超支化聚乙烯亚胺(HPEI)作为水基钻井液页岩的抑制剂。HPEI对膨润土水化膨胀有良好的抑制作用,HPEI分子进入黏土层间,通过静电引力和氢键的共同作用减弱黏土水化分散,其疏水结构阻止水分子进入黏土层间,抑制膨润土晶层膨胀。宣扬等[59]研究了超支化聚乙烯亚胺作为水基钻井液高性能页岩抑制剂的应用潜力。结果表明,超支化聚乙烯亚胺能够有效抑制膨润土和泥页岩的水化分散,其中相对分子质量为600和750,000的聚乙烯亚胺抑制效果相对最强,低相对分子质量聚乙烯亚胺主要通过抑制膨润土晶层膨胀以及中和膨润土颗粒外表面负电荷来抑制膨润土的水化膨胀、分散,而高相对分子质量的聚乙烯亚胺主要通过超支化分子链的架桥作用抑制膨润土颗粒的分散(见图8) [59]。魏云锦等[60]以二乙烯三胺和N,N-亚甲基双丙烯酰胺为原料,通过迈克尔加成反应合成了超支化聚合物HP-NH2,其分子结构见图9 [60]。研究发现,HP-NH2的数均分子量为3371 g/mol,多分散指数为2.7,分子量分布较宽,粒径280 nm~1900 nm,抗温能力达到280℃。研究表明,随着HP-NH2浓度的增加,膨润土的线性膨胀率逐渐降低(最低为19.11%),岩肩–的滚动回收率逐渐升高(最高为75.18%),人造泥饼的渗透率逐渐下降。小分子HP-NH2能够插入蒙脱石的晶层间,交换出层间易水化的阳离子,拉紧基底间距,抑制蒙脱石的水化分散;大分子HP-NH2能有效封堵泥饼的微纳米孔缝,起到一剂多用的功效。因此,HP-NH2可作为一种潜在的一剂多用防塌剂应用于水基钻井液体系。

王昊[61]以乙二胺和丙烯酸甲酯为原料,通过迈克尔加成反应合成AB2单体,并通过AB2单体间的缩聚反应制备出端胺基超支化聚合物,其能够有效降低膨润土晶层水化膜厚度与膨润土颗粒Zeta电位的绝对值,与常用的抑制剂效果相当。

谢刚等[62]报道了一种纳米封堵剂,该封堵剂是由哌嗪、二乙烯三胺、二乙烯基砜按照一定物质的量比反应得到的超支化聚合物,端基含有大量伯胺基,具有优良的抗温性能。谢刚[63]等以二乙烯基砜和4-氨基二苯胺为反应单体,采用A2+BB2’的合成方法得到了超支化聚胺,其平均粒径为36.7 nm,在油基钻井液中分散性良好,对油基钻井液的流变性影响较小,且能显著降低其API滤失量和高温高压滤失量,显示出较好的封堵效果,可适用于页岩地层微纳米孔隙的封堵。徐琳等[63]通过分析超支化聚合物的分子结构特点,认为具有核壳结构的超支化聚合物分散能力强,稳定性高,能达到纳米体积,或通过接枝改性纳米材料,形成的纳米材料能够进入页岩中微孔隙裂缝进行封堵,可以更大程度地减少滤液渗流,稳定井壁,保护储层。采用超支化聚合物制备的纳米封堵剂能够达到良好的封堵效果,可为钻井液处理剂的开发提供一个新的思路。徐琳等[64]以丙烯酸甲酯和乙二胺为单体,采用发散法在纳米二氧化硅表面接枝超支化聚酰胺,并用氨基己磺酸进行端基改性,得到端磺酸基纳米二氧化硅接枝产物。该产品的降滤失封堵效果优良,显著优于纳米二氧化硅。张海冰[65]以丁二酸酐和二乙烯三胺为原料,四氢呋喃为溶剂,合成了一种以胺基为端基的阳离子型超支化聚合物(HP-NH2),然后以环氧丙基三甲基氯化铵对HP-NH2端基进行改性得到了以季铵盐为端基的阳离子超支化聚合物(HP-HTC)。HP-NH2和HP-HTC不仅对黏土的水化膨胀具有良好的抑制性能,同时对纳米孔隙以及低渗岩心具有良好的封堵能力。徐琳[12]首先选择单体丙烯酸甲酯和乙二胺,通过“接枝于法”在纳米SiO2表面逐步接枝引入超支化聚酰胺,并将末端胺基进行改性,合成出端基为磺酸基的接枝产物(HB-PA-S)。该产物与纳米SiO2相比,封堵作用显著提高,可作为封堵主剂使用。

Figure 9. Structure of amino-terminated hyperbranched poly (amide-amine) (HP-NH2)

9. HP-NH2的化学结构式

具有网状结构的处理剂比传统线性聚合物在关键性能指标上具有很大的优越性,实例对比见表2

Table 2. Performance comparison of network-structured polymers and traditional linear polymers

2. 网状结构处理剂与传统线性聚合物性能对比表

钻井液处理剂

网状结构处理剂

线性聚合物

降滤失剂

超支化聚合物PPAAN-1,220℃ API滤失量为9.8 ml。

聚阴离子纤维素(PAC),90℃~120℃ API滤失量 为6~10 ml;120℃~150℃ API滤失量为12~20 ml; >150℃ API滤失量为>25 ml。

增粘、提切、

流型调节剂

超支化改性黄原胶HB-VIS,88小时后的动塑比 保留率65.1%。

黄原胶XC,88小时后的动塑比保留率30.8%。

絮凝剂

超支化聚合物(HPAE-F)用于油气田废弃物钻井 液絮凝沉淀中,色度去除率可达95%,透光率 达96.5%。

聚丙烯酰胺用于油气田废弃物钻井液絮凝沉淀中, 色度去除率70%~90%,透光率达70%~85%。

堵漏剂

一种抗高温纤维强化凝胶堵漏剂,在140℃ 高温下,该凝胶颗粒对砂床封堵层抗压强度 均高于7 MPa,对进口缝宽为7 mm、出口缝宽 为3 mm的楔形裂缝封堵承压能力高于5 MPa。

普通瓜尔胶,承压能力 < 1 MPa,超过93℃会发生 热降解,粘度和强度急剧下降,承压能力归零。

封堵剂、防塌剂

超支化封堵剂NMFD-1对滤饼封堵率达到 91.16%,抗温达到180℃。

酚醛树脂,在一定条件下固化,形成封堵层,主要封堵裂缝性地层,抗温150℃。

成膜剂

超低渗透成膜剂SMSL,压力穿透岩心时间 约为15 h,此时页岩渗透率为3.02 × 10−5 mD, 膜效率为0.284。

聚合物成膜剂LSF,压力穿透岩心时间约为9 h, 此时页岩渗透率为7.56 × 10−5 mD,膜效率为0.108。

抑制剂

阳离子型超支化聚合物HP-NH2,膨润土的线性 膨胀率为19.11%。

部分水解聚丙烯酰胺(DPHP),膨润土线性膨胀率为 50%,需配合无机盐一起使用。

4. 结束语

具有网状结构钻井液处理剂在降滤失、增粘、提切、堵漏、成膜、防塌等方面都表现出显著优势,在钻井液中也有较为广泛的应用,而且比直链型处理剂具有更为优越的性能,在研制和开发新型处理剂时,通过合适的途径有目的地使处理剂分子结构具有网状结构,用最低成本的合成方法研制合成出高性价比的钻井液处理剂就更为有意义。目前大多采用交联法来提高处理剂的抗温能力和效果,今后应该在合成新的抗高温交联剂上加大研究;利用超支化和疏水单体的途径开发新的处理剂也有很大进展,小分子量的具有网状结构的超支化聚合物在抑制和防塌方面性能更为优越,但在采用互穿网络和高分子量树枝状聚合物研发新的钻井液处理方面还有很大的研究空间,今后应该加大该方向在钻井液领域的研究与应用。

参考文献

[1] 张高波, 李培海, 乔汉, 等. 水基钻井液低高温高压滤失量控制方法及途径[J]. 钻井液与完井液, 2022, 39(4): 406-414.
[2] 任晗, 罗霄, 罗跃, 等. 微交联聚合物降滤失剂的合成与性能[J]. 合成化学, 2019, 27(8): 594-599.
[3] 王中华. 高性能钻井液处理剂设计思路[J]. 中外能源, 2013, 18(1): 36-46.
[4] 闫超. 互穿聚合物网络的研究与应用进展[J]. 中国胶粘剂, 2009, 18(10): 52-56.
[5] 冯世德, 曲红杰, 孙太凡, 等. 树枝状大分子的合成与应用[J]. 化学工程师, 2014, 28(11): 40-42.
[6] 杨惠, 张巍, 杨世伟, 孙晋红, 等. 聚酰胺-胺类树枝状大分子的合成与应用研究进展[J]. 应用化工, 2009, 38(4): 576-603.
[7] 王鹤童. 树枝状聚合物的合成与性能研究[J]. 盐科学与化工, 2018, 47(5): 16-20.
[8] 鲁红升, 徐凯, 杨宇尧, 等. 两性型树枝状破乳剂的合成与破乳性能[J]. 精细石油化工, 2012, 29(3): 32-34.
[9] 马英杰. 低聚酰胺-胺的合成及其抑制黏土膨胀性能研究[D]: [硕士学位论文]. 西安: 西安石油大学, 2012.
[10] 钟汉毅, 高鑫, 邱正松, 郭保雨, 等. 树枝状聚合物在钻井液中的应用研究进展[J]. 钻井液与完井液, 2019, 36(4): 397-406.
[11] 钟汉毅, 邱正松, 黄维安, 张道明, 等. PAMAM树枝状聚合物抑制泥页岩水化膨胀和分散特性[J]. 中南大学学报(自然科学版), 2016, 47(12): 4132-4140.
[12] 徐琳. 纳米SiO2接枝超支化聚合物的合成及其在钻井液中的应用[D]: [硕士学位论文]. 成都: 西南石油大学, 2017.
[13] 王伟吉. 基于石墨烯修饰的超低渗透成膜剂制备及性能评价[J]. 石油钻探技术, 2021, 49(1): 59-66.
[14] 王志永, 周新宇, 李怀科, 等. 具有双重交联结构的低成本高性能降滤失剂[J]. 油田化学, 2025, 2(42): 198-205.
[15] 宋永涛. 基于季戊四醇的超支化降滤失剂的合成及评价[D]: [硕士学位论文]. 荆州: 长江大学, 2023.
[16] 宋永涛, 周丰, 余维初, 等. 基于季戊四醇的超支化降滤失剂的合成及性能评价[J]. 钻井液与完井液, 2022, 39(5): 587-595.
[17] 丁伟俊, 张颖, 余维初, 等. 无粘土水基钻井液用超支化聚合物降滤失剂的合成及性能评价[J]. 特种油气藏, 2024, 31(4): 169-174.
[18] 王中华. 钻井液用超支化反相乳液聚合物的合成及其性能[J]. 钻井液与完井液, 2014, 31(3): 14-18.
[19] 徐生婧. 抗高温超支化乳液聚合物的中试生产及应用[J]. 精细石油化工进展, 2024, 25(5): 20-25.
[20] 郭鹏, 孟丽艳, 苏雪霞, 等. 超支化聚合物的制备及现场应用[J]. 精细石油化工进展, 2023, 23(1): 14-17.
[21] 苏雪霞, 王中华, 孙举, 等. 基于星型单体与RAFT相结合的超支化聚合物的合成与评价[J]. 精细石油化工, 2023, 40(4): 22-26.
[22] 戎克生, 杨彦东, 徐生江, 等. 抗高温微交联聚合物降滤失剂的制备与性能评价[J]. 油田化学, 2018, 35(4): 582-586+591.
[23] 范开鑫. PAAD改性纳米二氧化硅共聚物钻井液降滤失剂的制备及性能研究[D]: [硕士研究生论文]. 成都: 西南石油大学, 2017.
[24] 毛惠, 邱正松, 沈忠厚, 等. 疏水缔合聚合物纳米二氧化硅降滤失剂的研制及作用机理[J]. 石油学报, 2014, 35(4): 771-778.
[25] 曲建峰. 钻井液用氧化石墨烯/聚合物成膜降滤失剂的研制[D]: [硕士研究生论文]. 北京: 中国石油大学, 2018.
[26] 罗情丹, 毕彩丰, 赵宇, 等. 高粘度聚丙烯酸类增粘剂的合成及表征[J]. 中国海洋大学学报, 2011, 41(S1): 295-298.
[27] 覃孝平, 朱盛, 李跃, 石琼林, 等. 超支化疏水缔合聚合物的合成及性能[J]. 化学研究与应用, 2023, 35(10): 2503-2510.
[28] 孙举, 李振智, 苏雪霞, 郑志军, 等. 抗高温弱凝胶提粘切剂WG-1的合成及评价[J]. 钻井液与完井液, 2016, 33(2): 12-16.
[29] 张永涛, 刘文俊, 连利彬. 一种超支化聚合物流变调节剂的室内研究与应用[J]. 化学工程师, 2024, 38(11): 16-12+38.
[30] 张领宇. 水基钻井液提切剂的研发与作用机理研究[D]: [硕士学位论文]. 北京: 中国石油大学, 2016.
[31] 张领宇, 蒋官澄, 安玉秀, 等. 钻井液用超分子增粘提切剂-ZJA的研发与评价[J]. 现代化工, 2016, 36(1): 131-135.
[32] 田发国, 李建波, 高建林, 陶卫清, 等. 钻井液增粘提切剂YF-01的研制[J]. 精细石油化工进展, 2009, 10(3): 4-7.
[33] 蒋官澄, 王凯, 贺垠博, 董腾飞, 罗绪武, 等. 基于超分子化学的钻井液新技术[J]. 中国石油大学学报(自然科学版), 2020, 44(4): 111-120.
[34] 褚奇, 石秉忠, 李涛, 李胜, 唐文泉. 水基钻井液用低增粘提切剂的合成与性能评价[J]. 钻井液与完井液, 2019, 36(6): 689-693.
[35] 王墩明. 半连续RAFT聚合制备丙烯酰胺支化聚合物[D]: [硕士学位论文]. 杭州: 浙江大学, 2012.
[36] 王学川, 胡艳鑫, 郑书杰, 任龙芳. 超支化聚合物絮凝剂的合成与表征[J]. 精细石油化工, 2011, 28(3): 36-40.
[37] 陈军. 聚合物凝胶堵漏剂研究进展[J]. 山东化工, 2020, 49(13): 48-51.
[38] 聂勋勇, 王平全, 张新民. 聚合物凝胶堵漏技术研究进展[J]. 钻井液与完井液, 2007, 24(1): 82-84.
[39] 钱志伟, 王平全, 白杨. 钻井堵漏用特种凝胶的适用性[J]. 钻井液与完井液, 2012, 29(2): 51-54.
[40] 王平全, 李再钧, 聂勋勇, 罗平亚. 用于钻井堵漏和封堵的特种凝胶抗冲稀性能[J]. 石油学报, 2012, 33(4): 607-701.
[41] 胡子乔, 刘四海, 张金成, 李大奇, 褚奇. 新型抗高温二次交联凝胶堵漏材料的研制[J]. 探矿工程(岩土钻掘工程), 2016, 43(7): 103-106.
[42] 宋元洪, 杨蓉, 庄建山, 吕梦妮, 等. 高分子凝胶堵漏剂的研究[J]. 钻井液与完井液, 2016, 33(5): 92-97.
[43] 张志强. 一种高温凝胶堵剂的研制及性能评价[J]. 石油化工应用, 2018, 37(9): 35-40.
[44] 张文哲, 孙金声, 白英睿, 李伟, 等. 抗高温纤维强化凝胶颗粒堵漏剂研究[J]. 钻井液与完井液, 2020, 37(3): 269-274.
[45] 何绍群, 柏永青, 于田田, 谢志勤, 等. 纳米硅藻土增强聚丙烯酰胺凝胶堵剂强度及耐温性[J]. 科学技术与工程, 2018, 18(29): 65-71.
[46] 姚文爽, 刘泼, 郝惠军, 叶艳, 等. 纳米二氧化硅复合聚合物凝胶的制备与堵漏性能[J]. 钻井液与完井液, 2025, 42(3): 330-337.
[47] 苏金磊, 谢彬强, 夏宏南. 新型抗高温可控凝胶堵漏剂的研究[J]. 能源化工, 2018, 39(6): 55-60.
[48] 李文哲, 黄桃, 唐宜家, 等. 基于疏水缔合作用的凝胶封堵剂及封堵机制研究[J]. 钻井液与完井液, 2025, 42(4): 486-493.
[49] 汪成. 纳米二氧化硅对聚合物凝胶强度的影响[J]. 当代化工, 2021, 50(5): 1086-1089.
[50] 沈群, 王健, 董婉, 金志, 等. 低温互穿网络凝胶堵剂的研制与性能评价[J]. 精细石油化工进展, 2012, 13(8): 25-28.
[51] 刘伟, 毛莉君, 欧阳伟. 页岩气油基交联固化堵漏技术研究与应用[J]. 钻井液与完井液, 2021, 38(2): 207-211.
[52] 陈曾伟, 王悦坚, 李大奇, 刘四海, 等. 抗高温井下交联固结堵漏技术在塔河油田的应用[J]. 钻井液与完井液, 2015, 32(3): 42-46.
[53] 谢彬强, 郑力会. 基于疏水缔合聚合物的新型钻井液封堵剂[J]. 石油钻采工艺, 2015(5): 41-45+63.
[54] 褚军杰, 秦国宏, 时永会, 崔江峰, 等. 具有核壳结构的纳米二氧化硅封堵材料的合成与性能评价[J]. 钻采工艺, 2018, 41(5): 95-97.
[55] 李欣儒, 郑力军, 石华强, 吴彦飞. P.P(AA/AM)复合石墨烯凝胶暂堵剂的研制及性能评价[J]. 应用化工, 2019, 48(8): 1805-1808.
[56] 钟成兵, 罗霄. 基于疏水改性的纳米二氧化硅页岩稳定剂的制备及性能评价[J]. 石油钻采工艺, 2023, 46(1): 153-158.
[57] 朱金智, 许定达, 任玲玲, 苏超, 张震, 等. 封堵防塌成膜剂PF-HCM在钻井液中的应用[J]. 当代化工, 2016, 45(11): 2530-2533.
[58] 宋然然, 蒋官澄, 宣扬, 赵利, 等. 超支化聚乙烯亚胺作为高效水基钻井液页岩抑制剂的研究[J]. 油田化学, 2017, 34(3): 390-396.
[59] 宣扬, 蒋官澄, 宋然然, 王治法, 等. 超支化聚乙烯亚胺作为钻井液页岩抑制剂研究[J]. 中国石油大学学报(自然科学版), 2017, 41(6): 178-186.
[60] 魏云锦, 黄学刚, 邹源红, 徐伟宁, 等. 超支化聚合物HP-NH2的合成及防塌机理研究[J]. 西南石油大学学报(自然科学版), 2021, 43(4): 99-108.
[61] 王昊. 页岩气水基钻井液用超支化聚胺结构与性能研究[D]: [硕士学位论文]. 成都: 西南石油大学, 2017.
[62] 谢刚, 罗平亚, 邓明毅. 一种超低分子量树枝状烷基六胺页岩抑制剂及其合成方法[P]. 中国专利, CN106380407B. 2017-02-08.
[63] 徐琳, 邓明毅, 郭拥军, 张海冰, 等. 纳米封堵剂在钻井液中的应用进展研究[J]. 应用化工, 2016, 45(4): 742-746.
[64] 徐琳, 邓明毅, 郭拥军, 张海冰, 等. 纳米SiO2接枝超支化聚酰胺的合成及性能评价[J]. 石油化工, 2016, 45(11): 1352-1356.
[65] 张海冰, 邓明毅, 马喜平, 周素林, 等. 端氨基超支化聚合物泥页岩抑制剂的合成与性能评价[J]. 石油化工, 2016, 45(9): 1081-1086.