PEG修饰的CoB催化氨硼烷水解产氢性能研究
Performance of PEG Modified CoB Catalyst for Hydrogen Generation from Hydrolysis of Ammonia Borane
DOI: 10.12677/ms.2026.162041, PDF, HTML, XML,    科研立项经费支持
作者: 胡梦琪, 李亚茹, 刘馨璐, 翟梦怡, 于明泉, 朱妍妍:郑州师范学院化学化工学院,河南 郑州
关键词: CoBPEG氨硼烷水解产氢CoB PEG Ammonia Borane Hydrolysis Hydrogen Production
摘要: 在氢能的利用中,高效氨硼烷水解产氢催化剂至关重要,本研究选择Co(NO3)2∙6H2O和NaBH4作为原料,采用化学还原法制备了PEG修饰的CoB催化剂。系统探究了不同分子量PEG、不同PEG用量修饰的CoB催化剂对催化氨硼烷水解产氢性能的影响,同时还探究了搅拌速率、催化剂用量、反应温度对氨硼烷水解产氢性能的影响。利用X射线衍射仪测定了PEG修饰的CoB催化剂的物相结构。实验结果表明,氨硼烷水解的产氢速率与PEG修饰的CoB催化剂的用量呈正比,说明反应处于反应动力学控制阶段,外扩散效应已被消除。当搅拌速率达到750 r∙min−1时,PEG修饰的CoB催化剂催化氨硼烷水解产氢速率最快,但进一步提高转速会导致颗粒团聚。质量分数为2%的PEG6000修饰的CoB表现出最佳的活性,PEG6000修饰的CoB催化氨硼烷水解产氢效果最佳,测得氨硼烷水解反应的活化能为44.04 kJ∙mol−1,TOF值为761.22 mol H2∙mol−1 CoB∙min−1
Abstract: In the utilization of hydrogen energy, efficient ammonia borane hydrolysis hydrogen production catalysts are of vital importance. In this study, Co(NO3)2∙6H2O and NaBH4 were selected as raw materials, and PEG-modified CoB catalysts were prepared by the chemical reduction method. The effects of CoB catalysts modified with PEG of different molecular weights and different PEG dosages on the hydrogen production performance of ammonia borane hydrolysis were systematically investigated. Meanwhile, the effects of stirring rate, catalyst dosage and reaction temperature on the hydrogen production performance of ammonia borane hydrolysis were also investigated. The phase structure of the PEG-modified CoB catalyst was determined by X-ray diffractometer. The experimental results show that the hydrogen production rate of ammonia borane hydrolysis is directly proportional to the dosage of PEG-modified CoB catalyst, indicating that the reaction is in the kinetic control stage, and the internal and external diffusion effects have been eliminated. When the stirring rate reaches 750 r∙min−1. The PEG-modified CoB catalyst has the fastest hydrogen production rate for the hydrolysis of ammonia borane, but further increasing the rotational speed will lead to particle agglomeration. The PEG6000-modified CoB with a mass fraction of 2% exhibited the best activity and had the best catalytic effect on the hydrolysis of ammonia borane to produce hydrogen. The activation energy of the ammonia borane hydrolysis reaction was measured to be 44.04 kJ∙mol−1, and the TOF value was 761.22 mol H2∙min−1 CoB∙min−1.
文章引用:胡梦琪, 李亚茹, 刘馨璐, 翟梦怡, 于明泉, 朱妍妍. PEG修饰的CoB催化氨硼烷水解产氢性能研究[J]. 材料科学, 2026, 16(2): 219-229. https://doi.org/10.12677/ms.2026.162041

1. 引言

1.1. 研究背景

近年来,随着全球经济的快速发展和工业化进程的加速,全球能源需求呈现出持续增长趋势。与此同时,传统化石燃料的高污染和不可持续性问题日益突出,对全球生态环境造成了严重的负面影响。据统计,2024年全球二氧化碳排放量达到416亿吨,其中85%来自化石燃料燃烧。传统化石燃料的大规模使用不仅导致温室效应不断加剧,还引发了一系列复杂的环境问题,如极端气候事件频繁发生、酸雨范围不断扩大和雾霾天气增多等[1]。这些环境问题不仅威胁到人类的健康和生活质量,也对全球生态系统的平衡和稳定构成了严峻挑战。在这一背景下,世界各国纷纷将研究重点转向开发可持续的清洁能源,希望实现能源结构的转型和升级,减少对传统化石燃料的依赖,降低碳排放,保护环境。氢气作为一种理想的清洁能源,因其能量密度高[2]、燃烧产物仅为水、无污染[3],来源广泛等显著优势,被认为是未来能源转型的重点研究方向之一。然而,氢气的储存和运输一直是制约其大规模应用的瓶颈问题[4]。传统的储氢方式如高压储氢、液态储氢等,虽然在一定程度上能够满足氢气的存储要求,但是它们各自存在明显的缺点。高压储氢需要极高的压力,这不仅增加了设备的复杂性和成本,还带了较高的安全隐患。液态储氢则需要将氢气冷却至极低的温度,这一过程能耗巨大,且液态氢的储存和运输条件极为苛刻,技术难度较高。这些缺点严重限制了氢气在实际应用中的推广和普及。

化学储氢材料因其高安全性和可控释氢特性成为研究热点。其中,氨硼烷(NH3BH3,简称AB)作为一种新型的储氢材料[5],因其高达19.6%的储氢容量、良好的化学稳定性以及在温和条件下的高效水解产氢能力[6],成为氢气储存和释放领域的研究热点。然而,氨硼烷水解产氢反应在没有催化剂的情况下水解速度非常缓慢。因此,开发高效、稳定且成本低廉的催化剂是实现氨硼烷水解产氢技术实用化的关键。

1.2. 研究综述

近年来,非贵金属催化剂,特别是钴(Co)、镍(Ni)和铜(Cu)基催化剂,因其在氨硼烷水解产氢方面具有的潜在应用价值而受到广泛关注[7]。与贵金属催化剂相比,非贵金属催化剂具有成本效益高、储量丰富等优点,为氨硼烷水解产氢提供了一条经济可行的途径[8]。钴基催化剂由于其相对低廉的价格和良好的催化性能,在氨硼烷水解制氢领域受到了广泛的研究[9]。Co-B催化剂已被证明对氨硼烷水解产氢具有优异的催化活性,为了进一步提高Co-B催化剂的性能,研究人员开发了多种改性策略,例如Chen [10]等人利用CuNWs和CTAB对CoB进行改性。所制得的Co-B/CuNWs/CTAB复合材料在室温下表现出高效的氨硼烷催化活性。镍基催化剂同样因其良好的催化活性和相对较低的成本也备受关注。Yang [11]等人的研究表明,负载在泡沫镍上的低成本三元镍–铁–磷化物催化剂(Ni-Fe-P/Ni foam)具有优异的氨硼烷水解催化性能。通过一步化学镀法合成了Ni-Fe-P/Ni foam催化剂,所制备的Ni-Fe-P催化剂均匀的分布在镍泡沫上。非贵金属催化剂虽然在氨硼烷水解产氢方面取得显著进展,但仍面临一些挑战,如CoB催化剂因高表面能和磁性[10],颗粒容易团聚。PEG因具有高分散性和高选择性[12] [13]可以有效抑制颗粒团聚。因此,需要开发新型非贵金属催化剂、优化催化剂的结构和组成、探索更温和的反应条件等,以进一步提高非贵金属催化剂在氨硼烷水解产氢中的应用潜力。

1.3. 研究内容

基于以上研究,本研究利用化学还原法制备PEG修饰的CoB催化剂。通过探究不同分子量PEG修饰的CoB催化剂、不同PEG用量修饰的CoB催化剂、搅拌速率、PEG修饰的CoB催化剂用量、反应温度等条件对CoB催化剂催化氨硼烷水解产氢性能的影响,优化催化剂性能。利用阿伦尼乌斯公式计算PEG修饰的CoB催化剂催化氨硼烷水解反应的活化能。计算常温常压下利用CoB催化剂催化氨硼烷水解反应的TOF值。使用X射线衍射仪(XRD)对PEG修饰的CoB催化剂进行物相分析,揭示催化剂晶相结构和催化剂性能之间的关系。

2. 实验内容

2.1. 实验试剂及设备

实验所用主要试剂和仪器见表1表2

Table 1. Main reagents

1. 主要试剂

实验试剂

纯度

生产厂家

硼氢化钠

分析纯

天津市科密欧化学试剂有限公司

氢氧化钠

分析纯

天津市永大化学试剂有限公司

六水合硝酸钴

分析纯

上海易恩化学技术有限公司

PEG200

分析纯

阿拉丁生化科技有限公司

PEG1000

分析纯

昆明贵研铂业有限公司

PEG2000

分析纯

天津市科密欧化学试剂有限公司

PEG6000

分析纯

天津市科密欧化学试剂有限公司

PEG8000

分析纯

天津市光复精细化工研究所

Table 2. Main equipment

2. 主要设备

实验设备

型号

生产厂家

恒温磁力搅拌器

ZNCL-GS130*70

郑州郑升仪器设备有限公司

电热恒温鼓风干燥箱

DHG-9070A

上海精宏实验设备有限公司

电子分析天平

AF224

上海恒平天平科学仪器有限公司

电子天平

SE3001F

奥豪斯仪器(上海)有限公司

X射线衍射仪

UItima IV

日本理学有限公司

2.2. 催化剂的制备

本研究通过化学还原法制备PEG修饰的CoB催化剂,具体步骤如下:精确称取2 g Co(NO3)2·6H2O与0.04 g PEG6000,置于250 mL烧杯中,加入50 mL去离子水,以600 r∙min1搅拌20 min混匀,得A溶液;另称取0.27 g NaOH与1.3 g NaBH4,溶解于20 mL去离子水制得B溶液。室温、600 r∙min1搅拌下,将B溶液缓慢滴入A溶液,滴加完毕后继续搅拌1 h促反应充分,抽滤收集产物,60℃烘箱干燥2 h后研磨成粉,即得PEG修饰的CoB催化剂。为探究PEG修饰对催化剂氨硼烷水解产氢性能的影响,本研究设置两组变量:一是选用不同分子量PEG (无PEG、PEG200、PEG1000、PEG2000、PEG6000、PEG8000),制备CoB、PEG200-CoB等6种催化剂;二是调整PEG用量(无PEG、1%、2%、4%),制备0%PEG-CoB至4% PEG-CoB 4种催化剂,通过对比各催化剂性能,全面分析PEG修饰的影响。

2.3. 催化剂表征

利用X射线衍射仪对PEG修饰的CoB催化剂样品进行结构表征。实验中采用波长为0.15418 nm的CuKα射线进行扫描,将X射线管的电压设置为40 kV,电流调整为40 mA,扫描角度范围为2θ = 10˚~90˚。在上述条件下得到样品的衍射图谱,进而对PEG修饰的CoB催化剂的结构特征进行分析。

2.4. 催化剂性能评价

本研究通过排水集气法对不同PEG修饰的CoB催化剂在氨硼烷水解产氢反应中的性能进行评估。实验中,将50 mL 0.1 mol∙L1的氨硼烷溶液加入至三颈烧瓶中,加入磁力搅拌子后,精确称量0.1 g PEG修饰的CoB催化剂加入到溶液中,立即密封三颈烧瓶并启动计时,每分钟记录一次排水量。实验还探究了搅拌速率、PEG修饰的CoB催化剂用量以及反应温度对催化性能的影响。同时,在不同温度下对PEG修饰的CoB催化剂的催化性能进行测试,并根据阿伦尼乌斯公式lnk = lnA − Ea/RT,通过绘制lnk与1/T的关系图,计算出在PEG修饰的CoB催化剂作用下氨硼烷水解制氢反应的活化能。通过TOF计算公式计算出常温常压下PEG修饰的CoB催化剂作用下氨硼烷水解制氢反应的TOF值。TOF计算公式如下:

TOF= n( H 2 ) n( CoB )t (1)

式中TOF——表示转换频率;

n(H2)——为生成氢气的物质的量;

n(CoB)——PEG修饰的CoB催化剂的物质的量;

t——为反应时间。

3. 结果与讨论

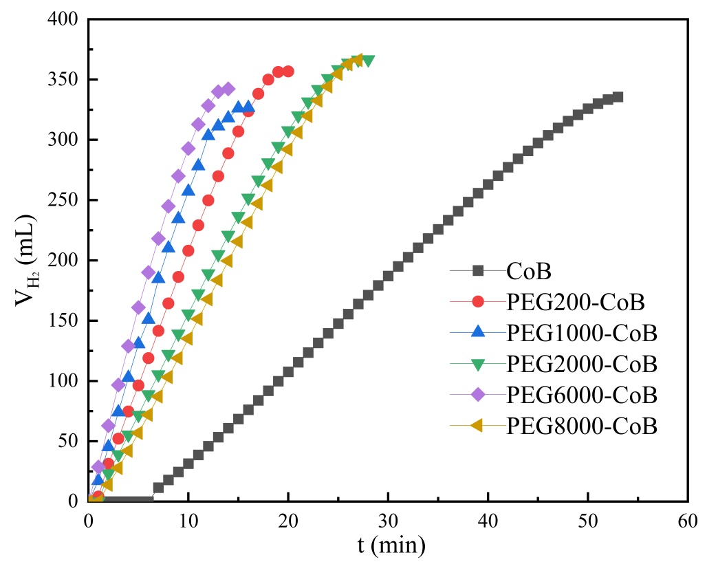
3.1. 不同分子量PEG的影响

图1为不同分子量PEG修饰的CoB催化剂的XRD图。XRD图显示,在2θ = 40˚~50˚处没有出现CoB的特征衍射峰,表明通过化学还原法制备的CoB催化剂为非晶态结构存在,与文献报道的一致[14]。而在2θ = 19.3˚、32.6˚、38.2˚、51.9˚、58.2˚出现了Co(OH)2的特征衍射峰[15],其原因可能是六水合硝酸钴中的Co2+未被完全还原,部分与氢氧化钠中的OH-生成了Co(OH)2。根据Scherrer公式[16]可以得知,催化剂样品的衍射峰越宽,晶粒的尺寸越小。其中,未经PEG修饰的CoB催化剂中的Co(OH)2的特征衍射峰峰形尖锐,可以得知未经PEG修饰的CoB催化剂中的Co(OH)2粒径较大,说明未经PEG修饰的Co(OH)2易团聚。而在不同分子量PEG修饰的CoB催化剂中,PEG6000修饰的CoB催化剂中的Co(OH)2的特征衍射峰峰形最宽。

Figure 1. XRD patterns of CoB catalysts with PEG modifications of varying molecular weights

1. 不同分子量PEG修饰的CoB催化剂的XRD图

Figure 2. Catalytic performance of CoB modified with PEG of different molecular weights

2. 不同分子量PEG修饰的CoB催化性能图

图2为不同分子量PEG修饰的CoB催化剂催化氨硼烷水解产氢性能图。可以看出,相比于未经PEG修饰的CoB,PEG修饰的CoB显著地提升了CoB催化剂催化氨硼烷水解产氢的性能。其原因是PEG是一种高分子聚合物,其分子链在溶液中会形成溶剂化层,该溶剂化层可以有效地阻止CoB颗粒之间的团聚。同时在CoB的合成过程中,PEG作为一种结构导向剂,调控晶体的生长过程,从而影响最终产物的形貌和分散性。在这些不同分子量PEG修饰的CoB催化剂中,PEG6000修饰的CoB催化剂在氨硼烷水解产氢反应中表现出了最佳的催化性能。据文献报道[13],当PEG6000修饰CoB时,PEG6000会改变纳米颗粒的粒径、比表面积,能有效隔离CoB纳米颗粒,防止团聚。PEG6000可以引导CoB均匀成核,生成小尺寸、高分散的颗粒,从而增加PEG修饰的CoB催化剂催化氨硼烷水解产氢的速率。

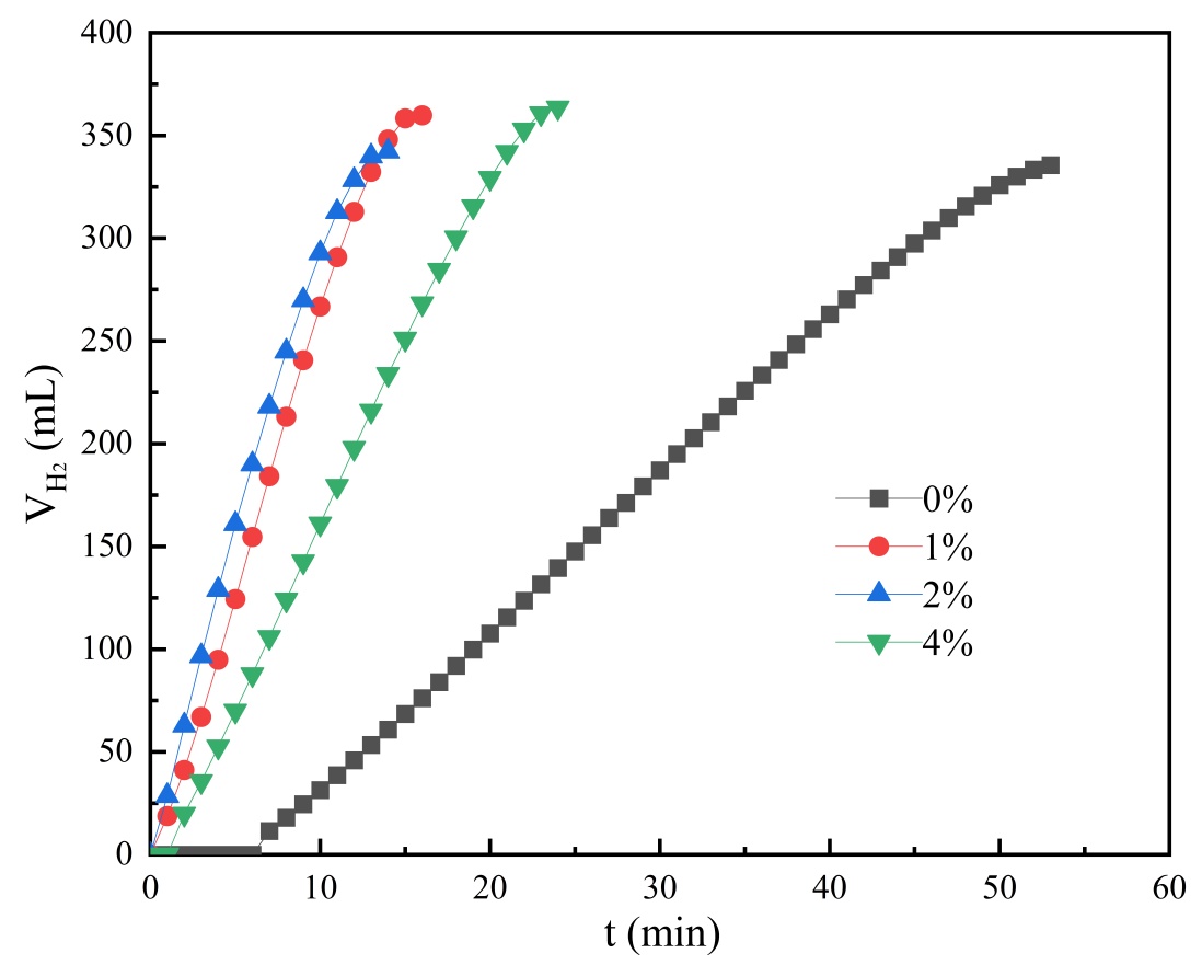
3.2. PEG6000用量的影响

图3为不同用量PEG修饰的CoB催化剂的XRD图。改变PEG的用量,仍未出现CoB的特征衍射峰,表明在不同用量PEG的修饰下,CoB仍为非晶态[14],而在2θ = 19.3˚、32.6˚、38.2˚、51.9˚、58.2˚处仍出现了Co(OH)2的特征衍射峰[15]。PEG的质量分数从0%到2%,PEG修饰的CoB催化剂中的Co(OH)2特征衍射峰峰形越来越宽,表明随着PEG添加量的增多,PEG对催化剂的分散程度越来越强,催化剂的粒径越来越小。而当PEG的质量分数增加到4%时,4%PEG-CoB催化剂中的Co(OH)2特征衍射峰峰形尖锐,表明当PEG的质量分数增加到4%时,PEG可能在溶液中形成胶束,对催化剂的分散程度变弱,微粒的粒径变大。

图4为不同用量PEG6000修饰的CoB催化性能图。可以看出当PEG6000的质量分数在0%~2%期间时,随着PEG6000质量分数的增大,CoB催化剂催化氨硼烷水解产氢速率增加,其原因可能是随着PEG6000量的增加,PEG6000对CoB纳米颗粒的分散越来越强,增加了催化剂的活性位点,从而使增强了催化性能。而PEG6000的质量分数增加至4%时,PEG6000过多会形成胶束,对催化剂的分散程度变弱,从而导致催化活性降低。

Figure 3. XRD of CoB catalysts modified with different dosage of PEG6000

3. 不同用量PEG6000修饰的CoB催化剂XRD图

Figure 4. Catalytic performance of CoB modified with different PEG6000 dosages

4. 不同用量PEG6000修饰的CoB催化性能图

3.3. 搅拌速率的影响

图5为不同搅拌速率下PEG修饰的CoB催化性能图。从图中可以看出,当搅拌速率在450~750 r∙min1区间逐渐增加时,PEG修饰的CoB催化剂的催化活性呈现出明显的增强趋势。当转速为750 r∙min1时,PEG修饰的CoB催化剂催化氨硼烷水解产氢的速率最大。这一现象表明,在750 r∙min1的搅拌速率下,机械搅拌有效地消除了氨硼烷从水溶液扩散到催化剂表面以及生成的氢气和副产物从催化剂表面脱附的外扩散的影响。然而,当搅拌速率进一步提升至900 r∙min1时,产氢速率却降低了。据文献报道[17],这可能是因为剧烈搅拌导致游离颗粒碰撞团聚,颗粒碰撞团聚会使比表面积下降,进而使活性位点减少。

Figure 5. Catalytic performance of PEG-modified CoB at different stirring rates

5. 不同搅拌速率下PEG修饰的CoB催化性能图

3.4. 催化剂用量的影响

图6为不同催化剂用量下PEG修饰的CoB催化剂催化氨硼烷水解性能图。可以看出,随着PEG修饰的CoB催化剂用量的增加,PEG修饰的CoB催化剂催化氨硼烷水解产氢的速率也增加。因此,可以通过改变PEG修饰的CoB催化剂的用量来调控氨硼烷水解产氢速率。原因可能是随着催化剂用量的增加,单位时间内参与反应的活性位点数增加,加速了氨硼烷的吸附和水解,从而提升了产氢速率。

图7为产氢速率与PEG修饰的CoB催化剂用量之间的关系。可以看出,将氨硼烷水解产氢速率与PEG修饰的CoB催化剂用量进行线性拟合,得到的拟合曲线呈直线,且相关系数的平方为0.996。这表明氨硼烷的水解产氢速率与PEG修饰的CoB催化剂用量呈正比关系,与文献[18]中的报道相符。由此可知,在当前反应条件下,氨硼烷水解产氢反应处于反应动力学控制阶段,外扩散等因素的影响已被消除。通过计算可以得出0.1 g PEG修饰的CoB催化剂在常温常压下催化氨硼烷水解产氢反应的TOF值为761.22 mol H2∙mol1 CoB∙min1

Figure 6. Catalytic performance of PEG-modified CoB under different catalyst dosages

6. 不同催化剂用量下PEG修饰的CoB催化性能图

Figure 7. The relationship between hydrogen production rate and catalyst dosage

7. 产氢速率与催化剂用量之间的关系

3.5. 反应温度的影响及活化能计算

图8为在不同反应温度下PEG修饰的CoB催化剂催化氨硼烷水解产氢性能图,可以看出,随着温度的升高,PEG修饰的CoB催化剂催化氨硼烷水解产氢速率越来越快,其原因可能是,温度升高不仅增加了分子的有效碰撞次数,更显著降低了反应物跨越过渡态的能垒,从而使反应速率增大。同时升高温度也会加速NH3BH3像催化剂表面扩散,增加活性位点覆盖率,生成的H2 BO 2 更快脱离表面,避免活性位点阻塞,使反应速率增大。

Figure 8. Catalytic performance of PEG-modified CoB at different reaction temperatures

8. 不同反应温度下PEG修饰的CoB催化性能图

Figure 9. Arrhenius curves of CoB catalyst performance at different temperatures

9. 不同温度下CoB催化剂催化性能的阿伦尼乌斯曲线

图9为不同温度下PEG修饰的CoB催化剂催化氨硼烷产氢的阿伦尼乌斯曲线。根据阿伦尼乌斯公式以及此曲线的斜率,可以计算出PEG修饰的CoB催化剂催化氨硼烷水解产氢反应的活化能为44.04 kJ∙mol1。朱[19]等人制备的Co0.6Ni0.4/NC催化剂催化氨硼烷水解产氢的反应活化能为64.81 kJ∙mol1,林[20]等人制备的Co-Ni-Mo三元纳米材料催化剂催化氨硼烷水解产氢的反应活化能为46.91 kJ∙mol1。张[21]等人制备的RhNi/Co3O4催化剂催化氨硼烷水解产氢的反应活化能为66.65 kJ∙mol1。表明本实验制备的2% PEG6000修饰的CoB催化剂显著降低了氨硼烷水解反应的活化能,提升了氨硼烷水解的反应速率。

4. 结论

采用质量分数为2%的PEG6000修饰CoB催化剂催化氨硼烷水解产氢反应的TOF值高达761.22 mol H2∙mol1 CoB∙min1,其反应活化能低至44.04 kJ∙mol1。质量分数为2%的PEG6000能有效抑制CoB颗粒团聚,显著提高CoB颗粒的分散性。当搅拌速率达到750 r∙min1时,PEG修饰的CoB催化剂催化氨硼烷水解产氢效果达到最佳,搅拌速率过高时会导致颗粒发生团聚现象。PEG修饰的CoB催化剂用量与产氢速率呈正比关系,证实反应处于反应动力学控制阶段。综上所述,该研究不仅为开发高效非贵金属催化剂提供了新思路,还通过PEG修饰策略解决了CoB催化剂易团聚的关键问题,在降低催化剂成本的同时实现了优异的催化性能,为氢能的大规模应用提供了技术支持。

基金项目

国家级大学生创新创业训练计划项目(202512949005),郑州师范学院大学生科研创新项目(2025003),郑州师范学院大学生创新创业训练计划项目(DCY2024010)。

参考文献

[1] Lu, W., Tam, V.W., Du, L. and Chen, H. (2021) Impact of Industrial Agglomeration on Haze Pollution: New Evidence from Bohai Sea Economic Region in China. Journal of Cleaner Production, 280, Article ID: 124414. [Google Scholar] [CrossRef
[2] Mazloomi, K. and Gomes, C. (2012) Hydrogen as an Energy Carrier: Prospects and Challenges. Renewable and Sustainable Energy Reviews, 16, 3024-3033. [Google Scholar] [CrossRef
[3] Yang, J., Sudik, A., Wolverton, C. and Siegel, D.J. (2010) High Capacity Hydrogenstorage Materials: Attributes for Automotive Applications and Techniques for Materials Discovery. Chemical Society Reviews, 39, 656-675. [Google Scholar] [CrossRef] [PubMed]
[4] Lang, C., Jia, Y. and Yao, X. (2020) Recent Advances in Liquid-Phase Chemical Hydrogen Storage. Energy Storage Materials, 26, 290-312. [Google Scholar] [CrossRef
[5] 王杨, 王强. 金属氨硼烷及其衍生物高容量储氢材料研究进展[J]. 材料导报, 2015, 29(19): 67-73, 78.
[6] Jiang, H., Singh, S.K., Yan, J., Zhang, X. and Xu, Q. (2010) Liquid‐Phase Chemical Hydrogen Storage: Catalytic Hydrogen Generation under Ambient Conditions. ChemSusChem, 3, 541-549. [Google Scholar] [CrossRef] [PubMed]
[7] Akbayrak, S., Tonbul, Y. and Özkar, S. (2016) Ceria-Supported Ruthenium Nanoparticles as Highly Active and Long-Lived Catalysts in Hydrogen Generation from the Hydrolysis of Ammonia Borane. Dalton Transactions, 45, 10969-10978. [Google Scholar] [CrossRef] [PubMed]
[8] 李贵, 李蓉, 刘勇, 等. Rh/N-SBC纳米催化剂的制备及其催化氨硼烷水解产氢性能研究[J]. 稀有金属, 2024, 48(7): 944-954.
[9] 赵璐, 吴涵, 刘宪云. 负载型钌催化剂用于氨硼烷水解制氢反应[J]. 化工学报, 2024, 75(10): 3639-3650.
[10] Chen, J., Long, B., Hu, H., Zhong, Z., Lawa, I., Zhang, F., et al. (2022) Synthesis of a Novel Co-B/CuNWs/CTAB Catalyst via Chemical Reaction at Room Temperature for Hydrolysis of Ammonia-Borane. International Journal of Hydrogen Energy, 47, 2976-2991. [Google Scholar] [CrossRef
[11] Yang, J., Yuan, Q., Liu, Y., Huang, X., Qiao, Y., Lu, J., et al. (2019) Low-Cost Ternary Ni-Fe-P Catalysts Supported on Ni Foam for Hydrolysis of Ammonia Borane. Inorganic Chemistry Frontiers, 6, 1189-1194. [Google Scholar] [CrossRef
[12] Li, Q., Deng, S., Liu, J., Yan, T., Hao, J., Wang, G., et al. (2025) PEG-Assisted Synthesis of Highly Dispersed Cs/Zr-SiO2 Catalyst for Aldol Condensation of Methyl Acetate with Formaldehyde. Chemical Engineering Science, 301, Article ID: 120716. [Google Scholar] [CrossRef
[13] Huang, T.S., Wang, Y.H., Jiang, J.Y. and Jin, Z.L. (2008) Peg-Stabilized Palladium Nanoparticles: An Efficient and Recyclable Catalyst for the Selective Hydrogenation of 1,5-Cyclooctadiene in Thermoregulated PEG Biphase System. Chinese Chemical Letters, 19, 102-104. [Google Scholar] [CrossRef
[14] 刘力魁, 刘威, 李佳, 等. CoB/CeO2催化剂的优化制备及在NaBH4液相制氢中的应用[J]. 化工进展, 2020, 39(8): 3095-3101.
[15] 士丽敏, 李研博, 雷强, 等. Sn助剂与CNTs处理对负载型CoB催化剂制氢性能的作用[J]. 燃料化学学报, 2025, 53(5): 703-712.
[16] Słowik, G., Gawryszuk-Rżysko, A., Greluk, M. and Machocki, A. (2016) Estimation of Average Crystallites Size of Active Phase in Ceria-Supported Cobalt-Based Catalysts by Hydrogen Chemisorption vs TEM and XRD Methods. Catalysis Letters, 146, 2173-2184. [Google Scholar] [CrossRef
[17] Liu, M., Shen, Z., Zhou, S., Xu, J., Liang, Q., Wang, C., et al. (2022) Gas-Solid Reaction Induced Particle Collision and Aggregation. Combustion and Flame, 237, Article ID: 111885. [Google Scholar] [CrossRef
[18] 孙海杰, 刘欣改, 陈志浩, 等. Ru/ZrO2催化剂催化氨硼烷水解产氢研究[J]. 广西师范大学学报(自然科学版), 2021, 39(3): 92-101.
[19] 朱若璇, 刘睿莹, 谢婧, 等. Co0.6Ni0.4/NC催化剂的制备及其催化氨硼烷水解制氢性能研究[J]. 石油炼制与化工, 2024, 55(7): 69-76.
[20] 林路贺, 邹爱华, 康志兵, 等. Co-Ni-Mo三元纳米材料的合成及催化氨硼烷制氢的研究[J]. 材料导报, 2023, 37(16): 27-32.
[21] 张子豪, 刘林昌, 郭亚君, 等. RhNi/Co3O4纳米材料催化氨硼烷水解产氢研究[J]. 化学试剂, 2021, 43(8): 1025-1031.