Ru/g-C3N4催化NaBH4水解产氢性能研究
Performance of Ru/g-C3N4 Catalyst for Hydrogen Generation from Hydrolysis of Sodium Borohydride
DOI: 10.12677/ms.2026.162042, PDF, HTML, XML,    科研立项经费支持
作者: 木文琳, 胡梦琪, 赵 翠, 高雨亭, 邵冰琪, 孙海杰:郑州师范学院化学化工学院,河南 郑州
关键词: 石墨相氮化碳硼氢化钠产氢Ruthenium Carbon Nitride in Graphite Phase Sodium Borohydride Hydrogen Production
摘要: 本文以RuCl3∙xH2O与NaH2PO2∙H2O为原料,g-C3N4为载体,采用水热还原法制备了Ru/g-C3N4催化剂,考察了载体种类、载体前驱体三聚氰胺水热时间、Ru负载量、次亚磷酸钠浓度和水热还原时间对制备的Ru催化剂催化硼氢化钠产氢性能的影响。结果表明,在g-C3N4-0、二氧化硅、二氧化锆、氧化铝、硅藻土载体中,g-C3N4-0作载体Ru催化剂催化硼氢化钠水解产氢的速率最快。当次亚磷酸钠的浓度为0.099 mol∙L1,水热还原温度为180℃,水热还原时间为10 h,钌负载量50%,载体前驱体三聚氰胺不进行水热,制备的Ru/g-C3N4-0催化剂催化硼氢化钠产氢性能最好,活化能为35.30 kJ∙mol1,TOF为67.70 min1
Abstract: In this study, a Ru/g-C3N4 catalyst was synthesized via a hydrothermal reduction method using RuCl3·xH2O and NaH2PO2·H2O as precursors, with g-C3N4 serving as the support. The influence of various factors on the catalytic performance of Ru/g-C3N4 was systematically investigated, including the type of support, hydrothermal treatment time of the support precursor (melamine), Ru loading amount, sodium hypophosphite concentration, and hydrothermal reduction time. The results demonstrated that among the supports evaluated—such as g-C3N4-0, SiO2, ZrO2, Al2O3, and diatomite, the Ru catalyst supported on g-C3N4-0 exhibited the highest hydrogen generation rate from the hydrolysis of sodium borohydride. When the concentration of sodium hypophosphite was 0.099 mol∙L1, the hydrothermal reduction temperature was 180˚C, and the hydrothermal reduction time was 10 h, the ruthenium loading capacity was 50%, the hydrothermal time of the carrier precursor melamine was 0 h, the prepared Ru/g-C3N4-0 catalyst had the best catalytic performance for hydrogen production of sodium borohydride. The activation energy is 35.30 kJ∙mol1 and the TOF is 67.70 min1.
文章引用:木文琳, 胡梦琪, 赵翠, 高雨亭, 邵冰琪, 孙海杰. Ru/g-C3N4催化NaBH4水解产氢性能研究[J]. 材料科学, 2026, 16(2): 230-239. https://doi.org/10.12677/ms.2026.162042

1. 引言

随着社会发展,非再生能源越来越少。同时非再生能源的使用引发了许多环境问题,比如酸雨、温室效应和雾霾等。因此,需要寻找新的可再生能源迫在眉睫。氢能具有储量丰富、能量转化率高和产物环保无污染等诸多优点,被认为是不可再生能源的重要替代者[1],有望解决人类社会未来的能源问题[2]

当今的技术下,通常以压缩气体或低温液体的形式存储氢气,但是这些方法能耗较高且对设备有很高的要求[3]。而固态储氢法使用硼氢化物类材料储氢,具有较高的储氢密度和安全性[4],主要有氨硼烷与硼氢化钠。但氨硼烷价格相对昂贵[5],所以本实验主要采用硼氢化钠进行产氢。研究发现硼氢化钠是一种储氢密度大、生成的氢气纯度高、放氢条件适中、产物无污染[6]的水解制氢原料。然而,硼氢化钠在室温下十分稳定,仅能发生微弱的水解。因此,开发高效催化硼氢化钠水解产氢催化剂是NaBH4储氢材料利用的关键。

常温时,硼氢化钠水解反应如下:

NaBH4 + 2H2O → NaBO2+ 4H2

硼氢化钠在没有催化剂的情况下,水解速度较慢且反应到一定程度会自动停止。目前,实现硼氢化钠快速可控产氢的关键在于催化剂的选择[7]。NaBH4水解制氢的催化剂有很多,大致可以分为均相催化剂和多相催化剂,多相催化剂多为金属催化剂[2]。金属催化剂大致可以分为:贵金属催化剂体系、非贵金属催化剂体系、贵金属与非贵金属复合催化剂体系[8]。贵金属型催化剂催化性能优异,由于其自身拥有空轨道以及较低的吸附能和脱附能在硼氢化钠水解制氢反应中具有优异的反应动力学[9]。如:Pt、Pd、Ru等贵金属基催化剂对NaBH4催化水解具有较高的析氢转化率[10]。由于成本高,研究贵金属与其他金属化合物或载体材料结合形成的催化剂是目前主要研究方向[11]。刘[12]等人研究了配体调控Ni-Fe-B催化剂的制备及催化硼氢化钠水解产氢性能,反应活化能为46.00 kJ∙mol1;荚[13]等人探究了Ru/Ni2P催化剂催化硼氢化钠产氢性能,反应活化能为41.48 kJ∙mol1;马[14]等人探究了Ru/Ni-foam催化剂及其催化硼氢化钠水解产氢性能,反应活化能为40.51 kJ∙mol1。虽然提高了硼氢化钠水解产氢反应的速率,但反应活化能有待进一步降低。故本文通过使用次亚磷酸钠还原三氯化钌,制备出Ru催化剂,磷可以提高催化剂对氢活性物质的吸附[15],提高催化剂的活性。同时为了便于贵金属催化剂重复利用,通常将催化剂负载于载体上,同时可以减缓催化剂的团聚失活现象。而氮化碳具有较高的热稳定性和化学稳定性[16],可以作为Ru的载体,提高催化剂活性。

本文的研究内容是探究不同Ru催化剂的催化活性。考察次亚磷酸钠浓度、水热还原时间、载体种类、载体前驱体三聚氰胺水热时间以及金属钌负载量对Ru催化剂催化硼氢化钠水解产氢性能的影响。用XRD对所制备的不同催化剂进行表征,并通过实验探究在不同条件下制备的催化剂催化硼氢化钠产氢的活性大小,从而得出在某一条件下制备的催化剂催化性能最大。

2. 实验部分

2.1. 试剂及设备

主要试剂如表1所示;主要设备如表2所示。

Table 1. Main reagents

1. 主要试剂

实验试剂

纯度

生产厂家

三氯化钌

分析纯

昆明贵研铂业有限公司

次亚磷酸钠

分析纯

天津市大茂化学试剂厂

硼氢化钠

分析纯

天津市科密欧化学试剂有限公司

三聚氰胺

分析纯

上海阿拉丁生化科技股份有限公司

无水乙醇

分析纯

洛阳市化学试剂厂

氢氧化钠

分析纯

天津市科密欧化学试剂有限公司

Table 2. Main equipment

2. 主要设备

实验设备

型号

生产厂家

磁力搅拌器

ZNCL-GS130*70

郑州郑升仪器设备有限公司

循环水式多用真空泵

2XZ

上海星业真空设备厂

电热恒温鼓风干燥箱

DHG-9070A

上海精宏实验设备有限公司

电子分析天平

AF224

上海恒平天平科学仪器有限公司

电子天平

SE3001F

奥豪斯仪器(上海)有限公司

2.2. 催化剂的制备

2.2.1. 氮化碳的制备

准确称量5.00 g三聚氰胺于500 mL烧杯中,加入300 mL水,再加入磁力搅拌子,在90℃下搅拌至溶解后倒入反应釜中,在180℃下分别水热4 h、8 h、12 h。冷却,抽滤,将所得样品于60℃下干燥。干燥后放入马弗炉中,以5℃∙min1的升温速度升至550℃后煅烧4 h,所得产物分别记为g-C3N4-X (X = 4、8、12,X为载体前驱体三聚氰胺水热时间)。

2.2.2. 化剂的制备

准确称量0.33 g的RuCl3∙xH2O于50 mL烧杯中,加入15 mL水和2.5 mL无水乙醇,放入磁力搅拌子,用磁力搅拌器在常温下搅拌一段时间后,得到溶液A;将0.31 gNaH2PO2∙H2O、0.10 g g-C3N4-0、15 mL水和2.5 mL无水乙醇混合于另一50 mL烧杯中,放入磁力搅拌子,搅拌一段时间,得到溶液B;将溶液A加到溶液B中,搅拌10 min。搅拌结束后将其倒入反应釜中,控制水热还原温度、水热还原时间分别为180℃、10 h,水热结束后将其进行抽滤得到所需产物。将所需产物置于烘箱中在60℃下干燥,干燥后研磨成粉状,即为Ru/g-C3N4-0催化剂。

次亚磷酸钠浓度为0.033 mol∙L1、0.066 mol∙L1、0.099 mol∙L1、0.130 mol∙L1,考察次亚磷酸钠浓度对Ru/g-C3N4-0催化剂催化硼氢化钠产氢性能的影响;水热还原时间分别设定为4 h、6 h、8 h、10 h,考察水热还原时间对g-C3N4-0负载Ru催化硼氢化钠产氢性能的影响;分别用二氧化锆、硅藻土、氧化铝、二氧化硅替换g-C3N4-0,考察不同载体对Ru催化剂催化硼氢化钠产氢性能的影响;并将g-C3N4-0换为g-C3N4-X (X = 4、8、12,X为载体前驱体三聚氰胺水热时间),考察载体前驱体三聚氰胺水热时间对Ru催化剂催化硼氢化钠产氢性能的影响;改变钌的负载量为10%、30%、50%、70%、90%,考察钌负载量对Ru/g-C3N4-0催化剂催化硼氢化钠产氢性能的影响。所用试剂参见表1,所用设备参见表2

2.3. 硼氢化钠水解产氢性能评价

本文通过排水法来探究不同条件下制备的催化剂催化硼氢化钠产氢性能的高低。硼氢化钠在催化剂的作用下水解产生的氢气将大锥形瓶中的水排出到一个500 mL烧杯中,用天平称量并记录一定时间间隔内排出水的体积,以产氢体积对时间做图,以此来比较催化剂催化性能的优劣。取30 mL NaBH4 (0.15 mol∙L1)和NaOH (0.01 mol∙L1)的混合溶液于三颈烧瓶中,加入磁力搅拌子,加入0.01 g催化剂,加入后立即用塞子将三颈烧瓶塞住,记录硼氢化钠的水解产氢的量。通过测量不同反应温度下Ru/g-C3N4-0催化剂催化硼氢化钠水解产氢性能,并根据阿伦尼乌斯公式, lnk=lnAln( Ea/ RT ) 以lnk对1/T作图来计算出在催化剂作用下制氢反应的活化能。

2.4. 催化剂表征

催化剂物相分析使用Ultima Ⅳ型X射线衍射仪(日本理学有限公司),用波长为0.15418 nm的CuKα射线进行扫描,管电流、管电压分别为40 mA、40 kV,扫描范围2θ为10˚~90˚。

3. 结果与讨论

3.1. 载体影响

图1(a)给出了不同载体的催化剂的XRD图。图1(b)给出了不同载体的催化剂催化硼氢化钠水解产氢的活性。可以看出,分别以氮化碳、二氧化硅、二氧化锆、氧化铝、硅藻土为载体的催化剂中,Ru/g-C3N4-0、Ru/SiO2、Ru/硅藻土、Ru/ZrO2、Ru/Al2O3催化硼氢化钠水解产氢催化性能依次降低。以氮化碳为载体的Ru/g-C3N4-0催化剂催化硼氢化钠水解产氢性能最好,TOF为67.70 min1。这些说明载体对Ru催化剂催化硼氢化钠水解产氢性能有重要的影响。载体一方面可以对Ru活性组分起分散作用,可以提高贵金属Ru的利用率;另一方面,载体与活性组分之间存在相互作用,可以改变Ru活性组分的几何结构和电子结构,进而改变催化剂的活性。

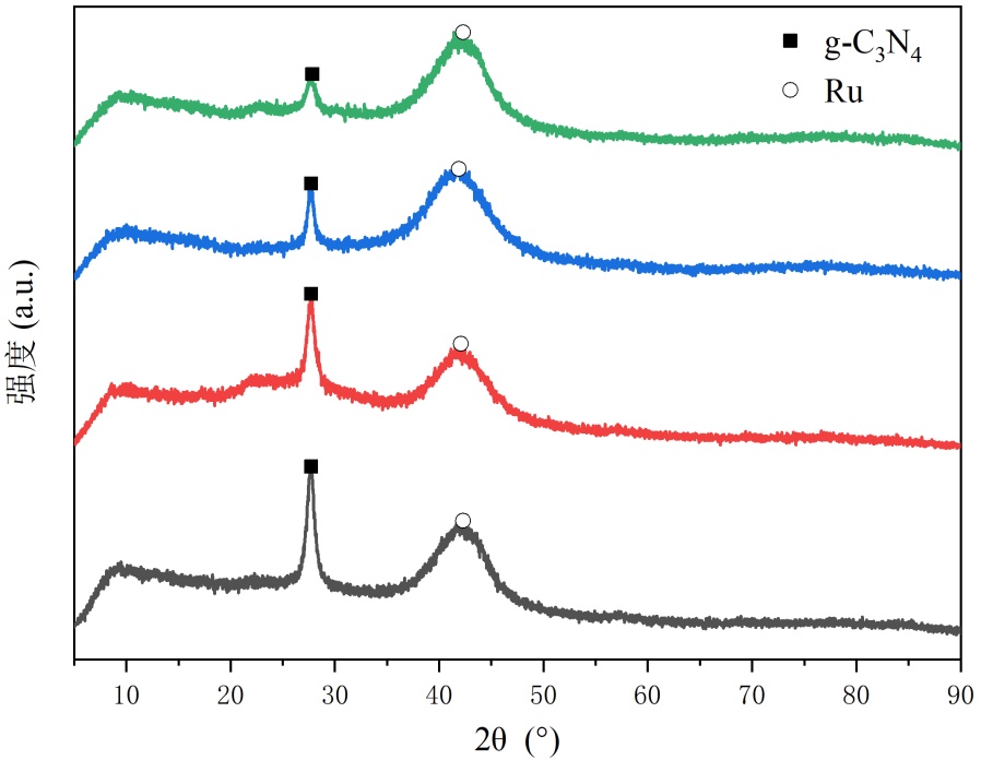
3.2. 载体前驱体三聚氰胺水热时间影响

图2给出了载体前驱体三聚氰胺水热时间不同时Ru/g-C3N4-X催化剂的XRD图。可以看出,随着载体前驱体三聚氰胺水热时间的增加,氮化碳特征衍射峰的强度有所降低。这有可能是g-C3N4层间间距变大,堆叠程度与未处理的g-C3N4-0不同[16]。钌的特征衍射峰强度随载体前驱体三聚氰胺水热时间增长而有所增加,原因可能是金属钌发生了团聚。图3载体前驱体水热时间不同时Ru/g-C3N4-X催化硼氢化钠产氢性能图。可以看出,以未水热的三聚氰胺制备的氮化碳为载体时,Ru/g-C3N4-0催化剂催化硼氢化钠产氢性能最大。由于载体前驱体三聚氰胺水热时间不同,制备出的g-C3N4也有些差别,金属钌发生了团聚,催化剂的催化性能逐渐降低。

(a) (b)

Figure 1. XRD spectra of catalysts with different supports (a) and catalytic performance of catalysts with different carriers (b)

1. 不同载体的催化剂的XRD谱图(a)和不同载体的催化剂催化性能图(b)

Figure 2. XRD spectra of Ru/g-C3N4-X catalyst with different hydrothermal times of carrier precursor

2. 载体前驱体水热时间不同时Ru/g-C3N4-X催化剂XRD谱图

Figure 3. Performance of Ru/g-C3N4-X catalyst for sodium borohydride hydrogen production under different hydrothermal times of carrier precursor

3. 载体前驱体水热时间不同时Ru/g-C3N4-X催化硼氢化钠产氢性能图

3.3. 次亚磷酸钠浓度影响

图4给出了不同NaH2PO2浓度制备Ru/g-C3N4-0催化剂的XRD图。可以看出,不同NaH2PO2浓度制备Ru/g-C3N4-0催化剂在2θ = 27.6˚处都出现了氮化碳特征衍射峰,在2θ = 43.6˚都出现了金属Ru的特征衍射峰。说明负载金属Ru后g-C3N4-0的结构未发生改变。随着次亚磷酸钠浓度的增加,金属钌被还原的越充分,钌的特征衍射峰强度增大。当次亚磷酸钠浓度为0.099 mol∙L1时,钌的特征衍射峰强度最高,被还原的金属钌最多,金属Ru活性位最多。然而,再增加次亚磷酸钠的浓度时,钌的特征衍射峰强度变化不大。图5给出了不同NaH2PO2浓度制备Ru/g-C3N4-0催化剂的性能图。可以看出,随着次亚磷酸钠浓度的增加,Ru/g-C3N4-0催化剂的催化性能逐渐增加。当次亚磷酸钠的浓度为0.099 mol∙L1时,被还原的金属钌最多,金属Ru活性位最多,制备的Ru/g-C3N4-0催化剂催化硼氢化钠产氢的活性最高。然而再增加次亚磷酸钠的浓度时,较高的P含量却不利于氢气的脱附过程[13],因此Ru/g-C3N4-0催化剂的催化性能反而降低。

Figure 4. XRD spectra of Ru/g-C3N4-0 catalysts prepared at different NaH2PO2 concentrations

4. 不同NaH2PO2浓度制备Ru/g-C3N4-0催化剂的XRD谱图

Figure 5. Performance of Ru/g-C3N4-0 catalyst for hydrogen production from sodium borohydride prepared at different NaH2PO2 concentrations

5. 不同NaH2PO2浓度制备Ru/g-C3N4-0催化剂催化硼氢化钠产氢性能图

3.4. 水热还原时间影响

图6给出了水热还原时间不同制备Ru/g-C3N4-0催化剂的XRD图。可以看出,不同水热还原时间制备Ru/g-C3N4-0催化剂在2θ = 27.6˚处都出现了氮化碳特征衍射峰,在2θ = 43.6˚处都出现了金属Ru的特征衍射峰。随着水热还原时间的增长,金属钌被还原得越彻底,Ru的特征衍射峰强度呈逐渐增加的趋势;当水热时间为12 h时,Ru的特征衍射峰强度明显增加,说明催化剂中Ru活性组分发生了团聚。图7给出了不同水热还原时间制备出的Ru/g-C3N4-0催化剂的催化活性,可以看出随水热时间的增加,金属钌的含量增加,Ru/g-C3N4-0催化剂催化硼氢化钠水解产氢的性能逐渐增大。当水热还原时间为10 h时,制备的Ru/g-C3N4-0催化剂活性最高;水热还原时间为12 h,由于催化剂中Ru活性组分发生了团聚,催化剂催化性能反而降低。

Figure 6. XRD spectra of Ru/g-C3N4-0 catalyst prepared at different hydrothermal reduction times

6. 不同水热还原时间制备Ru/g-C3N4-0催化剂的XRD谱图

Figure 7. Performance of Ru/g-C3N4-0 catalyst for hydrogen production from sodium borohydride prepared at different hydrothermal reduction times

7. 不同水热还原时间制备Ru/g-C3N4-0催化剂催化硼氢化钠产氢性能图

3.5. 钌负载量影响

图8给出不同钌负载量的Ru/g-C3N4-0催化剂XRD谱图。可以看出,随Ru负载量的增加,氮化碳的特征衍射峰逐渐减小并消失,金属Ru的特征衍射峰强度逐渐增加。原因可能是,RuCl3呈酸性,Ru负载量越大,酸性越强,可能溶解了部分载体g-C3N4。g-C3N4载体溶解导致活性组分Ru逐渐聚结长大。图9给出了以不同钌负载量制备的Ru/g-C3N4-0催化剂催化硼氢化钠产氢性能。可以看出,随Ru负载量增加,Ru/g-C3N4-0催化剂催化硼氢化钠产氢速率逐渐增加。这是因为Ru负载量越大,催化剂上Ru活性位越多,催化剂活性越高。但当钌负载量为50%时,催化剂催化硼氢化钠产氢性能最大。再增加Ru负载量,Ru/g-C3N4-0催化剂催化硼氢化钠产氢速率逐渐降低。这可能是因为部分g-C3N4-0载体溶解,活性Ru组分团聚,贵金属Ru利用率低引起的。

Figure 8. XRD spectra of Ru/g-C3N4-0 catalyst with different ruthenium loadings

8. 不同钌负载量的Ru/g-C3N4-0催化剂XRD谱图

Figure 9. Performance of Ru/g-C3N4-0 catalyst for hydrogen production from sodium borohydride hydrolysis under different ruthenium loadings

9. 不同钌负载量的Ru/g-C3N4-0催化剂催化硼氢化钠水解产氢性能图

3.6. 反应温度影响及活化能计算

图10给出不同反应温度下Ru/g-C3N4-0催化剂催化硼氢化钠水解产氢性能。可以看出,反应温度分别为0℃、20℃、40℃、60℃时,Ru/g-C3N4-0催化剂催化硼氢化钠产氢的反应速率随温度升高而逐渐增大。这可能是因为温度越高,活化分子数增多,副产物溶解度大,易从催化剂表面脱附,催化剂活性越高。根据阿伦尼乌斯公式,以1/T对lnk作图,得出图11阿伦尼乌斯曲线。计算出其反应活化能Ea = 35.30 kJ∙mol1。荚[12]等人制备的Ru/Ni2P催化剂反应活化能为41.48 kJ∙mol−1,雷[17]等人制备的Co-Mo-B催化剂反应活化能为40.37 kJ∙mol−1。与之相比,本文制备的Ru/g-C3N4-0催化剂催化硼氢化钠水解产氢反应的活化能小得多,说明本文制备的催化剂有效降低了硼氢化钠水解反应的活化能,制备的Ru催化剂微晶粒径小,活性组分Ru分散度高,Ru利用率高,提高了硼氢化钠水解产氢的反应速率。

Figure 10. Hydrogen production performance of Ru/g-C3N4-0 catalyst for sodium borohydride hydrolysis at different reaction temperatures

10. 不同反应温度下Ru/g-C3N4-0催化剂催化硼氢化钠水解产氢性能

Figure 11. Arrhenius curves of Ru/g-C3N4-0 catalyst catalyzing the hydrolysis of sodium borohydride to produce hydrogen at different temperatures

11. 不同温度下Ru/g-C3N4-0催化剂催化硼氢化钠水解产氢的阿伦尼乌斯曲线

4. 结论

(1) 在g-C3N4-0、SiO2、二氧化锆、氧化铝、硅藻土载体中,g-C3N4-0作载体Ru催化剂催化硼氢化钠水解产氢的速率最快,这是因为g-C3N4-0载体对Ru活性组分起分散作用,载体与活性组分之间的相互作用比较适宜于硼氢化钠水解产氢。

(2) 当次亚磷酸钠的浓度为0.099 mol∙L−1,水热还原温度为180℃,钌负载量50%,载体前驱体三聚氰胺水热时间为0 h,水热还原时间为10 h,制备的Ru催化剂微晶粒径小,活性组分Ru分散度高,Ru利用率高,催化硼氢化钠产氢性能最好,活化能为35.30 kJ∙mol1,TOF为67.70 min1

基金项目

国家级大学生创新创业训练计划项目(202512949005),郑州师范学院大学生科研创新项目(2025003),郑州师范学院大学生创新创业训练计划项目(DCY2024010)。

参考文献

[1] 陈露瑶. Co基催化剂的制备及在NaBH4制氢中的应用[D]: [硕士学位论文]. 抚顺: 辽宁石油化工大学, 2021.
[2] 王小炼, 杨茂, 刘永辉, 等. 非贵金属催化剂催化硼氢化钠水解制氢的研究进展[J]. 材料导报, 2021, 35(S1): 21-28.
[3] 张嘉鹏. 负载型Ru基催化剂的制备及其在硼氢化物催化水解制氢中的应用研究[D]: [硕士学位论文]. 成都: 成都理工大学, 2021.
[4] 张四奇. 固体储氢材料的研究综述[J]. 材料研究与应用, 2017, 11(4): 215-223.
[5] 王雪, 张迪, 任简, 等. TiO2负载Co基纳米材料催化硼氢化钠水解制氢性能的研究[J]. 辽宁化工, 2022, 51(12): 1661-1664.
[6] 张翔, 孙奎斌, 周俊波. 硼氢化钠水解制氢技术研究进展[J]. 无机盐工业, 2010, 42(1): 9-12.
[7] 张旭梅, 韩贺, 高庆玲, 等. 钌/氮掺杂石墨烯催化硼氢化钠水解制氢的研究[J]. 化学研究与应用, 2020, 32(1): 67-71.
[8] 张迪, 王雪, 王艳. C3N4负载CoB催化剂的制备及催化硼氢化物水解制氢性能研究[J]. 辽宁化工, 2021, 50(10): 1437-1463.
[9] 李佳. 氮化碳负载Pd-Au-CoB多元粒子催化硼氢化钠制氢和对硝基苯酚还原[D]: [硕士学位论文]. 抚顺: 辽宁石油化工大学, 2021.
[10] 吴崇备. 负载型贵属催化剂的制备及其对硼氢化钠水解制氢的研究[D]: [硕士学位论文]. 桂林: 广西师范大学, 2018.
[11] 彭昌丽. 高活性钴基催化剂的制备及其催化硼氢化钠水解性能的研究[D]: [硕士学位论文]. 桂林: 桂林电子科技大学, 2021.
[12] 刘玉蕾, 侯永江, 国洁, 等. 配体调控Ni-Fe-B催化剂的制备及催化硼氢化钠水解产氢的研究[J]. 化工新型材料, 2019, 47(11): 189-193.
[13] 荚鑫磊. 钴/钌基纳米催化剂的制备及其催化硼氢化钠制氢性能研究[D]: [硕士学位论文]. 桂林: 桂林电子科技大学, 2023.
[14] 马瑜隆, 魏永生, 戴长庆. 电镀法制备Ru/Ni-foam催化剂及其催化硼氢化钠水解产氢性能研究[J]. 北京化工大学学报(自然科学版), 2018, 45(2): 10-15.
[15] 孟令进. 磷化钌纳米复合结构的制备与析氢性能研究[D]: [硕士学位论文]. 哈尔滨: 哈尔滨工业大学, 2023.
[16] 王晓辉, 李靖. 无机碱溶液水热调控g-C3N4形貌及光催化性能的研究[J]. 现代盐化工, 2016, 43(4): 1-5.
[17] 雷望. 负载型Co-Mo-B催化剂的制备及催化硼氢化钠水解制氢性能研究[D]: [硕士学位论文]. 扬州: 扬州大学, 2023.