g-C3N4/BiOCl光催化固氮性能研究
g-C3N4/BiOCl for Photo Catalytic Nitrogen Fixation
DOI: 10.12677/ms.2026.162043, PDF, HTML, XML,    科研立项经费支持
作者: 王小慧, 胡梦琪, 朱 浩, 梁家英, 潘思敏, 孙海杰:郑州师范学院化学化工学院,河南 郑州
关键词: 石墨相氮化碳卤氧化铋光催化固氮g-C3N4 BiOX Photocatalysis Nitrogen Fixation
摘要: 本文采用水热法制备g-C3N4/BiOX复合催化剂,并考察了其固氮性能。通过UV-Vis、XRD和电化学工作站对催化剂进行表征。结果表明,当g-C3N4原料三聚氰胺水热时间为8 h,BiOCl的含量为50%时,g-C3N4-8/BiOCl (50%)光催化剂吸光范围集中在可见光区,带隙适中,阻抗较小,平带电位小,表面电荷迁移能力强,光生电子易在催化剂表面传导,光生电子与空穴易分离,还原能力强,易给出电子,填充到氮气分子的反键轨道中去,易活化氮气分子,TOF值达到了9.92 μg∙g−1∙min−1
Abstract: In this paper, the g-C3N4/BiOX composite catalyst was prepared by hydrothermal method, and its nitrogen fixation performance was investigated. The catalyst was characterized by UV-Vis, XRD and electrochemical workstation. The results show that when the hydrothermal time of melamine, the raw material of g-C3N4, is 8 hours and the content of BiOCl is 50%, the absorption range of the g-C3N4-8/BiOCl (50%) photocatalyst is concentrated in the visible light region. It has a moderate band gap, small impedance, small flat band potential, strong surface charge migration ability. Photo-generated electrons are easily conducted on the surface of the catalyst, and photo-generated electrons and holes are easily separated. It has strong reduction ability and is easy to give electrons, which are filled into the antibonding orbit of nitrogen molecules and are easy to activate nitrogen molecules. The TOF value reaches 9.92 μg∙g−1∙min−1.
文章引用:王小慧, 胡梦琪, 朱浩, 梁家英, 潘思敏, 孙海杰. g-C3N4/BiOCl光催化固氮性能研究[J]. 材料科学, 2026, 16(2): 240-251. https://doi.org/10.12677/ms.2026.162043

1. 引言

本氨(NH3)是一种必不可少的农业和工业原料,在人类生产生活中发挥着重要的作用[1]。目前世界上合成氨的主要方法是Haber-Bosch法,该方法利用空气和氢气作为主要原料。但是此方法需要在高温、高压和催化剂(铁系催化剂或钌系催化剂)条件下进行,高温会消耗大量能量,会产生大量的二氧化碳,不利于我国的双碳进程,因此寻找一条绿色清洁的合成氨工艺路线是大势所趋[2]

近年来,光催化技术因其高效、绿色清洁、反应条件温和等优点受到人们普遍关注[3]。目前,光催化技术广泛应用在固氮、废水处理[4]、水解产氢[5]、CO2还原[6]等多个领域。在光催化固氮领域中,常用的光催化剂有钌基催化剂、铁基催化剂以及半导体催化剂等[7],但是钌基催化剂和铁基催化剂的光捕获能力弱,而原始半导体催化剂的效率低,这些缺点严重限制了它们在固氮领域的应用。因此对这些催化剂的复合改性、掺杂改性等已经成为固氮领域的重要内容之一。故本文通过水热法将g-C3N4与BiOX复合在一起,并探究其固氮性能。

不同非金属元素在对g-C3N4掺杂改性后,g-C3N4对称的共轭环会遭到破坏,一定程度上加快光生载流子的分离和迁移速率,从而提升了其光催化性能。卤氧化铋(BiOX,X = Cl,Br和I)具有可调节的带隙、毒性低及晶体结构呈现高度各向异性等特点,被广泛用作光催化剂、生物传感器、光电化学器件等方面。但由于其具有相对较宽的带隙,因而限制了其光吸收能力和范围,最终影响其光催化性能。为了进一步提高BiOX的光催化活性,许多研究者开始了对BiOX的改性工作。

在该催化技术中g-C3N4和BiOX都因为成本低、带隙适合等优点被广泛地应用在光催化领域,并且通过各种方法对它们进行改性来提高其光催化活性。但是在通过离子掺杂、分子掺杂等外来掺杂物对g-C3N4进行改性的同时这些外来掺杂物也会有可能会作为新的光生电子–空穴复合中心,降低催化剂的催化效率[8]。而BiOX具有氧空位可使局域电子从氧空位向吸附氮气分子的反向转移,从而激活N≡N,使N2分子被活化[9]。但构建Ovs(氧空位)往往需要的加工条件特殊,而且在加工过程中晶体结构会遭到破坏,产生大量缺陷,而这种缺陷对固氮性能的影响是未知的[10]。因此,为克服上述g-C3N4和BiOX掺杂中存在的缺点,本文采用简单的水热法将g-C3N4和BiOX复合在一起,没有经过特殊处理,并探究其光催化固氮性能。

本文主要内容是利用水热法合成g-C3N4/BiOX复合材料,并考察其光催化固氮性能。首先,将三聚氰胺在不同时间水热后再经煅烧制备了g-C3N4,然后利用水热将g-C3N4与BiOX复合,探究g-C3N4前驱体水热时间、BiOX种类、BiOCl含量对g-C3N4复合BiOX光催化固氮性能的影响。并利用X射线衍射、UV-Vis、电化学工作站对这些催化剂结构进行表征,分析其物相、吸光性和阻抗等,揭示了光催化剂结构与固氮性能之间的关系。

2. 实验部分

2.1. 试剂及设备

主要实验试剂及仪器见表1表2

Table 1. Experimental reagents

1. 实验试剂

实验试剂

纯度

生产厂家

三聚氰胺

分析纯

上海阿拉丁生化科技股份有限公司

五水合硝酸铋

分析纯

西陇科学股份有限公司

溴化钾

分析纯

天津市东丽区天大化学试剂厂

氯化钾

分析纯

广东西陇化工厂

碘化钾

分析纯

天津市福晨化学试剂厂

乙二醇

分析纯

天津市科密欧化学试剂有限公司

酒石酸钾钠

分析纯

上海麦克林生化科技有限公司

钠式试剂

分析纯

上海源叶生物科技有限公司

无水乙醇

分析纯

洛阳市化学试剂厂

Table 2. Laboratory apparatus

2. 实验仪器

实验设备

型号

生产厂家

电热恒温鼓风干燥箱

DHG-9070A

上海精宏实验设备有限公司

电子分析天平

AF224

上海横平天平科学仪器有限公司

大功率LED光源灯(氙灯)

GEL-LED00-WL

北京中教金源科技有限公司制造

紫外可见光谱仪

T6 新世纪

美国ThermoNicolet公司制造

X射线衍射仪

Ultima IV

日本理学有限公司

紫外可见分光分度计

Cary-5000

美国ThermoNicolet公司制造

磁力搅拌器

ZNCL-GS130*70

郑州郑升仪器设备有限公司

离心机

AXTG16G

盐城市安信实验有限公司

2.2. 催化剂的制备

g-C3N4的制备

取5.00 g的三聚氰胺置于坩埚中,放在马弗炉内,以5℃/min的升温速度升温至550℃,高温煅烧4 h,所得样品记为g-C3N4-0。采用水热—煅烧法制备g-C3N4 [11]。具体操作如下:分别取5.00 g三聚氰胺于三个500 mL的烧杯中,加入300 mL的去离子水,在90℃下充分搅拌至溶解,转移到500 mL的高压反应釜中,于180℃下分别水热4 h、8 h、12 h。冷却至室温后,减压抽滤,然后将所得样品放入烘箱中干燥。将干燥后的三份样品放置于马弗炉中,以5℃/min的升温速度升温至550℃,高温煅烧4 h,所得产物分别记为g-C3N4-Y (Y = 4、8、12,其中Y为三聚氰胺水热时间)。

取0.50 g的g-C3N4以及一定量的Bi(NO3)3∙5H2O于100 mL烧杯中加入12 mL去离子水和28 mL乙二醇,在60℃下搅拌均匀后加入一定量的KX(KI、KBr、KCl),继续搅拌1 h,转入到高压反应釜中,于180℃下水热2 h,冷却至室温后,进行减压抽滤,将所得样品入到烘箱中于60℃下进行干燥,干燥后的产品即为g-C3N4-Y/BiOX复合催化剂。

2.3. 氨氮浓度标准曲线绘制

在100 mL容量瓶中用0.1 M Na2SO4配置氨氮浓度为1 mg∙mL1的氯化铵溶液。再用移液管量取1 mL的上述溶液放入100 mL容量瓶中,用0.1 M Na2SO4溶液配置氨氮浓度为0.01 mg/mL的标准溶液。

取上述标准溶液分别置于8个50 mL的容量瓶中用0.1 M的Na2SO4溶液定容,使8个溶液的氨氮浓度分别为0 μg∙mL1、0.1 μg∙mL1、0.2 μg∙mL1、0.4 μg∙mL1、0.8 μg∙mL1、1.2 μg∙mL1、1.6μg∙mL1、2.0 μg∙mL1 [12]。根据国标,分别在8个容量瓶中先各加入1 mL的酒石酸钾钠溶液和1 mL的钠氏试剂,摇匀,静置20 min,用紫外分光光度计,测定8个溶液在420 nm处的吸光度。以氨氮浓度为横坐标,吸光度为纵坐标,绘制标准曲线。如图1所示,标准曲线的拟合方程:

y=0.22043x+0.04153,  R 2 =0.998

式中:x——为氨氮浓度(μg/mL);

y——为吸光度;

R2——为标准曲线的方差。

Figure 1. Ammonia nitrogen concentration standard curve

1. 氨氮浓度标准曲线

2.4. 催化剂固氮测定

本文采用空气固氮[13]来检测催化剂的固氮性能。具体方法如下:先称取0.2 g的g-C3N4/BiOX复合催化剂放入光催化固氮反应器中,再加入200 mL的0.789 g/L乙醇水溶液,将反应器连接到光催化反应系统,打开冷却循环水以保证反应温度恒定,调节转速,打开空气泵,向反应溶液中通入空气,先暗反应30 min。30 min后,用滴管取10 mL的溶液于离心管中,然后打开LED大功率光源,在光照下每隔20 min取一次样,每次取10 mL。取样结束后,将6支装有样品溶液的离心管放入到离心机中,调整转速为12,000 r/min,离心十分钟。离心后,取上清液依次放入新的离心管中,重复上述操作。

向离心两次后溶液中依次注入4滴酒石酸钾钠溶液和4滴钠氏试剂,静置10 min后,用紫外吸收光谱仪器检测吸光度,设定吸收波长为420 nm,用去离子水进行校零后,按时间顺序依次检测样品溶液的吸光度,然后根据标准曲线计算 NH 4 + 的浓度。

2.5. 催化剂表征

对催化剂进行XRD表征:使用Ultima Ⅳ型X射线衍射仪(日本理学有限公司生产),采用波长为0.15418 nm的CuKα射线进行扫描,在管电流和管电压分别为40 mA、40 kV的条件下以及2θ为10˚~90˚扫描范围内在对催化剂样品进行检测。对催化剂进行紫外可见漫反射表征:使用美国ThermoNicolet公司生产的T6新世纪型紫外可见波谱仪在扫描波长200~800 nm、扫描速度600 nm∙min1条件下对样品进行扫描,测定其光吸收性能。对催化剂进行电化学表征:使用上海辰华公司生产的CHI-600E型电化学工作站,先用OCPT测定20 s内的电压变化,取10 s时的电压用IMP-AC和IMPE分别测定样品的阻抗和莫特–肖特基。

3. 结果与讨论

3.1. g-C3N4前驱体水热时间的影响

Figure 2. XRD patterns of g-C3N4/BiOX composites prepared at different hydrothermal times

2. 不同水热时间制备的g-C3N4复合BiOX的XRD谱

图2给出了不同水热时间制备的g-C3N4复合BiOX的XRD图。从图2(a)可以看出,经过不同水热时间处理的三聚氰胺煅烧出来的样品在2θ为13˚、27.6˚左右都有明显的特征峰,这两个位置峰为g-C3N4

Figure 3. UV-visible diffuse reflectance of g-C3N4/BiOX composites prepared at different hydrothermal times

3. 不同水热时间制备的g-C3N4/BiOX

的衍射峰。但是随着三聚氰胺水热时间的增加,两处特征峰强度有所降低。尤其是经过12 h水热处理的g-C3N4的峰强度降低最为明显。造成这种情况的原因可能是水热处理时破坏了三聚氰胺空间结构从而导致g-C3N4空间结构也发生了改变,使其特征峰强度有所降低。同时水热过程中可能改变了三聚氰胺的分子间距,导致g-C3N4堆叠程度有所变化,造成特征峰半宽高增加[14]。由图2(b)可知,不同水热时间的前驱体制备的g-C3N4复合BiOBr催化剂的特征峰的位置基本一致,2θ为10.9˚、22˚、25.3˚、31.9˚、32.3˚、39.3˚、46.3˚、50.8˚、57.3˚为BiOBr的衍射峰,2θ为27.6˚处的特征峰为g-C3N4的衍射峰。由图2(c)可以发现,不同水热时间的前驱体制备的g-C3N4复合BiOI催化剂的特征峰的位置基本一致,2θ为12˚、26˚、32.7˚、33.5˚、41˚、46.7˚、54.2˚、58.7˚处的特征峰为BiOI的衍射峰,2θ为27.6˚处为g-C3N4的衍射峰。由图2(d)可以发现,不同水热时间的前驱体制备的g-C3N4复合BiOCl催化剂的特征峰的位置基本一致,2θ为12˚、25.9˚、32.5˚、33.5˚、41˚、46.7˚、54.2˚、58.7˚的特征峰为BiOCl的衍射峰,2θ为27.6˚处为g-C3N4的衍射峰。

图3为不同水热时间制备的g-C3N4复合BiOX的紫外–可见漫反射图。图3(a)给出了不同水热时间制备的g-C3N4的紫外可见漫反射图。可以看出,随着三聚氰胺水热时间的增加,g-C3N4吸收波长向短波区移动,发生蓝移。图3(b)为不同水热时间制备的g-C3N4复合BiOBr的紫外可见漫反射图。可以看出,不同水热时间制备的g-C3N4复合BiOBr光催化剂的吸收光谱基本重叠说明复合后三种催化剂的吸光性能接近。图3(c)给出了不同水热时间制备的g-C3N4复合BiOI的紫外可见漫反射图。可以看出,g-C3N4-4复合BiOI (50%)催化剂吸收波长相对另两种催化剂向长波区移动。图3(d)给出了不同水热时间制备的g-C3N4复合BiOCl的紫外可见漫反射图。可以看出,g-C3N4/BiOCl复合催化剂在可见光区有两个吸收带边,其中g-C3N4/BiOCl复合催化剂在300~400 nm内的吸收光谱形状相对而言较为的陡峭,且四种复合催化剂在此范围内吸收光谱基本重叠;而在400~450 nm内g-C3N4-8/BiOCl (50%)的吸光强度度明显低于其他三种催化剂。随着水热时间的增加,在此范围内吸收波长逐渐蓝移,与g-C3N4性能趋势相同。图3(e)给出了g-C3N4-8/BiOX的紫外可见漫反射图。可以看出,三个催化剂中g-C3N4-8/BiOCl (50%)催化剂的吸收光的波长最短。

图4给出了不同水热时间的前驱体制备的g-C3N4复合BiOX的固氮性能图。从图4(a)图4(b)图4(c)三个图中可以看出,当BiOX的质量分数50%时,三种卤氧化铋(BiOBr、BiOI、BiOCl)分别与g-C3N4-8复合而成的催化剂的光催化固氮性能均是最好的。结合上述表征,在相同条件下,g-C3N4-8复合BiOX吸收波长都有蓝移趋势,波长短,光子的能量高,易活化N2分子。因此,g-C3N4-8复合BiOX光催化剂的固氮性能最好。从图4(d)可以看出,相同质量分数的BiOX复合g-C3N4-8,g-C3N4-8复合BiOCl (50%)的催化剂的光催化性能最好。三个催化剂中g-C3N4-8复合BiOCl (50%)的催化剂的吸收光的波长最短,g-C3N4-8复合BiOCl (50%)催化剂固氮性能最佳。

Figure 4. Nitrogen fixation performance of g-C3N4/BiOX composites prepared at different hydrothermal times

4. 不同水热时间制备的g-C3N4/BiOX的固氮性能

3.2. BiOX (Cl, Br和I)种类影响

Figure 5. UV-Vis diffuse reflectance (a) and band gap (b) of g-C3N4-8 composited with equimolar BiOX

5. g-C3N4-8/BiOX (50%)光催化剂的紫外–可见漫反射图(a)和能带隙图(b)

图5(a)给出了g-C3N4-8复合等物质的量的BiOX光催化剂的紫外-可见漫反射图。可见,g-C3N4-8/BiOCl具有双吸收带边,相较于g-C3N4-8/BiOI与g-C3N4-8/BiOBr的吸收波长,其吸收波长向短波区移动。图5(b)给出了g-C3N4-8复合等物质的量的BiOX光催化剂的能带隙图。可以看出,g-C3N4-8/BiOCl、g-C3N4-8/BiOBr、g-C3N4-8/BiOI的能带间隙分别是3.39 eV、2.93 eV、2.55 ev,其中g-C3N4-8/BiOCl的能带间隙最大,g-C3N4-8/BiOI的能带间隙最小。

图6给出了g-C3N4-8复合等物质的量的BiOX的固氮性能图。可以看出,g-C3N4-8/BiOCl、g-C3N4-8/BiOBr和g-C3N4-8/BiOI三种催化剂中,g-C3N4-8/BiOCl光催化剂的固氮性能最好。根据上述表征,g-C3N4-8/BiOCl催化剂在三种复合催化剂中固氮性能最好的原因可能是其吸收波长较短,波长越短能量越高,能带间隙大,光催化固氮性能更好。

Figure 6. Nitrogen fixation performance plot of g-C3N4-8 composited with equimolar BiOX

6. g-C3N4-8复合等物质的量的BiOX复合的固氮性能图

3.3. BiOCl含量影响

Figure 7. XRD plots of g-C3N4-8 catalyst with different BiOCl content

7. 不同含量的BiOCl复合g-C3N4-8的XRD图

图7给出了不同含量的BiOCl复合g-C3N4-8的XRD图。可以看出,随着复合催化剂中BiOCl含量的增加,g-C3N4-8特征峰强度逐渐减弱。尤其是BiOCl的质量分数为70%、90%的复合催化剂中,g-C3N4-8在XRD中的特征峰已经基本消失。这可能是由于BiOCl对g-C3N4-8起到了分散作用,使g-C3N4-8晶体颗粒变小,低于XRD的检出限。

Figure 8. UV-Vis diffuse reflectance (a) and band gap (b) of g-C3N4-8 catalyst with different BiOCl content

8. 不同含量的BiOCl复合g-C3N4-8光催化剂的紫外–可见漫反射图(a)和能带隙图(b)

图8(a)给出了g-C3N4-8复合不同含量的BiOCl光催化剂紫外–可见漫反射图。可见,纯g-C3N4-8的吸收波长阈值在473 nm左右,说明其在可见光范围内有较好的吸光性能。纯BiOCl的吸收波长阈值在369 nm左右,说明其在可见光区几乎无吸收。在可见光范围内,随着BiOCl含量的增加,g-C3N4-8/BiOCl催化剂的吸光性能逐渐减小,波长逐渐蓝移。g-C3N4-8/BiOCl (50%)催化剂的吸光性能适中,吸光范围主要在可见光范围内。再增加BiOCl含量,吸光性能又逐渐增加,345~466 nm处的吸收带逐渐消失。g-C3N4-8/BiOCl (90%)催化剂吸光性能又达到极值。但纯的BiOCl的光吸收性能最差。

图8(b)给出了不同含量的BiOCl复合g-C3N4-8光催化剂的能带隙图。可以看出,BiOCl、g-C3N4-8、g-C3N4-8/BiOCl (50%)的禁带宽度分别为2.54 eV、3.54 eV、3.39 eV,g-C3N4-8/BiOCl (50%)催化剂的禁带宽度正好位于BiOCl与g-C3N4-8之间,复合催化剂带隙宽度适中,不但有利于光生电子的跃迁,而且有利于光生电子与空穴的分离,进而提高了g-C3N4-8/BiOCl (50%)光催化剂的固氮性能。

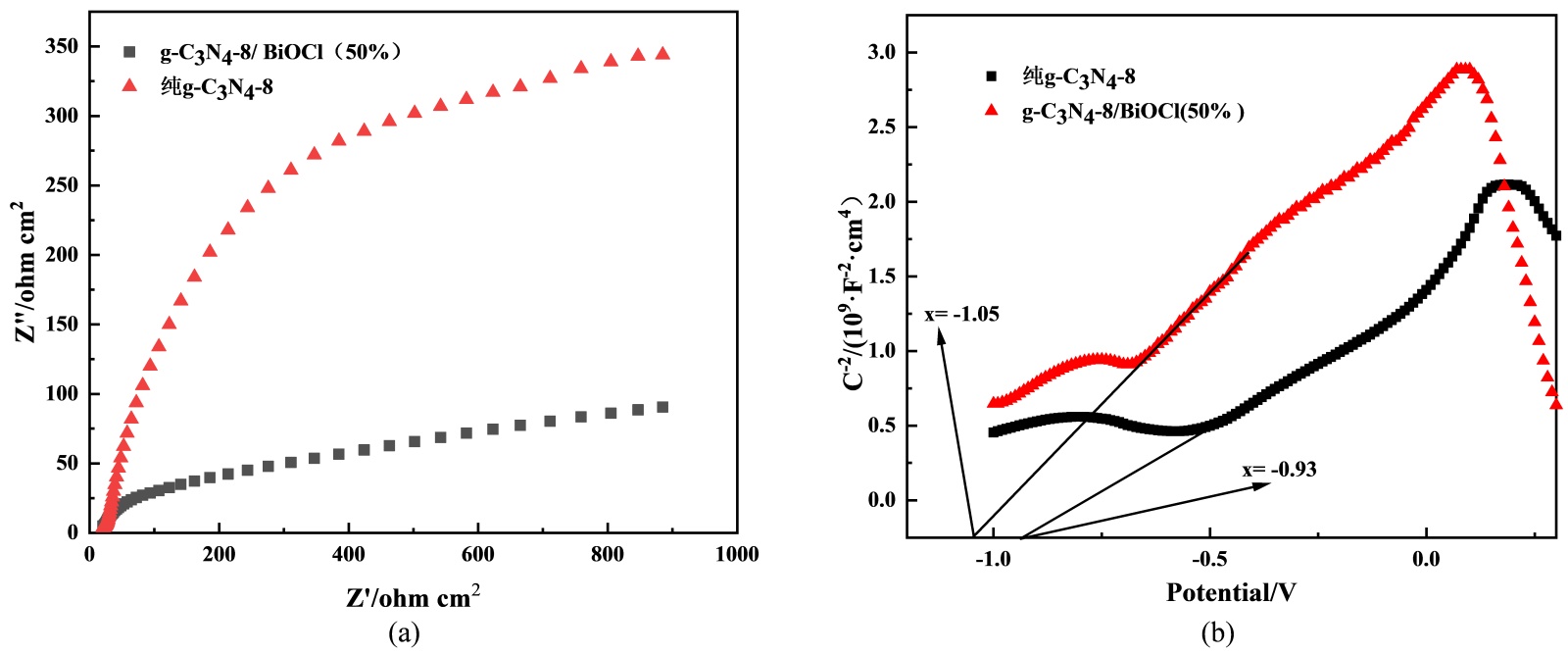
Figure 9. EIS diagram (a) and Mott-Schottky diagram (b) of g-C3N4-8 catalyst with different BiOCl content

9. 不同含量的BiOCl复合g-C3N4-8催化剂的EIS图(a)和莫特–肖特基图(b)

图9(a)给出了不同含量的BiOCl复合g-C3N4-8催化剂的EIS图。可以看出,g-C3N4-8/BiOCl (50%)复合催化剂的圆弧半径小于纯g-C3N4-8的圆弧半径,表明g-C3N4-8/BiOCl (50%)催化剂的电荷转移的电阻减小,光生电子转移速率快于纯g-C3N4-8的。这表明g-C3N4-8/BiOCl (50%)催化剂表面电荷迁移能力强,有利于光生电子在催化剂表面的传导,促进了光生电子空穴分离[15]图9(b)给出催化剂的莫特–肖特基图。可以看出,纯g-C3N4-8和g-C3N4-8/BiOCl (50%)平带电位分别为−0.93 V、−1.05 V,可知g-C3N4-8/BiOCl (50%)复合催化剂的平带电位小,其还原能力强,易给出电子,填充到氮气分子的反键轨道中去,使氮气分子更易活化。

Figure 10. Nitrogen fixation performance of g-C3N4-8 catalyst with different BiOCl content

10. 不同含量的BiOCl复合g-C3N4-8的固氮性能图

图10给出不同含量BiOCl复合g-C3N4-8光催化剂的固氮性能图。可以看出,g-C3N4-8/BiOCl (50%)光催化剂有最好的光催化固氮性能,催化剂TOF值为9.92 μg∙g1∙min1。结合上述表征可知,g-C3N4-8/BiOCl (50%)光催化固氮性能最佳有以下四个方面的原因:(1) g-C3N4-8/BiOCl (50%)光催化剂的吸光范围主要在可见光区,吸收光的波长较短,光子能量高,易活化氮气分子;(2) g-C3N4-8/BiOCl (50%)光催化剂的带隙适中;(3) g-C3N4-8/BiOCl (50%)光催化剂的阻抗较小,表面电荷迁移能力强,有利于光生电子在催化剂表面的传导,促进了光生电子空穴分离;(4) g-C3N4-8/BiOCl (50%)复合催化剂的平带电位小,其还原能力强,易给出电子,填充到氮气分子的反键轨道中去,使氮气分子更易活化。

4. 结论

(1) 三聚氰胺经过不同水热时间后制备而成的g-C3N4复合BiOX的催化剂中,水热8 h后制备而成的g-C3N4-8复合BiOX的光催化固氮性能最佳。在相同条件下,g-C3N4-8/BiOX吸收波长最短,吸收光子的能量最高,易活化N2分子。g-C3N4-8/BiOCl (50%)催化剂的吸收光的波长又比g-C3N4-8/BiOBr (50%)和g-C3N4-8/BiOI (50%)都短,因此前者的固氮性能比后两者都高。

(2) g-C3N4-8/BiOCl催化剂吸收波长较短,波长越短能量越高,能带间隙大,光催化固氮性能比g-C3N4-8/BiOBr催化剂和g-C3N4-8/BiOI催化剂性能好。

(3) g-C3N4-8/BiOCl (50%)光催化剂的吸光范围主要在可见光区,带隙适中,阻抗较小,平带电位小,表面电荷迁移能力强,光生电子易在催化剂表面的传导,光生电子与空穴易分离,还原能力强,易给出电子,填充到氮气分子的反键轨道中去,易活化氮气分子,TOF值达到了9.92 μg∙g1∙min1

基金项目

国家级大学生创新创业训练计划项目(202512949005),郑州师范学院大学生科研创新项目(2025003),郑州师范学院大学生创新创业训练计划项目(DCY2024010)。

参考文献

[1] 梁慧君, 李德生, 张燚豪, 等. ZIF-8修饰同质异相结TiO2的光催化固氮性能研究[J]. 河南师范大学学报(自然科学版), 2024, 52(1): 116-124.
[2] 葛建华, 张万, 丁修龙, 等. S掺杂BiOBr的制备及其光催化固氮性能研究[J]. 分子催化, 2022, 36(3): 245-252.
[3] 高晓明, 尚艳岩, 刘利波, 等. Cd掺杂δ-Bi2O3纳米片的制备及其光催化固氮性能[J]. 无机化学学报, 2019, 35(4): 580-588.
[4] 陈伟杰, 花开慧, 雷鸣, 等. 多孔陶瓷负载Ce-TiO4光催化降解印染废水研究[J]. 人工晶体学报, 2024, 53(1): 170-180.
[5] 邱小魁, 张若凡, 王小燕, 等. 竹茹丝炭负载钌催化剂光催化氨硼烷水解产氢研究[J]. 无机盐工业, 2023, 55(10): 153-158.
[6] 陶雨, 欧鸿辉, 雷永鹏, 等. 单原子催化剂在光催化二氧化碳还原中的研究进展[J]. 高等学校化学学报, 2022, 43(5): 143-154.
[7] 毛成梁, 张礼知. 基于表面氧空位的光催化固氮材料[J]. 中国材料进展, 2019, 38(2): 83-90.
[8] 关元昊, 白金, 胡绍争, 等. 微波法合成磷掺杂石墨相氮化碳催化剂及n-π*电子跃迁对其光催化固氮性能的影响[J]. 分子催化, 2022, 36(2): 180-189.
[9] 孙明禄, 李解元, 董帆. Bi系光催化材料结构调控方法及其在环境能源领域的应用研究进展[J]. 华中农业大学学报, 2020, 39(5): 17-25.
[10] 田野, 闫哲, 刘建新, 等. RuO2/BiOCl复合光催化剂的制备及其固氮性能研究[J]. 人工晶体学报, 2023, 52(10): 1872-1879.
[11] 刘月琴, 王海涛, 郭建峰, 等. 不同形貌g-C3N4光催化剂的制备及性能[J]. 材料导报, 2024, 38(4): 55-61.
[12] 刘国栋. Fe-MOFs及其衍生物催化剂的制备和电催化固氮性能研究[D]: [硕士学位论文]. 银川: 宁夏大学, 2022.
[13] 王辉, 李士君, 王梅, 等. 载银g-C3N4(I)/g-C3N4(II)同素异质结催化剂的制备及光催化固氮产氨性能[J]. 材料导报, 2018, 32(20): 3496-3503.
[14] 王晓辉, 李靖. 无机碱溶液水热调控g-C3N4形貌及光催化性能的研究[J]. 现代盐化工, 2016, 43(4): 1-5.
[15] 余关龙, 李培媛, 杨凯, 等. Fe3+掺杂BiOCl光催化剂降解盐酸四环素的性能[J]. 材料学报, 2023, 40(11): 6182-6193.