血清脑多巴胺神经营养因子水平与急性心肌 梗死严重程度相关性研究
Correlation of Serum CDNF Levels with the Severity of Acute Myocardial Infarction
摘要: 检测急性心肌梗死患者血清中脑多巴胺神经营养因子(Cerebral Dopamine Neurotrophic Factor, CDNF)水平,评估CDNF在急性心肌梗死(Acute myocardial infarction, AMI)严重程度中的价值。纳入2024年9月至2025年8月就诊于青岛大学附属烟台毓璜顶医院心血管内科的急性冠脉综合征(Acute Coronary Syndrome, ACS)患者141例。根据是否诊断为AMI分为AMI组(n = 72)和non-AMI组(n = 69),收集所有患者入院时血清样本和AMI组患者入院后24 h和96 h血清,通过ELISA法检测血清CDNF的水平,对比AMI组患者与non-AMI组患者入院时CDNF水平。通过Logistic回归和LASSO回归构建诊断模型。分析AMI组患者冠脉病变评分与CDNF水平相关性。研究CDNF水平与AMI患者预后情况相关性。结果:入院AMI组血清CDNF水平高于non-AMI组。多因素Logistic分析显示血清CDNF水平、总胆红素、低密度脂蛋白胆固醇、肌红蛋白是ACS患者发生AMI的独立影响因素。CDNF水平与狭窄冠脉数量、Gensini评分、TIMI血流分级有相关性。不同预后分组患者CDNF水平有差异性,Logistic回归提示CDNF水平与心脏超声结果是患者预后的独立影响因素。结论:CDNF水平对急性心肌梗死的诊断效能、严重程度评估、预后预测有一定意义。
Abstract: To detect serum cerebral dopamine neurotrophic factor (CDNF) levels in patients with acute myocardial infarction (AMI) and evaluate its value in assessing AMI severity. A total of 141 patients with acute coronary syndrome (ACS) admitted to the Department of Cardiology, Affiliated Yantai Yuhuangding Hospital of Qingdao University between September 2024 and August 2025 were enrolled. Patients were divided into an AMI group (n = 72) and a non-AMI group (n = 69). Serum samples were collected from all patients at admission and from AMI patients at 24h and 96h after admission. CDNF levels were measured by ELISA, and levels at admission were compared between the AMI and non-AMI groups. Diagnostic models were constructed using logistic and LASSO regression. The correlation between coronary lesion scores and CDNF levels in AMI patients was analyzed. The association between CDNF levels and prognosis in AMI patients was also investigated. Result: Serum CDNF levels were higher in the AMI group than in the non-AMI group at admission. Multivariate logistic analysis identified serum CDNF, total bilirubin, LDL-C, and myoglobin as independent factors for AMI in ACS patients. CDNF levels correlated with the number of stenosed coronary arteries, Gensini score, and TIMI flow grade. CDNF levels differed among prognostic subgroups, and logistic regression indicated that both CDNF levels and echocardiographic results were independent factors influencing patient prognosis. Conclusion: CDNF levels hold significance for the diagnostic efficacy, severity assessment, and prognosis prediction of acute myocardial infarction.
文章引用:盛勇皓, 任蒙蒙, 董海滨, 王春筱, 龚磊, 仲琳. 血清脑多巴胺神经营养因子水平与急性心肌 梗死严重程度相关性研究[J]. 临床医学进展, 2026, 16(3): 128-143. https://doi.org/10.12677/acm.2026.163771

1. 引言

心血管疾病是严重威胁人类健康的全球性公共卫生问题。在中国,每年因心血管疾病住院的患者已超过1200万人次[1] [2]。冠状动脉粥样硬化性心脏病是导致死亡的主要病因之一,其中,急性心肌梗死(Acute myocardial infarction, AMI)是冠脉疾病的严重类型,其特征是冠状动脉血供急剧减少,引发心肌缺血缺氧,最终导致心肌细胞不可逆坏死。目前,AMI的诊断主要依据临床症状、特征性心电图改变、冠状动脉造影(Coronary angiography, CAG)检查以及心脏特异性肌钙蛋白(Troponin, Tn)水平的动态变化[3]。以往研究中提示,心梗后3小时内治疗每延迟10分钟,死亡率会升高3.3% [4]。因此,探索更多、更有效的生物标志物,对于改善AMI患者的治疗效果至关重要。

人脑多巴胺神经营养因子(Cerebral Dopamine Neurotrophic Factor, CDNF)是中脑星形胶质细胞神经营养因子(Mesencephalic astrocyte-derived neurotrophic factor, MNAF)/CDNF蛋白家族成员之一,于2007年由Päivi Lindholm等人首次发现,是一种保守的神经营养因子,广泛表达于脑、心脏、胃肠道、肌肉及胰岛等多种组织[5]-[7]。CDNF由187个氨基酸构成,包含两个关键结构域:N末端的鞘脂激活蛋白样结构域和C末端的SAP样结构域[5] [8]-[12]。其C末端的KTEL序列与内质网滞留序列KDRL相似,正常状态下作为内质网(Endoplasmic Reticulum, ER)滞留信号肽存在于内质网中,在缺血等应激状态下其过量表达并因滞留信号竞争结合被分泌到胞外,有研究表明CDNF可减轻内质网应激(Endoplasmic Reticulum stress, ER stress) [5] [8] [13],并通过抑制细胞凋亡发挥保护作用[13] [14]

目前尚无关于AMI患者血清CDNF的相关研究。本研究通过检测ACS患者血清CDNF水平,并结合传统血清学指标构建模型,旨在深入探讨CDNF水平在急性心肌梗死的相关性,以期为AMI的临床诊断与治疗提供新的思路和依据。

2. 研究对象及方法

2.1. 研究对象

本研究纳入2024年9月至2025年8月于烟台毓璜顶医院心血管内科收治急性冠脉综合征(Acute coronary syndrome, ACS)住院并完成冠状动脉造影(Coronary angiography, CAG)检查的患者141例。其中,72例确诊为AMI的患者纳入AMI组;69例经检查排除AMI的患者纳入非急性心肌梗死(non-AMI)组。本研究已获烟台毓璜顶医院伦理委员会批准(伦理批号:2025-786),研究过程遵循《赫尔辛基宣言》的伦理准则。

2.2. 纳入标准

(1) 年龄 > 18岁;(2) 住院资料完整;(3) AMI组患者符合第四版心肌梗死全球统一定义:存在心脏肌钙蛋白(cTn)的动态升降变化(至少1次超过正常值上限的第99百分位数),并至少伴有下列一项临床证据:a. 急性心肌缺血症状;b. 新发缺血性心电图改变;c. 新出现的病理性Q波;d. 影像学证据显示新发存活心肌缺失或节段性室壁运动异常;e. CAG或尸检证实冠状动脉血栓;(4) non-AMI组患者符合以下定义:a. 肌钙蛋白(cTn)无明显异常。b. 符合以下至少一种情况:静息痛:发作持续时间通常 > 20分钟。新发心绞痛:在首发症状1~2个月内、很轻的体力活动可诱发,CCS分级III级或以上。恶化性心绞痛:既往稳定的心绞痛,近期发作更频繁、程度更重、持续时间更长或在更低活动阈值下诱发。c. 胸痛发作时可能出现一过性的ST段压低或T波倒置。

2.3. 排除标准

合并严重肝肾功能不全;患有恶性肿瘤;患有免疫系统疾病;既往有严重心律失常、心力衰竭或重度心脏瓣膜病;首次冠脉介入治疗在外院完成;既往有冠状动脉旁路搭桥术史;CAG或PCI手术失败;临床资料不完整、住院期间意外死亡或失访。

2.4. 资料收集

收集患者的一般资料包括年龄、性别、血压、心率、吸烟史、饮酒史、高血压病史及糖尿病病史,以及患者的临床实验室指标包括:尿素(Ureophil, URE)、肌酐(creatinine, Cr)、丙氨酸氨基转移酶(Alanine Transferase, ALT)、总胆固醇(Total Cholesterol, TC)、白蛋白(Albumin, ALB)、甘油三酯(triglycerides, TG)、低密度脂蛋白胆固醇(low-density lipoprotein cholesterol, LDL-C)、高密度脂蛋白胆固醇(high-density lipoprotein cholesterol, HDL-C)、脂蛋白a (lipoprotein (a), Lp (a))、同型半胱氨酸(homocysteine, HCY)、高敏肌钙蛋白I (high-sensitivity troponin I, hs-TnI)、肌酸激酶同工酶MB (Creatine Kinase-MB, CK-MB)、肌红蛋白(Myoglobin, MYO)、B型脑钠肽(B-type natriuretic peptide, BNP)、D二聚体(D-dimer, D-D)、纤维蛋白原(fibrinogen, FIB)等指标。所有患者采用促凝管收集入院时静脉血样本。AMI组患者继续采集入院24小时和96小时的静脉血,通过酶联免疫吸附试验(enzyme-linked immunosorbent assay, ELISA)测量并计算血清CDNF水平。

2.5. 冠心病相关评分

Gensini评分(Gensini Score, GS)通过分析冠脉病变的严重程度评分、区域乘数因子和侧支调整因子三个主要参数来表现CAD的复杂性[15]。心肌梗死溶栓(Thrombolysis in Myocardial Infarction, TIMI)冠状动脉血流分级用于评估冠状动脉造影中的心外膜灌注[16] [17]。采用优化的全球急性冠状动脉事件注册研究(Global Registry of Acute Coronary Events, GRACE)风险评分模型综合考虑患者的临床特征、生化标志物、ECG表现和医疗历史等多个因素,评估包括急性AMI在内的ACS患者的长期死亡率[18] [19]

2.6. 随访

通过门诊及电子病历系统对患者进行随访,主要终点事件为出院后6个月内发生的主要不良心脑血管事件(Major Adverse Cardiovascular and Cerebrovascular Events, MACCE),包括:心源性死亡、再发心肌梗死、新发房颤、脑卒中、缺血驱动的再次血运重建、不稳定型心绞痛及心力衰竭。次要终点包括:a) 患者有明显症状不适如胸痛,胸闷,阵发性心悸。b) 心脏超声有结构异常改变或收缩、舒张功能下降。c) 复查心电图有ST段抬高或压低表现。d) 出现心梗后遗症,如心功能下降NYHA III级以上或出现心电传导阻滞,心律失常等。

2.7. 统计分析

采用SPSS 26.0和R 4.5.1软件进行统计分析。数据正态性采用Kolmogorov-Smirnov检验。两组之间差异性分析符合正态分布的计量资料以均数 ± 标准差表示,组间比较采用t检验;非正态分布资料以中位数(四分位数间距)表示,组间比较采用Mann-Whitney U检验。计数资料以例数(百分比)表示,组间比较采用卡方检验。正态数据和计量资料采用Pearson相关性分析,非正态数据采用Spearman相关性分析。采用LASSO回归筛选变量,通过logistic回归以降低多重共线性。采用受试者工作特征曲线曲线评估诊断效能,并通过DeLong检验比较曲线下面积(AUC),绘制校准曲线和临床决策曲线评估模型的校准度与临床适用性。检验水肿设为α = 0.05。统计图表使用GraphPad Prism 9.5绘制。

3. 结果

3.1. 研究对象的基本特征

本研究共纳入141例患者,AMI组72例,non-AMI组69例。两组患者在年龄、性别、吸烟史、饮酒史、糖尿病及高血压病史方面均无统计学差异(P > 0.05)。比较两组患者实验室检验指标,AMI组患者的TBil、ALB水平较non-AMI组降低,这可能与患者应激时发生的代谢紊乱有关,如心梗是肝功能因血流动力学异常导致的轻度下降。TC、LDL、D-D、FIB、hs-TnI、CK-MB、MYO、BNP水平较non-AMI升高(P < 0.05),这些指标变化与传统的心梗诊断指标相同。两组在URE、Cr、ALT、TG、HDL、Lpa、HCY中无显著差异(表1)。

Table 1. Characteristics of the study participants

1. 研究对象的基本特征

基本特征

AMI组(n = 72)

non-AMI组(n = 69)

t/χ2/F

P

age (year)

62.63 ± 11.64

63.41 ± 11.14

0.857

0.685

male (n%)

52 (72.2)

40 (58.0)

3.516

0.081

smoking (n%)

19 (26.4)

14 (20.3)

0.731

0.431

alcohol (n%)

13 (18.1)

15 (21.7)

0.300

0.674

diabetes (n%)

24 (33.3)

22 (31.9)

0.034

0.860

hypertension (n%)

42 (58.3)

43 (62.3)

0.234

0.731

URE (mmol/L)

5.68 (4.71, 7.05)

5.22 (4.48, 6.23)

1.786

0.074

Cr (μmol/L)

63.00 (54.25, 79.75)

65.00 (53.50, 74.00)

0.747

0.455

ALT (U/L)

20.50 (16.25, 30.0)

20.00 (16.00, 34.00)

0.047

0.962

TBil (μmol/L)

12.02 ± 5.68

16.51 ± 5.95

4.585

<0.0011

ALB (g/L)

37.28 (35.46, 39.77)

41.35 (39.31, 42.96)

6.298

<0.0011

TC (mmol/L)

4.83 (3.86, 5.49)

4.08 (3.52, 5.14)

2.827

0.0051

TG (mmol/L)

1.37 (1.06, 1.83)

1.43 (0.91, 1.86)

0.142

0.887

HDL-C (mmol/L)

1.18 ± 0.23

1.22 ± 0.25

0.410

0.274

LDL-C (mmol/L)

3.15 (2.20, 3.65)

2.16 (1.73, 2.96)

4.382

<0.0011

Lp (a) (mg/L)

198.50 (96.75, 385.25)

133.00 (62.00, 261.00)

1.712

0.087

HCY (μmol/L)

12.10 (9.93, 14.93)

11.10 (9.60, 13.75)

1.009

0.313

D-D (mg/L)

0.63 (0.50, 0.85)

0.52 (0.43, 0.62)

3.272

0.0011

FIB (g/L)

3.30 (2.81, 3.71)

3.04 (2.63, 3.41)

2.394

0.0171

hs-TnI (pg/mL)

137.05 (20.95, 1017.05)

1.40 (0.02, 3.65)

8.907

<0.0011

CK-MB (ng/mL)

2.95 (1.40, 19.95)

0.80 (0.60, 1.30)

7.372

<0.0011

MYO (ug/L)

118.20 (46.68, 366.58)

28.60 (22.30, 35.85)

7.770

<0.0011

BNP (pg/mL)

31.33 (10.32, 135.95)

25.00 (10.00, 40.86)

2.107

0.0351

注:1表示有统计学意义;正态数据用均数 ± 标准差,非正态分布资料中位数(四分位数间距)表示。分类资料用n (%)表示。

3.2. CDNF水平对比分析

3.2.1. Non-AMI组与AMI组CDNF水平比较

Figure 1. Analysis of CDNF level differences between AMI and non-AMI groups detected and ROC analysis (A) CDNF levels in AMI group versus non-AMI group; (B) ROC analysis of CDNF level for diagnosing AMI

1. AMI组与non-AMI组的CDNF水平差异分析及ROC分析(A) AMI组和non-AMI组CDNF水平;(B) CDNF水平对AMI的ROC分析

AMI组比non-AMI组相比,患者入院血清CDNF水平升高,差异有统计学意义[(3.43 ± 2.23) ng/mL vs. (2.45 ± 1.37) ng/mL, (P = 0.012)] (图1(A))。ROC的结果表明,CDNF的曲线下面积为0.622,最佳诊断截值为3.12 ng/mL,灵敏度为53%,特异度为71% (图1(B))。

3.2.2. AMI组血清CDNF水平的动态变化

AMI组患者入院前胸痛发作时间平均为4.3小时,患者入院后平均接受PC手术时间为4.2小时,术后医师给予患者两种抗血小板凝集药物,并根据患者血脂情况给予一种或两种控制胆固醇药物。其他药物根据患者病情调整。入院后持续观察AMI组每一位患者在入院时(T = 0),入院24小时(T = 24 h)和入院96小时(T = 96 h)三个时间点的血清CDNF水平进行分析,观察其变化情况。AMI组患者继续采集入院24小时和96小时的静脉血测量CDNF水平,对AMI组同一名患者进行三时间点分组,AMI组患者CDNF水平入院24时(T = 24 h)对比入院时(T = 0)差异无统计学意义。血清CDNF水平入院96时(T = 96 h)较0和24 h显著升高(P < 0.001) (图2)。

Figure 2. Changes in serum CDNF levels measured in AMI group

2. AMI组血清CDNF水平变化

3.3. 多因素Logistic回归分析与模型构建

Table 2. Analysis of the correlation between characteristics and CDNF levels

2. 临床特征与CDNF水平相关性分析

相关性因素

r

P

相关性因素

r

P

CDNF

1

-

TC

0.023

0.789

年龄

0.73

0.387

TG

0.127

0.132

男性

−0.05

0.953

HDL-C

0.077

0.367

吸烟

−0.65

0.444

LDL-C

−0.001

0.988

饮酒

−0.136

0.109

Lpa

−0.005

0.954

糖尿病

0.75

0.379

HCY

−0.057

0.502

高血压

0.03

0.975

D-D

0.213

0.011*

URE

−0.02

0.980

FIB

0.051

0.552

Cr

−0.11

0.895

hs-TnI

0.228

0.007**

ALT

0.112

0.186

CK-MB

0.117

0.168

TBil

−0.152

0.072

MYO

0.138

0.103

ALB

−0.233

0.005**

BNP

0.160

0.058

注:*在0.05级别(双尾),相关性显著;**在0.01级别(双尾),相关性显著。

为进一步建立更好的模型,分析检验结果与CDNF水平的相关性(表2),与CDNF有相关性的结果包括hs-TnI、D-D和ALB。将差异分析中有意义的变量纳入LASSO回归进行变量筛选,最终保留CDNF、TBil、ALB、LDL-C、D-D、MYO共6个结果。将6个因素进行Logistic回归构建模型,最终保留4个变量,分别为CDNF水平、TBil、LDL-C、MYO。其中CDNF、TBil、LDL-C及MYO是AMI的影响因素(表3图3)。将上述指标进行ROC曲线分析(表4),其中模型的AUC为0.938。预测效能优于其他指标(P < 0.05)。使用模型绘制校准曲线与临床决策曲线表明:校准曲线Brier分数:0.0903,Hosmer-Lemeshow拟合优度检验P = 0.5899。临床决策曲线获益阈值区间:0.15~0.99 (图4)。

Figure 3. Feature selection using the LASSO model based on univariately variables and predictive performance of the multifactorial combined model(A) LASSO coefficient profiles; (B) Cross-validation curve of the LASSO model; (C) Receiver operating characteristic curve of the combined predictive model

3. 基于单因素变量的LASSO模型特征筛选及多因素联合模型的预测效能(A) LASSO回归系数路径图;(B)LASSO模型交叉验证曲线;(C) 多因素联合预测模型ROC曲线

Table 3. Multivariate Logistic regression analysis

3. 多因素Logistic回归分析

临床特征

β

标准误差

Waldχ2

P

OR (95%CI)

CDNF

0.314

0.157

4.720

0.030

1.37 (1.01~1.86)

TBil

0.221

0.059

14.287

0.001

1.25 (1.11~1.40)

LDL-C

0.753

0.334

5.075

0.024

2.12 (1.01~4.09)

MYO

0.039

0.010

15.069

0.001

1.04 (1.02~1.06)

Table 4. ROC analysis of diagnostic value of multivariate model for AMI group

4. AMI分组多因素模型的ROC分析

临床指标

AUC

95%CI

敏感度

特异度

Cut-off

P

CDNF

0.622

0.530~0.714

0.53

0.71

3.12 ng/mL

0.002*

TBil

0.736

0.654~0.817

0.49

0.93

9.15 μmol/L

<0.001*

LDL-C

0.714

0.630~0.798

0.51

0.83

3.14 mmol/L

<0.001*

MYO

0.879

0.822~0.937

0.81

0.87

43.9 ug/L

<0.001*

Model

0.938

0.895~0.981

0.86

0.97

——

<0.001*

Figure 4. Calibration and clinical decision curves of the LASSO-logistic model (A) Calibration curve; (B) Clinical decision curve

4. LASSO-logistic模型的校准曲线与临床决策曲线(A) 校准曲线;(B) 临床决策曲线

3.4. CDNF水平与冠脉病变严重程度相关性分析

3.4.1. CDNF与冠脉狭窄程度相关性分析

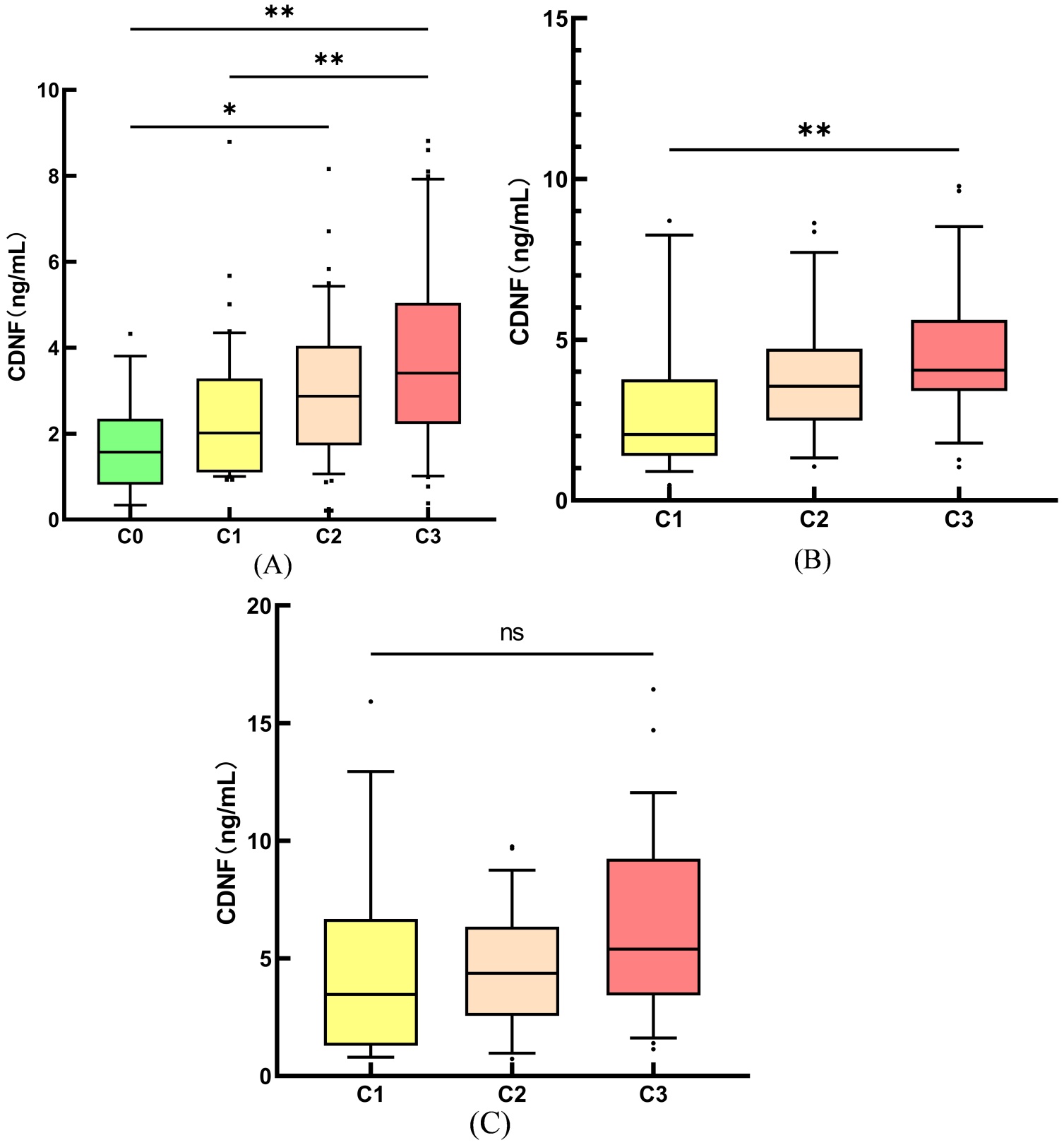
为了研究PCI术中观察到的冠脉狭窄情况与CDNF之间的相关关系,将患者按照PCI术中冠脉三支病变(左前降支、左回旋支、右冠状动脉)的数量分组,其中狭窄程度大于中度狭窄(≥40%~50%)认为是该冠脉狭窄,左主动脉狭窄的患者认为有两支冠脉受到影响,将入院时患者分为0支组(C0, n = 15),1支组(C1, n = 40),2支组(C2, n = 46)和3支组(C3, n = 40)。根据单因素方差分析结果,C2较C0浓度升高,差异有统计学意义,C3较C0和C1浓度升高,差异有统计学意义,代表冠脉狭窄数量影响到CDNF的表达浓度,随着狭窄冠脉的数量增多,CDNF浓度有升高趋势。接着对AMI组患者24 h和96 h CDNF浓度同样方式分析,发现在24 h时C3组(n = 27)较C1组(n = 17)高,差异有统计学意义,C2组(n = 28)与其他两组无统计学意义。在96h时未能发现明显差异。这可能与统计数量较少有关(图5)。

Figure 5. CDNF levels stratified by coronary artery stenosis at different time points (A) At admission (0 h); (B) At 24 hours post-admission; (C) At 96 hours post-admission

5. 狭窄冠脉分组在三时间点的CDNF水平差异对比(A) 在0 h CDNF水平差异;(B) 在24 h CDNF水平差异;(C) 在96 h CDNF水平差异

3.4.2. CDNF与Gensini评分的相关性

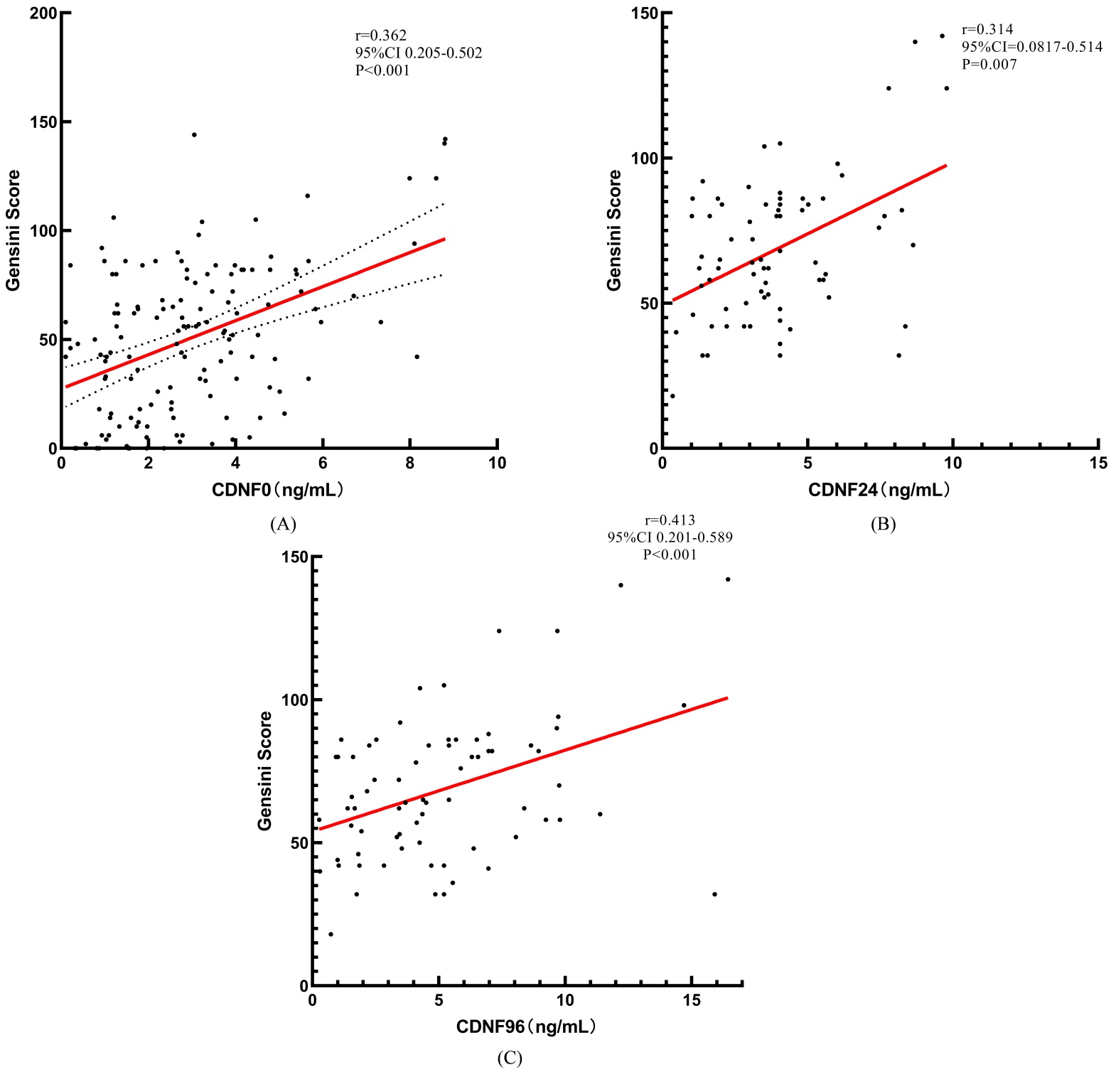
Gensini评分综合计算冠脉病变的严重程度评分、区域乘数因子和侧支调整因子三个主要参数来表现CAD的复杂性,该评分较直接观察冠脉狭窄数量更综合冠状动脉狭窄程度和侧支代偿情况,可以更为准确地反映患者冠脉病变严重情况。为了综合的分析冠脉造影中观察到的患者冠脉血管的严重程度,用Gensini评分代表患者冠脉受损严重程度。对三个时间点的CDNF (CDNF0, CDNF24, CDNG96)和Gensini评分进行Pearson、Spearman相关性分析发现,Gensini评分与CDNF水平均有良好相关性(P < 0.05),这表示在CDNF与Gensini评分有良好的相关性。表示CDNF水平升高与冠脉患者的冠脉狭窄程度有一定相关性(图6)。

Figure 6. Correlation analysis between CDNF levels measured and Gensini score (A) Correlation at admission; (B) Correlation at 24 hours post-admission; (C) Correlation at 96 hours post-admission

6. CDNF水平与Gensini评分相关性分析(A) 入院时相关性分析;(B) 入院24小时相关性分析;(C) 入院96小时相关性分析

3.4.3. CDNF与TIMI血流分级的关系

TIMI血流分级较为根据冠脉造影中冠脉血液流速情况反映心肌供血血管的灌注情况,可以反映心肌缺血的程度。TIMI 0~1级表示罪犯血管范围的心肌存在明显的缺血和坏死情况,TIMI 2~3级表示罪犯血管供应范围的心肌供血可以保证心肌的氧气需要。根据TIMI血流分级标准,将两组患者分为PCI术中观察罪犯血管的TIMI血流2~3级组(n = 81)和TIMI血流0~1级组(n = 60),进行两组间CDNF水平的比较,结果显示与TIMI血流2~3级组(均值:2.52 ng/mL)相比,TIMI血流0~1级组(均值:3.54 ng/mL)患者血清CDNF水平升高,差异有统计学意义。CDNF对于急性心肌梗死有较为有效的预示价值(图7)。

Figure 7. Comparison of CDNF levels with intraoperative TIMI flow grade

7. CDNF水平与术中TIMI血流分级对比

3.5. CDNF水平变化与AMI预后相关性分析

3.5.1. CDNF水平与GRACE评分相关性分析

GRACE评分综合考虑患者的临床特征、生化标志物、ECG表现和医疗历史等多个因素,评估包括急性AMI在内的ACS患者的长期死亡率,通过计算患者的GRACE可以预估患者的预后情况。采取患者入院时的结果计算患者的GRACE评分,并与同一时间段CDNF水平进行相关性分析,相关性分析结果提示患者入院时GRACE评分与CDNF水平的相关性有统计学意义(r = 0.242, P = 0.04),这表示在入院时CDNF可以评估患者预后情况,作为患者预后的参考指标之一(图8)。

Figure 8. Correlation between ELISA-measured CDNF levels and GRACE score

8. CDNF水平与GRACE评分相关性分析

3.5.2. CDNF水平变化与患者预后的差异性分析

有研究证明CDNF可以通过抑制细胞凋亡发挥保护作用。对AMI组患者进行6个月的随访,去除失访的8名患者,其余64位患者在随访过程中出现主要终点事件和出现次要终点事件2种及以上的患者纳入不良组(n = 30),没有发生以上情况的纳入正常组(n = 34)。对比两组患者0 h、24 h、96 h三个时间点的CDNF水平差异,根据对比结果可知,在24 h和96 h两个时间点上,正常组患者的CDNF水平较不良组的更高[24 h (4.77 ng/mL vs. 2.94 ng/mL), 96 h (6.33 ng/mL vs. 3.71 ng/mL), P < 0.001]。在入院时CDNF水平无明显差异(3.92 ng/mL vs. 2.82 ng/mL, P = 0.058)。根据随着时间变化,两组患者的CDNF水平均有所升高,而预后不良组患者的CDNF浓度升高较正常组患者不充分,这表示CDNF水平的升高对于患者心肌预后的保护有一定的意义,证实了基础实验中得到的CDNF对心肌细胞有保护作用的结论(图9)。

Figure 9. Comparison of CDNF level differences among prognostic groups at three time points (A) Comparative analysis of CDNF levels at admission among patients with different prognoses; (B) Comparative analysis of CDNF levels at 24 hours post-admission among patients with different prognoses; (C) Comparative analysis of CDNF levels at 96 hours post-admission among patients with different prognoses

9. 患者预后分组在三时间点CDNF水平差异对比(A) 不同预后患者在入院时CDNF水平差异性分析;(B) 不同预后患者在入院24小时CDNF水平差异性分析;(C) 不同预后患者在入院96小时CDNF水平差异性分析

3.5.3. Logistic回归分析患者预后相关因素

Table 5. Comparison of follow-up echocardiographic and laboratory test data between poor prognosis group and normal group

5. 预后不良组和正常组随访心脏超声和实验室检验资料比较

患者信息

不良组(n = 30)

正常组(n = 34)

F

P

LVEF (%)

58.00 (49.75, 61.25)

57.65 (57.49, 62.25)

−1.149

0.251

E/e’

10.26 (6.75, 14.00)

10.52 (7.00, 11.25)

0.135

0.892

LAd (mm)

37.85 (34.98, 42.10)

37.10 (33.73, 37.27)

2.369

0.008*

LVd (mm)

48.85 (44.78, 51.48)

47.96 (44.83, 48.21)

1.775

0.076

RVd (mm)

23.70 (22.58, 26.50)

23.47 (20.85, 23.50)

2.099

0.036*

URE (mmol/L)

5.47 (4.68, 6.04)

5.90 (4.59, 6.38)

−0.236

0.814

Cr (μmol/L)

70.5 (58.0, 81.8)

72.5 (66.0, 77.5)

−0.579

0.562

ALT (U/L)

27.5 (16.8, 32.9)

30.5 (21.0, 41.8)

−1.286

0.198

TBil (μmol/L)

18.3 (12.7, 21.0)

14.6 (11.8, 18.5)

1.642

0.101

ALB (g/L)

43.40 (40.00, 46.22)

42.95 (41.10, 45.46)

0.721

0.471

TC (mmol/L)

3.69 (3.00, 4.30)

3.68 (3.11, 4.03)

0.256

0.798

TG (mmol/L)

1.03 (0.83, 1.31)

1.16 (0.87, 1.30)

−0.552

0.581

HDL-C (mmol/L)

1.24 (1.06, 1.35)

1.28 (1.18, 1.47)

0.770

0.384

LDL-C (mmol/L)

2.08 (1.49, 2.34)

1.86 (1.41, 2.26)

−1.711

0.087

Lp (a) (mg/L)

212.5 (85.0, 415.5)

268.1 (97.5, 315.0)

0.532

0.595

HCY (μmol/L)

13.86 (12.23, 15.90)

13.81 (12.13, 14.05)

−0.229

0.819

注:*表示有统计学意义;非正态分布资料中位数(四分位数间距)表示。

统计患者6月内发生重点事件或随访结束时复查的心脏超声和实验室检验指标,包括左心室射血分数(Left Ventricular ejection fraction, LVEF),E/e’,左心房直径(Left Atrium diameter, LAd),左心室直径(Left Ventricular diameter, LVd),右心室直径(Right Ventricular diameter, RVd),以及实验室检测指标URE、Cr、ALT、TC、ALB、TG、LDL-C、HDL-C、Lp (a)、HCY。按预后不良组和正常组进行对比分析,存在差异的因素包括LAd、RVd (表5)。将CDNF24 h和CDNF96 h与这些因素进行二元Logistic回归分析(采用向前逐步法),最终保留2个独立影响的变量分别是LAd和CDNF24 h (表6),以该回归模型进行ROC曲线分析,模型的AUC为0.817 (P < 0.01),代表该模型有良好的预后评价效能(图10)。

Table 6. Binary logistic regression analysis

6. 二元Logistic回归分析

患者资料

β

标准误差

Wald χ2

P

OR (95%CI)

CDNF24 h

−0.536

0.176

9.231

0.002

0.585 (0.424~0.827)

LA

0.222

0.075

8.715

0.003

1.248 (1.077~1.446)

Figure 10. ROC curve analysis of the prognostic model

10. 预后模型ROC曲线分析

4. 讨论

CDNF是细胞内质网应激时分泌的一种保护性蛋白质,正常条件下,内质网的蛋白折叠功能正常运作,细胞CDNF分泌极少[20] [21]。在缺血情况下,细胞中发生内质网应激并诱导CDNF mRNA和蛋白质水平升高。因此,CDNF是参与ER应激的重要细胞因子,尤其是在有高分泌功能的组织中[22]-[24]。有研究指出心肌细胞在应激状态下,细胞会分泌CDNF通过自分泌/旁分泌/内分泌的方式发挥保护作用,此外,外源性CDNF增加对减少心梗面积有积极作用[13] [25]-[27]。因此在本研究中,分别从应激发生时的诊断作用和预后评价中对细胞的保护作用两个方向进行,首先在诊断方面,AMI患者尤其是STEMI患者,其入院时血清CDNF水平显著高于non-AMI患者,这符合在发生应激时的表达升高,这与之前研究中CDNF参与心肌细胞的应激相一致[28]。而在病情严重评估和预后评估情况中,预后良好患者的CDNF较预后不良患者有更充分的升高,可以表示在CDNF的保护下心梗预后更好。从两个方面印证了CDNF的“预警”和“保护”双重身份。

本研究从三个部分研究了CDNF与AMI患者严重程度的相关性。首先,AMI组患者较non-AMI组患者入院时血清CDNF水平更高,通过ROC曲线表示了CDNF有一定对AMI的鉴别作用。其次,因为观察到CDNF与心梗严重程度有相关性,之后通过对AMI组患者三个时间点CDNF水平的观察,发现AMI患者在住院期间的CDNF水平有升高趋势,因为CDNF在其他相关研究中发现对细胞有保护作用,包括分泌在细胞外CDNF可以对细胞产生保护作用。于是分析患者PCI术中冠脉狭窄的数量和程度,发现患者的冠脉狭窄数量与CDNF水平有相关性,于是利用Gensini评分详细评价患者冠脉造影结果,分析Gensini评分与CDNF之间相关性,结果提示三个时间点的CDNF水平均与Gensini评分有较明确相关性。TIMI水平可以直接反映犯罪血管心肌缺血程度,通过TIMI血流分级对患者分组,不同TIMI分级组患者CDNF也有明显差异。以上综合了冠脉狭窄数量、冠脉整体狭窄程度、犯罪血管灌注情况三个方面全面地表示患者CDNF与冠脉病变时PCI信息的相关性。最后,因为心梗严重程度与患者预后呈正相关,于是讨论CDNF与患者预后结果是否有相关性。通过计算患者入院时GRACE评分与入院时CDNF水平相关性分析发现二者有相关性,于是进一步收集患者的随访信息,对患者随访结果进行分类,以主要终点和次要终点将患者分为预后正常组和预后不良组,对比两组三时间点的CDNF水平,发现预后正常组患者的CDNF在观察时间内有更好的升高,这与之前实验中证实的外源性CDNF对受损心肌有保护作用。通过收集患者的预后观察期间的实验室结果和超声结果,分析发现CDNF水平和超声结果可以作为独立的预后影响因素,心脏超声差异表示当患者有较为大面积的心梗发生导致心室和心房结构发生异常或心功能衰竭导致的心脏扩大,预示患者预后较差。CDNF水平的差异表示患者有较早的CDNF升高,这对于对保护心肌和改善患者预后有较好的作用。这两个因素分别表示了患者的严重程度和患者的保护因素对患者预后的影响。

目前心血管临床统计血清CDNF的研究记录较少,本研究首次将CDNF用于急性心肌梗死患者的诊断中,并通过进一步的数据解读,分析CDNF生物标志物在急性心梗的临床诊断、病变程度和患者预后评估中的价值,为CDNF的临床应用提供参考,为CDNF的基础研究理论提供验证。本研究存在一定局限性,首先,此为单中心观察性研究,样本量有限,患者预后信息数量较少,许多远期结局和相关分析无法得到有差异的统计学结果,未来可以收集更多患者预后信息来完善例如COX回归分析等多因素预后模型分析。其次,由于伦理和患者配合度考虑,血液样本采集时间点相对较少,未能完整描绘CDNF在AMI后的全程变化轨迹,这对于CDNF在时间上变化趋势的解释力度较低,而且目前患者住院时间未能观察到峰值及回落时间。在今后的研究需要扩大样本量并进行多中心、更多观察节点、更长时间随访的前瞻性研究,深入研究CDNF在不同心肌梗死类型中的价值。同时,进一步的基础研究对于阐明CDNF在心肌缺血损伤中的具体分子机制至关重要。目前还需要更多的科学研究来验证其具体作用和在不同人群中的适用性,需要更长的观察研究时间,以推动CDNF在临床实践中的应用。

5. 结论

在急性冠脉综合征患者中,CDNF水平可能是急性心肌梗死的标志物。

CDNF水平可能是评价急性冠脉综合征冠脉受损严重程度的相关因素。

CDNF可能有保护受损心肌的功能,可能作为预测AMI患者预后的评价因素。

基金项目

本研究得到了山东省自然科学基金的资助(项目编号:ZR2022QH103)。

致 谢

感谢所有作者对本研究做出的贡献,感谢通讯作者对本研究的支持。

声 明

作者声明不存在任何利益冲突。

本研究已获烟台毓璜顶医院伦理委员会批准(伦理批号:2025-786),患者均签署知情同意书。

NOTES

*通讯作者。

参考文献

[1] 2023年中国心血管病医疗质量概述[J]. 中国循环杂志, 2024, 39(9): 833-852.
[2] Arnett, D.K., Goodman, R.A., Halperin, J.L., Anderson, J.L., Parekh, A.K. and Zoghbi, W.A. (2014) AHA/ACC/HHS Strategies to Enhance Application of Clinical Practice Guidelines in Patients with Cardiovascular Disease and Comorbid Conditions. Circulation, 130, 1662-1667. [Google Scholar] [CrossRef] [PubMed]
[3] Babuin, L. and Jaffe Allan, S. (2005) Troponin: The Biomarker of Choice for the Detection of Cardiac Injury. Canadian Medical Association Journal, 173, 1191-1202. [Google Scholar] [CrossRef] [PubMed]
[4] Neumann, F., Sousa-Uva, M., Ahlsson, A., Alfonso, F., Banning, A.P., Benedetto, U., et al. (2018) 2018 ESC/EACTS Guidelines on Myocardial Revascularization. European Heart Journal, 40, 87-165. [Google Scholar] [CrossRef] [PubMed]
[5] Voutilainen, M.H., Arumäe, U., Airavaara, M. and Saarma, M. (2015) Therapeutic Potential of the Endoplasmic Reticulum Located and Secreted CDNF/MANF Family of Neurotrophic Factors in Parkinson’s Disease. FEBS Letters, 589, 3739-3748. [Google Scholar] [CrossRef] [PubMed]
[6] Petrova, P.S., Raibekas, A., Pevsner, J., Vigo, N., Anafi, M., Moore, M.K., et al. (2003) MANF: A New Mesencephalic, Astrocyte-Derived Neurotrophic Factor with Selectivity for Dopaminergic Neurons. Journal of Molecular Neuroscience, 20, 173-188. [Google Scholar] [CrossRef] [PubMed]
[7] Lindholm, P., Voutilainen, M.H., Laurén, J., Peränen, J., Leppänen, V., Andressoo, J., et al. (2007) Novel Neurotrophic Factor CDNF Protects and Rescues Midbrain Dopamine Neurons in Vivo. Nature, 448, 73-77. [Google Scholar] [CrossRef] [PubMed]
[8] Yu, Y., Liu, D., Chen, X., Zhu, L. and Wan, L. (2021) MANF: A Novel Endoplasmic Reticulum Stress Response Protein—The Role in Neurological and Metabolic Disorders. Oxidative Medicine and Cellular Longevity, 2021, Article 6464679. [Google Scholar] [CrossRef] [PubMed]
[9] Lindahl, M., Saarma, M. and Lindholm, P. (2017) Unconventional Neurotrophic Factors CDNF and MANF: Structure, Physiological Functions and Therapeutic Potential. Neurobiology of Disease, 97, 90-102. [Google Scholar] [CrossRef] [PubMed]
[10] Lindholm, P. and Saarma, M. (2010) Novel CDNF/MANF Family of Neurotrophic Factors. Developmental Neurobiology, 70, 360-371. [Google Scholar] [CrossRef] [PubMed]
[11] Parkash, V., Lindholm, P., Peränen, J., Kalkkinen, N., Oksanen, E., Saarma, M., et al. (2009) The Structure of the Conserved Neurotrophic Factors MANF and CDNF Explains Why They Are Bifunctional. Protein Engineering, Design and Selection, 22, 233-241. [Google Scholar] [CrossRef] [PubMed]
[12] Liu, Y.Y., Huo, D., Zeng, L., Fan, G., Shen, T., Zhang, T., et al. (2022) Mesencephalic Astrocyte-Derived Neurotrophic Factor (MANF): Structure, Functions and Therapeutic Potential. Ageing Research Reviews, 82, Article 101763. [Google Scholar] [CrossRef] [PubMed]
[13] Jӓntti, M. and Harvey, B.K. (2020) Trophic Activities of Endoplasmic Reticulum Proteins CDNF and Manf. Cell and Tissue Research, 382, 83-100. [Google Scholar] [CrossRef] [PubMed]
[14] Dong, H., Jia, W., Wang, C., Teng, D., Xu, B., Ding, X., et al. (2024) Key Subdomains of Mesencephalic Astrocyte-Derived Neurotrophic Factor Attenuate Myocardial Ischemia/Reperfusion Injury by JAK1/STAT1/NF-κB Signaling Pathway. Molecular Medicine, 30, Article No. 139. [Google Scholar] [CrossRef] [PubMed]
[15] Rampidis, G.P., Benetos, G., Benz, D.C., Giannopoulos, A.A. and Buechel, R.R. (2019) A Guide for Gensini Score Calculation. Atherosclerosis, 287, 181-183. [Google Scholar] [CrossRef] [PubMed]
[16] Schamroth Pravda, N., Cohen, T., Klempfner, R., Kornowski, R., Beigel, R., Orvin, K., et al. (2021) Temporal Trends in the Pre-Procedural TIMI Flow Grade among Patients with ST-Segment Elevation Myocardial Infarction—From the ACSIS Registry. IJC Heart & Vasculature, 36, Article 100868. [Google Scholar] [CrossRef] [PubMed]
[17] Dalen, J.E., Gore, J.M., Braunwald, E., Borer, J., Goldberg, R.J., Passamani, E.R., et al. (1988) Six-and Twelve-Month Follow-Up of the Phase I Thrombolysis in Myocardial Infarction (TIMI) Trial. The American Journal of Cardiology, 62, 179-185. [Google Scholar] [CrossRef] [PubMed]
[18] Granger, C.B., Goldberg, R.J., Dabbous, O., et al. (2003) Predictors of Hospital Mortality in the Global Registry of Acute Coronary Events. Archives of Internal Medicine, 163, 2345-2353. [Google Scholar] [CrossRef] [PubMed]
[19] Meune, C., Drexler, B., Haaf, P., Reichlin, T., Reiter, M., Meissner, J., et al. (2011) The GRACE Score’s Performance in Predicting In-Hospital and 1-Year Outcome in the Era of High-Sensitivity Cardiac Troponin Assays and B-Type Natriuretic Peptide. Heart, 97, 1479-1483. [Google Scholar] [CrossRef] [PubMed]
[20] Glembotski, C.C. (2011) Functions for the Cardiomyokine, MANF, in Cardioprotection, Hypertrophy and Heart Failure. Journal of Molecular and Cellular Cardiology, 51, 512-517. [Google Scholar] [CrossRef] [PubMed]
[21] Meyer, B.A. and Doroudgar, S. (2020) ER Stress-Induced Secretion of Proteins and Their Extracellular Functions in the Heart. Cells, 9, Article 2066. [Google Scholar] [CrossRef] [PubMed]
[22] Maciel, L., de Oliveira, D.F., Mesquita, F., Souza, H.A.D.S., Oliveira, L., Christie, M.L.A., et al. (2021) New Cardiomyokine Reduces Myocardial Ischemia/Reperfusion Injury by PI3K-AKT Pathway via a Putative KDEL-Receptor Binding. Journal of the American Heart Association, 10, e019685. [Google Scholar] [CrossRef] [PubMed]
[23] Hausenloy, D. (2004) New Directions for Protecting the Heart against Ischaemia-Reperfusion Injury: Targeting the Reperfusion Injury Salvage Kinase (Risk)-Pathway. Cardiovascular Research, 61, 448-460. [Google Scholar] [CrossRef] [PubMed]
[24] Blackwood, E.A., Thuerauf, D.J., Stastna, M., Stephens, H., Sand, Z., Pentoney, A., et al. (2020) Proteomic Analysis of the Cardiac Myocyte Secretome Reveals Extracellular Protective Functions for the ER Stress Response. Journal of Molecular and Cellular Cardiology, 143, 132-144. [Google Scholar] [CrossRef] [PubMed]
[25] Zhao, X., Wang, Z., Wang, J., Xu, F., Zhang, Y., Han, D., et al. (2024) Mesencephalic Astrocyte-Derived Neurotrophic Factor (MANF) Alleviates Cerebral Ischemia/Reperfusion Injury in Mice by Regulating Microglia Polarization via A20/NF-κB Pathway. International Immunopharmacology, 127, Article 111396. [Google Scholar] [CrossRef] [PubMed]
[26] Glembotski, C.C., Thuerauf, D.J., Huang, C., Vekich, J.A., Gottlieb, R.A. and Doroudgar, S. (2012) Mesencephalic Astrocyte-Derived Neurotrophic Factor Protects the Heart from Ischemic Damage and Is Selectively Secreted Upon Sarco/endoplasmic Reticulum Calcium Depletion. Journal of Biological Chemistry, 287, 25893-25904. [Google Scholar] [CrossRef] [PubMed]
[27] Wang, M.L., Pan, W., Xu, Y., Zhang, J., Wan, J. and Jiang, H. (2022) Microglia-Mediated Neuroinflammation: A Potential Target for the Treatment of Cardiovascular Diseases. Journal of Inflammation Research, 15, 3083-3094. [Google Scholar] [CrossRef] [PubMed]
[28] Liu, H., Yu, C., Yu, H., Zhong, L., Wang, Y., Liu, J., et al. (2018) Cerebral Dopamine Neurotrophic Factor Protects H9c2 Cardiomyocytes from Apoptosis. Herz, 43, 346-351. [Google Scholar] [CrossRef] [PubMed]