靶向VEGFR的放射性诊疗偶联药物研究进展
Research Progress of Radiotherapeutic Coupling Drugs Targeting VEGFR
DOI: 10.12677/acm.2026.163791, PDF, HTML, XML,   
作者: 何 易:浙江工业大学药学院,浙江 杭州;肖 润*, 王雪强*:中国科学院杭州医学研究所,浙江 杭州
关键词: VEGFR放射性诊疗一体化肿瘤血管生成靶向治疗偶联药物设计VEGFR Integration of Radiation Diagnosis and Treatment Tumor Angiogenesis Targeted Therapy Coupling Drug Design
摘要: VEGFR作为一种在肿瘤治疗方面有很大研究价值的重要靶点,主要负责血管生成的作用和调节。近年来,在精准医学(Theranostics)和辐射治疗结合领域,针对VEGFR的放射治疗药物相结合的药物已经成为一个热门的研究领域。本文对VEGFR的功能、通路作用以及其在疾病中所发生的重要性进行综述,对现有针对VEGFR的靶向治疗药物进行了总结和评价。在此基础上,重点分析了放射性诊疗偶联药物的构建原理、关键技术环节及VEGFR靶向药物的设计策略,包括抗体、多肽、小分子及适配体载体的应用与优化途径,旨在为靶向VEGFR的放射性诊疗一体化药物的创新研发提供理论支持与技术路径参考。
Abstract: As an important target with great research value in tumor therapy, VEGFR is mainly responsible for the role and regulation of angiogenesis. In recent years, in the field of combination of precision medicine and radiation therapy, the combination of radiotherapy drugs for VEGFR has become a hot research field. This article reviews the function, pathway role and the importance of VEGFR in disease, and summarizes and evaluates the existing targeted therapeutic drugs for VEGFR. On this basis, the construction principle, key technical links and the design strategy of VEGFR targeted drugs were analyzed, including the application and optimization of antibodies, peptides, small molecules and aptamer carriers, in order to provide theoretical support and technical path reference for the innovative research and development of VEGFR targeted integrated radiotherapeutic drugs.
文章引用:何易, 肖润, 王雪强. 靶向VEGFR的放射性诊疗偶联药物研究进展[J]. 临床医学进展, 2026, 16(3): 284-295. https://doi.org/10.12677/acm.2026.163791

1. 引言

癌症是目前严重危害人类健康最普遍的疾病之一,并且死亡率居高不下[1]。随着医疗技术的飞速发展,部分患者的总体生存率有所提高,但由于肿瘤细胞的无限增殖性、异质性以及迁移性等原因,传统的放疗、化疗以及手术治疗等并不能完全抑制肿瘤的生长及复发,从而严重影响患者的生活质量[2] [3]。因此,探索更具靶向性和精准性的诊疗技术,成为当前肿瘤治疗领域的重要发展方向[4] [5]。随着精准医疗和核医学生物学研究的应用,出现了一种放射性诊疗一体化药物,它是通过把放射性同位素与特殊标记物相结合,从而实现了诊断和治疗的同步[6] [7]。本文将整体介绍VEGFR的生物性质及靶向策略,系统探讨放射性诊疗偶联药物的研发路径与应用前景[8] [9]

2. VEGFR的分子功能与医学价值

血管内皮生长因子受体(VEGFR)是跨膜结构的酪氨酸激酶受体,调控血管内皮细胞的生长、迁移和管腔形成[10]。作为血管生成信号传导途径的核心受体,VEGFR在胚胎发育、组织修复和肿瘤进展中具有重要的调控作用[11]。VEGFR主要包括VEGFR-1,VEGFR-2,VEGFR-3,其中VEGFR-2是激活血管生成的主要受体。受体激活后,将启动信号级联反应影响血管生成及血管的成熟度和稳定性[12]。VEGFR除了在维持正常组织稳态中起重要作用外,在致癌环境中,也可以被过量激活和过度表达,是促进肿瘤血管生成的重要驱动因子之一如图1所示。

大量临床试验表明,VEGFR水平的表达一般意味着恶性肿瘤侵袭力增强、转移性升高和患者生存质量的降低。VEGFR在信号通路中过于活跃会促进肿瘤新生血管的形成,提供营养供给和代谢通道,减弱机体对抗肿瘤的能力并构成逃避免疫反应条件[13] [14]。靶向抑制VEGFR成为肿瘤血管形成发展的限制因素,也是众多实体瘤治疗方案的重要部分。

目前,许多药物通过减弱VEGFR的活性或阻止信号通路以达到抑制血管生成的目的,如小分子酪氨酸激酶抑制剂和单克隆抗体。前者是间接抑制VEGFR激酶并阻断信号传导;后者通过与靶点(受体或配体)结合阻断其激活,这类药物已经在几种癌症类型中能够有效抑制血管生成,延缓病情进展。VEGFR的另外一个应用价值在于其作为一个重要诊断以及预测结果的工具而在多种癌肿类型的个性化治疗方案的制定过程中发挥作用。

然而,基于VEGFR单靶向治疗也有明显不足。由于肿瘤血管异质性的存在,很多肿瘤细胞会利用其他的信号通路规避VEGFR抑制作用而产生耐药。同时,靶向药物体内分布及有效性精确度也有其局限性,会导致疗效减低、不良反应增加。因此,能够准确识别VEGFR存在、针对性地靶向实施且能够实时监测的手段是目前癌症治疗面临的重要研究方向。随着放射性诊疗一体化理念的提出,使得兼具影像诊断和精确治疗的二重属性,使靶向VEGFR单靶向治疗的局限性有望通过联合这种手段得以改善。这对于提高疗效以及利用影像手段实时监测疗效的变化在癌症个体化治疗中起到了重要支撑作用。

Figure 1. Expression of VEGF receptor and specificity of VEGF ligand [15]

1. VEGF受体的表达和VEGF配体的特异性[15]

3. VEGFR信号通路及其靶向治疗机制研究

3.1. VEGFR的结构与功能机制

血管内皮生长因子受体(VEGFR)作为跨膜的酪氨酸激酶受体家族,在调控血管生成中起着关键作用。其结构组成包括胞外的配体结合区、跨膜区与胞内的激酶部分。配体结合后使受体发生双联化并启动其酪氨酸激酶的激活。

酪氨酸激酶受体在被激发时会在其内在的诸多酪氨酸位点构建磷酸酯,并形成信号传导区域,从而启动进一步的信号传输过程PI3K/AKT、MAPK/ERK、PLCγ等。在这些不同信号途径互相作用的过程中,能影响内皮细胞的生长、迁移以及血管形态构建等一系列重要环节。其中PI3K/AKT途径增加细胞生存能力及抗死亡能力;MAPK/ERK途径促进细胞增殖;PLCγ途径在血管的稳定性和通透性中起到一定的作用。VEGFR-2的激活对引导肿瘤血管的生成及维持血管的通透性具有十分重要的意义。

值得注意的是,VEGFR不只是存在于血管壁内皮细胞表面,还在癌细胞以及一些免疫细胞中发挥其调控功能。当VEGFR信号异常时,它可以抑制树突细胞的形成,抑制T细胞的作用,促进癌细胞生存。这种发现为解释近年来免疫治疗联合抗血管生长药物治疗的方法提供了至关重要的线索[16]。另外,VEGFR因其主要的血管生长靶点而在免疫系统中发挥关键作用,并且它的多样作用使它成为不同治疗学共同的靶点。

3.2. VEGFR靶向治疗药物的发展现状与局限性

在对VEGFR信号通路充分认识的基础上,靶向信号通路的药物已经广泛地应用于临床癌症的治疗当中。此类药物主要有单克隆抗体、小分子酪氨酸激酶抑制剂。其中单克隆抗体阻断VEGF配体与VEGFR的结合,阻断信号转导,而小分子抑制剂能够直接作用于受体激酶的激活位点,阻断后续信息转导。

例如,针对VEGF的单克隆抗体贝伐单抗(Bevacizumab)的使用已经成为结直肠癌、NSCLC和肾癌等癌症的标准治疗方案的一部分,阻断了VEGF配体和受体之间的结合,使其无法彼此相互作用。小分子化合物如Sunitinib、Sorafenib、Axitinib的作用机制较广,同时抑制多种VEGFR以及其他信号蛋白,对肿瘤生长及血管新生有非常重要的抑制作用,目前临床上应用较为广泛的VEGFR靶向药物类型、主要靶点及其适应症如表1所示。

Table 1. Targets and clinical applications of VEGFR representative targeted drugs

1. VEGFR代表性靶向药物的靶点及临床应用

药物名称

类型

主要靶点

适应症

机制特点

Bevacizumab

单克隆抗体

VEGF

结直肠癌、肺癌、肾癌

中和VEGF,阻断配体–受体结合

Sunitinib

小分子抑制剂

VEGFR、PDGFR等

肾癌、胃肠间质瘤

抑制多靶点激酶活性

Sorafenib

小分子抑制剂

VEGFR、RAF等

肝癌、肾癌

抑制血管生成和细胞增殖

Axitinib

小分子抑制剂

VEGFR1/2/3

肾癌

高选择性VEGFR抑制

Ramucirumab

单克隆抗体

VEGFR-2

胃癌、肺癌

直接阻断VEGFR-2受体

尽管对VEGFR的治疗取得了很大进展,但其局限性也是显而易见的。第一,目前临床中的癌性病变最为常见又最为普遍的问题便是靶向治疗的抗药性,癌症细胞利用其他血栓形成途径或者改变微环境以避开这些药物治疗的影响。第二,这类药物进入体内靶向特异性不高,可能对正常血管造成损伤,引起如高血压、蛋白尿、出血等现象。第三,目前已有的药物大体上都采用抑制的方法,而不能准确地进行影像学检查,进而确定个体化并且可以实时监控的治疗方案。正因如此,将VEGFR靶向药物与辐射标记物相结合,研发出诊疗一体化偶联药物成为新的研究热点。该方法不仅可以准确定位,还可以提高治疗疗效,为打破靶向药物模式提供了新的技术路径。

4. 放射性诊疗一体化药物的构建原理与关键技术

4.1. 诊疗一体化(Theranostics)的基本理念

放射性诊疗一体化(Theranostics)理念的提出象征着精准医疗、分子影像学和核医学的有机结合,之前癌病的诊治采取图像识别和治疗方法区分开展,成像与治疗手段的差异使患者需要重复检查和治疗,治疗时间点及剂量无法精准把握,如图2所示。直到20世纪末期,随着131I在甲状腺癌诊断和治疗中的应用取得一定成果后,研究者意识到诊断目标和治疗焦点聚焦的重要性,并为后来多靶标协同治疗的应用奠定了临床基础[17] [18]

Theranostics体系是基于“相同分子结构、不同放射性标记”的一个核心原理,将影像和治疗功能集合在一个分子结构体系中[19]。临床路径通常包括:先给予诊断性药品来构建成图片,以标记病变部位并检测其靶点表达水平;而后根据其图像结果,采用治疗性药品,实现精确定位并量化照射[20]。这比之前分开的治疗方式少了不必要的治疗次数,提高了药物使用效率,而且可以为患者提供基于个体差异的剂量学调整依据。

Figure 2. Schematic diagram of radiation diagnosis and treatment integration

2. 放射性诊疗一体化示意图

在未来的肿瘤精准医疗体系中,VEGFR诊疗一体化药物不仅可以作为一线诊断、疗效评估的药物,也可以应用于监测肿瘤疗效以及预测旧病复发。例如,在接受一轮或多轮治疗后,给予检测性VEGFR显像药,以快速评估肿瘤血管活性变化,从而为后期方案提供实时指导意见[21] [22]。这种“动态靶点追踪”理念已成为推动精确医疗发展的关键环节,也可自然地整合于放射治疗和免疫治疗中。

4.2. 放射性偶联药物的构建策略

放射性诊疗一体化药物的构建是实现精准影像和定向治疗的核心技术步骤。通过将放射性核素与具有特异靶点的分子载体稳定偶联,在患者体内与肿瘤高度结合并呈现高特异性、可见性、放射毒性。就血管内皮生长因子受体(VEGFR)靶点的设计而言,需结合靶点位置、运载体药代学特征和核素的物理化学特性,来保障药物在生产和运输过程中的安全性,保证其在检定过程中的质量及稳定性[23]

靶向分子载体是药物设计的重要部分。VEGFR在肿瘤内皮细胞中高度表达,意味着其可以作为牢固的结合位点以增强其深层靶向作用并提高剂量。抗体因其良好的亲合性和长循环半衰期而适合于深层靶向和高剂量给药;小分子或多肽载体因其高渗透性和短半衰期而适合于图像展示和短暂辐射治疗;核酸适体则因其强修改能力、灵活的结构特征等优势,能通过分子工程改进对目标部位的识别能力和体内稳定性等性质。不同载体类型的选择均有相应的利弊和条件限制,其分子特征、药代动力学行为及适应场景如表2所示。

Table 2. Characteristics and application advantages of different targeting carrier types

2. 不同靶向载体类型的特点与应用优势

载体类型

代表形式

特点

适用场景

局限性

抗体

单克隆抗体、抗体片段

特异性高、循环时间长、亲和力强

长期显像、高剂量治疗

穿透性不足、免疫原性可能较高

多肽

RGD肽、VEGFR结合肽

分子小、组织渗透好、易合成

快速显像、短期干预

清除快、稳定性有限

小分子抑制剂

TKI类药物

结合速度快、药代特性可控

动态显像、分子放疗

特异性略低、非靶摄取风险

核酸适配体

ssDNA/RNA适配体

易修饰、高特异性识别

精准靶向、灵活结构

容易降解、需稳定化改造

不同类型放射性核素和配对螯合剂对该药物在临床过程中的效果起着极其重要的作用。短半衰期的正电子放射体(如68Ga、18F)适合用于早期诊断和高分辨率显像,能够提供实时靶点分布信息。长半衰期的βα放射体(如177Lu、225Ac)会造成组织中的更多破坏和穿透能力,适合用于持续性治疗。螯合剂用于连接放射性核素和其靶向载体之间,对于该标签的效率和生物体内稳定性的功效十分关键。DOTA类螯合剂可牢固结合中长半衰期核素,常与抗体或多肽载体配合;NOTA类螯合剂则适用于短半衰期核素标记,可用来快速高效的放射化学反应。目前常用放射性核素与螯合剂的匹配形式及其诊疗特性如表3所示。

Table 3. Combination of commonly used radionuclides and chelating agents and their diagnosis and treatment characteristics

3. 常用放射性核素与螯合剂组合及其诊疗特点

核素

螯合剂

辐射类型

半衰期

主要用途

特点

Gallium-68

NOTA

正电子

68分钟

PET显像

标记快速、适用于多肽与小分子

Fluorine-18

-(直接标记)

正电子

110分钟

PET显像

显像灵敏度高、可定量分析

Lutetium-177

DOTA

β射线 + γ

6.7天

靶向放疗

组织穿透适中、毒副反应较低

Actinium-225

DOTA

α射线

10天

靶向放疗

高线性能量、杀伤效应强

Copper-64

NOTA/DOTA

β+/β-

12.7小时

诊疗一体化

同位素家族可诊疗转换

Scandium-47

DOTA

β射线

3.3天

放疗

与Scandium-44配合实现诊疗一体化

在构建药物时,还需重视连接方式和分子工程的细节。连接臂长度、电荷和分子的三维构象对药物在循环中的半衰期、癌细胞靶向摄取率和非特异性分布的区域都有很重要的影响。通过控制和调整这些构型,可以在保证标记效率的基础上,提高药物的生物可用度,优化靶向/非靶向比率以及成像质量。同时,载体的半衰期是和其上携带的放射性核素的半衰期相对应的,其决定了最终治疗剂量。若短半衰期的放射性核素配有一个长期循环的载体,则有可能使癌症病灶还未在该区域聚集时,就已衰减,减少足够的活性剂量;若长半衰期的放射性核素配有一个较短期限的循环,则可能增加正常组织辐射暴露。

在VEGFR靶向治疗的探索和使用中,应用多肽以及小分子载体等方法作用于人体血管区组织肿瘤,使其充分进入肿瘤血管区域,此时便能够与受体相互结合从而具备影像化作用,并且能够选取同种类分子但不同放射元素的药品进行治疗使用,实现了由影像化到治疗化的转化,在这种“同结构异核素”策略的作用下,便可以将药代动力学差别导致的显像–治疗误差降到最低,提高精准化治疗率[24]

4.3. 正常器官辐射剂量学与VEGFR靶向放射性治疗的安全性考量

尽管VEGFR在肿瘤新生血管内皮细胞中高表达,使其成为理想的放射性诊疗靶点,但该受体同时参与多种正常组织微血管稳态的维持,其靶向放射性治疗的安全性问题亦需系统评估。尤其是肾脏和甲状腺,因其解剖学特征和生理功能,在放射性药物体内分布与剂量学分析中具有重要意义。

肾脏是多肽类和小分子放射性药物的主要清除器官,常被认为是放射性核素治疗中的剂量限制性器官。VEGFR在肾小球内皮细胞中维持滤过屏障结构和血流动力学稳定,临床上已知VEGFR抑制剂可引发高血压、蛋白尿及肾功能损害等不良反应。在放射性核素治疗情境下,靶向VEGFR所产生的局部辐射效应,可能与VEGFR信号通路抑制产生叠加损伤,从而放大肾微血管内皮损害风险。因此,在VEGFR靶向放射性药物的设计与评价中,应重点关注肾脏的摄取特征和辐射剂量分布,并结合分子影像学手段进行定量分析,以支持个体化剂量优化。

甲状腺方面,虽然VEGFR并非其特异性高表达靶点,但甲状腺血供丰富,对游离放射性核素(尤其是碘同位素)高度敏感。若放射性VEGFR偶联药物体内稳定性不足,导致核素解离,可能引发非靶向甲状腺摄取并增加辐射负担。因此,在VEGFR放射性诊疗药物构建中,应优先选用体内稳定性高的螯合体系,并在临床前阶段系统评估甲状腺摄取情况,必要时结合甲状腺阻断或屏蔽策略。

总体而言,VEGFR靶向放射性诊疗药物的安全性评价不应局限于肿瘤摄取效率,而应纳入正常器官,尤其是肾脏和甲状腺的剂量学分析,以实现治疗获益与放射毒性风险之间的平衡。

5. 靶向VEGFR的放射性诊疗药物载体

5.1. 抗体载体

靶向vascular endothelial growth factor receptor (VEGFR)的放射性诊疗药物开发中,抗体载体是一类应用成熟、亲和力强、临床转化潜力高的载体形式。抗体与VEGFR具有高度特异性结合能力,可以准确捕捉和黏合在肿瘤血管内Endothelium细胞表面大量表达的受体,实现对靶区高效、定点连续剂量投射。但因其分子质量大和较长的半衰期,需结合半衰期为中或长期放射性元素(如177Lu、225Ac)才能达到在靶内产生稳定性辐射剂量,适合对中晚期实体肿瘤治疗。

代表性的VEGFR靶向单克隆抗体Bevacizumab已广泛用于结肠癌、乳腺癌、肺癌、肾细胞癌等多种实体瘤,以及年龄相关性黄斑变性、胶质母细胞瘤的治疗,它与VEGF的所有同种型结合,从而阻止与VEGFR-1和VEGFR-2的相互作用。HuMV833抗VEGF抗体(平均生物半衰期8~9天),一种结合VEGF-A121和VEGF-A165并对广谱人肿瘤异种移植物具有抗肿瘤活性的人源化IgG4k mAb,是临床前研究中第一个评价的抗VEGF mAb。显示出对VEGF的高亲和力,并证实了碘化后VEGF结合潜力得以保留[25] [26]。作者还强调了放射性缀合物肿瘤摄取的显著差异,甚至在患者之间的同一肿瘤和同一患者的不同肿瘤中。

Bouziotis等人[27],在抗VEGF抗体VG76e上分别标记99mTc、153Sm和177Lu。Fani等人,研究了使用DOTA和DTPA螯合剂在抗VEGF抗体上标记177Lu,在具有人乳腺癌细胞系MCF 7异种移植物的小鼠上进行VG76e放射示踪剂。两种治疗性放射性缀合物[177Lu]Lu-DOTA-VG76e和[177Lu]Lu-DTPA-VG76e显示出相似且令人满意的物理化学和生物学性质,这表明它们可以成功地用于肿瘤放射免疫治疗。

Ranibizumab是BV的抗原结合片段(Fab)具有高于原始mAb的亲和力,主要用于黄斑变性的治疗。Nagengast等人[28] [29],使用89Zr标记的Ran来评估舒尼替尼癌症治疗的效率,发现在携带人癌症异种移植物的小鼠中用[89Zr] Zr-N-suc-Df-Ran放射性缀合物进行的VEGF成像比使用放射性示踪剂[18F]FDG和[15O]H2O进行的成像效果更好。因此,[89Zr]Zr-N-suc-Df-Ran可用于无创动态观察和定量VEGF信号传导,有可能成为AAT的生物标志物。

近年来,随着抗体工程技术的发展,基于单域抗体(Nanobodies, VHH)的VEGFR靶向放射性诊疗分子逐渐受到关注。纳米抗体来源于骆驼科动物,仅保留抗原结合区,分子量约15 kDa,相较于传统IgG抗体具有组织穿透性强、免疫原性低及血液清除速度快等优势,更适合与中短半衰期放射性核素(如68Ga、64Cu、177Lu)配合使用。已有研究表明,VEGFR-2靶向纳米抗体在肿瘤血管中可实现较高的靶向摄取和显著降低的背景信号,为实现高对比度显像及可控剂量放疗提供了新的分子工具。

此外,双特异性抗体作为近年来肿瘤靶向治疗的重要发展方向,也为VEGFR靶向放射性诊疗提供了新的设计思路。通过同时识别VEGFR与另一肿瘤相关靶点(如肿瘤细胞抗原或免疫相关分子),双特异性抗体有望在提高肿瘤局部放射性富集效率的同时,降低对正常血管组织的非特异性暴露。这类分子在放射免疫治疗及多靶点协同治疗中的潜力,正逐步受到关注。

针对抗体载体而言,关键是设计载体使核素与抗体构型相匹配,且实现体内分布平衡状态。尽可能延长循环半衰期可以提升目标剂量积聚,但又伴随着较高的背景噪音,因此需要控制链接臂与修饰分子来调节药物代谢特性。由于工程抗体技术不断进步,更精准且较少免疫反应的抗体构型不断涌现出来,这为VEGFR靶向放射性诊疗药物提供了更多设计选择。

5.2. 多肽载体

多肽载体由于其分子量小、渗透能力强和合成灵活的优势,在针对VEGFR的放射性诊疗药物开发中具有重要价值。相对抗体,多肽载体可以提供较短的半衰期和更快的清除率,这有助于将非靶向组织的背景降到最低,从而使成像更清晰。由于其分子结构相对简单,通过化学修饰可以有效对其完成高效标记,可用于短寿命的正电子核素(如68Ga、18F),方便早期诊断和实时影像监测。

Hao等人和Cai等人同时发表并讨论了用诊断性核素标记的类肽用于非侵入性VEGFR-2成像的应用[30] [31]。使用类肽聚-N-取代的甘氨酸,例如GU40C或GU40C4,属于肽模拟物组,其中侧链通过分子骨架的氮原子而不是肽的α-碳原子连接,使类肽具有蛋白酶抗性[30]。对携带PC3前列腺癌异种移植物的小鼠进行的[64Cu] Cu-DOTAGU40C4的PET成像研究显示,在VEGFR-2阳性PC3肿瘤中有清楚明确的放射性化合物积累[31]。该研究表明,用诊断或治疗放射性核素标记的类肽可在癌症诊断和治疗中发挥重要作用。

研究者们对含有序列Cys-Gly-Gly-Arg-Arg-Leu-Gly-Gly-Cys且具有末端分子内二硫键的环状纳米肽RRL的潜在应用进行了研究,用于精确和定量表征肿瘤血管生成[32]。用光学方法(FITC-RRL或Alexa 680/800-RRL)和超声成像(MB-RRL)证实RRL对肿瘤源性内皮细胞和VEGFR-2蛋白的结合特异性。[131I]I-Tyr-RRL在生理盐水和人血清中稳定,在PC3移植瘤小鼠体内的生物分布研究表明,[131I]I-Tyr-RRL在肿瘤中有特异性蓄积,可作为肿瘤放射免疫治疗的药物。

Rezazadeh等人,描述了一种制备基于肽的VEGF成像放射性试剂的创新方法[33]。他们合成并研究了99mTc标记的D(LPR)肽的物理化学和生物学性质,D(LPR)肽是已知对VEGF具有高亲和力的L(RPL)肽的反向肽模拟物衍生物[34]

以HYNIC为双功能螯合剂,Tricine/EDDA为共配体,合成了两种放射性示踪剂,[99mTc]Tc-肽1和[99mTc]Tc-肽2,其中螯合部分连接在D(LPR)肽的C-末端或N-末端,就其用于VEGFR成像的潜在应用而言进行的化学和生物学测试显示,两种放射性示踪剂在盐水中具有高稳定性,在人血清中与VEGFR-1和NRP-1的高特异性结合。不幸的是,两种放射性试剂在肿瘤中的积累相对较低,但是作者指出,应用逆向–反向肽合成放射性药物是非常有前途的。

多肽载体能够通过直接选择VEGFR结合序列或者经过改构,来得到具有高度亲和力的目标区。近年来,构象约束型环肽、引入非天然氨基酸或进行稳定化修饰的VEGFR靶向多肽逐渐取代早期线性肽结构。这类新型多肽在保持高亲和力的同时,显著提高了体内稳定性和蛋白酶耐受性,有助于改善显像质量并拓展其在放射性治疗中的应用潜力。VEGFR靶向的多肽,通常可以是含RGD基序的分子或设计的人工结合肽,这些分子能迅速进入肿瘤血管的微环境,并且能够立即与VEGFR产生反应实现快速显像,而且会在相对短暂的时间内消除,减少背景辐射。为了增加其稳定性,经常采用环化、PEG化和对氨基酸的修饰方法,避免体内快速降解[35]

5.3. 小分子载体和适配体载体

在靶向vascular endothelial growth factor receptor (VEGFR)的放射性诊疗药物设计中,小分子抑制剂和小核酸适体因其精巧、穿透性强成为重要的技术路线,可快速到达靶组织并占据靶位,从而得以高效利用。与大分子抗体载体不同,其可在早期检测与连续效果监测上更加灵敏和准确,特别适合与短半衰期核素结合以形成高分辨率图谱和针对性的治疗方案。

小分子抑制剂主要通过竞争性结合并拮抗VEGFR的酪氨酸激酶活性从而阻断血管生成信号通路的小分子化合物。例如,舒尼替尼(Sunitinib SU11248)是一种多靶点小分子VEGFR-TKs抑制剂,用于抗肿瘤血管生成,被批准作为肾癌和胃肠道间质瘤治疗的抗癌药物。由于RTKs在许多肿瘤组织中的高表达,用诊断性放射性核素标记的RTK抑制剂可以作为监测肿瘤中RTK水平的有用工具,并提供有价值的AAT有效性信息。已经用于VEGFR表达成像。

Wang等人[25],合成并描述了18F标记的舒尼替尼([18F]F-sunitinib),Kuchar等人[36],报道了125I标记的舒尼替尼([125I]I-sunitinib)。两种放射性化合物均成功用于转移性肾细胞癌患者血管生成过程的PET成像。

Sakr等人[37],研究了锝标记的[99mTc]Tc-sunitinib放射性化合物在肿瘤缺氧时的生物分布研究,荷瘤小鼠表现出高的靶/非靶比值和通过尿液和肝胆排泄的快速器官清除,表明[99mTc]Tc-Sunitinib可能是一种潜在的选择性肿瘤乏氧显像剂。

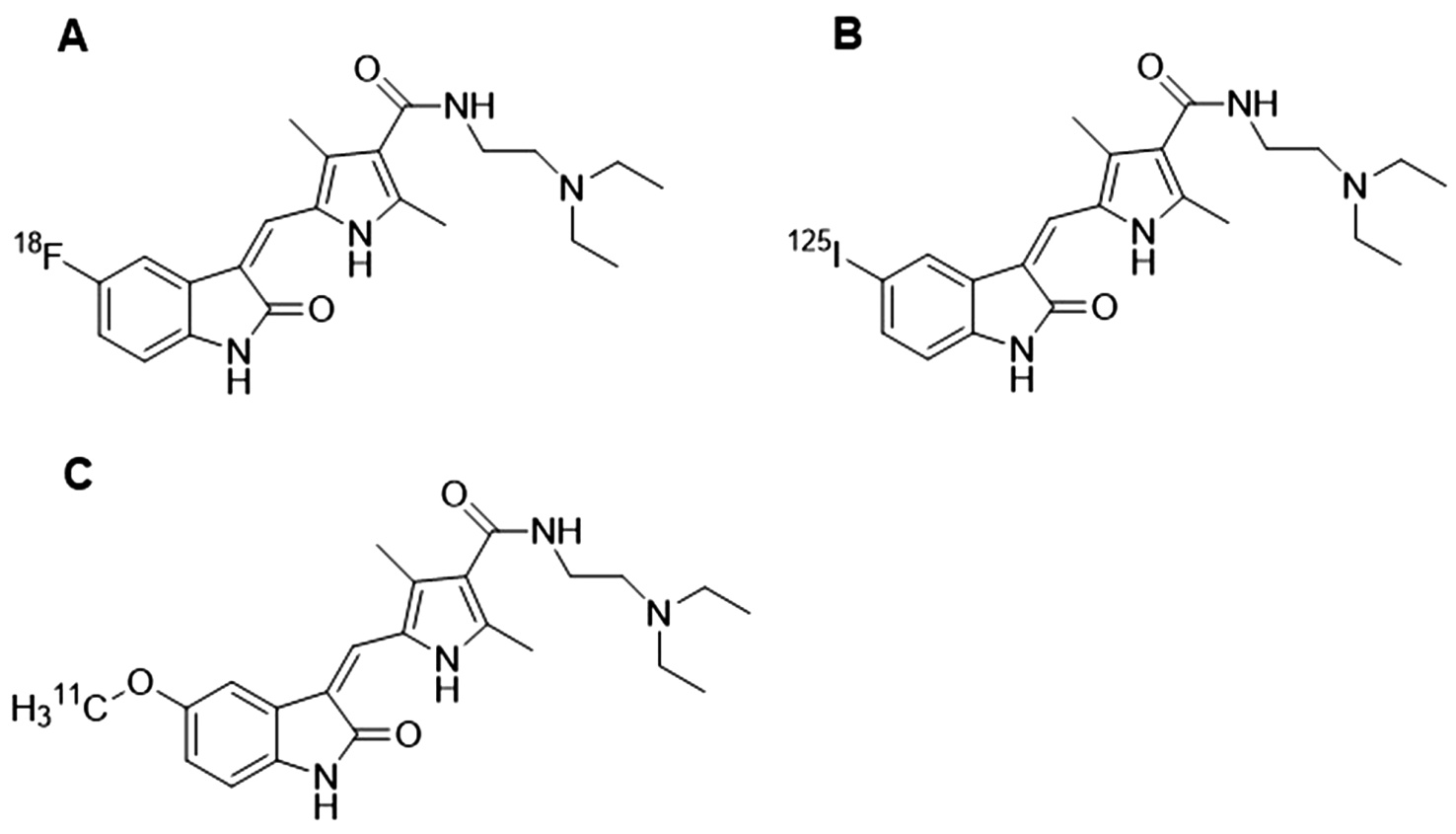
Kniess等人和Caballero等人研究了舒尼替尼的甲氧基取代衍生物5-methoxy-sunitinib及其类似物[methoxy-11C] 5-methoxy-sunitinib的物理化学和生物学性质[37],进行的分子动力学模拟研究,在两种VEGFR表达细胞系(原代内皮HAEC和癌HT29)中的比色MTT试验结果表明,在羟基吲哚支架的5位上用甲氧基取代氟不会影响抑制剂的取向,[methoxy-11C] 5-methoxy-sunitinib是VEGFR-2 TK表达细胞的有前途的显像剂,也是血管生成和致癌评价的潜在放射性示踪剂,如图3所示。

Figure 3. Sunitinib based VEGFR imaging agent; (A): [18F]F-sunitinib; (B): [125I]I-sunitinib; (C): [methoxy-11C]5-methoxy-sunitinib

3. 基于sunitinib的VEGFR显像剂;(A):[18F]F-sunitinib;(B):[125I]I-sunitinib;(C):[methoxy-11C]5-methoxy-sunitinib

小分子抑制剂由于其分子量较其小,可快速从血流中清除,且自身代谢过程可通过结构修饰而受控,特别适合与短寿命半衰期的正电子核素(如68Ga、18F)偶联,形成高对比度显影剂。载体上的药物进入血液循环后,可瞬间分布至肿瘤供血区,实现快速成像,进而为医生提供早期筛选与病灶分布信息。

在设计和应用过程中,小分子瞄准特定靶点都有其局限性。例如,和抗体相比,小分子识别靶点的精确度略有不足,这会影响到靶点的覆盖面;需要依靠改进和稳定的结构使之达到改进效果。这些问题都将在结构改进以及标签技术的发展中被克服。

6. 连接臂化学与药代动力学调控策略

在VEGFR靶向放射性诊疗药物的构建中,连接臂(linker)不仅承担放射性核素、螯合剂与靶向载体之间的物理连接作用,更在很大程度上决定了药物的药代动力学行为、生物分布特征及正常组织辐射暴露水平。合理的连接臂设计,是解决小分子或多肽类药物清除过快、抗体类药物本底摄取过高等问题的关键技术手段。

PEG化是当前最常用的药代动力学调控策略之一。通过引入不同分子量的PEG链,可增加分子亲水性和表观分子体积,从而延长血液循环时间并降低肾脏快速滤过导致的剂量损失。然而,过度PEG化可能影响VEGFR结合亲和力或增加肝脾非特异性摄取,因此需要在靶向效率与体内滞留时间之间进行优化平衡。

另一种重要策略是引入白蛋白结合模块,如脂肪酸链、Evans blue衍生结构或特异性白蛋白结合肽。该方法可利用内源性白蛋白的长循环特性,实现小分子或多肽类VEGFR靶向放射性药物的“可逆性血浆锚定”,显著延长体内半衰期,同时保持较高的肿瘤摄取效率。这一策略在改善治疗窗和降低正常器官剂量方面展现出良好前景。

对于抗体及其衍生物,连接臂长度、柔性及电荷分布同样影响其体内分布和肿瘤渗透能力。适当延长连接臂并引入空间缓冲结构,有助于减少放射性标记对抗体构象和亲和力的干扰,提高体内稳定性。总体而言,连接臂化学不应被视为附属设计,而应作为VEGFR靶向放射性诊疗药物系统工程中的核心调控模块,与载体类型选择和核素匹配协同优化。

结语:靶向VEGFR的放射性诊疗药物研发,是放射治疗药学结合精准治疗与分子成像的重要方向。VEGFR作为肿瘤血管生成的关键靶点,具有高特异性和广泛适用性,是放射治疗药物联合成像治疗的最佳结合剂。抗体、小分子多肽或者适配子等载体设计、结构修饰、连接臂、核素选择以及剂量控制,都可以更好地提高放射治疗的特异性及治疗/诊断的性能比。放射性诊疗一体化药物的发展,不仅能够提高病灶识别精度,还能实现精准剂量评估与个体化治疗。未来,该领域的技术进步将更多依托于分子工程与多模态成像的融合应用,实现从基础研究到临床转化的高效衔接,为肿瘤患者带来更多无害化的有效治疗。

致 谢

感谢为本文提出修改意见的所有老师。

NOTES

*通讯作者。

参考文献

[1] 高诗特, 丁明雪, 邬月娇, 等. 靶向VEGFR抑制剂齐墩果酸类似物的合成及抗肿瘤活性研究[J]. 中国药物化学杂志, 2021, 31(11): 872-880.
[2] 蓝雪灵, 黄燕妮, 朱敏敏, 等. 抗VEGF及其受体分子靶向药物治疗肝癌机制的研究进展[J]. 中国临床药理学与治疗学, 2024, 29(6): 707-714.
[3] 王宁, 刘金彪. 乐伐替尼靶向调节VEGFR/PI3K/AKT治疗晚期甲状腺癌的作用机制[J]. 实用癌症杂志, 2021, 36(3): 415-418.
[4] 刘雯静, 秦长江. VEGF/VEGFR通路在胃癌靶向治疗中的研究进展[J]. 河南大学学报(医学版), 2021, 40(1): 68-72.
[5] 张娣, 董梅. 部分靶向药物在头颈部鳞状细胞癌靶向治疗中的应用进展[J]. 山东医药, 2021, 61(18): 106-111.
[6] 黄旭虎, 陈欢, 李可欣, 等. 肿瘤靶向放射性诊疗药物创新研发策略[J]. 原子能科学技术, 2025, 59(4): 769-782.
[7] 赵红博, 熊桂宏, 李明秋. 抑制肿瘤血管淋巴管生成的VEGFR分子机制及调控的研究进展[J]. 中国医学创新, 2023, 20(15): 184-188.
[8] 洪浩. 放射性核素偶联药物研发的优势与挑战[J]. 药学进展, 2023, 47(5): 321-323.
[9] 郑钧正. 放射诊疗的防护与安全是医疗设备应用安全和质量管理的重点[J]. 中国医疗设备, 2010, 25(9): 3-5.
[10] 刘丹, 李修齐, 刘书鹏, 等. 放射性核素偶联药物: 中国15年研发进程及最新政策支持[J]. 协和医学杂志, 2025, 16(4): 847-854.
[11] 王佳静, 张静烨, 董文彬, 等. 放射性核素偶联药物的研究进展及技术评价层面的思考[J]. 上海医药, 2024, 45(13): 10-13.
[12] 董国生, 陈欣, 李可欣, 等. 放射性核素偶联药物的研究进展及临床应用[J]. 药学进展, 2023, 47(5): 324-336.
[13] Libutti, S.K., Paciotti, G.F., Byrnes, A.A., Alexander, H.R., Gannon, W.E., Walker, M., et al. (2010) Phase I and Pharmacokinetic Studies of CYT-6091, a Novel Pegylated Colloidal Gold-RHTNF Nanomedicine. Clinical Cancer Research, 16, 6139-6149. [Google Scholar] [CrossRef] [PubMed]
[14] Wesselinova, D. (2011) Current Major Cancer Targets for Nanoparticle Systems. Current Cancer Drug Targets, 11, 164-183. [Google Scholar] [CrossRef] [PubMed]
[15] Masłowska, K., Halik, P.K., Tymecka, D., Misicka, A. and Gniazdowska, E. (2021) The Role of VEGF Receptors as Molecular Target in Nuclear Medicine for Cancer Diagnosis and Combination Therapy. Cancers, 13, Article 1072. [Google Scholar] [CrossRef] [PubMed]
[16] Paudyal, B., Paudyal, P., Oriuchi, N., Hanaoka, H., Tominaga, H. and Endo, K. (2011) Positron Emission Tomography Imaging and Biodistribution of Vascular Endothelial Growth Factor with 64Cu‐Labeled Bevacizumab in Colorectal Cancer Xenografts. Cancer Science, 102, 117-121. [Google Scholar] [CrossRef] [PubMed]
[17] Fagin, J.A. and Wells, S.A. (2016) Biologic and Clinical Perspectives on Thyroid Cancer. New England Journal of Medicine, 375, 1054-1067. [Google Scholar] [CrossRef] [PubMed]
[18] Lee, I., Yoon, K.Y., Kang, C.M., Lin, X., Chen, X., Kim, J.Y., et al. (2012) Evaluation of the Angiogenesis Inhibitor KR-31831 in SKOV-3 Tumor-Bearing Mice Using 64Cu-DOTA-VEGF121 and MicroPET. Nuclear Medicine and Biology, 39, 840-846. [Google Scholar] [CrossRef] [PubMed]
[19] Lamartina, L., Durante, C., Filetti, S. and Cooper, D.S. (2015) Low-Risk Differentiated Thyroid Cancer and Radioiodine Remnant Ablation: A Systematic Review of the Literature. The Journal of Clinical Endocrinology & Metabolism, 100, 1748-1761. [Google Scholar] [CrossRef] [PubMed]
[20] Molinaro, E., Pieruzzi, L. and Viola, D. (2012) Radioiodine Post-Surgical Remnant Ablation in Patients with Differentiated Thyroid Cancer: News from the Last 10 Years. Journal of Endocrinological Investigation, 35, 16-20.
[21] Rosove, M.H., Peddi, P.F. and Glaspy, J.A. (2013) BRAF V600E Inhibition in Anaplastic Thyroid Cancer. New England Journal of Medicine, 368, 684-685. [Google Scholar] [CrossRef] [PubMed]
[22] Wagle, N., Grabiner, B.C., Van Allen, E.M., Amin-Mansour, A., Taylor-Weiner, A., Rosenberg, M., et al. (2014) Response and Acquired Resistance to Everolimus in Anaplastic Thyroid Cancer. New England Journal of Medicine, 371, 1426-1433. [Google Scholar] [CrossRef] [PubMed]
[23] Wunderlich, A., Khoruzhyk, M., Roth, S., Ramaswamy, A., Greene, B.H., Doll, D., et al. (2013) Pretherapeutic Drug Evaluation by Tumor Xenografting in Anaplastic Thyroid Cancer. Journal of Surgical Research, 185, 676-683. [Google Scholar] [CrossRef] [PubMed]
[24] Kebebew, E. (2012) Anaplastic Thyroid Cancer: Rare, Fatal, and Neglected. Surgery, 152, 1088-1089. [Google Scholar] [CrossRef] [PubMed]
[25] Kniess, T. (2012) Radiolabeled Small Molecule Inhibitors of VEGFR-Recent Advances. Current Pharmaceutical Design, 18, 2867-2874. [Google Scholar] [CrossRef] [PubMed]
[26] Michalski, M.H. and Chen, X. (2010) Molecular Imaging in Cancer Treatment. European Journal of Nuclear Medicine and Molecular Imaging, 38, 358-377. [Google Scholar] [CrossRef] [PubMed]
[27] Bouziotis, P., Psimadas, D., Fani, M., Gourni, E., Loudos, G., Xanthopoulos, S., et al. (2006) Radiolabeled Biomolecules for Early Cancer Detection and Therapy via Angiogenesis Targeting. Nuclear Instruments and Methods in Physics Research Section A: Accelerators, Spectrometers, Detectors and Associated Equipment, 569, 492-496. [Google Scholar] [CrossRef
[28] Backer, M.V. and Backer, J.M. (2012) Imaging Key Biomarkers of Tumor Angiogenesis. Theranostics, 2, 502-515. [Google Scholar] [CrossRef] [PubMed]
[29] Nagengast, W.B., Lub-de Hooge, M.N., Oosting, S.F., den Dunnen, W.F.A., Warnders, F., Brouwers, A.H., et al. (2011) VEGF-PET Imaging Is a Noninvasive Biomarker Showing Differential Changes in the Tumor during Sunitinib Treatment. Cancer Research, 71, 143-153. [Google Scholar] [CrossRef] [PubMed]
[30] Cai, W. and Hong, H. (2011) Peptoid and Positron Emission Tomography: An Appealing Combination American Journal of Nuclear Medicine and Molecular Imaging, 1, 76-79.
[31] Hao, G., Hajibeigi, A., León-Rodríguez, L.M., et al. (2011) Peptoid-Based PET Imaging of Vascular Endothelial Growth Factor Receptor (VEGFR) Expression. American Journal of Nuclear Medicine and Molecular Imaging, 1, 65-75.
[32] Lu, X. and Fu Wang, R. (2012) A Concise Review of Current Radiopharmaceuticals in Tumor Angiogenesis Imaging. Current Pharmaceutical Design, 18, 1032-1040. [Google Scholar] [CrossRef] [PubMed]
[33] Rezazadeh, F., Sadeghzadeh, N., Abedi, S.M. and Abediankenari, S. (2018) 99mtc Labeled D(LPR): A Novel Retro-Inverso Peptide for VEGF Receptor-1 Targeted Tumor Imaging. Nuclear Medicine and Biology, 62, 54-62. [Google Scholar] [CrossRef] [PubMed]
[34] Giordano, R.J., Cardó-Vila, M., Salameh, A., Anobom, C.D., Zeitlin, B.D., Hawke, D.H., et al. (2010) From Combinatorial Peptide Selection to Drug Prototype (I): Targeting the Vascular Endothelial Growth Factor Receptor Pathway. Proceedings of the National Academy of Sciences, 107, 5112-5117. [Google Scholar] [CrossRef] [PubMed]
[35] Souris, J.S., Lee, C., Cheng, S., Chen, C., Yang, C., Ho, J.A., et al. (2010) Surface Charge-Mediated Rapid Hepatobiliary Excretion of Mesoporous Silica Nanoparticles. Biomaterials, 31, 5564-5574. [Google Scholar] [CrossRef] [PubMed]
[36] Kuchar, M., Oliveira, M.C., Gano, L., Santos, I. and Kniess, T. (2012) Radioiodinated Sunitinib as a Potential Radiotracer for Imaging Angiogenesis—Radiosynthesis and First Radiopharmacological Evaluation of 5-[125I]Iodo-Sunitinib. Bioorganic & Medicinal Chemistry Letters, 22, 2850-2855. [Google Scholar] [CrossRef] [PubMed]
[37] Sakr, T.M., El‐Safoury, D.M., Awad, G.A.S. and Motaleb, M.A. (2013) Biodistribution of 99mTc‐Sunitinib as a Potential Radiotracer for Tumor Hypoxia Imaging. Journal of Labelled Compounds and Radiopharmaceuticals, 56, 392-395. [Google Scholar] [CrossRef] [PubMed]