遗传预测的强直性脊柱炎与肾恶性肿瘤风险的因果关联:一项基于FinnGen的两样本孟德尔随机化研究
Causal Association between Genetically Predicted Ankylosing Spondylitis and the Risk of Malignant Neoplasm of the Kidney: A Two-Sample Mendelian Randomization Study Based on FinnGen
DOI: 10.12677/acm.2026.163797, PDF, HTML, XML,   
作者: 李德域:黑龙江中医药大学研究生院,黑龙江 哈尔滨;宋寒冰*:黑龙江中医药大学附属第一医院骨伤三科,黑龙江 哈尔滨
关键词: 强直性脊柱炎肾恶性肿瘤孟德尔随机化遗传预测FinnGenAnkylosing Spondylitis Ankylosing Spondylitis Malignant Kidney Neoplasm Mendelian Randomization Genetic Prediction FinnGen
摘要: 目的:探讨遗传预测的强直性脊柱炎(ankylosing spondylitis, AS)与肾恶性肿瘤(不含肾盂)风险之间的潜在因果关系。方法:采用两样本孟德尔随机化(Mendelian randomization, MR)设计,暴露为FinnGen数据库的强直性脊柱炎(GWAS ID:finn-b-M13_ANKYLOSPON;病例数1462,对照数164,682,总样本量166,144),结局为肾恶性肿瘤(不含肾盂) (GWAS ID:finn-b-C3_KIDNEY_NOTRENALPELVIS;病例数971,对照数217,821,总样本量218,792)。以全基因组显著性阈值P < 5 × 108筛选AS相关工具变量,并进行LD去相关(r2 = 0.001,窗口10,000 kb)。结局侧允许使用LD代理SNP (r2 ≥ 0.8)以提高匹配率。等位基因协调采用action = 2,并进行Steiger方向性过滤。主要分析采用逆方差加权法(IVW, multiplicative random effects),并辅以加权中位数法(weighted median)及MR-Egger回归验证稳健性。通过Cochran’s Q检验评估异质性,MR-Egger截距检验与MR-PRESSO评估水平多效性,并采用留一法(leave-one-out)检验单个SNP对结果的影响。工具变量强度以F统计量评估。结果:共纳入11个工具变量,均通过协调与方向性过滤。工具变量强度良好(F统计量最小值32.90,均值约308.60)。IVW结果显示,遗传预测的AS与肾恶性肿瘤风险升高显著相关(β = 0.0394, SE = 0.0145, P = 0.0066; OR = 1.040, 95%CI: 1.011~1.070)。加权中位数与MR-Egger结果方向一致且同样达到统计学显著(weighted median: OR = 1.047, 95%CI: 1.004~1.093, P = 0.0319; MR-Egger: OR = 1.068, 95%CI: 1.009~1.130, P = 0.0495)。敏感性分析未提示异质性(Q检验P = 0.777)、方向性水平多效性(MR-Egger截距P = 0.277)或离群工具变量(MR-PRESSO global P = 0.862, outlier = 0)。留一法提示剔除任一单个SNP后总体效应方向保持一致。结论:遗传预测的强直性脊柱炎与肾恶性肿瘤(不含肾盂)风险升高存在统计学相关性,提示AS可能是肾癌风险增加的潜在因果因素之一。仍需在其他人群与独立数据集中进一步验证,并结合机制研究阐明其生物学基础。
Abstract: Objective: To investigate the potential causal association between genetically predicted ankylosing spondylitis (AS) and the risk of malignant neoplasm of the kidney (except renal pelvis). Methods: A two-sample Mendelian randomization (MR) analysis was performed using FinnGen summary statistics: AS (finn-b-M13_ANKYLOSPON; 1462 cases and 164,682 controls) and kidney cancer excluding renal pelvis (finn-b-C3_KIDNEY_NOTRENALPELVIS; 971 cases and 217,821 controls). Instrumental SNPs were selected at P < 5 × 10−8 and clumped (r2 = 0.001, 10,000 kb); outcome-side proxies were allowed (r2 ≥ 0.8). Alleles were harmonized (action = 2) and Steiger filtering was applied. IVW multiplicative random-effects was the primary method, with weighted median and MR-Egger as sensitivity analyses; Heterogeneity was assessed using Cochran’s Q test. Horizontal pleiotropy was evaluated using the MR-Egger intercept test and the MR-PRESSO method. A leave-one-out analysis was performed to assess the influence of individual single nucleotide polymorphisms (SNPs) on the overall estimate. Instrument strength was evaluated using the F statistic. Results: A total of 11 instrumental variables were included, all of which passed harmonization and directional filtering. The instruments demonstrated strong strength (minimum F statistic = 32.90; mean F statistic ≈ 308.60). The inverse-variance weighted (IVW) analysis showed that genetically predicted AS was significantly associated with an increased risk of malignant kidney neoplasm (β = 0.0394, SE = 0.0145, P = 0.0066; OR = 1.040, 95% CI: 1.011~1.070). The weighted median and MR-Egger methods yielded consistent effect directions and also reached statistical significance (weighted median: OR = 1.047, 95% CI: 1.004~1.093, P = 0.0319; MR-Egger: OR = 1.068, 95% CI: 1.009~1.130, P = 0.0495). Sensitivity analyses indicated no evidence of heterogeneity (Cochran’s Q test, P = 0.777), directional horizontal pleiotropy (MR-Egger intercept, P = 0.277), or outlier instruments (MR-PRESSO global test, P = 0.862; outliers = 0). The leave-one-out analysis demonstrated that the overall effect estimate remained stable after sequential removal of each SNP. Conclusion: Genetically predicted ankylosing spondylitis was statistically associated with an increased risk of malignant kidney neoplasm (excluding renal pelvis cancer), suggesting that AS may be a potential causal risk factor for renal cancer. Further validation in independent populations and datasets is warranted, and mechanistic studies are needed to elucidate the underlying biological pathways.
文章引用:李德域, 宋寒冰. 遗传预测的强直性脊柱炎与肾恶性肿瘤风险的因果关联:一项基于FinnGen的两样本孟德尔随机化研究[J]. 临床医学进展, 2026, 16(3): 341-349. https://doi.org/10.12677/acm.2026.163797

1. 引言

强直性脊柱炎(AS)是一类以慢性炎症为主要特征的脊柱关节病,常伴随系统性免疫异常。慢性炎症、免疫失衡及相关治疗暴露(如长期非甾体抗炎药或生物制剂应用)被认为可能与肿瘤发生风险存在关联。然而,传统观察性研究易受混杂因素(吸烟、肥胖、共病、就医行为等)及反向因果影响,难以明确AS与肾恶性肿瘤之间是否存在因果联系[1] [2]

孟德尔随机化(MR)利用遗传变异在受精时随机分配的特性,将与暴露相关的遗传变异作为工具变量,从而在一定程度上减少混杂与反向因果偏倚,为探索暴露与结局的因果关系提供了可行方法。因此,本研究基于FinnGen公开GWAS汇总数据,采用两样本MR方法评估遗传预测的AS与肾恶性肿瘤(不含肾盂)风险之间的潜在因果关系,为临床风险评估与机制研究提供遗传流行病学证据[3]-[5]

2. 资料与方法

2.1. 研究设计与MR基本假设

本研究为两样本MR研究。MR分析需满足以下核心假设:

(1) 相关性假设:工具变量与暴露(AS)显著相关;

(2) 独立性假设:工具变量与暴露–结局关系的混杂因素独立;

(3) 排除限制假设:工具变量仅通过暴露影响结局,不通过其他途径直接影响结局(无水平多效性或其影响可忽略)。

2.2. 数据来源

暴露与结局的GWAS汇总统计数据均来源于FinnGen项目,并采用TwoSampleMR/ieugwasr工具链提取与整理;研究对象主要为芬兰/欧洲祖源人群[6]-[8]

  • 暴露:强直性脊柱炎(finn-b-M13_ANKYLOSPON),病例1462,对照164,682,总样本量166,144。

  • 结局:肾恶性肿瘤(不含肾盂) (finn-b-C3_KIDNEY_NOTRENALPELVIS),病例971,对照217,821,总样本量218,792。

本研究使用公开汇总数据,不涉及个体可识别信息,因此无需额外伦理审批。

2.3. 工具变量筛选与LD去相关

以P < 5 × 108为阈值从暴露GWAS中筛选与AS显著相关的SNP作为候选工具变量。为保证工具变量独立性,进行LD clumping处理,参数设定为r2 = 0.001,窗口10,000 kb。未设置特定SNP排除列表(exclude_snps为空)。

2.4. 结局数据提取与代理SNP设置

在结局侧提取与工具变量对应的SNP效应。为提高匹配率,结局侧允许使用LD代理SNP (proxies = TRUE),代理阈值设定为r2 ≥ 0.8;暴露侧不启用代理(extract_instruments不涉及proxies)。

2.5. 等位基因协调与方向性过滤

采用TwoSampleMR包进行等位基因协调(harmonise_data, action = 2),确保暴露与结局效应估计在相同效应等位基因方向上可比。随后进行Steiger方向性检验(steiger_filtering),以过滤潜在方向错误的工具变量。本研究最终纳入11个工具变量,Steiger过滤后均保留(n_steiger_kept = 11) [7]-[9]

2.6. 工具变量强度评估

工具变量强度通过F统计量评估。本研究中各SNP F值范围为32.90~1408.80,最小F值为32.90,平均F值约308.60,提示不存在弱工具变量问题(表1)。

Table 1. Instrumental SNPs and their effect estimates and F statistics

1. 工具变量SNP列表及其效应参数与F统计量

SNP

effect_allele.exposure

other_allele.exposure

effect_allele.outcome

other_allele.outcome

beta.

exposure

beta.

outcome

eaf.exposure

eaf.outcome

se.exposure

se.outcome

R2

F

1

rs10807943

C

T

C

T

−0.562

−0.069

0.936

0.936

0.081

0.095

0.0002

48.038

2

rs11759147

G

T

G

T

0.376

−0.124

0.112

0.112

0.06

0.073

0.0002

38.345

3

rs13033284

C

T

C

T

−0.221

0.021

0.627

0.626

0.038

0.047

0.0001

32.898

4

rs144411658

T

TTTAG

T

TTTAG

0.92

0.008

0.457

0.457

0.043

0.051

0.0027

452.121

5

rs147086576

A

G

A

G

0.943

0.05

0.088

0.088

0.073

0.081

0.0009

165.159

6

rs1632869

A

G

A

G

0.818

0.033

0.314

0.315

0.043

0.05

0.0021

360.995

7

rs16894011

A

T

A

T

2.107

0.099

0.072

0.073

0.088

0.089

0.0033

565.799

8

rs1737030

G

A

G

A

0.563

−0.012

0.597

0.598

0.042

0.05

0.001

178.896

9

rs181316459

C

G

C

G

0.984

0.167

0.047

0.047

0.1

0.112

0.0005

96.191

10

rs55813549

T

C

T

C

2.634

0.121

0.128

0.128

0.07

0.068

0.0084

1408.798

11

rs9277481

G

A

G

A

0.344

0.018

0.187

0.187

0.05

0.06

0.0002

47.337

2.7. MR主分析与稳健性分析

主要因果效应采用逆方差加权法(IVW, multiplicative random effects)估计,并使用加权中位数法(weighted median)与MR-Egger回归进行补充验证(图1)。效应量以β (对数优势比)表示,并转换为OR及其95%置信区间(OR = exp(β)) [5] [10] [11]

2.8. 敏感性分析

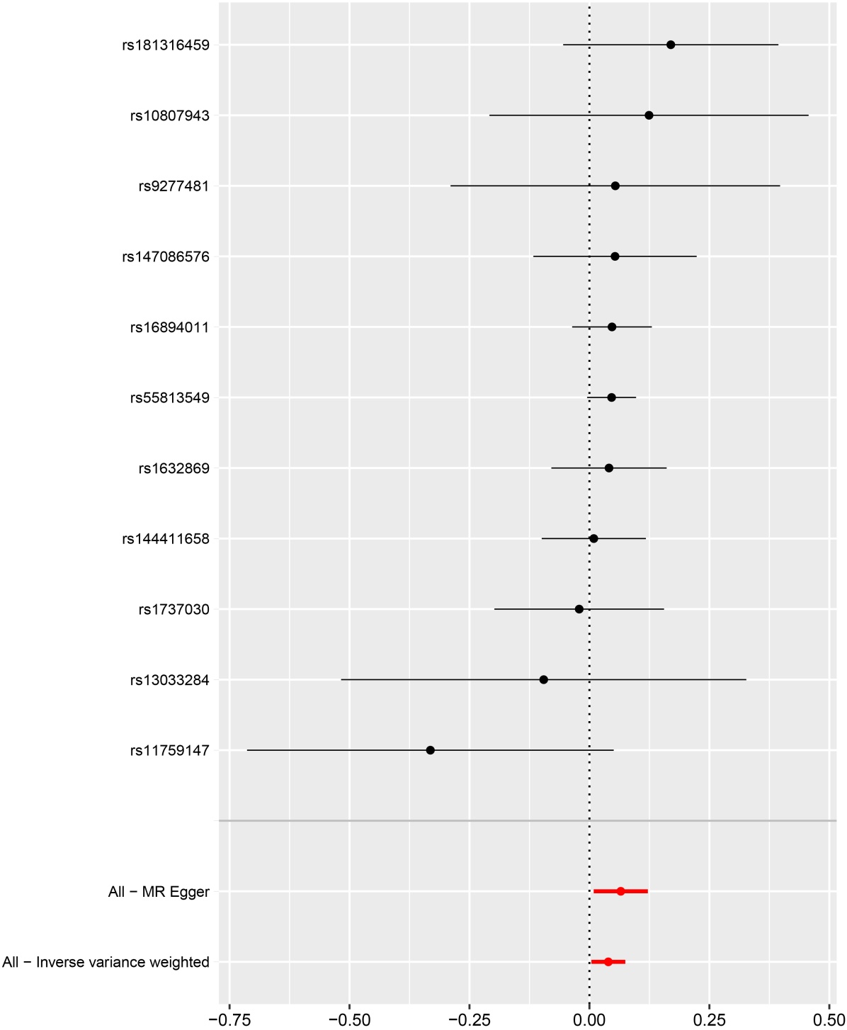
  • 异质性:采用Cochran’s Q检验评估工具变量间异质性(图2);

  • 水平多效性:采用MR-Egger截距检验评估方向性水平多效性(图3);

  • MR-PRESSO:进行全局多效性检验并识别离群SNP [12]

  • 留一法:逐一剔除单个SNP,评估是否存在单个工具变量主导结果(图4)。

Figure 1. MR scatter plot for ankylosing spondylitis and kidney cancer (except renal pelvis)

1. 强直性脊柱炎与肾恶性肿瘤(不含肾盂)的MR散点图

Figure2. Forest plot of single-SNP Mendelian randomization estimates for genetically predicted ankylosing spondylitis and risk of malignant neoplasm of kidney (except renal pelvis)

2. 遗单个SNP孟德尔随机化效应估计的森林图(强直性脊柱炎肾恶性肿瘤(不含肾盂))

Figure 3. Funnel plot for Mendelian randomization analysis of genetically predicted ankylosing spondylitis and risk of malignant neoplasm of kidney (except renal pelvis)

3. 孟德尔随机化分析漏斗图(强直性脊柱炎肾恶性肿瘤(不含肾盂))

Figure 4. Leave-one-out sensitivity analysis plot for the Mendelian randomization estimate of genetically predicted ankylosing spondylitis on risk of malignant neoplasm of kidney (except renal pelvis)

4. 留一法敏感性分析图(逐一剔除单个SNP后强直性脊柱炎肾恶性肿瘤(不含肾盂)的MR估计)

2.9. 事后统计效力与最小可检测效应

鉴于观察到的效应量较小,本研究在双侧α = 0.05条件下,基于IVW估计的标准误进行功效评估。对给定备择效应OR,计算非中心参数δ = ln(OR)/SE_IVW,并据此获得双侧检验效力;同时计算达到80%效力时的最小可检测效应(MDES),用于反映研究对微弱效应的统计敏感性。

2.10. 统计软件

使用R软件及TwoSampleMR、ieugwasr、MRPRESSO等包完成分析(TwoSampleMR 0.6.22; ieugwasr 1.1.0; MRPRESSO 1.0)。双侧检验P < 0.05认为差异有统计学意义[7] [8] [12]

3. 结果

3.1. 工具变量筛选与纳入情况

暴露侧初始提取到显著相关SNP后,经LD去相关最终纳入11个独立工具变量。等位基因协调后均保留并通过Steiger方向性过滤(n_harmonised = 11, n_steiger_kept = 11)。工具变量强度评估显示最小F值为32.90,平均F值约308.60,提示工具变量强度充足。

3.2. MR主分析结果

IVW (multiplicative random effects)结果显示,遗传预测的AS与肾恶性肿瘤(不含肾盂)风险升高显著相关(β = 0.0394, SE = 0.0145, P = 0.0066),对应OR = 1.040 (95%CI: 1.011~1.070)。加权中位数法与MR-Egger回归结果方向一致且同样达到统计学显著(weighted median: OR = 1.047, 95%CI: 1.004~1.093, P = 0.0319; MR-Egger: OR = 1.068, 95%CI: 1.009~1.130, P = 0.0495) (表2)。本研究工具变量对暴露的总方差解释率为2.03% (R2_total = 0.0203)。基于IVW估计的标准误(SE = 0.01448),在双侧α = 0.05条件下,本研究对OR = 1.04的微弱效应具有约77.3%的检验效力;达到80%效力时的最小可检测效应约为OR = 1.041 (对应β ≈ 0.0406)。提示在当前样本量与方差解释率下,本研究对微弱因果效应具备中高敏感性。

Table 2. Mendelian randomization estimates of genetically predicted ankylosing spondylitis on the risk of malignant neoplasm of kidney (except renal pelvis)

2. 遗传预测的强直性脊柱炎对肾恶性肿瘤(不含肾盂)风险的孟德尔随机化主分析结果

exposure

outcome

method

nsnp

b

se

pval

or

or_lci95

or_uci95

AS

肾恶性肿瘤(不含肾盂)

IVW

11

0.039

0.014

0.006

1.04

1.011

1.07

AS

肾恶性肿瘤(不含肾盂)

Weighted median

11

0.046

0.021

0.031

1.047

1.004

1.092

AS

肾恶性肿瘤(不含肾盂)

MR Egger

11

0.065

0.028

0.049

1.067

1.008

1.129

3.3. 敏感性分析结果

异质性检验未提示工具变量间存在明显异质性(Cochran’s Q检验P = 0.777)。MR-Egger截距检验未发现方向性水平多效性证据(截距 = −0.0353,P = 0.277)。MR-PRESSO全局检验未提示水平多效性,且未检测到离群SNP (global P = 0.862, outlier = 0)。留一法分析显示,剔除任一单个SNP后总体效应方向保持一致,提示结果不太可能由单个工具变量驱动。

4. 讨论

4.1. 主要发现

本研究基于FinnGen公开GWAS汇总数据,采用两样本MR方法发现:遗传预测的强直性脊柱炎与肾恶性肿瘤(不含肾盂)风险升高存在统计学相关性。该关联在IVW、加权中位数与MR-Egger三种方法中方向一致且均达到统计学显著,并且异质性与水平多效性相关敏感性检验结果总体支持分析稳健性[6]-[8]

4.2. 可能机制解释

AS属于慢性系统性炎症性疾病,长期炎症状态可能通过多条通路影响肿瘤发生发展[1]

(1) 炎症介质与免疫微环境:慢性炎症可改变细胞因子网络与免疫监视功能,促使肿瘤免疫逃逸;

(2) 氧化应激与DNA损伤:长期炎症相关氧化应激可能增加基因损伤与突变累积风险;

(3) 肾脏受累与代谢改变:部分AS患者存在肾脏相关并发症或代谢异常,这些因素可能与肾肿瘤发生相关;

(4) 治疗相关因素:长期用药(如NSAIDs或免疫调节治疗)对肿瘤风险的影响方向可能复杂,需要进一步分层研究。

上述机制仍需结合实验与临床研究进一步验证。

4.3. 研究优势

(1) MR设计可在一定程度上降低混杂与反向因果影响;

(2) 工具变量强度充足(最小F值>10,平均F值较高);

(3) 多方法一致(IVW、weighted median、MR-Egger均支持同向结果);

(4) 敏感性分析未提示显著异质性或方向性水平多效性,MR-PRESSO亦未发现离群SNP,结果具有一定稳健性[12]

4.4. 局限性

(1) 样本重叠:本研究暴露与结局GWAS均来源于FinnGen,可能存在一定样本重叠,从而使效应估计向观察性关联方向偏移。未来需在UK Biobank或其他独立欧洲人群GWAS数据集中开展重复验证,以检验结果在不同数据集间的一致性并进一步降低样本重叠影响;

(2) 祖源限制:研究对象主要为芬兰/欧洲祖源人群,结论外推至其他人群需谨慎;

(3) 二分类暴露标度:AS为二分类表型,MR估计反映遗传易感性(liability)变化对结局风险的影响,临床解释需避免过度量化;

(4) 多效性无法完全排除:尽管敏感性分析未提示明显水平多效性,仍不能完全排除未知通路的影响;

(5) 工具变量数量有限:纳入SNP数量为11个,尽管强度充足,但对复杂多效性结构的识别能力仍有限。本研究撰写与报告参照STROBE-MR声明[13]

4.5. 临床与研究意义

本研究提示AS可能与肾恶性肿瘤风险升高相关。对于临床实践而言,可作为进一步关注AS患者肾脏肿瘤风险因素与随访管理的遗传流行病学线索;对于科研而言,建议在独立队列与不同祖源人群中开展重复验证,并进一步探索炎症免疫通路及治疗因素在其中的作用。

5. 结论

基于FinnGen公开GWAS数据的两样本MR分析显示,遗传预测的强直性脊柱炎与肾恶性肿瘤(不含肾盂)风险升高存在统计学相关性。该结果在多种MR方法中方向一致且敏感性分析总体支持其稳健性。未来仍需更多独立数据与机制研究进一步验证与阐释。

致 谢

感谢FinnGen研究的参与者与研究团队为本研究提供公开可用的遗传数据与资源。

NOTES

*通讯作者。

参考文献

[1] 牛涛, 周逢海. 炎症与肿瘤微环境[J]. 中南大学学报(医学版), 2023, 48(12): 1899-1913.
[2] 高兰, 樊勇, 张卓莉. 强直性脊柱炎合并恶性肿瘤31例[J]. 北京大学学报(医学版), 2015, 47(6): 962-965.
[3] Davey Smith, G. and Ebrahim, S. (2003) ‘Mendelian Randomization’: Can Genetic Epidemiology Contribute to Understanding Environmental Determinants of Disease? International Journal of Epidemiology, 32, 1-22. [Google Scholar] [CrossRef] [PubMed]
[4] 廖华远, 蒋优, 郭嘉忱, 等. 孟德尔随机化分析骨质疏松症、骨密度与骨坏死的因果关系[J]. 中国骨质疏松杂志, 2025, 31(12): 1772-1780.
[5] 孙鹤立. 基于校正横向多效性的孟德尔随机化方法及其在疾病因果推断中的应用[D]: [硕士学位论文]. 太原: 山西医科大学, 2021.
[6] Kurki, M.I., Karjalainen, J., Palta, P., et al. (2022) FinnGen: Unique Genetic Insights from Combining Isolated Population and National Health Register Data. medRxiv.
[7] 俞洋, 孟丹, 仇奕文, 等. 两样本孟德尔随机化法分析1型糖尿病对结直肠癌的影响[J]. 上海交通大学学报(医学版), 2024, 44(6): 755-761.
[8] Zeng, F.Y., Shen, P., Guo, W.J., He, G.L., et al. (2024) Exploring the Causal Relationship between Coagulation Function and Gestational Diabetes Mellitus through Mendelian Randomization Analysis. Journal of Sichuan University (Medical Sciences), 57, 580-587.
[9] Hemani, G., Tilling, K. and Davey Smith, G. (2017) Orienting the Causal Relationship between Imprecisely Measured Traits Using GWAS Summary Data. PLOS Genetics, 13, e1007081. [Google Scholar] [CrossRef] [PubMed]
[10] Bowden, J., Davey Smith, G. and Burgess, S. (2015) Mendelian Randomization with Invalid Instruments: Effect Estimation and Bias Detection through Egger Regression. International Journal of Epidemiology, 44, 512-525. [Google Scholar] [CrossRef] [PubMed]
[11] Bowden, J., Davey Smith, G., Haycock, P.C. and Burgess, S. (2016) Consistent Estimation in Mendelian Randomization with Some Invalid Instruments Using a Weighted Median Estimator. Genetic Epidemiology, 40, 304-314. [Google Scholar] [CrossRef] [PubMed]
[12] Verbanck, M., Chen, C., Neale, B. and Do, R. (2018) Detection of Widespread Horizontal Pleiotropy in Causal Relationships Inferred from Mendelian Randomization between Complex Traits and Diseases. Nature Genetics, 50, 693-698. [Google Scholar] [CrossRef] [PubMed]
[13] Skrivankova, V.W., Richmond, R.C., Woolf, B.A.R., Davies, N.M., Swanson, S.A., VanderWeele, T.J., et al. (2021) Strengthening the Reporting of Observational Studies in Epidemiology Using Mendelian Randomisation (STROBE-MR): Explanation and Elaboration. BMJ, 375, n2233. [Google Scholar] [CrossRef] [PubMed]