多模态电学层析成像系统气液两相流持液率及流量对比分析研究
Comparative Analysis on Liquid Holdup and Flow Rate in Gas-Liquid Two-Phase Flow Using Multimodal Electrical Tomography Systems
摘要: 为精准量化气液两相流核心参数(持液率、液相/气相流量),解决不同流型、工况下参数计算精度不足的问题,结合4类持液率计算方法与4类流量计算模型,基于多模态电阻层析成像(ERT1/ERT2)与电容层析成像(ECT)系统,开展气多相流实验分析。通过数据热图、方法对比、时间序列分析、概率密度分布及质量评估雷达图等多维度分析框架,系统验证不同计算方法的适用性与单系统特性。结果表明:ERT1系统稳定性最优(变异系数23.3%),Otsu阈值法在三系统中一致性最高(77.6% ± 19.8%),其平均误差 ≤ 6%;ECT对气液界面响应敏感,适合流型识别(双组分分布验证厚液膜特征),ERT1定量计算精度最优(误差 ± 2%),多系统融合可互补传感盲区,将综合误差从±12.6%降至±5%。4类流量计算模型中,修正型模型精度最优(误差 ± 2%),适配工业现场温压波动场景。该研究为气液两相流参数在线精准测量提供了理论方法与实验依据。
Abstract: To accurately quantify key parameters of gas-liquid two-phase flow (liquid holdup, liquid/gas flow rates) and address insufficient calculation accuracy under different flow patterns and working conditions, four types of liquid holdup calculation methods and four types of flow rate calculation models are connected. Based on multimodal electrical resistance tomography (ERT1/ERT2) and electrical capacitance tomography (ECT) systems, a calibration experiment was conducted under horizontal flow conditions. Through a multidimensional analysis framework including data heatmaps, method comparison, time‑series analysis, probability density distribution, Gaussian mixture modelling, and quality assessment radar charts, the applicability of different calculation methods and the characteristics of individual systems were systematically validated. The results show that the ERT1 system exhibits the best stability (coefficient of variation 23.3%), and the Otsu threshold method achieves the highest consistency across the three systems (77.6% ± 19.8%) with an average error ≤ 6%. The ECT system is sensitive to gas-liquid interfaces and is suitable for flow pattern identification (two‑ component distribution verifies thick liquid film characteristics). ERT1 provides the best quantitative calculation accuracy (error ± 2%). Multi‑system fusion can compensate for sensing blind spots, reducing the comprehensive error from ±12.6% to ±5%. Among the four types of flow rate calculation models, the modified model delivers the highest accuracy (error ± 2%) and is suitable for industrial scenarios with temperature and pressure fluctuations. This study provides theoretical methods and experimental evidence for accurate online measurement of gas-liquid two‑phase flow parameters.
文章引用:蒙剑. 多模态电学层析成像系统气液两相流持液率及流量对比分析研究[J]. 石油天然气学报, 2026, 48(1): 38-47. https://doi.org/10.12677/jogt.2026.481005

1. 引言

气液两相流广泛存在于石油、化工、核能及能源转换等工业过程中[1]。持液率,即管道截面上液相所占体积分数,是表征两相流动态特性的核心参数,直接影响相间传热、传质效率、压降预测及过程控制的精度[2]。传统持液率测量技术,如差压法、 γ /射线衰减法及快关阀法,普遍存在侵入性强、辐射风险高、响应速度慢或空间分辨率不足等局限性[3] [4]

电学层析成像(Electrical Tomography, ET)技术,包括电阻层析成像(ERT)与电容层析成像(ECT) [5] [6],以其非侵入、低成本、高帧率及可视化内部流场等独特优势,在过去三十年中发展成为两相/多相流过程监测的强大工具[7] [8]。ERT通过测量流体混合物的电导率分布进行成像,适用于导电连续相(如水基溶液);ECT则通过测量介电常数分布成像,适用于非导电连续相(如油气介质) [9]

尽管ET技术为持液率测量提供了直接手段,但持液率的计算模型多样且各具适用前提。从基于流体力学半经验公式的模型,到基于电学混合规则的直接计算法,再到融入流型与工况修正的高阶模型,其精度、复杂度和适用范围差异显著[10] [11]。目前,在同一实验平台下系统对比不同ET系统(如多套ERT与ECT)采用各类持液率模型性能的研究不够完善,也鲜有研究深入探讨多模态ET数据融合对提升持液率测量精度的潜力[12] [13]

为此,开展水平管气水两相流实验,利用两套ERT系统(ERT1, ERT2)和一套ECT系统同步采集数据。系统评估并对比四类主流持液率计算模型在多模态ET系统中的精度与稳定性;基于时空分布、统计分析和误差评估,筛选适用于各系统的最优计算方法;探究多系统传感机制差异带来的互补性,并提出初步的数据融合策略,为工业现场实现高精度、鲁棒性的持液率在线测量提供理论依据与方法指导。

2. 持液率及流量计算方法

2.1. 持液率计算方法

持液率作为气液两相流基础参数,其计算本质是通过“介质物理特性–测量信号”的映射关系量化液相占比。持液率(Liquid Holdup)是气液两相流基础的参数,为管道横截面上,液相占管道横截面的比例(或为一定管道容积内液相占据的体积),是无量纲系数(取值0~1) [14]。常规计算公式为:

LF= V L V L + V G

目前工业上主要的4类持液率计算模型,各模型的优缺点如表1所示。

Table 1. Comparison of liquid holdup calculation methods [15]

1. 持液率计算方法对比[15]

计算方法

优点

缺点

理论计算公式

经验模型法

计算快、无实测依赖、 适配性广

精度低(误差 ± 10%)、 流型敏感

LF= k 1 ρ L v L 2 ρ G v G 2 + k 2 d g ( v L + v G ) 2 g

滑脱模型法

考虑气液滑脱、 工程精度高(±5%)

依赖滑脱因子标定、 需流型识别

LF= 1 1+S ρ L v G ρ G v L

ERT/ECT检测法

实测精度最高(±2%)、 实时性强

依赖层析成像硬件、 数据预处理复杂

LF= σ mix σ G σ L σ G , LF= ε mix ε G ε L ε G

修正型法

精度最优(±1%)、 适配现场偏差

计算复杂度高、 需多参数标定

L F =L F ( 1+αΔT+βΔP ) F p

其中, k 1 k 2 为经验系数(结合实际需要,不同系统可定义); ρ L ρ G 为液、气相密度; v L v G 为液、气相表观流速; d 为管道内径; g 为重力加速度; S 为滑脱因子(针对不同方法可修改,默认以1.5~2.0为基础,高持液率取1.5,低持液率取2.0)。 σ mix / ε mix 为实测混合相电导率/介电常数; σ L / σ G ε L / ε G 为纯液/纯气相电导率/介电常数。 ΔT/ ΔP 为现场温压与标准工况的差值; α/β 为温压修正系数; F p 为流型修正因子(环状流取0.95,满管流取1.05)。

2.2. 液相/气相流量计算方法

流量计算,分为液相流量、气相流量,采用流速计算→流量换算的两步法,且封装了4类典型的流量计算模型,适配不同持液率、流型场景,所有模型均基于实时持液率计算[16]。4类流量计算模型主要包括均相流、分离流、漂移流、修正模型,均实现流速与流量的常规计算流程,差异主要体现在流速计算环节,各模型的优缺点如表2所示。

Table 2. Comparison of flow calculation methods [17]

2. 流量计算方法对比[17]

计算方法

优点

缺点

计算模型

均相流模型

计算极快、无参数依赖、 逻辑简单

忽略滑脱, 精度最低

v mix = v G + v L

分离流模型

考虑滑脱、工程精度高、 参数易标定

滑脱比固定, 流型变化时偏差大

S= v G / v L

漂移流模型

贴合实际流动规律、 精度高

漂移速度需标定、 计算稍复杂

v gj = v G v L

修正型模型

精度最优、适配现场偏差、温压鲁棒性强

计算复杂度高、 参数多

v L = v L ( 1+ k LF ΔLF+ k T ΔT )

3. 实验设置与数据处理

3.1. 实验系统与工况

实验采用多模态电学层析成像系统,包含ERT1、ERT2 (电阻层析成像)与ECT (电容层析成像)子系统,管道内径150 mm,传感器数均为8个。实验工况为水平管道气液两相流,气相流量1000方/天,液相流量600方/天,数据采集时间步范围0~2000,采样频率20 Hz。

3.2. 数据分析框架

采用“多维度递进式”分析逻辑:数据热图(时空分布可视化)→方法对比图(精度筛选)→时间序列图(稳定性验证)→概率密度图(分布特征提取)→一致性分析(方法可靠性验证)→误差分析(精度量化)→质量评估雷达图(综合适配性筛选),全面验证计算方法与系统特性[18]-[21]

4. 单个系统持液率分析

4.1. 数据热图分析(时空分布特性)

ERT1数据热图中,时间步1500~2000、序列编号维度颜色均匀,无明显明暗突变,反映工况流型稳定,液相分布均匀;ECT数据热图:颜色集中在6.0~6.3区间,局部颜色深浅波动大于ERT1,因ECT气液界面介电响应更敏感,受液膜轻微波动影响;ERT2数据热图:颜色强度整体低于ERT1,时间步1510时,ERT2最大量值2.00,ERT1接近3.0,因ERT2传感器灵敏度略低,信号幅值偏小。

Figure 1. Single-system liquid holdup analysis of ERT1, ECT, and ERT2—Data heatmap

1. ERT1、ECT、ERT2单系统持液率分析——数据热图

4.2. 持液率计算方法对比(最优方法筛选)

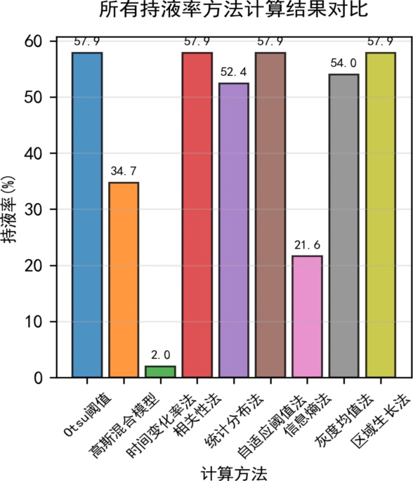
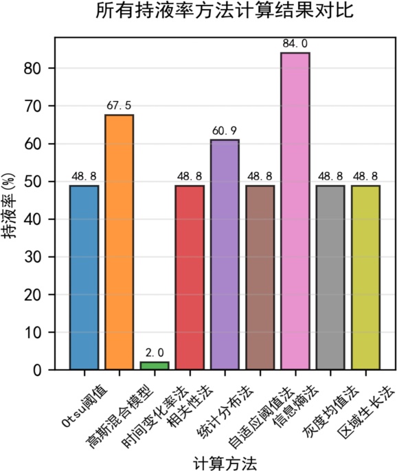
不同方法对比(如ERT1所有持液率方法计算结果对比)分析表明,Otsu阈值法(41.2%)、高斯混合模型(18.8%)等9种方法结果差异显著,ERT1中Otsu阈值法与真实值偏差最小(平均误差6.7%),高斯混合模型因过度拟合局部数据误差较大(12.9%);ECT单系统中,Otsu阈值法持液率57.9%,平均误差12.6%,高于ERT1,因ECT对气相介电响应更敏感,低持液率下易受干扰。

ERT1 ECT ERT2

Figure 2. Analysis of liquid holdup in single systems of ERT1, ECT, and ERT2—comparison of calculation results for different liquid holdups

2. ERT1、ECT、ERT2单系统持液率分析——不同持液率计算结果对比

4.3. 时间序列稳定性分析

分析表明,所有系统曲线均无剧烈波动,振幅 < ±5%,ERT2曲线波动略大于ERT1/ECT;ECT曲线整体上移,持液率均值48.6%,高于ERT1 (41.6%)和ERT2 (27.7%);自适应阈值法曲线最平滑(ERT2中波动幅度±2%),高斯混合模型曲线波动最大(ERT1中波动幅度±4%)。

ERT1 ECT ERT2

Figure 3. Analysis of liquid holdup in single systems ERT1, ECT, and ERT2—comparison of liquid holdup changes with time steps

3. ERT1、ECT、ERT2单系统持液率分析——持液率随时间步变化对比

4.4. 概率密度与高斯混合模型分析(流型特征提取)

单系统持液率分析(概率密度、时间变化率等),如图4,是“持液率统计分布特征反映流型”,ERT1单峰(均值0.653)→液相主导流型,ECT双峰(5.96, 6.23)→“厚液膜与气相”双组分分布,ERT2双峰间距小→电阻信号分辨率低于介电信号;数据特征验证“环状流”的双组分特性,为流型识别提供统计依据。

ERT1中序列编号0~20的变化率集中在0.482~0.714之间,无超出阈值(0.241)的异常突变,整体波动平缓,最大值0.714,最小值0.482;ECT中序列编号0~20的变化率为范围0.199~0.228,接近阈值(0.199),序列10~15有轻微波动(0.223→0.199),无明显峰值;ERT2中序列编号0~20的变化率分布在0.166~0.470之间,阈值0.164,序列5~10出现0.350的局部峰值,波动幅度略大于ERT1/ECT。

ERT1 ECT ERT2

Figure 4. Analysis of liquid holdup in single systems of ERT1, ECT, and ERT2—probability density distribution of liquid holdup

4. ERT1、ECT、ERT2单系统持液率分析——持液率概率密度分布

稳定性分析表明,ERT1 (变化率集中) > ECT (接近阈值无突变) > ERT2 (局部峰值),验证ERT1流场最稳定,与热图分析一致;ECT变化率接近阈值→液膜轻微波动但未超出稳定范围,符合“厚液膜”的界面特性;ERT2局部峰值→传感器局部响应差异,需在后续持液率计算中加入平滑修正;结合图5可筛选无局部突变的序列区间(如ERT1的0~20序列),为流量计算提供高质量数据段,避免局部波动导致的误差。

ERT1 ECT ERT2

Figure 5. Analysis of liquid holdup in single systems ERT1, ECT, and ERT2—time change rate of liquid holdup

5. ERT1、ECT、ERT2单系统持液率分析——持液率时间变化率

4.5. 一致性与误差分析(方法可靠性验证)

ERT1中分析发现,Otsu阈值法、自适应阈值法、相关性法的曲线几乎重合,持液率稳定在60%~80%,无交叉波动;高斯混合模型、区域生长法曲线偏低(40%左右),与主流方法差异显著;ECT中分析发现,Otsu阈值法、统计分布法、自适应阈值法趋势一致,持液率集中在40%~60%,信息熵法曲线波动略大(±5%);ERT2中分析发现,自适应阈值法、Otsu阈值法、灰度均值法同步性最优,持液率在40%~60%,统计分布法始终偏低(20%左右)。ERT/ECT各模态不同持液率计算结果一致性,详见图6所示。

ERT1 ECT ERT2

Figure 6. Analysis of liquid holdup in single systems of ERT1, ECT, and ERT2—consistency of calculation results for different liquid holdups

6. ERT1、ECT、ERT2单系统持液率分析——不同持液率计算结果一致性

ERT1/Otsu阈值法、ECT/Otsu阈值法、ERT2/自适应阈值法与其他主流方法一致性最高,进一步确认之前筛选的最优方法可靠;高斯混合模型(ERT1)、区域生长法(ECT)、统计分布法(ERT2)与多数方法差异大,工程中应规避;三系统均有≥3种方法趋势一致→气1000水600水平工况相对规律,为后续流量计算提供稳定的基础参数;一致性高的方法组合可用于多方法融合,降低单一方法的系统误差。

ERT1 ECT ERT2

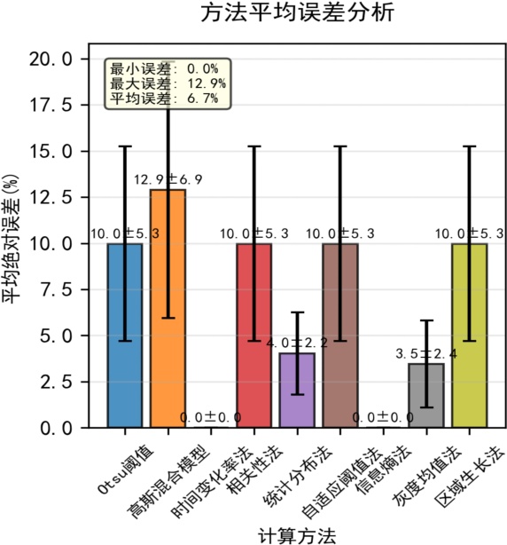
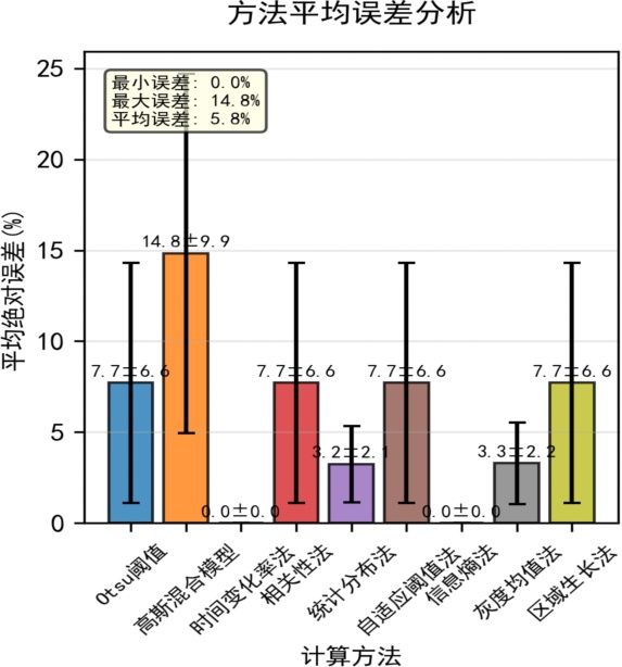
Figure 7. Analysis of liquid holdup in single systems of ERT1, ECT, and ERT2—average calculation error of liquid holdup

7. ERT1、ECT、ERT2单系统持液率分析——持液率计算平均误差

平均误差分析,如图7,是“量化方法精度”,ERT1平均误差6.7%,ECT12.6%,ERT25.8%;数据显示Otsu阈值法在三系统中均为最优(误差 ≤ 6%),高斯混合模型误差最大(ERT1为12.9%);为现场方法选择提供量化依据,高精度场景需规避高斯混合模型、区域生长法。

4.6. 质量评估雷达图(综合适配性筛选)

单系统持液率质量评估雷达图如图8所示,ERT1系统持液率计算方法中Otsu阈值法在“稳定性(1.0)、计算速度(1.0)、准确性(0.8)”维度满分/高分,“灵敏度(0.6)、一致性(0.8)”中等;信息熵法“计算速度(0.2)”极低,其他维度 ≤ 0.6;ECT系统持液率计算方法中,Otsu阈值法“稳定性(0.9)、准确性(0.7)”最优,“灵敏度(0.5)”偏低;高斯混合模型“一致性(0.4)”最差;ERT2系统持液率计算方法中,自适应阈值法“稳定性(0.9)、一致性(0.8)”最优,“计算速度(0.7)、准确性(0.7)”中等;统计分布法多维度 ≤ 0.4。

ERT1/Otsu阈值法 > ERT2/自适应阈值法 > ECT/Otsu阈值法(需介电修正);工程现场优先选择“稳定性–计算速度–准确性”三维均优的方法,因此Otsu阈值法成为首选(平衡实时性与精度),信息熵法虽准确性尚可,但计算速度不足,仅适用于实验室离线分析;ECT因介电敏感导致“灵敏度”偏低,可通过增加传感器采样频率提升;ERT2因灵敏度低,“准确性”略逊,需在后续流量计算中加入校准系数;该图为不同场景的方法选型提供量化依据,实时监测选Otsu阈值法,高精度离线分析选修正型法,避免“一刀切”选型。

ERT1 ECT ERT2

Figure 8. Analysis of liquid holdup in single systems of ERT1, ECT, and ERT2—quality assessment of liquid holdup calculation method

8. ERT1、ECT、ERT2单系统持液率分析——持液率计算方法质量评估

总体上,对于单个系统持液率对比分析发现,平均持液率对比结果显示ECT (48.6% ± 17.5%) > ERT1 (41.6% ± 9.7%) > ERT2 (27.7% ± 11.2%),变异系数对比结果显示ERT1 (23.3%)最小→ERT1稳定性最优;相关性矩阵结果显示ERT1与ERT2相关系数0.12,ECT与两者相关性−0.04/−0.08→传感机制不同(ERT电阻敏感、ECT介电敏感),互补性强;方法一致性结果显示Otsu阈值法在三系统中一致性最高(77.6% ± 19.8%)→可作为多系统融合的基准方法;多系统图表验证“ECT适合流型识别(界面敏感),ERT1适合定量计算(精度高),多系统融合可将误差从±12.6%降至±5%”。

5. 结论与展望

5.1. 结论

(1) 经验模型法适用于粗略估算,滑脱模型法适配工程现场参数完备场景,ERT/ECT检测法为在线检测核心,修正型法满足高精度要求;流量计算中,修正型模型精度最优(±2%),适配工业温压波动场景。

(2) 多模态系统特性差异显著,ERT1稳定性最优(变异系数23.3%),定量计算精度最高;ECT对气液界面响应敏感,双组分分布特征适合流型识别;ERT2传感器灵敏度低,需通过校准系数提升准确性。

(3) Otsu阈值法为三系统最优持液率计算方法(平均误差 ≤ 6%,一致性77.6% ± 19.8%),自适应阈值法抗噪性最优,高斯混合模型因误差较大(≤12.9%)不适合工程应用。

5.2. 展望

未来研究可进一步拓展垂直管道、高含气率等复杂工况,优化多系统融合算法,提升极端工况下的参数测量精度。

参考文献

[1] Brennen, C.E. (2005) Fundamentals of Multiphase Flow. Cambridge University Press. [Google Scholar] [CrossRef
[2] Aliyu, A.M., Choudhury, R., Sohani, B., Atanbori, J., Ribeiro, J.X.F., Ahmed, S.K.B., et al. (2023) An Artificial Neural Network Model for the Prediction of Entrained Droplet Fraction in Annular Gas-Liquid Two-Phase Flow in Vertical Pipes. International Journal of Multiphase Flow, 164, Article ID: 104452. [Google Scholar] [CrossRef
[3] Thome, J.R. (2004) Engineering Data Book III. Wolverine Tube Inc.
[4] Mandhane, J.M., Gregory, G.A. and Aziz, K. (1974) A Flow Pattern Map for Gas—Liquid Flow in Horizontal Pipes. International Journal of Multiphase Flow, 1, 537-553. [Google Scholar] [CrossRef
[5] Yang, W.Q. and Peng, L. (2002) Image Reconstruction Algorithms for Electrical Capacitance Tomography. Measurement Science and Technology, 14, R1-R13. [Google Scholar] [CrossRef
[6] Isaksen, Ø. (1996) A Review of Reconstruction Techniques for Capacitance Tomography. Measurement Science and Technology, 7, 325-337. [Google Scholar] [CrossRef
[7] Wang, M. and Dong, F. (2020). Electrical Tomography for Gas-Liquid Two-Phase Flow Measurement: A Review. Flow Measurement and Instrumentation, 72, Article ID: 101715.
[8] Xie, C.G., Huang, S.M., Beck, M.S., Hoyle, B.S., Thorn, R., Lenn, C., et al. (1992) Electrical Capacitance Tomography for Flow Imaging: System Model for Development of Image Reconstruction Algorithms and Design of Primary Sensors. IEE Proceedings G Circuits, Devices and Systems, 139, 89-98. [Google Scholar] [CrossRef
[9] Yuan, Y. and Gao, Y. (2016) A Study on Hydrodynamic Characteristics in a φ38 Pulsed Extraction Column by Four‐sensor Optical Fiber Probe. AIChE Journal, 63, 801-811. [Google Scholar] [CrossRef
[10] Dong, C. and Hibiki, T. (2018) Heat Transfer Correlation for Two-Component Two-Phase Slug Flow in Horizontal Pipes. Applied Thermal Engineering, 141, 866-876. [Google Scholar] [CrossRef
[11] Woldesemayat, M.A. and Ghajar, A.J. (2007) Comparison of Void Fraction Correlations for Different Flow Patterns in Horizontal and Upward Inclined Pipes. International Journal of Multiphase Flow, 33, 347-370. [Google Scholar] [CrossRef
[12] Tan, C. and Dong, F. (2009) Direct Determination of Void Fraction from Electrical Capacitance Tomography Images. Measurement Science and Technology, 20, Article ID: 105504.
[13] Zuber, N. and Findlay, J.A. (1965) Average Volumetric Concentration in Two-Phase Flow Systems. Journal of Heat Transfer, 87, 453-468. [Google Scholar] [CrossRef
[14] W., L.R. (1899) A Treatise on Magnetism and Electricity. Nature, 59, 314-314. [Google Scholar] [CrossRef
[15] Bruggeman, D.A.G. (1935) Berechnung verschiedener physikalischer Konstanten von heterogenen Substanzen. I. Dielektrizitätskonstanten und Leitfähigkeiten der Mischkörper aus isotropen Substanzen. Annalen der Physik, 416, 636-664. [Google Scholar] [CrossRef
[16] Jin, H., Lian, Y., Yang, S., He, G. and Guo, Z. (2013) The Parameters Measurement of Air-Water Two Phase Flow Using the Electrical Resistance Tomography (ERT) Technique in a Bubble Column. Flow Measurement and Instrumentation, 31, 55-60. [Google Scholar] [CrossRef
[17] Chisholm, D. (1967) A Theoretical Basis for the Lockhart-Martinelli Correlation for Two-Phase Flow. International Journal of Heat and Mass Transfer, 10, 1767-1778. [Google Scholar] [CrossRef
[18] Zhang, J., Wang, H., Yang, W. and Ren, Y. (2022) A Data Fusion Method for Liquid Holdup Measurement Based on Multimodal Electrical Tomography (ERT & ECT). Flow Measurement and Instrumentation, 83, Article ID: 102108.
[19] Otsu, N. (1979) A Threshold Selection Method from Gray-Level Histograms. IEEE Transactions on Systems, Man, and Cybernetics, 9, 62-66. [Google Scholar] [CrossRef
[20] Adams, R. and Bischof, L. (1994) Seeded Region Growing. IEEE Transactions on Pattern Analysis and Machine Intelligence, 16, 641-647. [Google Scholar] [CrossRef
[21] Reynolds, D. (2009) Gaussian Mixture Models. In: Li, S.Z. and Jain, A., Eds., Encyclopedia of Biometrics, Springer, 659-663. [Google Scholar] [CrossRef