基于自适应三角剖分的抛物聚焦型定日镜的建模与聚光特性研究
Research on the Modeling and Optical Characteristics of the Parabolic Heliostat Based on Adaptive Triangular Subdivision Method
摘要: 在塔式太阳能发电厂中,大型定日镜通常是通过多面镜片组装成抛物面型构造的。现有的研究在新兴的五边形、六边形等非矩形抛物型定日镜上仍存在较大的空白。针对该问题,本文提出了一种基于GPU的双向光线追踪建模仿真计算方法,适用于多种形状(如矩形、五边形、六边形及八边形)的抛物聚焦型定日镜。该方法核心在于利用Loop自适应三角剖分算法对非矩形镜面进行高精度离散化,建立位于抛物面上的镜片的法向量与中心坐标,实现了聚焦型抛物面上的镜片的物理建模。研究对比了不同形状的平面型与抛物聚焦型定日镜的辐射能密度分布和定日镜场效率。仿真结果表明,抛物型构造显著缩小了接收器表面的光斑尺寸,有效提升接收器表面拦截效率,最高可达9.5%。本研究为未来高效、多元化定日镜场的设计与优化提供了重要的理论依据与工具支持。
Abstract: In solar power tower plants, large-scale heliostats are typically constructed by assembling multiple mirror into a paraboloidal configuration. However, a significant research gap remains regarding emerging non-rectangular heliostats, such as pentagon and hexagon heliostat. To address this issue, this paper proposes a GPU-based bidirectional ray-tracing modeling and simulation method, applicable to various parabolic heliostat shape, including rectangles, pentagons, hexagons, and octagons. The core of this method lies in utilizing the Loop adaptive triangular subdivision algorithm for high-precision discretization of non-rectangular mirror surfaces. By establishing the normal vectors and center coordinates of the mirror facets on the paraboloid, achieving accurately physical modeling of parabolic heliostat. This study compares the flux density distribution and heliostat field efficiency between flat and parabolic heliostats across different geometries. Simulation results demonstrate that the parabolic configuration significantly reduces the spot size on the receiver surface and effectively enhances the intercept efficiency up to 9.5%. This research provides a robust theoretical foundation and computational tool for the design and optimization of high-efficiency, diversified heliostat fields in the future.
文章引用:包麒龙, 何才透. 基于自适应三角剖分的抛物聚焦型定日镜的建模与聚光特性研究[J]. 计算机科学与应用, 2026, 16(3): 543-557. https://doi.org/10.12677/csa.2026.163083

1. 引言

作为全球能源转型与可持续发展的关键支柱,塔式太阳能热发电(Central Receiver System,简称CRS)凭其高聚光比与大储能容量,被视为最具规模化前景的发电方式之一。近年来,我国在光热发电领域取得了显著进展。中国国家能源局数据显示,截至2025年9月底,我国已建成光热发电站21座,装机容量达157万千瓦,位居全球第三;在建项目达30座,总装机容量达310万千瓦[1]。仅2025年1~11月,全国太阳能发电装机容量已达11.6亿千瓦,同比增长41.9%,展现出强劲的发展势头[2]

塔式太阳能热发电系统是通过定日镜将光热聚焦至高位接收器。典型的CRS系统主要由三个核心子系统构成:定日镜场、接收塔、热电转化系统。在CRS系统中,定日镜场作为能量收集的核心,其建设成本约占系统总投资的40%~50% [3],因此,高精度仿真与镜场优化成为提升系统经济性的重要途径。

定日镜场的光学效率受多种因素共同驱动,主要包括余弦效率、大气透射损失、镜面反射率、阴影遮挡效率以及截断效率。在这些指标中,阴影遮挡效率与截断效率的计算逻辑最为复杂。目前,针对定日镜场截断效率的主流计算手段分为几何分析法[5]与蒙特卡洛光线追踪法[4]。前者虽计算迅速,但受限于理想化高斯假设,在非线性偏差处理上存在精度损失;后者虽物理精确度高且算法灵活,但在处理大规模镜场时面临严重的算力瓶颈。

随着定日镜设计趋向于多元化,为了提高镜场利用率并减小阴影遮挡损失,五边形[6]、六边形及八边形等非矩形定日镜逐渐进入研究视野。比如,Reeken等人设计的Stellio定日镜为正五边形[7],他们指出中等尺寸的定日镜能够实现成本和性能的最佳平衡,正五边形的优势在于缩短了底座长度,减少了材料成本,在光学效率上也有一定的提升。Schramek等人提出了一种新型的六边形定日镜[8],可以达到100%的地面覆盖率,极大程度节省土地面积,同时降低靠近接收塔的定日镜的溢出损失,从而提高光学效率。然而,截至目前,主流的塔式太阳能仿真模型大多基于传统的矩形定日镜构建,缺乏对复杂多边形定日镜的支持。Carrizosa等人[9]首次提出可以用于计算两种尺寸定日镜的镜场优化工具,但对于不同形状的定日镜未进行扩展。Belaid等人[10] [11]虽针对不同形状定日镜进行研究,但他们在计算阴影遮挡的时候以相邻定日镜交叉区域面积来简化,误差较大,且只考虑了平面型定日镜,未考虑抛物聚焦型定日镜的研究。

此外,定日镜聚焦方式正由动态[12]与静态聚焦[13]向更高效率的抛物面聚焦[14]演进,但目前针对“非矩形多边形”与“抛物面聚焦”相结合的聚光特性研究尚存在明显的学术空白。抛物面聚焦利用了抛物面的聚光特性,使得定日镜按照抛物面进行合理排布,从而减少光斑的扩散。Buck等人[15]比较了矩形定日镜在这些聚焦方法下的年均加权截断效率,发现静态聚焦方法和抛物面聚焦方法在效率上接近,但对于大型定日镜组成的定日镜场,抛物面聚焦定日镜的效率更高。

本文的主要贡献包括:

1) 双向光线追踪仿真算法(Bidirectional Monte-Carlo Ray Tracing,简称BMCRT):实现了适用于矩形、五边形、六边形、八边形等多种抛物聚焦型定日镜的基于GPU的双向蒙特卡洛光线追踪算法。

2) 自适应三角剖分算法:提出了一种可定义精度的自适应三角剖分技术,实现了多边形定日镜的自适应划分。该方法保证了复杂多边形细分精度,为多边形定日镜的模拟仿真提供坚实基础。

3) 抛物聚焦型定日镜聚光特性分析:建立抛物聚焦型定日镜的仿真模型,详细对比了平面镜与抛物聚焦型定日镜在不同形状下的辐射能密度分布,以及在同一布局模式下的总体效率分布,为新型多元化定日镜的设计、选型及工程应用提供了科学的数据支撑。

本文余下章节的组织结构如下:第2章明确了基本的模型假设,阐述了仿真模型的坐标约定、基础模型和适用于多边形定日镜的自适应三角剖分算法,介绍了抛物聚焦型定日镜的差异化建模方式。第3章开展了仿真实验与对比分析,在验证BMCRT算法收敛性与程序正确性的基础上,进行了Loop自适应细分算法的敏感度分析,计算评估了平面型与抛物聚焦型定日镜在不同形状下的聚光性能差异,并分析了同一布局模式下总体光学效率的变化规律。第4章总结了全文的研究成果,并对未来的研究方向进行了展望。

2. 模型建立

2.1. 模型假设

为了构建高效的多边形定日镜仿真模型并确保计算过程的可行性,本文建立了以下基本假设:

1) 假设各定日镜反射率相同,且在整个仿真过程中保持不变;

2) 矩形定日镜是由多面矩形镜片组成的,五边形、六边形、八边形定日镜由多面三角形镜片组合而成;

3) 假设所有定日镜均精准瞄准圆柱形接收器表面的中心(赤道线)位置。不考虑由于机械传动或控制系统引起的跟踪误差,即假设定日镜处于理想跟踪状态;

4) 假设入射太阳光线遵循Buie光锥模型[16]

2.2. 仿真模型

2.2.1. 坐标系定义

本文使用两个右手坐标系描述定日镜的空间位置:全局坐标系(O-XYZ)和定日镜的局部坐标系(o-uvt)。全局坐标系以接收塔为原点O,正东方向为X轴,正北方向为Y轴,Z轴指向天顶方向。定日镜的局部坐标系原点(o)与定日镜中心重合,uov平面与定日镜表面平行,t轴垂直于uov平面,如图1所示。

Figure 1. The coordinate systems used in this paper

1. 本文使用的坐标系

2.2.2. 太阳模型和微定日镜表面模型

在全局坐标系中,太阳的方位角( θ )定义为太阳中心光线在地平面的投影沿逆时针方向与正东方向的夹角,高度角( ϕ )为太阳光线与地平线的夹角。因此,太阳入射光线向量可以用 S dir =( cosϕcosθ,cosϕsinθ,sinϕ ) 来表示,方向从太阳位置指向定日镜。由于太阳光并非一组理想的平行光,而是一束半角展宽为4.65 mrad的光锥,本文使用了Buie太阳模型[16],对入射光线进行离散采样。

为了将太阳光集中反射到接收器表面,定日镜需要实时根据太阳位置和瞄准点策略对自身姿态进行调整。以矩形定日镜为例,模型采用的定日镜法向调整方法如图2所示。根据模型假设,本文使用的瞄准点为圆柱形接收器表面的中心,由此可以确定标准的反射光线向量 R dir 。定日镜调整后的单位法向量 N 应平行于 S dir R dir 的角平分线。初始时,定日镜表面的局部坐标系与全局坐标系平行。定日镜调整后的单位法向量N t 的夹角为俯仰角( ϕ ), u u' 的夹角为方位角( θ )。定日镜先绕 t 逆时针旋转 θ ,再绕 u' 逆时针旋转 ϕ ,经过两次旋转完成瞄准。

为了模拟真实世界中定日镜反射层可能存在的制造缺陷,本文对不规则的定日镜微表面进行了建模,微定日镜表面的放大图如图2所示。微定日镜表面的局部法向量可以通过方位角偏差 α 和倾斜偏差 β 两个特征参数进行表示,其中 αU[ 0,2π ] βN( 0, σ 2 ) ,其概率密度分布函数如公式(1)所示。

{ PDF( α )= 1 2π PDF( β )= 1 2π σ exp( β 2 2 σ 2 ) (1)

Figure 2. A schematic of heliostat tracking and micro-surface normal deviation

2. 定日镜旋转和微表面法向偏移示意图

2.2.3. 光学效率指标

本文使用光学效率作为定日镜场整体的效率评价指标。首先定义定日镜 H j t i 时间的瞬时光学效率,如公式(2)所示:

η( H j , t i )= η cos η sb η ref η aa η inc (2)

公式(2)包含了所有的效率因子,包括余弦效率 η cos 、大气透射损失 η aa 、定日镜的反射率 η ref 、阴影和遮挡效率 η sb 和接收器的拦截效率 η inc 。余弦效率为定日镜法向量和太阳入射光线的点积,大气透射损失通过经验公式计算得到[17],定日镜反射率设为常数,阴影遮挡效率 η sb 和接收器的拦截效率 η inc 通过光线追踪实现,阴影遮挡效率定义为未被遮挡的光线数与追踪光线数的比值,拦截效率定义为被接收器接收的光线数与未被遮挡的光线数的比值。

全镜场的年均光学效率通过公式(3)计算得到,n表示n个计算时刻,m表示镜场中共有m面定日镜。

η= i=1 n j=1 m η( H j , t i ) n×m (3)

同时,为了更好地评价抛物聚焦型定日镜的聚光能力,使用接收器表面的总能量和能量峰值作为评估指标。第i个时刻,接收器表面的总能量通过公式(4)计算得到。

Pow i = j=1 m I i D ×η( H j , t i )× a j (4)

其中,j表示第j面定日镜,共有m面定日镜。 I D i (KW/m2)为第i时刻的太阳法向辐照度, a j 对应定日镜 H j 的反射面积。

2.3. Loop自适应三角剖分算法

Loop细分算法是一种基于面分裂的逼近型细分算法。这一细分算法尤其适合对三角形面片的分割。当前的五边形定日镜,如Stellio定日镜或六边形、八边形定日镜,正是由多个三角形镜片组合而成。

本文将Loop算法引入BMCRT算法框架中,用于实现定日镜的统一网格划分,获得微定日镜,其中心即双向光线跟踪过程中定日镜上的入射光锥和反射光锥的顶点。在保证计算精度的同时,有效提升整体仿真效率。Loop算法需要多次循环计算分割后的顶点坐标,由于定日镜本身存在旋转对称性,只需对一个三角形镜面进行三角剖分,其余镜面的微定日镜中心坐标可通过坐标变换计算得到,减少计算开销。

Loop自适应三角剖分算法可分为三个步骤。首先,初始化原始网格,选择其中一面三角形镜面作为划分的对象。如图3所示,在定日镜上将相邻的两个顶点与中心点相连,构建初始的三角形面片。随后,以该三角形为初始单元,进行多轮Loop三角剖分,直至网格划分精度满足预先设定的精度要求。随着细分迭代的不断进行,三角面片结构逐步细化,顶点数量持续增加,实现三角形镜面的精确刻画。最后,在完成三角网格细分后,充分利用规则多边形定日镜所具有的旋转对称性,对已细分三角形镜片进行坐标旋转变换,从而快速计算得到整个定日镜的微定日镜中心坐标,避免了大量的重复计算。

该方法解决了三角形镜片无法被矩形网格均匀划分的问题,实现了非矩形定日镜的微定日镜均匀划分,保障了非矩形定日镜建模的可靠性,为后续光学性能计算及光线追踪仿真提供了可靠而稳定的几何基础。

Figure 3. The flowchart of the adaptive triangular subdivision algorithm

3. 自适应三角剖分算法流程图

2.4. 抛物聚焦型定日镜几何建模

矩形定日镜一般由多面尺寸较小的矩形镜片组合而成,而五边形、六边形、八边形定日镜一般采用多面三角形镜片组合,因此需要对这两种类型的抛物聚焦型定日镜进行差异化建模。定日镜的局部坐标系仍遵守前文的定义。

矩形抛物聚焦型定日镜的几何模型如图4所示。假设定日镜有m行,n列,镜片之间的间距为d。在局部坐标系下,镜片的中心(记为点 P ij )坐标可以表示为 ( u i,j , v i,j ,0) u i,j v i,j 的计算方式如(6)所示,ij表示第i行第j列的镜片索引(i = 1, …, m, j = 1, ..., n)。

{ u i,j = 1 2 ( nW+( n1 )d )+( j 1 2 )W+( j1 )d v i,j = 1 2 ( mH+( m1 )d )( i 1 2 )H( i1 )d (5)

以定日镜中心为原点,在局部坐标系下建立满足方程为 t= u 2 + v 2 4f 的抛物面。其中,焦距f表示定日镜中心至接收器表面瞄准点之间的距离。抛物面是一个连续可导的函数,抛物面上任意点 Q ( u, v, t ) 处的法向量可以表示为 ( u 2f , v 2f ,1 ) 。抛物聚焦型定日镜满足镜片的中心恰好在抛物面上,将Pij代入抛物面方程,计算得到调整后的镜片中心坐标 ( u i,j , v i,j , u i,j 2 + v i,j 2 4f ) ,其对应的局部单位法向量为 ( u i,j 2f , v i,j 2f ,1 )

Figure4. A schematic of a rectangular parabolic heliostat

4. 矩形抛物聚焦型定日镜示意图

目前的多边形定日镜一般采用多面三角形镜片组合,使用三角形镜片的抛物聚焦型定日镜如图5所示(以六边形为例),其中 R 表示定日镜半径。在局部坐标系下,初始镜片的中心坐标可以表示为 ( u k , v k ,0 ) k表示第k个子镜面(k = 0, …., n − 1)。首先,根据正多边形的几何特性,根据公式(7)确定三角形的两个顶点 P 1 ( u k,1 , v k,1 ,0 ) P 2 ( u k,2 , v k,2 ,0 ) ,根据公式(8)确定镜片中心在抛物面上的坐标 C( u k , v k , t k ) ,其对应的局部单位法向量为 ( u k 2f , v k 2f ,1 )

{ u k,1 =Rcos( k2π n ), v k,1 =Rsin( k2π n ) u k,2 =Rcos( ( k+1 )2π n ), v k,2 =Rsin( ( k+1 )2π n ) (6)

{ u k = u k,1 + u k,2 3 v k = v k,1 + v k,2 3 t k = u k 2 + v k 2 4f (7)

Figure 5. A schematic of parabolic heliostat (taking hexagonal heliostat as an example)

5. 抛物聚焦型定日镜示意图(以六边形定日镜为例)

3. 实验与对比分析

本文通过双向蒙特卡洛光线跟踪算法计算定日镜的阴影遮挡以及截断效率等光学指标,在段晓悦提出的并行蒙特卡洛光线跟踪算法[4]基础上,增加了光学效率的计算,拓展并实现了对五边形、六边形、八边形等多种形状定日镜以及抛物聚焦型定日镜的支持。

双向蒙特卡洛光线跟踪算法已经在配备有运行频率为2.10 GHz的Intel(R)Core(TM)i7-13700 CPU和NVIDIA GeForce RTX 3060(12 G)GPU的台式PC上实现。代码使用C++和CUDA编写,使用64位Windows 11操作系统下的Visual Studio 2019进行编译管理。

定日镜场模拟参数如表1所示,其中定日镜尺寸表示矩形定日镜的长和宽。矩形定日镜由20面镜片构成,组成4*5的阵列。五边形、六边形、八-边形定日镜的面积与矩形定日镜的面积保持一致,均为45 m2。由此计算得到五边形定日镜的半径为4.35 m,六边形定日镜的半径为4.16 m,八边形定日镜的半径为3.99 m。

Table 1. Heliostat field parameters

1. 定日镜场参数

太阳

方位角

90˚

高度角

50.6˚

DNI

1.070 KW/m2

接收器

形状

圆柱形

位置

(0, 0, 120)

尺寸

H = 8 m,R = 3.5 m

定日镜

尺寸

L = 7.5 m,W = 6 m

安装高度

5 m

微定日镜尺寸

0.01 m * 0.01 m

反射率

0.92

法向扰动

1 mrad

3.1. 光线追踪收敛性验证

由于蒙特卡洛光线追踪本身具有随机性,当追踪光线数量不足时,BMCRT算法的光学效率仿真结果会表现出波动。在本节中,我们通过实验证明了算法的灵敏度,验证了光学效率在追踪光线数量充足时的收敛性。

首先,生成一个由2000面中型定日镜组成的DELSOL [18]镜场(见图6),定日镜参数与表1一致。选取4面位于接收器不同方向和距离的定日镜进行实验。对每面定日镜,设计了11种不同光线密度的仿真方案,光线密度从104根/m2增长到107根/m2,计算1月21日的日均光学效率。

Figure 6. Heliostat layout for algorithm sensitivity analysis

6. 用于算法灵敏度分析的定日镜场布局

Figure 7. Sensitivity analysis of four heliostats

7. 四面定日镜的灵敏度分析

为了研究蒙特卡洛光线追踪的随机性,我们对每个方案进行了50次重复实验,并记录了相应的日均光学效率。图7展示了定日镜的仿真结果随光线追踪密度的变化散点图,并叠加了箱线图标记的统计值,折线图表示每个方案计算的光学效率均值。在光线密度较小时,每次实验的计算结果波动较大,随着光线密度增加,计算结果逐渐收敛,当光线密度达到1024 × 104根/m2时,50次计算结果基本一致。尽管蒙特卡洛本身存在随机性,但在一定数量的光线密度下,结果表现出良好的收敛性。因此,该方法可以被视为定日镜场应用中模拟光学效率的一种基准方法。

3.2. 仿真程序正确性验证

为了验证基于GPU的光线追踪模拟方法的准确性,使用SolarPILOT [19]工具生成了一个包含1900个定日镜的虚拟定日镜场(如图8所示),镜场中的定日镜参数、太阳参数如表1所示,追踪460万条光线进行仿真。对比了BMCRT算法和SolTrace算法[20]在主要光学效率和执行时间方面的结果。

Figure 8. A heliostat field with 1900 heliostats generated in SolarPILOT

8. SolarPILOT生成的包含1900面定日镜的定日镜场

Table 2. Simulation results comparison between SolTrace and BMCRT

2. SolTrace与BMCRT仿真结果对比

SolTrace

BMCRT

相对误差(%)

阴影与余弦效率(%)

78.41

78.41

0

遮挡效率(%)

97.88

97.92

0.04

接收器拦截效率(%)

96.75

96.88

0.13

光学效率(%)

68.31

68.43

0.17

单定日镜计算时间(ms)

6000

5

表2的数据证明了本文使用的BMCRT算法和SolTrace工具的计算结果之间只有微小的光学效率差异,相对误差不超过0.2%,证明了BMCRT算法的正确性。在运行时间上,BMCRT算法追踪计算460万条光线只需5 ms,相比SolTrace提升了1200倍。

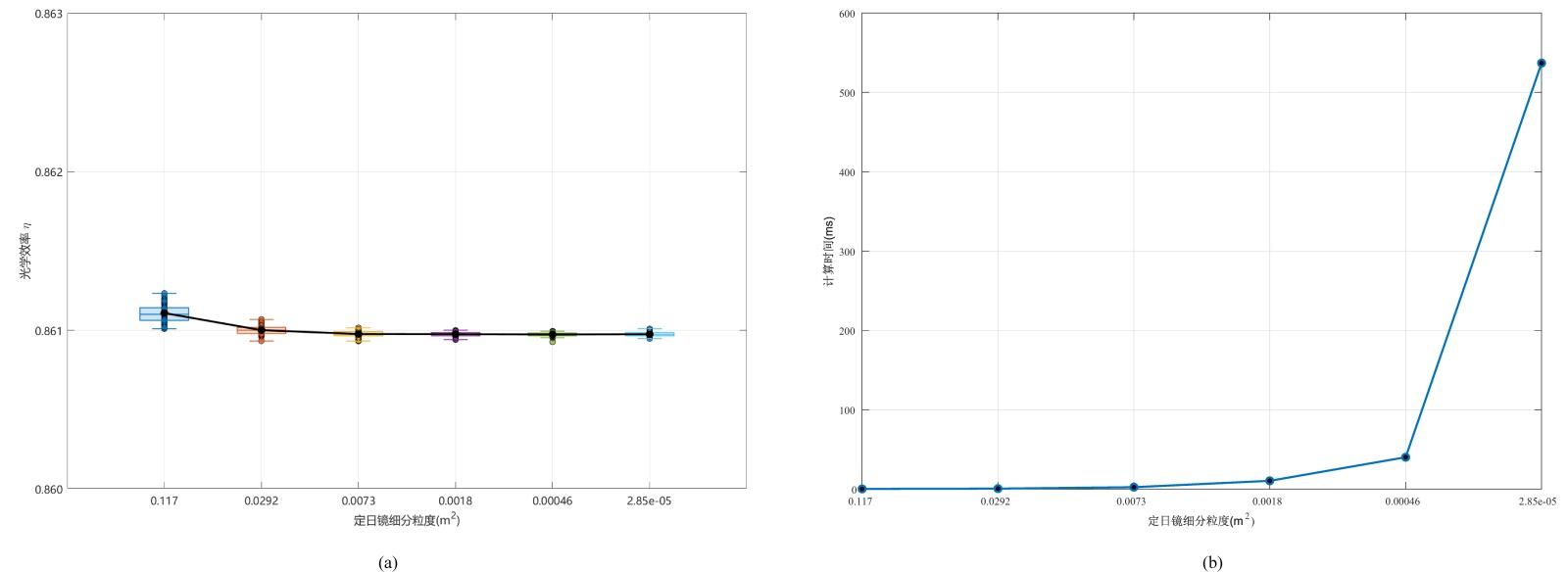
3.3. Loop细分粒度的敏感性分析

定日镜表面的微定日镜尺寸的选择直接影响到了光学效率的仿真精确性,合适的微定日镜尺寸选择可以在保证计算精确性的前提下提高计算效率。本节通过实验,以六边形为例,分别对比了细分粒度和仿真误差、计算效率之间的关系。实验的参数与表1一致,定日镜设置于接收塔正北方向250 m处,安装高度5 m,定日镜中心的全局坐标(0, 250, 5)。微定日镜的细分粒度选择0.117 m2 (三角形边长为0.52 m),0.0292 m2 (三角形边长为0.26 m),0.0073 m2 (三角形边长为0.13 m),0.0018 m2 (三角形边长为0.065 m),0.00046 m2 (三角形边长为0.0325 m),0.0000285 m2 (三角形边长为0.0081 m) 6个粒度,每个粒度进行50次独立重复实验。计算效率使用50次实验的平均计算时间进行衡量。

模拟结果如图9所示,定日镜的光学效率随微定日镜的细分粒度增加而收敛,同时计算时间逐渐增加。在划分精度为0.00046 m2时,定日镜的光学效率已经基本收敛,追踪光线1 × 108条,平均计算时间为40 ms。在划分精度为0.0000285 m2时,需要追踪计算16 × 108条光线,计算时间增加至500 ms。0.00046 m2的细分粒度兼顾了仿真精度和计算效率,可用于大规模定日镜场的仿真模拟。

使用Loop自适应细分不仅能获得等效于参数化网格的细分精度,且其自适应性确保了算法对不同几何形状定日镜的通用性,解决了参数化网格对于定日镜边缘的处理问题,更加精确地刻画了各种形状的定日镜表面。

3.4. 光斑对比

接收器表面的光斑大小可以直观地反映出平面型和抛物型定日镜的聚光能力差异。实验使用一面定日镜,设置于接收塔正北方向250 m,安装高度为5 m,即定日镜中心的全局坐标为(0, 250, 5),使用的定日镜参数、接收器参数和太阳参数与表1声明的保持一致。

通过对比分析平面型与抛物聚焦型定日镜在不同形状下的能量分布图,发现在相同的镜场布局和太阳位置条件下,抛物聚焦型定日镜在所有研究形状(矩形、五边形、六边形、八边形)中均展现出优于平面型定日镜的聚光能力。相比平面型定日镜,抛物聚焦型定日镜的光斑尺寸显著缩小,辐射能分布向瞄准点集中,有效降低了溢出损失。

图9进行深入分析,本文发现平面型定日镜的光斑边缘发散严重,辐射能分布密度较低,而抛物型设计有效抑制光锥发散,使得辐射能分布向瞄准点收缩,极大地提升了辐射能密度峰值和总体的辐射能。从数值上看,矩形平面定日镜的辐射能密度峰值为0.637 KW/m2,而抛物聚焦型在相同条件下将峰值提升至1.566 KW/m2,其余定日镜的峰值则是从0.8 KW/m2提升至3.5 KW/m2以上,最高可达4.9KW/m2

这种光斑尺寸的显著缩小直接优化了接收器表面的能量分布,从根源上降低了边缘的溢出损失,这一提升对距离接收塔较远的定日镜尤为关键,有力地验证了抛物型在提升接收器拦截效率方面的有效性。此外,仿真图像中平滑的辐射能分布进一步验证了BMCRT算法在处理复杂多边形拓扑时的鲁棒性。

3.5. 全镜场仿真数值结果对比

为系统研究定日镜几何形状对光学性能的影响,使用灵敏度分析中的相同DELSOL布局(图6),对四种多边形定日镜包括矩形、正五边形、正六边形和正八边形进行了对比分析。实验选取一年中的60个代表性时刻(每月21日当地时间的9:00、10:30、12:00、13:30和15:00)计算全镜场全年的光学效率。五边形、六边形和八边形定日镜的半径按照矩形定日镜的尺寸等面积换算得到,确保在所有实验中,定日镜的位置、镜面面积、地形条件以及太阳辐射与太阳位置参数保持一致,保证仿真结果仅反映定日镜形状差异所带来的影响。相关统计结果分别列于表3 (平面型定日镜)和表4 (抛物聚焦型定日镜)。

Table 3. Annual average efficiency of flat heliostats

3. 平面型定日镜年均效率指标

定日镜类型

η

η cos

η att

η sb

η inc

矩形

0.613

0.787

0.963

0.966

0.911

五边形

0.623

0.787

0.963

0.969

0.922

六边形

0.626

0.787

0.963

0.969

0.927

八边形

0.627

0.787

0.963

0.970

0.928

Table 4. Annual average efficiency of parabolic heliostats

4. 抛物聚焦型定日镜年均效率指标

定日镜类型

η

η cos

η att

η sb

η inc

矩形

0.673

0.787

0.963

0.970

0.998

五边形

0.674

0.787

0.963

0.969

0.997

六边形

0.676

0.787

0.963

0.971

0.998

八边形

0.672

0.787

0.963

0.971

0.992

对于平面型定日镜,结果表明,随着定日镜形状边数的增加,年均光学效率呈单调上升趋势。其中,阴影遮挡效率和拦截效率随边数增加而持续提升,其中正八边形在两项指标上均表现出最优性能。

Figure 9. Influence of heliostat subdivision size on optical efficiency and computation time. In (a), dots represent the results of 50 independent simulations for each subdivision size, boxplots illustrate the statistical distribution of optical efficiency (median, interquartile range, and extrema), and the solid line denotes the corresponding mean value. In (b), each data point represents the average simulation time obtained from 50 runs for a given subdivision size

9. 定日镜细分粒度对光学效率及计算时间的影响。(a) 中散点表示各细分粒度下50次独立重复实验计算结果,箱线图反映数据分布特征(中位数、四分位范围及极值),折线图表示对应的平均光学效率;(b) 中每个数据点表示相应细分粒度下50次计算的平均耗时

对于抛物聚焦型定日镜,仿真结果表明,其年均光学效率指标与平面型定日镜相比均显著提高,且不同形状的抛物聚焦型定日镜的拦截效率提升到了同一数量级。特别是矩形的抛物聚焦型定日镜,年均光学效率从0.613上升至0.673,同比增长9.79%,拦截效率从0.911上升至0.998,同比增长9.5%。通过分析矩形定日镜与其他多边形定日镜的抛物聚焦策略可以发现,矩形定日镜的多面镜片排布模式更加贴合抛物面,极大地提升了定日镜的聚光能力。

Figure 10. Flux density distributions for flat (a)~(d) and parabolic (e)~(h) heliostats. Rows from top to bottom represent rectangular, pentagonal, hexagonal, and octagonal heliostat, respectively

10. 平面型定日镜(a)~(d)与抛物聚焦型定日镜(e)~(h)通量密度结果对比。图中各行自上而下依次代表矩形、五边形、六边形及八边形定日镜

以上结果表明,抛物聚焦型定日镜在减少反射光锥发散,提升接收器拦截效率上起到了决定性的作用。尤其是距离接收塔较远的定日镜,光学效率得到了显著的提升。

4. 结论

本文通过双向光线追踪算法对抛物聚焦型定日镜进行仿真建模,以年均光学效率为整体的效率评估指标,接收器表面的辐射能密度分布作为聚光能力的评价指标,深入探讨了不同形状的抛物型定日镜的聚光性能表现。主要研究结论总结如下:

1) Loop自适应三角剖分算法能够灵活处理非矩形(如五边形、六边形)定日镜的表面离散。在确保划分精度的前提下,贴合定日镜本身的几何特性,实现非矩形定日镜的高精度离散。

2) 相比于平面定日镜,抛物聚焦型定日镜通过镜片的倾斜,形成一个抛物面,能够有效减少光束的发散。抛物面设计使得辐射能更加集中于瞄准点附近,显著提高了接收器的截断效率。

3) 基于GPU实现的双向蒙特卡罗光线追踪算法相比于CPU版本的SolTrace在同一平台下实现了1200倍的加速,为后续的优化计算提供了计算基础。

基金项目

项目受到国家自然科学基金(NO. 62003246)和浙江省自然科学基金(No.LQ21F030001)的联合支持。

NOTES

*通讯作者。

参考文献

[1] 中华人民共和国国家能源局. 光热发电产业亮出绿色中国名片[EB/OL].
https://www.nea.gov.cn/20251128/2d6e01507154430e89d3190ba1220cbe/c.html, 2025-11-28.
[2] 中华人民共和国国家能源局. 国家能源局发布2025年1-11月份全国电力工业统计数据[EB/OL].
https://www.nea.gov.cn/20251226/640306962d7d421b921b902f48a04b47/c.html, 2025-12-26.
[3] 李心, 许粲羚, 纪培栋, 等. 塔式光热电站集热场设计综述及经济性研究[J]. 南方能源建设, 2020, 7(2): 51-59.
[4] 段晓悦. 定日镜光斑辐射能密度分布仿真的并行Monte Carlo光线跟踪算法研究[D]: [硕士学位论文]. 杭州: 浙江大学, 2019.
[5] 何才透. 基于计算机图形学的光热太阳能建模, 仿真及应用研究[D]: [博士学位论文]. 杭州: 浙江大学, 2026.
[6] Keck, T., Schönfelder, V., Zwingmann, B., Gross, F., Balz, M., Siros, F., et al. (2022) High-Performance Stellio Heliostat for High Temperature Application. AIP Conference Proceedings, 2445, Article ID: 120014. [Google Scholar] [CrossRef
[7] Von Reeken, F., Weinrebe, G., Keck, T. and Balz, M. (2016) Heliostat Cost Optimization Study. AIP Conference Proceedings, 1734, Article ID: 160018. [Google Scholar] [CrossRef
[8] Schramek, P. and Mills, D.R. (2004) Heliostats for Maximum Ground Coverage. Energy, 29, 701-713. [Google Scholar] [CrossRef
[9] Carrizosa, E., Domínguez-Bravo, C., Fernández-Cara, E. and Quero, M. (2017) An Optimization Tool to Design the Field of a Solar Power Tower Plant Allowing Heliostats of Different Sizes. International Journal of Energy Research, 41, 1096-1107. [Google Scholar] [CrossRef
[10] Belaid, A., Filali, A., Gama, A., Bezza, B., Arrif, T. and Bouakba, M. (2020) Design Optimization of a Solar Tower Power Plant Heliostat Field by Considering Different Heliostat Shapes. International Journal of Energy Research, 44, 11524-11541. [Google Scholar] [CrossRef
[11] Belaid, A., Filali, A., Hassani, S., Arrif, T., Guermoui, M., Gama, A., et al. (2022) Heliostat Field Optimization and Comparisons between Biomimetic Spiral and Radial-Staggered Layouts for Different Heliostat Shapes. Solar Energy, 238, 162-177. [Google Scholar] [CrossRef
[12] Chen, Y.T., Chong, K.K., Bligh, T.P., Chen, L.C., Yunus, J., Kannan, K.S., et al. (2001) Non-Imaging, Focusing Heliostat. Solar Energy, 71, 155-164. [Google Scholar] [CrossRef
[13] Loghmari, I., Milidonis, K., Lipiński, W. and Papanicolas, C.N. (2025) Single-and Multi-Facet Variable-Focus Adaptive-Optics Heliostats: A Review. Solar Energy, 290, Article ID: 113339. [Google Scholar] [CrossRef
[14] Yuan, Y., Lin, X., Mi, X., Feng, J. and Zhao, Y. (2025) The Optimization of Heliostat Paraboloid Canting via Differentiable Ray Tracing. Solar Energy, 301, Article ID: 113901. [Google Scholar] [CrossRef
[15] Buck, R. and Teufel, E. (2009) Comparison and Optimization of Heliostat Canting Methods. Journal of Solar Energy Engineering, 131, Article ID: 011001. [Google Scholar] [CrossRef
[16] Buie, D., Monger, A.G. and Dey, C.J. (2003) Sunshape Distributions for Terrestrial Solar Simulations. Solar Energy, 74, 113-122. [Google Scholar] [CrossRef
[17] Leary, P.L. and Hankins, J.D. (1979) User’s Guide for MIRVAL: A Computer Code for Comparing Designs of Heliostat-Receiver Optics for Central Receiver Solar Power Plants.
[18] Kistler, B.L. (1986) A User’s Manual for DELSOL3: A Computer Code for Calculating the Optical Performance and Optimal System Design for Solar Thermal Central Receiver Plants. Sandia National Lab. (SNL-CA).
[19] Wagner, M.J. and Wendelin, T. (2018) SolarPILOT: A Power Tower Solar Field Layout and Characterization Tool. Solar Energy, 171, 185-196. [Google Scholar] [CrossRef
[20] Wendelin, T. (2003) SolTRACE: A New Optical Modeling Tool for Concentrating Solar Optics. Proceedings of the ASME 2003 International Solar Energy Conference. Solar Energy, Kohala Coast, 15-18 March 2003, 253-260. [Google Scholar] [CrossRef