具有多时变通信时延的网络化Euler-Lagrange系统神经网络容错一致性控制
Neural-Network-Based Fault-Tolerant Consensus Control for Networked Euler-Lagrange Systems with Multiple Time Varying Communication Delays
摘要: 本文研究了有向图下存在多个时变通信时延、执行器故障和通信故障的网络化Euler-Lagrange系统的容错一致性控制问题。通过引入辅助变量,根据不同时延的数量构建描述系统状态的增广系统。利用Lyapunov-Krasovskii方法,推导出多Euler-Lagrange系统达成一致性的充分条件。此外,结合输入–状态稳定性理论和自适应控制方法,设计了一种基于神经网络的分布式自适应控制器,以保证多智能体系统达成一致。最后,通过数值仿真进一步验证了所提控制策略的有效性。
Abstract: This paper investigates the fault-tolerant consensus control problem for networked Euler-Lagrange systems subject to multiple time-varying communication delays, actuator faults, and communication faults over a directed graph. An augmented system describing the system state is constructed according to the number of distinct delays by introducing auxiliary variables. Based on this, some sufficient conditions in terms of linear matrix inequality (LMI) for multiple Euler-Lagrange systems to achieve consensus are derived based on the Lyapunov-Krasovskii approach. Moreover, a neural-network-based distributed adaptive controller is developed to guarantee that such systems achieve consensus by integrating input-to-state stability theory with the adaptive control approach. Finally, the effectiveness of the proposed control strategy is further verified by a numerical simulation.
文章引用:付明洋, 郭鑫晨, 高阳. 具有多时变通信时延的网络化Euler-Lagrange系统神经网络容错一致性控制[J]. 应用数学进展, 2026, 15(3): 10-22. https://doi.org/10.12677/aam.2026.153083

1. 引言

近年来,多智能体系统协同控制引起了广泛关注,并在各个工程领域得到了广泛应用。与传统的单一控制系统不同,多智能体系统使各个智能体能够进行协作和通信,从而能够执行复杂的任务,例如交通控制[1]、智能电网中的最优控制[2]以及编队飞行[3]。作为协同控制中最基本的问题,一致性控制问题在过去十年中经历了重大发展,从早期的线性模型扩展到如今的非线性框架[4]。作为一类典型的非线性系统,Euler-Lagrange (EL)系统能够精确建模多种实际工程系统,如移动机器人、无人驾驶飞行器和航天器等,已成为一大研究热点[5]

在工程实现中,智能体在接收传感数据或通信数据时不可避免地会受延迟影响。值得注意的是,即使是极小的延迟也可能使原有稳定的闭环系统变得不稳定。因此,时滞系统的分析与控制具有至关重要的实际意义。目前,已有大量研究致力于解决带有通信延迟的多EL系统的一致性控制问题[6]。Nuno等[7]首次研究了具有恒定通信延迟的不确定EL系统的主从一致性控制问题,基于频域分析,提出了一种分布式控制器,仅需静态通信网络连通,便能保证一致性。Qin等[8]研究了类似问题,并提出两种分布式控制方案:一种保证跟踪误差一致最终有界,另一种确保跟踪误差渐近收敛到零。然而,在实际应用中,由于网络带宽受到外部干扰,通信延迟往往是时变的,使得理论分析复杂。Sun等[9]提出了基于Lyapunov-Krasovskii泛函方法的分布式自适应控制策略,可以解决时变延迟下多EL系统的一致性控制问题。上述研究中的通信延迟主要是同质的且研究结果基于理想执行器和通信网络这一普遍假设,本文研究的是一种更一般的场景,即通信网络存在多个不同时变延迟。

在实际应用中,执行器老化、环境干扰和网络攻击等因素不可避免地会导致执行器和通信同时出现故障。因此,网络化EL系统的容错一致性控制问题已成为研究热点。如针对一类存在执行器故障的多EL系统,Li等[10]提出了一种事件触发控制方案,确保每个跟随者的输出能够跟踪领导者的输出。为了进一步实现有效的故障识别,Lin等[11]提出了一些故障估计器。特别针对此类EL系统,Chen等[12]提出一种自适应执行器故障估计算法,该算法能够估计执行器能效损失和系统广义速度。此外,Long等[13]考虑了通信故障,并设计相应的控制方案来保证系统的性能。

基于上述讨论,现有研究成果中很少有同时考虑通信延迟、执行器故障和通信故障,而这些因素往往会削弱系统的固有性能。本文致力于研究在有向通信拓扑下,具有多重时变通信延迟、执行器故障和通信故障的多不确定EL系统的容错一致性控制问题。本文的主要贡献总结如下:1) 通信网络中考虑多个不同的时变延迟,通过引入辅助变量,基于不同延迟的数量构建新的增广系统。2) 利用神经网络逼近由通信故障引起的未知项,设计一种分布式自适应控制器,有效补偿执行器故障和通信故障的负面影响。3) 通过选择适当的控制器增益和参数自适应律,推导出一些充分条件来保证所构建的增广系统具有输入–状态稳定性。

2. 预备知识与问题表述

本节主要介绍相关基础知识、假设与引理,并明确研究问题。

2.1. 通信拓扑

考虑由 N 个EL系统组成的多智能体系统,其通信拓扑用有向图 G={ V,E,A } 表示,其中 V={ 1,2,,N } 为顶点集, EV×V 为边集。边 ( i,j )E 表示智能体 i 可接收来自智能体 j 的信息,反之则不成立。邻接矩阵定义为 A= ( a ij ) N×N ,若 ( j,i )E ,则 a ij >0 ,否则 a ij =0 。在通信网络中自环不存在,即对于 iV 均有 a ii =0 。智能体 i 的所有邻居组成的集合记为 N i ={ jV:( j,i )E } 。记 C=diag( c 1 , c 2 ,, c N ) ,其中对 iV c i = j=1 N a ij ,则Laplacian矩阵 L 定义为 L=CA

假设1. 有向图G包含一个有向生成树。

2.2. 系统模型

考虑以下EL系统动力学模型

M i ( q i ) q ¨ i + C i ( q i , q ˙ i ) q ˙ i +G( q i )= τ i F ,    iV (1)

其中, q i , q ˙ i , q ¨ i n 分别表示广义位置向量、速度向量和加速度向量。 C i ( q i , q ˙ i ) n×n 是科里奥利和离心力矩阵, G i ( q i ) n 是重力向量, τ i F = τ i + f i ( t ) n 表示执行器的输出,其中 τ i 是待设计的控制器, f i ( t ) 是偏置故障。一般情况下,EL系统动力学模型具有如下性质[14]

性质1. 矩阵 M ˙ i ( q i )2 C i ( q i , q ˙ i ) 是斜对称的。

性质2. 存在若干常数 k m , k m , k c k g ,使得 k m I n M i ( q i ) k m I n C i ( q i , q ˙ i ) k c q ˙ i G i ( q i ) k g

性质3. 对任意 x,y n 如下等式成立:

M i ( q i )x+ C i ( q i , q ˙ i )y+G( q i )= Y i ( q i , q ˙ i ,x,y ) Θ i

其中, Y i ( q i , q ˙ i ,x,y ) n×p 为已知回归矩阵, Θ i p 是由EL系统不确定参数组成的常数向量。

假设2. 偏置故障及其导数均为未知、时变但有界的,且满足 f i ( t ) f i ,其中 f i 是未知正常数。

2.3. 问题描述

在通信网络中,信息传输过程中存在多个通信时延,且智能体间所有通信链路均受未知故障影响,一致性误差定义为

q ri = j N i a ij F ( t )( q j ( t τ ij ( t ) ) q i ( t τ ij ( t ) ) ) (2)

其中 a ij F ( t )= a ij +Δ a ij ( t ) Δ a ij ( t ) 是通信故障引发的权重变化; τ ij ( t ) 是从智能体 j 到智能体 i 的时变通信时延。存在 r 个不同的时延,记为 τ k ( t ){ τ ij :i,jV } ,显然有 rN( N1 ) 。随后,Laplacian矩阵 L F ( t ) 可根据时延的数量分解为 r 个矩阵 L k F ( t )= ( l kij F ( t ) ) N×N ,( i,jV,k=1,2,,r ) ,其中 l kij F ( t ) 的定义为

l kij F ( t )={ a ij F ( t ), ij,  τ k = τ ij , 0, ij,  τ k τ ij , j=1,ij N l kij F ( t ), i=j.

显然, k=1 r L k F ( t ) = L F ( t ) L k F ( t ) 1 N = L F ( t ) 1 N = 0 N 成立。

假设3. 通信故障 Δ a ij ( t ) 及其导数均是有界的。此外, a ij F ( t ) 的符号与 a ij 保持一致。

假设4. 时延 τ k ( t ) 满足 0 τ k ( t ) p k ,| τ ˙ k ( t ) | q k ,k=1,2,,r ,其中 p k q k 均为正常数。此外, τ ¨ k ( t ) 也是有界的。

由于一致性不可避免地受到通信故障及时延的影响。根据 a ij F ( t ) 的定义,Laplacian矩阵可分解为 L F ( t )=L+ΔL( t ) L k F ( t )= L k +Δ L k ( t ) L L k 表示无通信故障时的Laplacian矩阵,而 ΔL( t ) Δ L k ( t ) 代表通信故障引入的不确定性。显然, k=1 r L k =L k=1 r Δ L k ( t ) =ΔL( t ) Δ L k ( t ) 1 N =ΔL( t ) 1 N = 0 N 同样成立。由假设3可知,存在正常数 a ,使得 Δ L T ( t )ΔL( t ) a 2 I N Δ L k T ( t )Δ L k ( t ) a 2 I N

综上,本文考虑含执行器故障、通信故障及通信时延的多不确定EL系统的容错一致性控制问题,研究的控制目标是通过设计自适应控制器 τ i ,确保多智能体系统达成一致性,即对任意 i,jV ,满足

{ lim t ( q i q j )=0 lim t q ˙ i =0.

为便于后续理论分析,引入以下引理。

引理1. [15]在假设1下,Laplacian矩阵 L 仅有一个零特征值,其余特征值的实部均为正。

引理2. [16]设函数 x( t ):[ 0, )R 一阶连续可导且有界,若 x ¨ ( t ) 存在且有界,则 lim t x ˙ ( t )=0

引理3. [17] S n维对称分块矩阵,其中 S 11 r×r S 12 r×( nr ) S 22 ( nr )×( nr ) ,则以下三个条件等价: S<0 S 11 <0 S 22 S 12 T S 11 1 S 12 <0 S 22 <0 S 11 S 12 S 22 1 S 12 T <0

引理4. [18]对任意实值可微向量函数 x( t ) n 、任意常正定矩阵 W= W T n×n 及满足 0 τ k ( t ) p k 的时延 τ k ( t ) ,有

t τ k ( t ) t x ˙ T ( s )W x ˙ ( s )ds p k 1 [ x( t )x( t τ k ( t ) ) ] T W[ x( t )x( t τ k ( t ) ) ],   t0.

引理5. [19] G,R,H M( t ) 为若干维度的实矩阵,其中G为对称矩阵,且 M T ( t )M( t )I 。则矩阵不等式 G+RM( t )H+ ( RM( t )H ) T <0 成立,当且仅当存在正标量 ε ,使得 G+ ε 1 R R T +ε H T H<0 成立。

3. 主要结果

本节提出一种分布式自适应控制器,用于解决受执行器故障、通信故障及通信延迟影响的多EL系统中的容错一致性控制问题。

首先,定义以下辅助变量

s i = q ˙ i q ri . (3)

根据(2)和(3),可得出

q ˙ = k=1 r ( L k F ( t ) I n )q( t τ k ( t ) ) +s = k=1 r ( ( L k +Δ L k ( t ) ) I n )q( t τ k ( t ) ) +s (4)

其中 q= ( q 1 T   q 2 T    q N T ) T s= ( s 1 T   s 2 T    s N T ) T ,考虑以下闭环系统。

q ˙ = k=1 r ( ( L k +Δ L k ( t ) ) I n )q ( t τ k ( t ) ).

为便于性能分析,定义一个正交矩阵 W=( W 1   W 2 ) N×N ,其中 W 1 N×( N1 ) W 2 = 1 N 1 N 是矩阵末列,引入正交变换 ( W T I n )q= ( x T   y T ) T x 1 =( W 1 T I n )q y=( W 2 T I n )q= q 1 + q 2 ++ q N N 。由此得出

{ x ˙ = k=1 r ( ( L ^ k +Δ L ^ k ( t ) ) I n )x( t τ k ( t ) ) y ˙ = k=1 r ( ( L ˜ k +Δ L ˜ k ( t ) ) I n )x( t τ k ( t ) ) (5)

其中

L ^ k = W 1 T L k W 1 ( N1 )×( N1 ) ,   L ˜ k = W 2 T L k W 1 ( N1 ) Δ L ^ k ( t )= W 1 T Δ L k ( t ) W 1 ( N1 )×( N1 ) ,  Δ L ˜ k ( t )= W 2 T Δ L k ( t ) W 1 ( N1 ) .

φ k =xx( t τ k ( t ) ) ,则(5)中的首个方程重写为

x ˙ =( ( L ^ +Δ L ^ ( t ) ) I n )x+ k=1 r ( ( L ^ k +Δ L ^ k ( t ) ) I n ) φ k (6)

其中 L ^ = k=1 r L ^ k = k=1 r W 1 T L k W 1 = W 1 T L W 1 Δ L ^ ( t )= k=1 r Δ L ^ k ( t ) = W 1 T ΔL( t ) W 1 ,根据上述分析,得出

Δ L ^ k T ( t )Δ L ^ k ( t )= W 1 T Δ L k T ( t ) W 1 W 1 T Δ L k ( t ) W 1 λ ¯ W 1 W 1 T W 1 T Δ L k T ( t )Δ L k ( t ) W 1 a 2 λ ¯ W 1 W 1 T W 1 T W 1 = a 2 λ ¯ W 1 W 1 T I N1 .

同理, Δ L ^ T ( t )Δ L ^ ( t ) a 2 λ ¯ W 1 W 1 T I N1 。本文的主要结果如下。

定理1. 在假设1、3、4成立的前提下,闭环系统(6)实现渐近稳定的充分条件为:对于给定的 p k 和满足 0 q k <1 q k (其中 k=1,2,,r ),存在正标量 ε 、正常数 a 以及对称正定矩阵 P, Q k , R k ( N1 )×( N1 ) ,其中 ( k=1,2,,r ) ,使得下述线性矩阵不等式成立。此时,多EL系统可以实现一致性。

( Φ ^ +ε a 2 λ ¯ W 1 W 1 T I Ψ ^ Ψ 1 Π Ψ 2 εI )<0 (7)

其中

Φ ^ =( Φ ^ 11 Φ ^ 12 Φ 22 ),     Φ ^ 11 =P L ^ L ^ T P+ k=1 r q k Q k Φ ^ 12 =( P L ^ 1 +( 1 q 1 ) Q 1   P L ^ 2 +( 1 q 2 ) Q 2     P L ^ r +( 1 q r ) Q r ) Φ 22 =diag( ( q 1 1 ) Q 1 p 1 1 R 1 , ( q 2 1 ) Q 2 p 2 1 R 2 , ( q r 1 ) Q r p r 1 R r ) Π=diag( p 1 1 R 1 ,  p 2 1 R 2 ,  p r 1 R r ) Ψ ^ =( L ^ T R 1 L ^ T R 2 L ^ T R r L ^ 1 T R 1 L ^ 1 T R 2 L ^ 1 T R r L ^ r T R 1 L ^ r T R 2 L ^ r T R r )

Ψ 1 = ( P P P 0 0 0 0 0 0 ) ( r+1 )×( r+1 ) ,     Ψ 2 = ( R 1 R 1 R 1 R 2 R 2 R 2 R r R r R r ) r×( r+1 ) .

证明定义Lyapunov-Krasovskii函数

V= V 1 + V 2 + V 3

其中

V 1 = x T ( P I n )x V 2 = k=1 r t τ k ( t ) t x T ( θ )( Q k I n )x( θ )dθ V 3 = k=1 r τ k ( t ) 0 t+s t x ˙ T ( θ )( R k I n ) x ˙ ( θ )dθds .

分别沿系统(6)的轨迹对求导 V i ,( i=1,2,3 ) ,可得

V ˙ 1 = x ˙ T ( P I n )x+ x T ( P I n ) x ˙ = x T ( ( P L ^ L ^ T PPΔ L ^ ( t )Δ L ^ T ( t )P ) I n )x  +2 k=1 r x T ( ( P L ^ k +PΔ L ^ k ( t ) ) I n ) φ k

V ˙ 2 = k=1 r x T ( Q k I n )x k=1 r ( 1 τ ˙ k ( t ) ) x T ( t τ k ( t ) )( Q k I n )x( t τ k ( t ) ) k=1 r x T ( Q k I n )x k=1 r ( 1 q k ) x T ( t τ k ( t ) )( Q k I n )x( t τ k ( t ) ) = k=1 r x T ( Q k I n )x k=1 r ( 1 q k ) ( x φ k ) T ( Q k I n )( x φ k ) V ˙ 3 = k=1 r τ k ( t ) x ˙ T ( R k I n ) x ˙ k=1 r t τ k ( t ) t x ˙ T ( s )( R k I n ) x ˙ ( s )ds .

根据引理4得出

V ˙ 3 k=1 r p k x ˙ T ( R k I n ) x ˙ k=1 r p k 1 ( xx( t τ k ( t ) ) ) T ( R k I n )( xx( t τ k ( t ) ) ) = k=1 r p k x ˙ T ( R k I n ) x ˙ k=1 r p k 1 φ k T ( R k I n ) φ k .

V ˙ 可重写如下

V ˙ x T ( ( P L ^ L ^ T PPΔ L ^ ( t )Δ L ^ T ( t )P+ k=1 r q k Q k ) I n )x  +2 k=1 r x T ( ( P L ^ k +PΔ L ^ k ( t )+( 1 q k ) Q k ) I n ) φ k  + k=1 r φ k T ( ( ( 1 q k ) Q k p k 1 R k ) I n ) φ k + k=1 r p k x ˙ T ( R k I n ) x ˙ . (8)

ξ= ( x T   φ 1 T    φ r T ) T 得到

k=1 r p k x ˙ T ( R k I n ) x ˙ = ξ T ( ( Ψ Π 1 Ψ T ) I n )ξ

其中

Ψ=( ( L ^ T +Δ L ^ T ( t ) ) R 1 ( L ^ T +Δ L ^ T ( t ) ) R 2 ( L ^ T +Δ L ^ T ( t ) ) R r ( L ^ 1 T +Δ L ^ 1 T ( t ) ) R 1 ( L ^ 1 T +Δ L ^ 1 T ( t ) ) R 2 ( L ^ 1 T +Δ L ^ 1 T ( t ) ) R r ( L ^ r T +Δ L ^ r T ( t ) ) R 1 ( L ^ r T +Δ L ^ r T ( t ) ) R 2 ( L ^ r T +Δ L ^ r T ( t ) ) R r ) Π=diag( p 1 1 R 1 ,  p 2 1 R 2 ,  p r 1 R r ).

因此,不等式(8)可重新表述为

V ˙ ξ T ( ( Φ+Ψ Π 1 Ψ T ) I n )ξ (9)

其中

Φ=( Φ 11 Φ 12 Φ 22 ),     Φ 11 =P L ^ L ^ T PPΔ L ^ ( t )Δ L ^ T ( t )P+ k=1 r q k Q k Φ 12 =( P( L ^ 1 +Δ L ^ 1 ( t ) )+( 1 q 1 ) Q 1   P( L ^ 2 +Δ L ^ 2 ( t ) )+( 1 q 2 ) Q 2    P( L ^ r +Δ L ^ r ( t ) )+( 1 q r ) Q r ) Φ 22 =diag( ( q 1 1 ) Q 1 p 1 1 R 1 , ( q 2 1 ) Q 2 p 2 1 R 2 , ( q r 1 ) Q r p r 1 R r ).

根据引理3,不等式 Φ+Ψ Π 1 Ψ T <0 等价于 ( Φ Ψ Π )<0 ,该类不等式等价于

( Φ Ψ Π )=( Φ ^ Ψ ^ Π )+( a λ ¯ W 1 W 1 T )MF( t )H+( a λ ¯ W 1 W 1 T ) ( MF( t )H ) T <0 (10)

其中 F( t )= ( a λ ¯ W 1 W 1 T ) 1 diag( Δ L ^ ( t ), Δ L ^ 1 ( t ), , Δ L ^ r ( t ), Δ L ^ ( t ), , Δ L ^ ( t ) )

H=( I ( r+1 )×( N1 ) 0 0 0 ),    M=( Ψ 1 0 Ψ 2 0 )= ( P P P 0 0 0 0 0 0 0 0 0 0 0 0 R 1 R 1 R 1 0 0 R r R r R r 0 0 ) ( 2r+1 )×( 2r+1 )

计算可知 F T ( t )F( t )I 。根据引理5,当且仅当存在某个正标量 ε 使得条件成立时,得出(10)成立。

( Φ ^ Ψ ^ Π )+ ε 1 M M T +ε a 2 λ ¯ W 1 W 1 T H T H<0. (11)

再次应用引理3,(7)等价于(11)。因此,若不等式(7)成立,则由(9)可得 V ˙ 0 。则 x,x( t τ k ( t ) ) φ k 均有界,根据(6)和假设3, x ˙ , x ¨ , x ˙ ( t τ k ( t ) ) φ ˙ k 有界。分别计算 V 1 , V 2 V 3 二阶导数,可得

V ¨ 1 = x ¨ T ( P I n )x+ x ˙ T ( P I n ) x ˙ + x ˙ T ( P I n ) x ˙ + x T ( P I n ) x ¨ =2 x ¨ T ( P I n )x+2 x ˙ T ( P I n ) x ˙ V ¨ 2 =2 k=1 r x ˙ T ( Q k I n )x + k=1 r τ ¨ k ( t ) ( x φ k ) T ( Q k I n )( x φ k )  2 k=1 r ( 1 τ ˙ k ( t ) ) ( x ˙ φ ˙ k ) T ( Q k I n )( x φ k ) V ¨ 3 = k=1 r τ ˙ k ( t ) x ˙ T ( R k I n ) x ˙ +2 k=1 r τ k ( t ) x ¨ T ( R k I n ) x ˙  ( k=1 r x ˙ T ( R k I n ) x ˙ k=1 r ( 1 τ ˙ k ( t ) ) x ˙ T ( t τ k ( t ) )( R k I n ) x ˙ ( t τ k ( t ) ) ).

因此, V ¨ = V ¨ 1 + V ¨ 2 + V ¨ 3 是有界的,根据引理2可知,当 t V ˙ 0 ,即 x,x( t τ k ( t ) )0 。由此可得

lim t ( W T I n )q=( 0 y ) lim t q=( W I n )( 0 y )= 1 N i=1 N q i 1 N lim t ( W T I n ) q ˙ = lim t ( x ˙ y ˙ )=0 lim t q ˙ =0.

对于 iV lim t q i = 1 N i=1 N q i lim t q ˙ i =0 证明完毕。

1在使用内点法求解线性矩阵不等式时,其计算复杂度是关于决策变量数 m 和矩阵维数 n 的多项式复杂度,单次迭代的成本为 O( m 2 n 2 +m n 3 + m 3 ) 。针对文中的(7),矩阵维数 n=( N1 )( 3r+1 ) m=Nr( N1 )+N ( N1 )/2 +2 ,其中 N 为节点数, r 为不同时延个数。当网络规模变大时,求解时间将

呈多项式级增长,可能无法满足大规模系统(如智能电网、物联网等)的实时设计需求。因此,本文提出的方法适用于网络节点数量较少的情况或离线设计场景,而对于大规模网络化系统的实时控制,必须寻求计算效率更高的简化策略或分布式求解。由于本文考虑的为有向通信网络,Laplacian矩阵不能通过正交变换转化为对角矩阵,但是可以转化成Jordan矩阵。因此可参照文献[20]的思路,将Laplacian矩阵特征值的实部和虚部分开讨论,从而实现分布式求解。后续将对此进行深入研究,验证其可行性。

下一步设计自适应控制器,使 s 趋近于零。根据性质3,存在已知回归矩阵 Y i = Y i ( q i , q ˙ i , q ri , q ˙ ri ) 与未知常向量 Θ i ,使得 M i ( q i ) q ˙ ri + C i ( q i , q ˙ i ) q ri + G i ( q i )= Y i Θ i 成立。由于 q ˙ ri 未知,因此令 Y i = Y i ( q i , q ˙ i , q ri ,0 ) ,从而得到

C i ( q i , q ˙ i ) q ri + G i ( q i )= Y i Θ i . (12)

结合(1)、(3)和(12)可知

M i ( q i ) s ˙ i + C i ( q i , q ˙ i ) s i = τ i + f i ( t ) Y i Θ i M i ( q i ) q ˙ ri . (13)

利用神经网络逼近未知非线性项 M i ( q i ) q ˙ ri ,即 M i ( q i ) q ˙ ri = ω i T χ i ( q i , q ri , v ri )+ ς i 其中, ω i 为逼近权重, χ i ( q i , q ri , v ri ) 为激活函数, ς i 为满足 ς i ς ¯ i 的逼近误差, ς ¯ i 为未知正常数。 v ri = j N i a ij F ( t )( q ˙ j ( t τ ij ( t ) ) q ˙ i ( t τ ij ( t ) ) ) 表示第 i 个智能体接收到的相对速度。补偿项可表示为 ω ^ i T χ i ( q i , q ri , v ri ) ,其中 ω ^ i 为逼近权重的估计值。

根据上述分析,本文设计一种基于神经网络的分布式自适应控制策略:

{ τ i =k s i + Y i Θ ^ i + ω ^ i T χ i ( q i , q ri , v ri ) f ^ i sign( s i ) ς ^ i sign( s i ) Θ ^ ˙ i = Γ 1i Y i T s i ,      ω ^ ˙ i( v ) = Γ 2i χ i ( q i , q ri , v ri ) s i( v ) f ^ ˙ i = κ 1i s i ,      ς ^ ˙ i = κ 2i s i (14)

其中, Θ ^ i 为未知参数向量 Θ i 的估计值; f ^ i ς ^ i 分别为故障上界与逼近误差的估计值。 ω ^ i( v ) 是矩阵 ω ^ i 的第 v 列构成的向量, s i( v ) 是向量 s i 的第 v 个元素; k>0, κ 1i >0, κ 2i >0 以及 Γ 1i >0, Γ 2i >0 为控制器增益。

定理2考虑受执行器故障、通信故障与通信延迟影响的多EL系统(1)。在假设1、2、3、4成立前提下,所提出的分布式自适应控制策略(14)可以解决一致性问题。

证明将控制器(14)代入(13)式可得

M i ( q i ) s ˙ i + C i ( q i , q ˙ i ) s i =k s i f ^ i sign( s i )+ f i ( t )+ Y i Θ ˜ i + ω ˜ i T χ i ( q i , q ri , v ri ) ς ^ i sign( s i ) ς i (15)

其中 Θ ˜ i = Θ ^ i Θ i ω ˜ i = ω ^ i ω i 为估计误差。定义Lyapunov函数

V i = 1 2 ( s i T M i ( q i ) s i + Θ ˜ i T Γ 1i 1 Θ ˜ i + v=1 n ω ˜ i( v ) T Γ 2i 1 ω ˜ i( v ) + f ˜ i 2 κ 1i + ς ˜ i 2 κ 2i )

其中 f ˜ i = f ^ i f i ς ˜ i = ς ^ i ς ¯ i 根据性质1和(15),可推导出 V i 满足

V ˙ i = s i T M i ( q i ) s ˙ i + 1 2 s i T M ˙ i ( q i ) s i + Θ ˜ i T Γ 1i 1 Θ ˜ ˙ i + v=1 n ω ˜ i( v ) T Γ 2i 1 ω ˜ ˙ i( v ) + f ˜ i f ˜ ˙ i κ 1i + ς ˜ i ς ˜ ˙ i κ 2i = s i T ( C i ( q i , q ˙ i ) s i k s i f ^ i sign( s i )+ f i ( t )+ Y i Θ ˜ i + ω ˜ i T χ i ( q i , q ri , v ri ) ς ^ i sign( s i ) ς i )  + 1 2 s i T M ˙ i ( q i ) s i + Θ ˜ i T Γ 1i 1 Θ ^ ˙ i + v=1 n ω ˜ i( v ) T Γ 2i 1 ω ^ ˙ i( v ) + f ˜ i f ^ ˙ i κ 1i + ς ˜ i ς ^ ˙ i κ 2i =k s i 2 f ^ i s i 1 + s i T f i ( t )+ f ˜ i s i ς ^ i s i 1 s i T ς i + ς ˜ i s i k s i 2 f ^ i s i + f i s i + f ˜ i s i ς ^ i s i + ς ¯ i s i + ς ˜ i s i =k s i 2 0.

V i 有界,此时 s i , Θ ˜ i , ω ˜ i( v ) , f ˜ i ς ˜ i 同样有界。对 V i 求二阶导数,可得

V ¨ i =2k s i T s ˙ i f ^ ˙ i s i 1 f ^ i s ˙ i T sign( s i )+ s ˙ i T f i ( t )+ s i T f ˙ i ( t )+ f ˜ ˙ i s i + f ˜ i d s i dt   ς ^ ˙ i s i 1 ς ^ i s ˙ i T sign( s i ) s ˙ i T ς i s i T ς ˙ i + ς ˜ ˙ i s i + ς ˜ i d s i dt .

由于 s i 有界,由式(3)可知 q ˙ i q ri 均有界。因此,结合式(2)、假设3与假设4可得 q ˙ ri 有界。根据性质2与式(12),得出 Y i 有界;再由式(15)可知 s ˙ i 有界,进而 V ¨ i 有界。根据引理2,当 t V ˙ i 0 ,即 s i 0,iV 。结合定理1可知,式(4)对应的系统满足输入–状态稳定性,证明完毕。

注2:在使用神经网络逼近非线性函数时,激活函数通常选取为高斯函数。针对高斯函数中的中心和宽度的选取应遵循以下原则:1) 中心参数的选取应覆盖输入空间的动态范围,反应系统状态点的分布;常用的设计方法为:均匀分布法(经验法),K-Means聚类法,随机采样法,最小二乘法,自适应在线学习法等。2) 宽度参数的选取应保证相邻基函数之间有适当的重叠,以确保平滑逼近。本文仿真部分从数据中随机选取样本作为中心,宽度与文献[21]中一致,设为统一值。

4. 仿真

考虑由四台两连杆机械臂组成的多智能体系统,其通信拓扑与通信权重如图1所示(无通信故障时)。设 τ 1 ( t )=0.4sin( t )+0.4 τ 2 ( t )=0.2cos( t )+0.2 为两种不同的通信延迟。基于假设4,可令 p 1 = p 2 =1 q 1 =0.4, q 2 =0.2 。求解线性矩阵不等式(7)可得 ε=62.0881 a 2 =0.3516 ,这表明由通信故障引入的不确定性 ΔL( t ) Δ L k ( t ) 必须满足 Δ L T ( t )ΔL( t )0.3516 I N Δ L k T ( t )Δ L k ( t )0.3516 I N ,取 Δ a ij =0.1

Figure 1. A directed communication topology of four arms consisting of communication delays

1. 含通信延迟的四台机械臂有向通信拓扑

双连杆机械臂的动力学特性如下。

( M i 11 M i 12 M i 21 M i 22 )( q ¨ i1 q ¨ i2 )+( b i1 v i2 b i1 ( v i1 + v i2 ) b i1 v i1 0 )( v i1 v i2 )+( b i2 + b i3 b i2 )=( τ i1 + f i1 ( t ) τ i2 + f i2 ( t ) )

其中

M i 11 = m i1 + m i2 +2 m i3 cos q i2 ,   M i 12 = M i 21 = m i2 + m i3 cos q i2 M i 22 = m i2 ,   b i1 = m i3 sin q i2 ,   b i2 = m i5 gcos( q i1 + q i2 ),   b i3 = m i4 gcos q i1 .

因此,未知常数向量为 Θ i = ( m i1   m i2   m i3   m i4   m i5 ) T ,令 Θ 1 = ( 0.3 0.1 0.7 3.1 2.7 ) T Θ 2 = ( 1.3 1 1.8 0.7 1 ) T Θ 3 = ( 0.9 0.6 1 0.8 1.2 ) T Θ 4 = ( 1 1.5 3 2.5 ) T 。假设执行器存在由 f i1 ( t )=sin( t ) f i2 ( t )=0.6cos( t ) 给出的偏置故障。设神经网络中的神经元节点数量为3或5,激活函数记为 χ i ( Ω )= ( χ i( 1 ) ( Ω )   χ i( 3 ) ( Ω ) ) T

χ i( m ) ( Ω )= e Ω c i( m ) 2 σ i( m ) 2 ,    m=1,2,3

其中 Ω= ( q i   q ri   v ri ) T c i( m ) σ i( m ) 分别为高斯函数的中心与宽度。仿真中,设 σ i( m ) =0.8 c i( m ) = ( 1,0.20.3,0.30,0 ) T 。根据定理2,控制参数选取为 k=2 κ 1i = κ 2i =1 Γ 1i = Γ 2i =I,( i=1,2,3,4 )

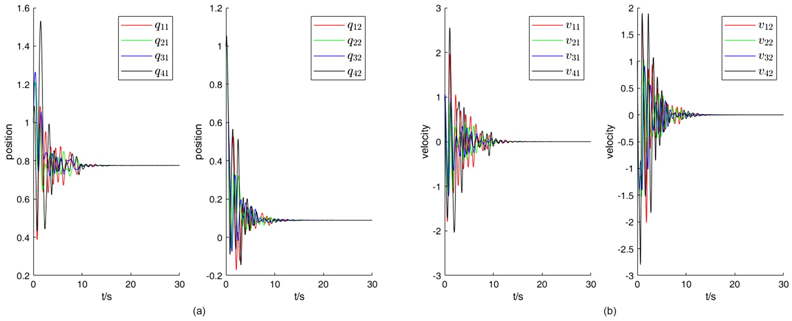
Figure 2. (a) The positions qi of four arms at 3 nodes; (b) The velocities vi of four arms at 3 nodes

2. (a)节点为3时的四台机械臂位置qi变化曲线;(b)节点为3时的四台机械臂速度vi变化曲线

Figure 3. (a) The positions qi of four arms at 5 nodes; (b) The velocities vi of four arms at 5 nodes

3. (a)节点为5时的四台机械臂位置qi变化曲线;(b)节点为5时的四台机械臂速度vi变化曲线

Figure 4. Estimates of unknown parameters Θi

4. 未知参数Θi的估计值曲线

所有初始条件均从区间 ( π,π ) 内随机选取,结果如图2图3图4所示。其中,图2图3分别绘制了神经网络节点数量为3和5四台机械臂的位置轨迹与速度轨迹,图4展示了未知参数 Θ i 的估计值。从图2可见,四台机械臂的位置轨迹均可达成一致性,且速度轨迹收敛至零。对比图2图3可知,当节点数选为3和5时,系统都能实现一致性,说明中心和宽度参数的选择是合理的。且随着节点数增加,神经网络的拟合精度提高,控制精度也随之提升,但计算负载会变大。因此,通过所设计的自适应控制器可解决容错一致性控制问题。

5. 结论

针对有向图上含多时变通信延迟、执行器故障与通信故障的网络化EL系统,本文研究了其容错一致性控制问题,并提出分布式自适应控制算法。首先,通过引入辅助变量,基于延迟的不同数量构建增广系统;其次,利用Lyapunov-Krasovskii方法推导了多EL系统达成一致性的充分条件,该条件以线性矩阵不等式形式给出;基于上述分析,本文提出基于神经网络的分布式自适应控制策略,以保证增广系统满足输入–状态稳定性;最后,通过数值仿真验证了所提出控制策略的有效性。

NOTES

*通讯作者。

参考文献

[1] Zhai, Z., Hao, R., Cui, B. and Wang, S. (2025) HGAT and Multi-Agent RL-Based Method for Multi-Intersection Traffic Signal Control. IEEE Transactions on Intelligent Transportation Systems, 26, 6848-6864. [Google Scholar] [CrossRef
[2] Zhu, W., Wu, W. and Wang, Q. (2024) A Continuous-Time Algorithm for Distributed Optimization with Nonuniform Time-Delay under Switching and Unbalanced Digraphs. IEEE Transactions on Signal and Information Processing over Networks, 10, 765-775. [Google Scholar] [CrossRef
[3] Han, L., Wang, Y., Yan, Z., Li, X. and Ren, Z. (2024) Event-Triggered Formation Control with Obstacle Avoidance for Multi-Agent Systems Applied to Multi-UAV Formation Flying. Control Engineering Practice, 153, Article 106105. [Google Scholar] [CrossRef
[4] Guo, X. and Wei, G. (2023) Distributed Sliding Mode Consensus Control for Multiple Discrete-Time Euler-Lagrange Systems. Applied Mathematics and Computation, 446, Article 127878. [Google Scholar] [CrossRef
[5] Guo, X., Song, C., Zhang, H. and Liang, Z. (2024) Relative-Velocity-Free Output-Feedback Consensus Control for Multiple Euler-Lagrange Systems Based on High-Order Extended State Observer. Journal of the Franklin Institute, 361, Article 107356. [Google Scholar] [CrossRef
[6] Wang, Y., Dai, J. and Zhang, P. (2025) Sampled-Data Velocity-Free Consensus of Multiple Euler-Lagrange Systems under Irregular Communication Delays. PLOS ONE, 20, e0333896. [Google Scholar] [CrossRef
[7] Nuno, E., Ortega, R., Basanez, L. and Hill, D. (2011) Synchronization of Networks of Nonidentical Euler-Lagrange Systems with Uncertain Parameters and Communication Delays. IEEE Transactions on Automatic Control, 56, 935-941. [Google Scholar] [CrossRef
[8] Qin, H., Li, X. and Sun, Y. (2021) Distributed Adaptive Coordinated Control of Multiple Euler-Lagrange Systems Considering Output Constraints and Time Delays. Complexity, 2021, 1-18. [Google Scholar] [CrossRef
[9] Sun, Y., Dong, D., Qin, H. and Wang, W. (2020) Distributed Tracking Control for Multiple Euler-Lagrange Systems with Communication Delays and Input Saturation. ISA Transactions, 96, 245-254. [Google Scholar] [CrossRef] [PubMed]
[10] Li, J., Zhao, W., Liang, Y., Wu, Z. and Zhao, L. (2024) Event-Triggered Consensus Control for a Class of Uncertain Multiple Euler-Lagrange Systems with Actuator Faults. Discrete and Continuous Dynamical Systems, 17, 2839-2854. [Google Scholar] [CrossRef
[11] Lin, G., Li, H., Ma, H., Yao, D. and Lu, R. (2022) Human-in-the-Loop Consensus Control for Nonlinear Multi-Agent Systems with Actuator Faults. IEEE/CAA Journal of Automatica Sinica, 9, 111-122. [Google Scholar] [CrossRef
[12] Chen, L., Spurgeon, S. and Jiang, B. (2025) Actuator Fault Estimation for a Class of Euler-Lagrange Systems Using Super-Twisting Observers. IEEE Transactions on Automation Science and Engineering, 22, 20469-20480. [Google Scholar] [CrossRef
[13] Long, M. and Su, H. (2024) Model-Independent Robust Consensus for Multiple Euler-Lagrange Systems of an Uncertain Leader. IEEE Transactions on Systems, Man, and Cybernetics: Systems, 54, 7279-7290. [Google Scholar] [CrossRef
[14] Nuno, E., Ortega, R., Barabanov, N. and Basanez, L. (2008) A Globally Stable PD Controller for Bilateral Teleoperators. IEEE Transactions on Robotics, 24, 753-758. [Google Scholar] [CrossRef
[15] Qi, Y., Liu, Q., Li, H. and Zhang, X. (2026) Distributed Leaderless/Leader-Follower Consensus for Nonlinear Multi-Agent Systems under Periodic Event-Triggered Communication. Communications in Nonlinear Science and Numerical Simulation, 153, Article 109495. [Google Scholar] [CrossRef
[16] Bai, J., Ren, M., Li, J. and Chen, Y. (2025) Trajectory Tracking Control for Wheeled Mobile Robots Subject to Longitudinal Slippage. Asian Journal of Control, 27, 2576-2587. [Google Scholar] [CrossRef
[17] Hua, C., Yang, Z. and Wang, Y. (2025) Improved Hierarchical Stability Criteria for Time-Varying Delay Systems with a Novel Matrix-Valued Polynomial Negative Determination Lemma. Journal of the Franklin Institute, 362, Article 107821. [Google Scholar] [CrossRef
[18] Sakthivel, N., Rajkumar, V. and Sabarish, K. (2025) Synchronization of a Complex Dynamical Networks Using Deception Attacks Subject to Uncertainty and Disturbance Estimator. European Journal of Control, 83, Article 101208. [Google Scholar] [CrossRef
[19] Bisoffi, A., De Persis, C. and Tesi, P. (2022) Data-Driven Control via Petersen’s Lemma. Automatica, 145, Article 110537. [Google Scholar] [CrossRef
[20] Wang, L., Wang, Z., Wei, G. and Alsaadi, F.E. (2018) Observer-Based Consensus Control for Discrete-Time Multi-agent Systems with Coding-Decoding Communication Protocol. IEEE Transactions on Cybernetics, 49, 4335-4345.
[21] Guo, X., Zhang, H. and Liang, Z. (2026) Fixed-Time Neural Adaptive Sliding Mode Control for Second-Order Multi-Agent Systems with Input Quantization: A Relative-Velocity-Free Case. Communications in Nonlinear Science and Numerical Simulation, 156, Article 109679. [Google Scholar] [CrossRef