Bi0.5Na0.5TiO3-BaTiO3无铅压电陶瓷的微观结构和电学性能研究
Microstructure and Electrical Properties of Bi0.5Na0.5TiO3-BaTiO3 Lead-Free Piezoelectric Ceramics
摘要: 本实验采用固相反应法制备Ba0.5Na0.5TiO3-xBaTiO3 (BNT-xBT, x = 0、0.04、0.05、0.06、0.07、0.08)压电陶瓷,系统研究BT含量对陶瓷相结构、微观形貌、及电学性能的影响。结果表明:均含有三方相和四方相,适量BT掺杂可显著细化晶粒、提升致密度,在x = 0.06时获得最小平均晶粒尺寸(Dλ = 1.26 μm)。陶瓷处于准同型相界处(MPB),为三方相和四方相共存态,MPB组分(x = 0.06)表现出最优的综合性能:其压电常数d33约为180 pC/N,平面机电耦合系数kp为0.336,剩余极化强度Pr最高(44.12 μC/cm2),矫顽场Ec最低(34.29 kV/cm),这主要源于MPB区域的结构失稳性大幅增强了畴翻转响应及极化能力。然而,介电温谱与变温压电测试同时揭示,BT掺杂在提升室温压电活性的同时,亦显著增强了材料的弛豫特性,导致介电峰宽化、特征温度Tm降低,且退极化温度Td明显下降,从而制约了其高温应用中的热稳定性。
Abstract: A series of piezoelectric ceramics Ba0.5Na0.5TiO3-xBaTiO3 (BNT-xBT, x = 0, 0.04, 0.05, 0.06, 0.07, 0.08) were prepared via the solid-state reaction method. The effects of BT content on the crystal structure, microstructure, and electrical properties of the ceramics were systematically investigated. Results indicate that at the quasi-isotropic phase boundary, where trigonal and tetragonal phases coexist, appropriate BT doping significantly refines grain size and enhances density, yielding the smallest average grain size (1.26 μm) at x = 0.06. Electrical property testing revealed that the MPB composition (x = 0.06) exhibited optimal comprehensive performance: its piezoelectric constant d33 was approximately 180 pC/N, the plane electromechanical coupling coefficient kp was 0.336, highest residual polarization intensity Pr (44.12 μC/cm2), and lowest coercive field Ec (34.29 kV/cm). This stems primarily from the significantly enhanced domain reversal response and polarization capability due to structural instability in the MPB region. However, both dielectric temperature-dependent measurements and variable-temperature piezoelectric testing reveal that while BT doping enhances room-temperature piezoelectric activity, it also markedly increases the material’s relaxation characteristics. This leads to broadened dielectric peaks, reduced characteristic temperature Tm, and a significant decrease in depolarization temperature, thereby limiting thermal stability in high-temperature applications.
文章引用:许新悦, 杨浩. Bi0.5Na0.5TiO3-BaTiO3无铅压电陶瓷的微观结构和电学性能研究[J]. 应用物理, 2026, 16(3): 93-103. https://doi.org/10.12677/app.2026.163009

1. 引言

随着科技的不断发展,材料科学逐渐成为推动现代技术革新的关键基础。材料的性能直接决定了新技术的可行性和应用范围,而功能性材料,尤其是压电陶瓷材料,在多个领域中展现出了重要的应用潜力[1]。压电陶瓷作为一种具有特殊电–机械耦合性能的材料,广泛应用于传感器、执行器、超声波设备、能源采集装置以及智能系统等多个高科技领域。在这些领域中,压电陶瓷具有不可替代的重要地位[2] [3]

然而,传统的压电陶瓷主要是以锆钛酸铅(PbZrO3-PbTiO3, PZT)为代表,凭借其较高的压电性能,占据了大部分的压电传感器市场[4]。但由于含有铅元素,这些材料对环境和人体健康带来了潜在的危害。随着环保意识的提升和环保法规的日益严格,全球许多国家已开始逐步限制含铅材料的使用。尤其是在欧盟地区,铅的使用受到了严格的管控[5],PZT材料在很多领域的应用面临着法律限制和环保压力。

为了解决这一问题,近年来,研究者们致力于开发无铅压电陶瓷,以减少对环境和人体的危害,同时保持压电性能。这些无铅压电陶瓷材料,尤其是钙钛矿型无铅压电陶瓷,因其较好的环境友好性和性能表现,成为替代传统铅基压电材料的主流选择[6]。钛酸铋钠(Bi0.5Na0.5TiO3, BNT)基陶瓷展现出独特的潜力。BNT基压电陶瓷是1960年由Smolenskii等人首次报道[7],BNT是A位由Na+和Bi3+共同占据的钙钛矿结构铁电体,本身具有较高的居里温度和较大的剩余极化强度,但其高压电性的实现往往依赖于与其它钙钛矿化合物的固溶与结构调控[8],Bi0.5Na0.5TiO3-BaTiO3 (BNT-BT)体系因其复杂的相结构和良好的压电性能,而成为无铅压电陶瓷研究的热点之一[9]

在BNT-xBT压电陶瓷中,随着BT掺入量x的增加,陶瓷的晶体结构、压电常数、介电常数及机电耦合系数等电学性能都会发生显著变化。掺BT后,陶瓷的微观结构和电学性能之间存在着复杂的相互关系。例如,在准同型相界附近,BNT-xBT陶瓷的压电性能和介电性能表现最佳,但该区域的热稳定性较差,导致其在高温环境下的表现不如纯BNT陶瓷。

本研究旨在通过对BNT-xBT陶瓷的微观结构分析,探讨不同掺BT比例对陶瓷晶体结构、压电性能和介电性能的影响。通过X射线衍射、扫描电子显微镜、介电性能测试、压电性能测试等方法,全面分析BNT-xBT陶瓷的微观结构变化及其电学性能,探索优化掺BT含量、提高材料性能的潜在途径。本研究还将进一步探讨掺BT对陶瓷退极化温度和热稳定性的影响,为开发高性能无铅压电材料提供理论依据和实验数据支持。

2. 实验

本实验采用传统的固相反应烧结法来制备Bi0.5Na0.5TiO3-xBaTiO3 (BNT-xBT)压电陶瓷固溶体,实验原料为Bi2O3 (99.9%)、TiO2 (99.0%)、Na2CO3 (99.5%)和BaCO3 (99.0%)。按照化学计量比称量0.04 mol,共计9.0 g左右,加入适量的无水乙醇和不同大小的氧化锆球,与原料一同放入球磨罐中,进行球磨4小时,烘干样品粉末在800℃下预烧180 min,升温速率为2℃/min。预烧后的粉末加入4% PVA的粘合剂,在研钵中研磨50 min,充分混合均匀。将粉末放入直径10 mm的压片模具中,在3~4 Mpa的压力下保压5 min,压制成厚度0.8 mm的圆片,在600℃排胶60 min后升温至1150℃烧结成瓷,保温180 min。烧结后的陶瓷圆片打磨抛光成0.6 mm的圆片,在圆片正反两面刷上银浆,在600℃保温30 min进行银胶固化,形成电极。

本实验采用荷兰帕纳科公司生产的Panalytical Empyrean X射线衍射仪(XRD)分析陶瓷的相结构。采用美国飞昱科技公司生产的Inspect F50扫描电子显微镜(SEM)观察陶瓷的表面形貌。采用哈尔滨巨浪有限公司生产的型号为TZFD-900的变温准静态d33测试系统测试陶瓷的压电性能。采用美国安捷伦科技有限公司制造的型号为4294A的阻抗分析仪测试陶瓷的介电常数和介电损耗。采用美国瑞蒂安科技公司的型号为Multiferroic100的铁电测试系统测量陶瓷的电滞回线。

3. 结果与讨论

图1(a)为BNT-xBT (x = 0~0.08)陶瓷样品在室温下的X射线衍射图谱,测试角度2θ范围20˚~80˚。从XRD图谱中可以观察出,陶瓷都表现为典型的钙钛矿结构,BaTiO3 (BT)充分掺杂Ba0.5Na0.5TiO3 (BNT)中形成固溶体,没有第二相。图1(b)是(200)衍射峰的局部放大图,可以看出(200)峰随着Ba元素的掺杂逐渐向低角度偏移,这是因为A位上的Ba2+离子的原子半径0.161 nm要大于(Bi0.5Na0.5)2+等效离子半径0.135~0.139 nm,导致晶格膨胀,根据布拉格定律,衍射角(2θ)与晶面间距(d)呈反比关系,因此,晶格常数的增大导致衍射峰出现低角度偏移[10] [11]

图2为BNT-xBT (x = 0.04~0.08)陶瓷的Rietveld精修图谱,纯相BNT在室温下是典型的三方相(R3c)相结构,纯相BT在室温下是四方相(P4bm)相结构,当体系中BT的含量不断增加,晶体结构会发生变化,结构会逐渐从R3c相转向P4bm相。在x = 0.04时,三方相占主导位置,R3c含量为88.54%;当x = 0.08时,四方相含量最高,P4bm含量已经高达95.77%;在0.06 ≤ x ≤ 0.07时,处于三方相和四方相共存状态,此时也是准同型相界区域,处在两种相之间的过渡区,由于这两种相的晶格结构存在一定的失配,导致晶体内部发生微小的结构畸变,这些畸变导致非对称的晶格,可以促进压电性能的增强。

Figure 1. (a) X-ray diffraction patterns of BNT-xBT ceramics (x = 0~0.08) measured at room temperature; (b) Enlarged view of the (200) diffraction peaks

1. (a) BNT-xBT (x = 0~0.08)陶瓷的X射线衍射图谱;(b) (200)衍射峰的局部放大图

Figure 2. Rietveld refinement results of BNT-xBT ceramics (x = 0~0.08)

2. BNT-xBT (x = 0~0.08)陶瓷Rietveld精修结果

图3为BNT-xBT陶瓷样品在1150℃下保温180分钟烧结成型的表面微观形貌(SEM)图,表面未经过打磨处理,直接喷金进行扫描电镜拍摄。放大倍数均为10,000倍,标尺为5 μm。图4为BNT-xBT (x = 0~0.08)陶瓷平均晶粒尺寸对比图,数据通过Nano Measurer软件进行统计,采用的方法是线性截距法。从图3中可以看出,样品晶粒分布均匀,晶界清晰,没有观察到明显的孔洞,呈现高致密性。纯NBT的晶粒尺寸最大,平均晶粒尺寸为2.89 μm。BT的加入样品使陶瓷样品晶粒减小,在x = 0.06时,晶粒尺寸最小,Dλ = 1.26 μm。Ba2+离子促进晶格膨胀也增强晶界的稳定性,从而抑制了晶粒的生长,导致晶粒尺寸要比纯相BNT小。

Figure 3. Scanning electron microscopy (SEM) images of BNT-xBT ceramics (x = 0~0.08)

3. BNT-xBT (x = 0~0.08)陶瓷扫描电子显微镜(SEM)图像

图5是BNT-xBT (x = 0~0.08)陶瓷样品常温压电常数d33、平面机电耦合系数kp和机械品质因数Qm的变化图,从图中可以发现,随着掺杂量的变化d33kp的变化趋势一致,呈现先增加后减小的趋势,在x = 0.06时,压电性能最佳,d33约180 (pC/N),多次实验的数值均在此值附近;平面机电耦合系数也取得最大值,kp = 0.336,用传统固相反应法制备的BNT-0.06BT压电陶瓷测量出此数值,已经算是较为优秀的结果。

Figure 4. Comparison chart of average grain size in BNT-xBT (x = 0~0.08) ceramics

4. BNT-xBT (x = 0~0.08)陶瓷平均晶粒尺寸对比图

Figure 5. Scanning electron microscopy (SEM) images of BNT-xBT ceramics (x = 0~0.08)

5. BNT-xBT (x = 0~0.08)陶瓷常温压电常数d33、平面机电耦合系数kp和机械品质因数Qm的变化图

图6是BNT-xBT (x = 0~0.08)陶瓷压电常数d33随温度变化曲线,虽然Ba元素的加入可以使得压电性能变好,但是退极化温度Td也随之降低,导致热稳定性不好。本实验中纯相BNT的d33约为90 pC/N,退极化温度为167℃,BT的加入,陶瓷的晶格发生变化,改变整体晶格匹配条件,此现象在MPB附近很明显,当三方相和四方相共存,陶瓷在温度升高时更容易失去长程有序性。因此,BT的加入能够提高压电性能,但也带来了热稳定性下降的副作用,这在实际应用中需要权衡考虑,只适合室温条件下的应用,存在一定的局限性。

Figure 6. Temperature dependence of the piezoelectric constant d33 for BNT-xBT ceramics (x = 0~0.08)

6. BNT-xBT (x = 0~0.08)陶瓷压电常数d33随温度变化的曲线

相位角是描述电信号与电流之间时间关系的重要参数,通常用于表征电压与电流波形之间的相对变化[12]图7是BNT-xBT (x = 0~0.08)陶瓷的阻抗和相位角的变化曲线图,极化工艺均相同,可以看出,随着掺杂Ba元素含量的增加,阻抗角变化趋势为先增大后减小,在x = 0时,由于纯相BNT的极化难度较高,畴翻转难度高,因此在3.5 kV/mm的极化电场下,相位角仅−14.8˚;在x = 0.06时,相位角最大,θ = 71.11˚,说明在该比例下的陶瓷样品电畴排列有序性高,内部畴翻转更容易,能够有效地将将机械能和电能之间相互转换,极化难度降低;但随着比例增加,极化工艺不变,电场撤销之后,内部电畴稳定性差,很容易恢复原来状态,导致压电性能略有下降。

Figure 7. Impedance spectra and phase angle curves of BNT-xBT ceramics (x = 0~0.08)

7. BNT-xBT (x = 0~0.08)陶瓷阻抗谱与相位角曲线

图8是极化后的BNT-xBT (x = 0~0.08)陶瓷介电温谱,极化后的BNT基陶瓷由原来的弛豫态转变为铁电态,内部电畴从无序到有序排列,陶瓷的介电常数降低。随着温度的升高,介电常数陡坡式增加,对应的温度TF-R表明陶瓷样品由铁电态转变为弛豫态,且随着掺杂浓度的提高,TF-R不断减小,在x = 0.08略有回升。在介电常数取最大值处,可以看出,峰位比较宽,这都反应出陶瓷样品是弛豫铁电体。

极化之后的介电常数均表现出温度依赖性,低温下,陶瓷的极化反应比高温下更为缓慢。因为在低温时,陶瓷内的分子或晶格的运动性较差,导致极化过程的滞后性增强。由于外加电场的频率较高时,极化可能无法及时响应电场的变化,导致介电常数随频率变化而表现出较强的频率弥散[13]。在150℃左右,图中均出现一个肩部曲线,体现出频率弥散这一特点。

Figure 8. Temperature dependence of dielectric constant for poled BNT-xBT ceramics (x = 0~0.08)

8. BNT-xBT (x = 0~0.08)陶瓷极化后的介电常数随温度变化曲线

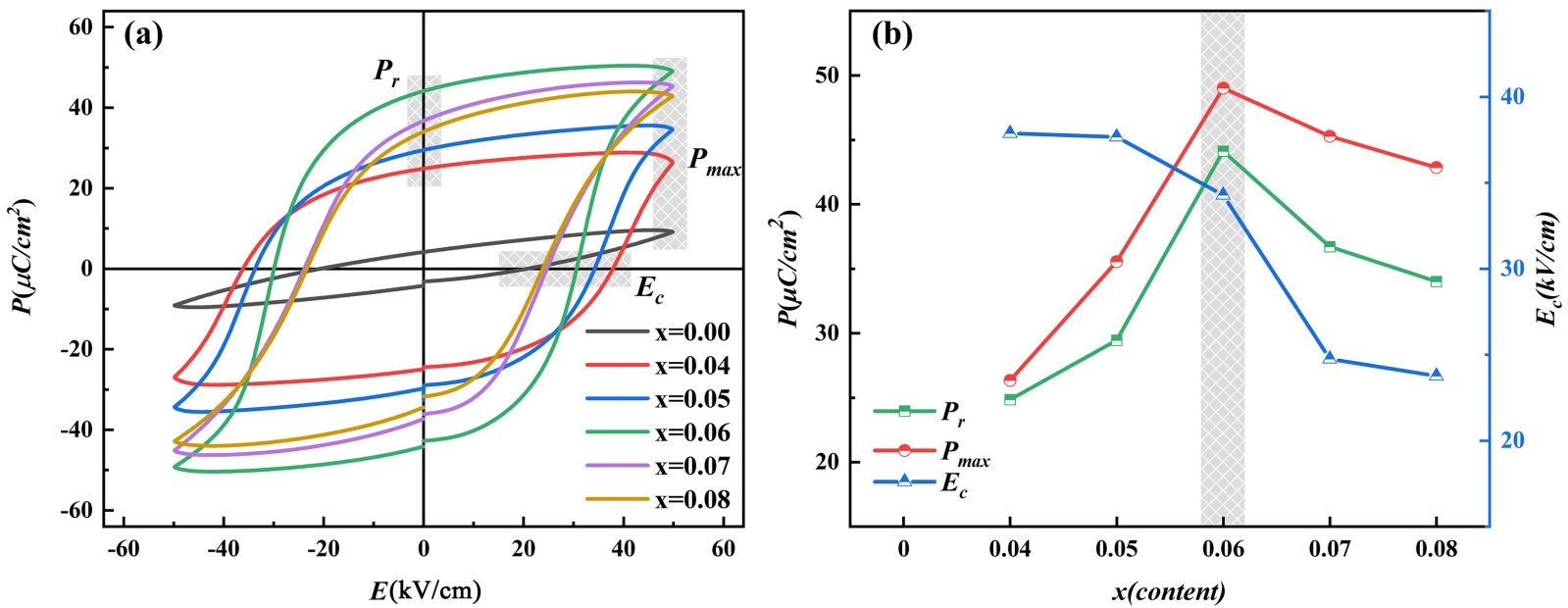
BNT-BT陶瓷的P-E曲线表现出典型的铁电材料特性,在低电场下,电滞回线呈现出明显的非线性响应,极化随着电场的增加而逐渐增大;当电场强度达到一定值时,P-E曲线开始趋于饱和,显示出材料的极化已经达到了最大值。

图9是BNT-xBT (x = 0.04~0.08)陶瓷在室温下50 kV/cm的P-E回线和剩余极化强度Pr,最大极化强度Pmax和矫顽场Ec变化曲线图。如图9(a)所示,x = 0.00时未完全饱和的狭长形态,逐渐发展为x = 0.06时最为饱满、方正的理想矩形,随后在x = 0.07和0.08时又略有收缩。结合图9(b)分析,可知,剩余极化强度Pr和最大极化强度Pmax随着x的增加呈现先增加后减小趋势,在x = 0.06时,陶瓷获得最大的剩余极化强度Pr (44.12 μC/cm2);同时,矫顽场Ec也随着x的增加而逐渐减小,在x = 0.06时矫顽场Ec降至34.29 kV/cm。剩余极化强度越大,说明陶瓷内部电畴的有序化程度越高,BNT-0.06BT陶瓷剩余极化强度最大,反映出在撤去外电场后,电畴能够保持高度一致的定向排列,这一特性为其优异的压电与铁电性能奠定了微观结构基础。

Figure 9. (a) P-E loops of BNT-xBT (x = 0~0.08) ceramics measured at 50 kV/cm; (b) Variation curves of PrPmax, and Ec for BNT-xBT (x = 0.04~0.08) ceramics

9. (a) BNT-xBT (x = 0~0.08)陶瓷在50 kV/cm的P-E回线;(b) BNT-xBT (x = 0.04~0.08)陶瓷PrPmaxEc变化曲线图

4. 结论

通过传统固相反应法制备的BNT-xBT (x = 0~0.08)无铅压电陶瓷,系统分析了BT掺杂量x对陶瓷样品的晶体结构、微观形貌、压电性能、介电性能及铁电性能的影响,在准同型相界处表现出最佳的压电常数,同时弛豫特性增强,影响了其高温稳定性。未来可通过进一步优化微结构和成分调控,提高材料的高温热稳定性,为设计新一代高性能无铅压电材料提供理论基础和技术支持。

NOTES

*通讯作者。

参考文献

[1] 刘治国. 材料科学导论[M]. 北京: 化学工业出版社, 2004.
[2] Hao, J., Li, W., Zhai, J. and Chen, H. (2019) Progress in High-Strain Perovskite Piezoelectric Ceramics. Materials Science and Engineering: R: Reports, 135, 1-57. [Google Scholar] [CrossRef
[3] Eriksson, M., Yan, H., Viola, G., Ning, H., Gruner, D., Nygren, M., et al. (2011) Ferroelectric Domain Structures and Electrical Properties of Fine‐grained Lead‐free Sodium Potassium Niobate Ceramics. Journal of the American Ceramic Society, 94, 3391-3396. [Google Scholar] [CrossRef
[4] Panda, P.K. and Sahoo, B. (2015) PZT to Lead Free Piezo Ceramics: A Review. Ferroelectrics, 474, 128-143. [Google Scholar] [CrossRef
[5] Tukker, A., Buist, H., van Oers, L. and van der Voet, E. (2006) Risks to Health and Environment of the Use of Lead in Products in the Eu. Resources, Conservation and Recycling, 49, 89-109. [Google Scholar] [CrossRef
[6] Shrout, T.R. and Zhang, S.J. (2007) Lead-Free Piezoelectric Ceramics: Alternatives for PZT? Journal of Electroceramics, 19, 113-126. [Google Scholar] [CrossRef
[7] Smolenskii, G.A. (1961) New Ferroelectrics of Complex Composition. IV. Soviet Physics-Solid State, 2, 2651-2654.
[8] Zheng, T., Wu, J., Xiao, D. and Zhu, J. (2018) Recent Development in Lead-Free Perovskite Piezoelectric Bulk Materials. Progress in Materials Science, 98, 552-624. [Google Scholar] [CrossRef
[9] Maria Joseph Raj, N.P., Khandelwal, G. and Kim, S. (2021) 0.8BNT-0.2BKT Ferroelectric-Based Multimode Energy Harvester for Self-Powered Body Motion Sensors. Nano Energy, 83, Article ID: 105848. [Google Scholar] [CrossRef
[10] Parija, B., Badapanda, T., Panigrahi, S. and Sinha, T.P. (2012) Ferroelectric and Piezoelectric Properties of (1 − X) (Bi0.5Na0.5)TiO3–xBaTiO3 Ceramics. Journal of Materials Science: Materials in Electronics, 24, 402-410. [Google Scholar] [CrossRef
[11] Lidjici, H. (2016) Morphotropic Phase Boundary in (Na0.5Bi0.5)TiO₃-BaTiO₃ Lead Free System: XRD and Raman Spectroscopy Studies. CeramicsSilikaty, 60, 205-209. [Google Scholar] [CrossRef
[12] Wu, J. (2020) Perovskite Lead-Free Piezoelectric Ceramics. Journal of Applied Physics, 127, Article ID: 190901. [Google Scholar] [CrossRef
[13] Deng, A. and Wu, J. (2020) Effects of Rare-Earth Dopants on Phase Structure and Electrical Properties of Lead-Free Bismuth Sodium Titanate-Based Ceramics. Journal of Materiomics, 6, 286-292. [Google Scholar] [CrossRef