泰安土壤湿度变化及其与气温和降水的线性相关和非线性因果分析
Soil Moisture Dynamics in Tai’an: Linear Correlation and Nonlinear Causality Analysis with Temperature and Precipitation
DOI: 10.12677/ccrl.2026.152030, PDF, HTML, XML,    科研立项经费支持
作者: 邹 潇, 朱 霞, 陈洪儒, 邹俊丽, 徐 祎:泰安农业气象试验站,山东 泰安;孙丽莉:五大连池市气象局,黑龙江 黑河
关键词: 土壤湿度气温降水相关性非线性因果Soil Moisture Temperature Precipitation Correlation Nonlinear Causality
摘要: 基于泰安市各县市2015~2024年气象观测站的气温、降水数据和土壤水分观测数据,结合Mann-Kendall非参数检验法和Sen斜率估计法量化土壤湿度的时空变化趋势及其显著性;通过Pearson相关分析揭示气温、降水与土壤湿度的线性统计关联;利用基于核的格兰杰因果方法(KGC)量化气温与降水对土壤湿度的非线性驱动作用。结果表明:(1) 土壤湿度分异:新泰呈显著上升趋势,而东平、宁阳呈显著下降趋势,趋势持续性可能导致未来水分亏缺风险加剧;5~6月为土壤湿度低值期,此期为区域土壤水分保持的关键风险期;(2) 降水为全域关键驱动因子,与土壤湿度显著正相关(新泰站最强),KGC检验证实其非线性因果影响;(3) 气温调控具有区域异质性:除新泰外,其余站点气温与土壤湿度显著负相关;泰安与肥城两站点同时受降水和气温非线性因果影响;(4) 区域特殊性:新泰存在气温非线性因果影响但统计关联不显著,提示内部复杂机制;东平–宁阳带缺乏气温独立因果贡献,土壤干旱风险主要由降水亏缺主导,气温起依附性放大作用。本研究为区域水资源管理及干旱风险防控提供依据,后续需融合人类活动深化驱动解析。
Abstract: Based on the temperature, precipitation data and soil moisture observation data from meteorological observation stations across counties of Tai’an City from 2015 to 2024, this study employed the Mann-Kendall non-parametric test combined with Theil-Sen estimator to quantify spatiotemporal trends. Pearson correlation analysis was applied to assess linear statistical associations between temperature/precipitation and soil moisture. The Kernel Granger Causality (KGC) was further introduced to quantify nonlinear causal effects of temperature and precipitation on soil moisture. Results demonstrated that: (1) Soil moisture differentiation: Xintai demonstrates a statistically significant increasing trend, while Dongping and Ningyang show a significant decreasing trend, and the continuity of the trend may lead to an increased risk of water deficit in the future; The period from May to June marks a low soil moisture phase, representing a critical risk period for maintaining regional soil water retention. (2) Precipitation as a key driver across the domain is significantly and positively correlated with soil moisture (strongest in Xintai), and KGC confirms its non-linear causal effect; (3) Temperature regulation exhibits regional heterogeneity: Significant negative correlations exist between temperature and soil moisture at all sites except Xintai. Both Tai’an and Feicheng are subject to nonlinear causal effects from precipitation and temperature. (4) Regional specificity: In Xintai, significant nonlinear causal effects of temperature were detected despite statistically insignificant correlations, suggesting complex internal regulatory mechanisms; Dongping and Ningyang lack independent causal contributions from temperature, where soil drought risk is predominantly driven by precipitation deficits, with temperature acting as an amplifying factor. This study provides a scientific basis for regional water resource management and drought risk mitigation. Future research should advance causal attribution by integrating anthropogenic drivers.
文章引用:邹潇, 朱霞, 孙丽莉, 陈洪儒, 邹俊丽, 徐祎. 泰安土壤湿度变化及其与气温和降水的线性相关和非线性因果分析[J]. 气候变化研究快报, 2026, 15(2): 251-260. https://doi.org/10.12677/ccrl.2026.152030

1. 引言

土壤湿度作为地表水分循环的核心参量[1] [2],也是衡量区域水土保持能力的关键指标,其动态变化深刻调控着生态环境与农业生产[3] [4]。土壤湿度直接影响作物的水分供应状况,进而影响根系生长发育[5] [6],并能通过蒸散发反馈加剧区域干旱或洪涝风险[7]。同时,作为多种陆面过程模型的关键输入参数[8],土壤湿度的动态变化规律制约着区域干旱监测预警能力[9]。因此,深入解析区域土壤湿度与关键气候要素间的作用机制,对优化区域水资源配置、增强气候变化适应能力、有效防控旱灾风险以及保障粮食生产安全具有重要意义[10] [11]

土壤湿度的变化主要受到当地气候条件的制约,其中以降水量、气温的影响最为显著[12] [13]。目前,针对土壤湿度的研究广泛采用了线性相关分析方法[14]。这类方法直观性强,计算简便,在揭示单一气象要素与土壤湿度之间的统计关联方面取得了显著成果[15]-[17]。然而,陆面–大气系统是一个包含复杂反馈机制的非线性耦合系统,传统线性方法在表征滞后反馈、突变响应等复杂机制时存在局限,所以当评价因果关系时仅用简单的线性分析方法通常是不够的。非线性相互关系并不是一种直接关系,其聚焦于揭示更深层次的相互作用机制,所以非线性因果分析能揭示传统方法遗漏的潜在因果路径[18]

本研究以泰安市区及四个县市的2015~2024年土壤湿度与气象观测数据,分析区域土壤湿度动态及其与气候要素的线性与非线性驱动关系。首先通过Mann-Kendall非参数检验与Sen斜率估计量,量化土壤湿度变化趋势。然后利用Pearson相关分析气温和降水与土壤湿度的线性关联强度。最后利用基于核的格兰杰因果检验(KGC),量化气温与降水对土壤湿度的非线性因果影响强度。通过整合趋势变化、线性关联与因果检验的分析,以期为土壤水资源的合理利用与有效保护提供科学依据。

2. 资料与方法

2.1. 数据来源

本研究数据采用泰安市国家应用气象观测站的土壤相对湿度月数据,以及国家基本气象站的气温和降水月数据。包括泰安、新泰、宁阳、肥城和东平五站点。土壤相对湿度定义为当前土壤体积含水量占田间持水量的百分比,本研究选用20 cm土壤相对湿度(%)数据。20 cm处于浅层与深层过渡带,既能减少蒸发干扰(相比表层),又能较快响应降水事件(相比深层) [19],同时反映植被根系活动层(多数草本植物根系集中于此)的水分状况[20],更贴近生态和农业需求。且20 cm土壤相对湿度数据连续性更好,与其他研究或模型的兼容性更强,所以常被用于区域气候研究。在下文中,如无特殊说明,土壤湿度均指20 cm土壤相对湿度。

2.2. 研究方法

2.2.1. 变异系数

数据离散程度采用变异系数(Coefficient of Variation, CV)衡量,CV定义为标准差(σ)与算术平均值(μ)的比值:

CV= σ μ ×100% (1)

CV值越大,表明相对离散程度越高。相较于标准差,CV可避免因均值差异导致的偏差,尤其适用于多源数据的比较[21]

2.2.2. 趋势检验与速率量化

为检测土壤湿度是否存在统计显著的单调趋势并量化其变化率,本研究采用了Mann-Kendall非参数检验法(MK检验)和Sen斜率估计法(Theil-Sen estimator) [22]-[24]。MK检验基于数据值的秩评估趋势的显著性,对数据分布无特定要求且对异常值稳健[25]。MK检验的统计量S的符号指示趋势方向(正值为上升趋势,负值为下降趋势),趋势显著性水平设定为p < 0.05。

(2)

Sen斜率估计法通过计算序列中所有可能点对斜率的中位数来估计趋势的幅度,同样具有稳健性[26]。Sen斜率估计法估计趋势幅度(β)表示单位时间内变量的变化量。

(3)

2.2.3. 相关性分析

为量化土壤湿度与气温、降水的线性关联强度,采用Pearson积矩相关系数(r)进行分析。其计算基于成对标准化协方差,对土壤湿度与气温和降水的相关性进行定量分析,评估其线性相关程度。

r xy = i=1 n ( x i x ¯ )( y i y ¯ ) ( x i x ¯ ) 2 ( y i y ¯ ) 2 (4)

2.2.4. 基于核的格兰杰因果方法

基于核的格兰杰因果方法(KGC)评估格兰杰因果关系,并利用核希尔伯特空间将格兰杰因果关系推广到非线性情况。KGC能够处理噪声数据,并识别线性GC中无法观察到的近似模式[27] [28]。KGC方法基于核方法来衡量时间序列之间的格兰杰因果关系。有关KGC的更多信息,请参阅相关文章[27] [28]

KGC xy = t ( P y( t ) ) 2 / t ( y( t ) y ¯ ( t ) ) 2 (5)

由于处理的是再生核希尔伯特空间中的多重比较,因此使用带有Bonferroni校正的Student’s t-test来避免错误因果关系,以克服过度拟合问题[28] [29]

KGC可选核函数包括多项式核函数(p)和高斯核函数(g),但是以往研究发现高斯内核并不能提高性能,对非线性概念模型和实际应用契合度较低[27] [29],所以本研究选用多项式核函数进行非线性分析。

3. 结果与分析

3.1. 土壤湿度年际变化特征

Figure 1. Inter-annual variation of soil moisture from 2015 to 2024

1. 2015~2024年土壤湿度年际变化

基于泰安地区五站点2015~2024年土壤观测数据,计算年平均值观察长期趋势(图1),并结合变异系数CV (表1),揭示空间分异特征。结果显示,所有站点CV < 10%,表明区域土壤湿度年际波动整体较弱。泰安站稳定性最高(极差7.86%,CV = 3.57%);新泰站波动相对明显(极差17.32%,CV = 8.04%),且2021年后连续三年下降(86.52%→84.45%→81.55%);宁阳站(极差21.24%,CV = 9.18%)与东平站(极差22.15%,CV = 9.34%)相对变异最大,其中宁阳2023~2024年降至70%以下;东平从2021年开始持续下降,2023~2024年连续低于70%;肥城站(极差15.9%,CV = 7.21%)呈先降后升趋势。结果表明泰安站具有区域最优稳定性,而宁阳、东平两站呈现相对较大波动(极差 > 20%、CV > 9%)。

Table 1. Coefficient of variation of soil moisture

1. 土壤湿度变异系数

站点

泰安

东平

宁阳

肥城

新泰

变异系数(%)

3.57

9.34

9.18

7.21

8.04

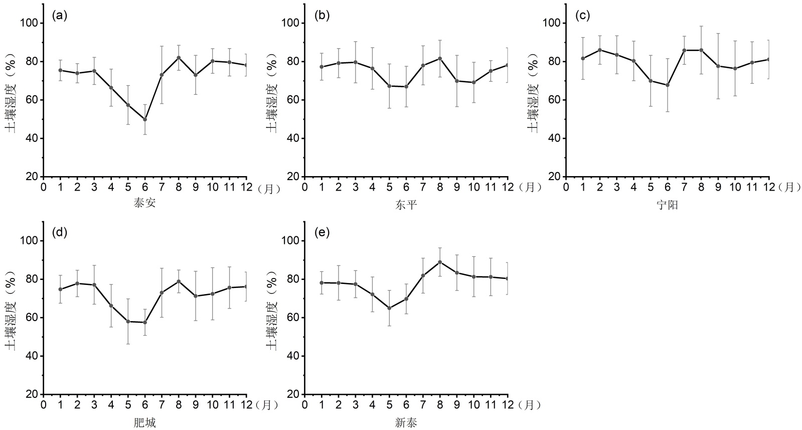
3.2. 土壤湿度月际变化特征

图2展示了研究区五个站点十年平均土壤湿度的月际变化特征。土壤湿度呈现显著的季节性波动,其中5~6月为全年最低值期。此阶段正值春夏季过渡,雨季未到且气温逐渐升高。5月冬小麦进入高耗水灌浆–成熟期,6月收获后地表裸露,蒸发增强。因此,5~6月为土壤水分胁迫最严重期。7~8月,雨季降水使湿度明显回升。雨季结束后的9月至次年3月,湿度相对平稳,波动较小,东平、宁阳和肥城在9月湿度下降后又有所回升,新泰有所下降,泰安在10月上升后湿度维持在相对稳定的状态,此期气温逐渐下降,蒸散减少。春末夏初是区域土壤水分保持的关键风险期。为保障后续作物苗期生长及土壤墒情,需在此窗口期优化灌溉策略,对区域农业水土保持至关重要。

Figure 2. Inter-monthly variation of soil moisture from 2015 to 2024

2. 2015~2024年土壤湿度月际变化

3.3. 土壤湿度长期变化趋势

为定量评估研究区土壤湿度的长期变化趋势及变化速率,基于五站点2015~2024年逐月观测序列,采用MK检验与Sen斜率进行月尺度速率分析(图3)。结果显示,研究区土壤湿度的变化趋势存在显著的空间差异。东平、宁阳及新泰三站趋势通过MK显著性检验(P < 0.01),其中新泰站呈现显著上升趋势,而东平、宁阳呈现显著下降趋势,三者速率量级相近但趋势相反(东升西降),存在东西向空间分异。尽管东平–宁阳带未低于干旱阈值,但趋势持续性可能导致未来水分亏缺风险加剧。值得注意的是,尽管泰安和肥城的土壤湿度呈微弱下降趋势,但未通过显著性检验,表明这些站点的湿度波动仍处于自然变率范围内。

Figure 3. Significance and rate of change rate of long-term trends in soil moisture. ** indicates significant at the 0.01 level

3. 土壤湿度长期变化趋势显著性及速率。**表示在0.01水平差异显著

3.4. 降水和气温对土壤湿度的驱动关系研究

3.4.1. 降水和气温的年际变化特征

为厘清2015~2024年研究区气温、降水与土壤湿度的驱动关系,并揭示研究区域近十年(2015~2024年)的关键气候背景特征,首先解析两要素的年际变化规律(图4)。结果表明,气温呈现明显上升趋势,2020年的短暂降温未能改变其长期增暖趋势,且2022年后升温加剧。降水年际波动较大,在2019年出现谷值,东平、宁阳、肥城分别比2018年减少58%、42%、46%,其中新泰下降最少,为22%。2020~2021年降水跃升至峰值,2022年有所回落,且2022~2024年各地降水量差异较为明显。新泰降水多年均值最高,在2019年多区域降水锐减时,其降水量显著高于其他区域。这种气温持续升高、降水波动明显且存在空间分异的气候背景,需通过进一步分析解析其对土壤湿度的驱动模式。

3.4.2. 土壤湿度与降水、气温的相关性分析

本研究通过Pearson相关性分析揭示区域土壤湿度对降水与气温的差异化响应(图5)。分析过程中对比了原数据与去趋势数据下的相关性差异,发现数据去趋势后土壤湿度与降水的相关性增强,而土壤湿度与气温的相关性有所减弱。下面主要利用去趋势数据所得结果进行分析。结果表明:降水和气温与土壤湿度分别表现为显著的正向与负向驱动作用,但空间异质性显著。降水与土壤湿度呈显著正相关性(r = 0.23~0.30, p < 0.05),其中新泰地区相关性最高(r = 0.301, p < 0.01),表明降水是土壤湿度补给的基础来源。气温与土壤湿度呈显著负相关(泰安r = −0.317,p < 0.01;肥城r = −0.291,p < 0.01),暗示升温通过加剧蒸散发导致土壤水分流失,但新泰地区未通过显著性检验,可能与灌溉补水抵消热耗散有关。区域对比显示,泰安、肥城、东平、宁阳同时受降水和气温的调控;新泰的“显著降水相关–弱气温响应”的组合模式说明降水为土壤湿度变化的显著影响因子。

Figure 4. Inter-annual variation of precipitation and temperature from 2015 to 2024

4. 2015~2024年降水和气温年际变化

Figure 5. Strength of linear response (Pearson correlation coefficient) of precipitation and temperature with soil moisture. ** indicates significant at the 0.01 level; * indicates significant at the 0.05 level

5. 降水和气温与土壤湿度的线性响应强度(Pearson相关系数)。**表示在0.01水平差异显著;*表示在0.05水平差异显著

3.4.3. 降水、气温对土壤湿度的非线性因果强度分析

在揭示降水和气温对土壤湿度的统计关联基础上,本研究进一步通过KGC解析其非线性驱动关系(图6)。结果显示,降水普遍表现为土壤湿度的显著驱动因子,气温则呈现区域差异。泰安与肥城显示降水与气温的双向非线性因果影响。新泰同时存在更高的降水驱动力与气温驱动力,形成双因子强胁迫格局;且呈现更强的降水主导特征——其Pearson相关系数最高且KGC因果强度更大;但其虽存在显著气温因果影响,却无统计相关性,暗示独特的非线性调控机制。值得注意的是,东平–宁阳带,KGC证实降水因果存在,但无显著气温因果影响,该区域土壤湿度对降水变化高度敏感且抵御力弱,强调了在该区域理解和应对土壤干旱风险时,降水是核心抓手。

Figure 6. Strength of nonlinear causal effects of temperature and precipitation on soil moisture

6. 气温和降水对土壤湿度的非线性因果影响强度

4. 结论与讨论

土壤湿度动态的驱动机制解析已成为区域水资源管理的科学前沿[30]。本研究结果表明:泰安各县市近十年土壤湿度时空分异显著,东平、宁阳、新泰三站变化趋势显著,新泰呈显著上升趋势,东平与宁阳呈显著下降趋势,形成东西向水分分异格局。降水为土壤湿度重要驱动因子,全区降水与土壤湿度显著正相关,其中新泰相关性最强。基于KGC的非线性因果分析进一步表明,降水对土壤湿度均有显著的非线性因果影响。气温的调控呈现区域差异,除新泰外其余站点的气温与土壤湿度显著负相关。泰安、肥城、东平、宁阳同时受降水和气温的线性调控,且泰安与肥城存在降水与气温对土壤湿度的双向非线性因果影响。新泰虽检测到气温对土壤湿度存在非线性因果影响,但二者线性统计相关性不显著,提示独特的非线性调控机制。东平–宁阳带凸显关键特殊性:降水为显著因果驱动因子,气温缺乏独立因果影响,表明该区域土壤湿度对降水变化的依赖性高,土壤干旱风险主要由降水亏缺主导,气温仅作为依附性放大蒸散损耗。本研究明晰了泰安市土壤湿度时空变异规律及关键驱动因子的区域分异,特别是揭示了不同区域对气候因子的差异化响应模式,为深入理解区域水文过程和干旱风险评估提供了重要科学依据。未来研究需着重整合人类活动要素,以更全面地解析复杂环境下的土壤水分动态及其可持续管理策略。

由于本研究限于气温和降水两种气象因子以及浅层土壤水分状况,未来研究需开展多深度土壤水分的协同分析以解析垂直交换机制,还需纳入风速、日照等更多气象要素,并利用更长时序数据探究土壤湿度–气候的长期相互作用。同时需超越自然气候主导论框架,量化灌溉、城市扩张等人类活动参数。此外土壤湿度本身也通过改变地表反照率、蒸发及植被状况,反过来调节局地能量水分循环,这种双向反馈在本区域仍需深入探讨。深化这些认识,可以更科学地支撑区域水资源利用、农业抗旱减灾及适应气候变化的策略制定。

基金项目

本研究在泰安市农业和社会发展领域科技创新发展项目(政策引导类)“土壤湿度变率及其对气温和降水的敏感性研究”(编号:2024NS036)的框架下完成。

参考文献

[1] 王丹, 南瑞, 韩俊杰, 等. 黑龙江省土壤湿度及其对气温和降水的敏感性分析[J]. 气象与环境学报, 2012, 28(2): 49-53.
[2] 王信增, 焦峰, 刘源鑫, 等. 不同空间尺度土壤水分与环境因素的关系[J]. 生态学杂志, 2012, 31(2): 319-323.
[3] 刘立文, 段永红, 赵涛. 山西省土壤湿度时空分布及气候因素的耦合[J]. 科学技术与工程, 2020, 20(11): 4250-4255.
[4] 董金义, 罗敏, 孟凡浩, 等. 蒙古高原土壤水分时空格局演变特征分析[J]. 水土保持研究, 2024, 31(2): 110-121.
[5] 严啟蕾, 高琳, 曹强, 等. 安徽省浅层土壤湿度时空分布及与气温和降水的相关性[J]. 现代农业科技, 2024(16): 104-109.
[6] 王信增, 焦峰. 基于有序聚类法的土壤水分剖面划分[J]. 西北农林科技大学学报(自然科学版), 2011, 39(2): 191-196+201.
[7] 张霞, 段亚雯, 段建平, 等. 基于蒸散发构建的日干旱指数及其对区域干旱事件的表征分析[J]. 中国科学: 地球科学, 2022, 52(3): 540-558.
[8] Yuan, X., Ma, F., Wang, L., Zheng, Z., Ma, Z., Ye, A., et al. (2016) An Experimental Seasonal Hydrological Forecasting System over the Yellow River Basin Part 1: Understanding the Role of Initial Hydrological Conditions. Hydrology and Earth System Sciences, 20, 2437-2451. [Google Scholar] [CrossRef
[9] 吴东丽, 李琪, 薛红喜, 等. 山东省土壤水分时空分布规律及分区[J]. 江苏农业学报, 2019, 35(3): 639-645.
[10] 王征. 陕西省土壤湿度时空变化特征及其驱动力分析[J]. 城市勘测, 2023(5): 71-76.
[11] 李轩, 过志峰, 吴门新, 等. 华北地区土壤水分的时空变化特征[J]. 应用生态学报, 2021, 32(12): 4203-4211.
[12] 符淙斌, 董文杰, 温刚, 等. 全球变化的区域响应和适应[J]. 气象学报, 2003(2): 245-250.
[13] 孙凤华, 杨素英, 陈鹏狮. 东北地区44年的气候暖干化趋势分析及可能影响[J]. 生态学杂志, 2005(7): 751-755+762.
[14] 徐勇峰, 郭俨辉, 季淮, 等. 洪泽湖湿地杨树林土壤水分变化及其与气象因子的关系[J]. 浙江农林大学学报, 2018, 35(1): 20-28.
[15] 黄勇, 邱旭敏, 黄国贵. 淮河流域表层土壤湿度时空特征及其与地面降水的关系[J]. 生态环境学报, 2017, 26(4): 561-569.
[16] Nemani, R.R., Keeling, C.D., Hashimoto, H., Jolly, W.M., Piper, S.C., Tucker, C.J., et al. (2003) Climate-driven Increases in Global Terrestrial Net Primary Production from 1982 to 1999. Science, 300, 1560-1563. [Google Scholar] [CrossRef] [PubMed]
[17] 白晓英, 马筛艳, 梁奇琛, 等. 咸阳30年土壤湿度变化特征及影响因子分析[J]. 陕西气象, 2024(2): 50-53.
[18] Pavlidis, E.G., Paya, I. and Peel, D.A. (2015) Testing for Linear and Nonlinear Granger Causality in the Real Exchange Rate-Consumption Relation. Economics Letters, 132, 13-17. [Google Scholar] [CrossRef
[19] 刘宏伟, 余钟波, 崔广柏. 湿润地区土壤水分对降雨的响应模式研究[J]. 水利学报, 2009, 40(7): 822-829.
[20] 杜俊杉, 马英, 胡晓农, 等. 基于双稳定同位素和MixSIAR模型的冬小麦根系吸水来源研究[J]. 生态学报, 2018, 38(18): 6611-6622.
[21] Tang, Y. and Zhang, X. (2024) A Three-Dimensional Sampling Design Based on the Coefficient of Variation Method for Soil Environmental Damage Investigation. Environmental Monitoring and Assessment, 196, Article No. 318. [Google Scholar] [CrossRef] [PubMed]
[22] Shan, N., Shi, Z., Yang, X., Gao, J. and Cai, D. (2015) Spatiotemporal Trends of Reference Evapotranspiration and Its Driving Factors in the Beijing-Tianjin Sand Source Control Project Region, China. Agricultural and Forest Meteorology, 200, 322-333. [Google Scholar] [CrossRef
[23] Sen, P.K. (1968) Estimates of the Regression Coefficient Based on Kendall’s Tau. Journal of the American Statistical Association, 63, 1379-1389. [Google Scholar] [CrossRef
[24] Theil, H. (1950) A Rank-Invariant Method of Linear and Polynomial Regression Analysis. Indagationes mathematicae, 12, Article 173.
[25] 曹洁萍, 迟道才, 武立强, 等. Mann-Kendall检验方法在降水趋势分析中的应用研究[J]. 农业科技与装备, 2008(5): 35-37+40.
[26] Ohlson, J.A. and Kim, S. (2014) Linear Valuation without OLS: The Theil-Sen Estimation Approach. Review of Accounting Studies, 20, 395-435. [Google Scholar] [CrossRef
[27] Shawe-Taylor, J. and Cristianini, N. (2004). Kernel Methods for Pattern Analysis. Cambridge University Press. [CrossRef
[28] Marinazzo, D., Pellicoro, M. and Stramaglia, S. (2008) Kernel Method for Nonlinear Granger Causality. Physical Review Letters, 100, Article 144103. [Google Scholar] [CrossRef] [PubMed]
[29] Marinazzo, D., Pellicoro, M. and Stramaglia, S. (2008) Kernel-Granger Causality and the Analysis of Dynamical Networks. Physical Review E, 77, Article 056215. [Google Scholar] [CrossRef] [PubMed]
[30] 丁旭, 赖欣, 范广洲. 中国不同气候区土壤湿度特征及其气候响应[J]. 高原山地气象研究, 2016, 36(4): 28-35.