基于余能原理基面力元法与极限学习机相结合的轻骨料混凝土抗拉强度预测
Prediction of Tensile Strength of Lightweight Aggregate Concrete Using a Baseline Element Method Based on Residual Energy Principle Combined with a Limit Learning Machine
摘要: 轻骨料混凝的抗拉强度是其关键力学性能,但受骨料、界面过渡区、孔隙等多相细观结构影响显著,传统经验公式或宏观数值模拟预测精度有限。本文提出一种细观与宏观混合的预测模型。首先,利用基面力元法这一高效处理不连续问题的数值方法,构建轻骨料混凝土的二维细观模型。通过引入随机骨料投放算法真实模拟了拉伸作用下骨料与基体界面开裂与裂纹扩展的全过程。采用正交试验设计,系统研究了试件尺寸、骨料强度、界面过渡区强度、孔隙率等九个关键细观参数对宏观抗拉强度的定量影响,生成了包含130组样本的数据集。随后,将该数据集随机划分为训练集(80组)、验证集(25组)和测试集(25组),输入到极限学习机神经网络中进行训练与优化。研究结果表明:所提出的BFEM-ELM混合模型能充分挖掘细观结构特征与宏观性能间的复杂非线性关系,预测速度快、精度高,为轻骨料混凝土的材料设计与性能优化提供了新思路。
Abstract: The tensile strength of lightweight aggregate concrete is a key mechanical property, yet it is significantly influenced by the multiphase microstructure involving aggregates, the interfacial transition zone, and pores. Traditional empirical formulas or macroscopic numerical simulations exhibit limited predictive accuracy. This paper proposes a hybrid micro-macro prediction model. First, a two-dimensional micro-scale model of lightweight aggregate concrete is constructed using the base-surface force element method, a highly efficient numerical approach for handling discontinuities. By incorporating a random aggregate placement algorithm, the model realistically simulates the entire process of interface cracking and crack propagation between aggregates and matrix under tensile loading. Employing an orthogonal experimental design, the study systematically investigates the quantitative influence of nine key micro-parameters—including specimen size, aggregate strength, interfacial transition zone strength, and porosity—on macro-tensile strength, generating a dataset comprising 130 sample sets. Subsequently, this dataset was randomly partitioned into training (80 sets), validation (25 sets), and testing (25 sets) sets, then input into an Extreme Learning Machine (ELM) neural network for training and optimization. Results demonstrate that the proposed BFEM-ELM hybrid model effectively uncovers the complex nonlinear relationship between microstructural features and macroscopic performance, delivering fast prediction speeds and high accuracy. This approach offers novel insights for material design and performance optimization in lightweight aggregate concrete.
文章引用:李绪栋, 隋奕, 刘艺欣. 基于余能原理基面力元法与极限学习机相结合的轻骨料混凝土抗拉强度预测[J]. 土木工程, 2026, 15(3): 10-19. https://doi.org/10.12677/hjce.2026.153049

1. 引言

轻骨料混凝土因其轻质、高强、保温隔热、抗震性能好等优点,在现代绿色建筑与高层结构中应用日益广泛[1] [2]。然而,其多相非均质的细观结构导致其宏观力学性能,尤其是抗拉强度,表现出高度的复杂性与离散性。抗拉强度是控制混凝土结构开裂、变形及耐久性的核心指标,对其进行准确预测是工程设计与材料优化的关键[3]。传统抗拉强度预测方法,如经验公式或多元线性回归[4] [5],往往难以捕捉这种复杂的非线性关系,存在预测误差大、普适性不强的问题[6]。另一方面,人工神经网络模型虽然展现了一定潜力[7]-[9],但存在训练速度慢、易陷入局部最优、超参数敏感等问题[10]

近年来,以极限学习机(Extreme Learning Machine, ELM)为代表的机器学习算法,凭借其极快学习速度和良好的泛化能力[11] [12],在混凝土性能预测领域受到关注[13] [14]。但ELM的输入权重和隐含层偏置随机生成,可能影响模型稳定性。与此同时,在细观力学层面,基面力元法(Base Force Element Method, BFEM)作为一种数值分析方法,能够高效模拟混凝土等非均质材料的损伤、裂纹萌生与扩展全过程,为从机理上理解材料破坏提供了强有力的工具[15]

因此,本研究提出一种细观与宏观相结合的创新预测模型。核心思路是:利用BFEM对轻骨料混凝土的细观损伤过程进行数字解剖,提取能反映材料内部状态的细观特征;再将此特征与宏观配合比参数融合,共同输入到ELM神经网络中,构建高精度的抗拉强度智能预测模型。该方法旨在突破传统宏观经验预测的局限,为轻骨料混凝土的材料设计与性能评估提供更可靠、更准确的新途径。

2. 理论基础

2.1. 基面力元法理论框架

基面力元法是一种基于连续介质力学基本理论[16],以基面力为基本未知量的新型数值方法。其核心优势在于对单元变形和破坏的描述更为直接,特别适合模拟材料的开裂与破坏过程[17]

对于平面应力问题,基面力元法的核心方程可简化为:

T=Lu (1)

式(1)中, T 为单元边上的面力矢量, L 为与单元几何和材料属性相关的系数矩阵, u 为节点位移矢量。

2.2. 极限学习机理论

极限学习机由Huang [18]等人于2004年提出。这是一种单隐藏层前馈神经网络,其核心思路在于:随机设定隐藏层的输入权重与偏置,并直接通过解析方法计算输出层权重。该方式绕过了传统反向传播算法所需的迭代优化步骤,因而能实现极高的训练效率。其流程如下[19]

给定输入样本 X N×d (N为样本数),隐层权重 W d×L 和偏置 b L 随机生成,隐藏层输出矩阵 H 为:

H=g( XW+b ) N×L (2)

式(2)中,g为激活函数。

目标输出 Y N×m ,输出层权重 β L×m 满足:

Hβ=Y (3)

通过最小二乘法求解:

β= H Y (4)

式(4)中, H H 的Moore-Penrose广义逆矩阵,计算方式为:

{ H = ( H T H ) 1 H T ,( NL ); H = H T ( H H T ) 1 ,( N<L ) (5)

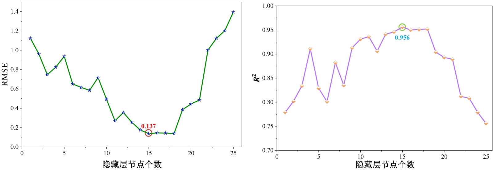
与传统的BP神经网络不同,ELM的隐藏层输入权重和偏置可在初始化时随机设定,仅需通过解析方法确定隐藏层的输出权重。该算法不仅训练速度快,也展现出良好的泛化能力。如图1所示,ELM为典型的三层结构,包括输入层、隐藏层和输出层。本文中,输入层维度与特征数对应,输出层节点数为1,对应预测目标。如图2所示,通过比较不同隐藏层节点数,发现当节点数设为15时模型误差最小,因此最终隐藏层节点数确定为15。

3. BFEM-ELM混合预测模型构建流程

3.1. 基于BFEM的轻骨料混凝土细观建模

本研究使数值模拟来研究轻骨料混凝土的抗拉强度,将轻骨料混凝土视为由轻骨料颗粒、水泥砂浆以及它们之间的粘结界面组成的三相复合材料。采用随机骨料模型和建立了轻骨料混凝土的数值试件模型。在轻骨料混凝土的数值模型中,采用圆形来模拟轻骨料颗粒的形状。在本研究中,所有轻骨料颗粒的粒径分布均依据Fuller提出的密度曲线,也就是Fuller级配曲线来描述,该曲线能够详细描绘骨料颗粒的尺寸分布,轻骨料混凝土三相介质的几何特征如图3所示。

Figure 1. Basic structure of ELM model

1. ELM模型基本结构

Figure 2. Metric values for different number of hidden layer nodes

2. 不同隐藏层节点个数的指标值

Figure 3. Geometric characteristics and microscopic structural models of lightweight aggregates

3. 轻骨料的几何特征及细观结构模型

3.2. 数值实验设计与数据生成

为了构建混凝土抗拉强度预测模型,本文选择截面尺寸、砂浆弹模、骨料弹模、界面弹模、砂浆抗拉强度、骨料抗拉强度、界面抗拉强度、骨料孔隙率、骨料泊松比九个参数作为预测模型的输入特征。为保证预测模型的精度,本文利用BFEM构建了一个包含130组数据的数据库。一般情况下,在训练神经网络之前,需要对数据库进行归一化处理,避免数量级差异导致神经网络预测误差值变大。神经网络非线性激活函数的值域一般为(0,1)或(−1,1),因此需经过归一化处理使输入数据与输出数据均处于此区间。

本文采用的归一化处理方法为:

y= x x min x max x min (6)

式(6)中, x 为数据真实值, x max x min 分别为真实值中的最大值与最小值, y 为归一化后的值。同时,为了验证模型预测的准确性,本文采用均方根误差(RMSE)、相关系数( R 2 )进行评估,其计算公式为:

RMSE= 1 n i=1 n ( y i y ^ i ) 2 (7)

R 2 =1 i=1 n ( y i y ^ i ) 2 i=1 n ( y i y ¯ ) 2 (8)

3.3. 网络构建与训练

经过测试,当隐藏层节点个数为15时预测结果最好。基于ELM模型的轻骨料混凝土抗拉强度训练结果如图4~6所示。由图可知,预测值与真实值基本吻合,得到训练集的均均方根误差为0.148,测试集的均方根误差为0.133,验证集的均方根误差为0.1,全部样本的均方根误差为0.137。

Figure 4. Comparison of training set prediction results

4. 训练集预测结果对比

Figure 5. Comparison of test set prediction results

5. 测试集预测结果对比

Figure 6. Comparison of validation set prediction results

6. 验证集预测结果对比

图7可知,训练集的相关系数为0.951,测试集的相关系数为0.954,验证集的相关系数为0.976,全部样本的相关系数为0.956,说明训练后模型拟合度较高,表示模型能够通过输入参数来预测抗拉强度。

Figure 7. Fitting of the sample

7. 样本的拟合情况

3.4. 残差图与重要性比较

为了比较模型性能,本文生成了模型残差与预测值的数据。模型的残差与预测值的对比结果显示在图8中。由于数据点大致位于残差等于0这条线上的水平带中,因此可以认为预测结果是正确的。

为了利用自变量得到关于重要性的信息与排序,本文为神经网络生成了重要性的结果。图9显示了计算得到的重要性的比较。模型归一化重要性最高的为界面弹模。重要程度前三名分别为界面弹模、骨料弹模和截面尺寸。

4. 模型应用

模型训练完毕后,将模型保存至BFEM-ELM.mat文件。选取新数据运用BFEM进行数值模拟得到轻骨料混凝土的抗拉强度,运用新数据导入到神经网络中进行轻骨料混凝土抗拉强度的预测并与数值模拟得到数据进行比较,测试模型的应用能力,且这些数据并未出现在数据集中。预测结果如图10所示。

图10可以看出,模型能够较为准确地预测轻骨料混凝土抗拉强度的数值。通过计算得出,预测值与真实值间的平均误差为0.115。根据以上结果,此模型可以较为准确地预测轻骨料混凝土的抗拉强度。

Figure 8. Residual plot

8. 残差图

Figure 9. Comparison of importance

9. 重要性比较

Figure 10. Prediction results

10. 预测结果

5. 结论

1) 成功建立了BFEM-ELM的混合建模框架,实现了对轻骨料混凝土抗拉强度从细观结构到宏观性能的准确、快速预测。

2) 所训练的ELM模型具有高精度(R2 > 0.95)、高速度和高稳健性的特点,是一个优异的计算模型。但是由于资源有限,本研究仅模拟到130组轻骨料混凝土数据。随着数据集中数据的逐渐增加,神经网络模型的预测能力会更加准确。

3) 基于ELM模型进行的重要性比较,直观地揭示了各细观因素对抗拉强度的影响规律与敏感程度,为材料性能优化指明了方向。

4) 当前模型为二维模型,未来可发展三维BFEM细观模型,以更真实地反映骨料的空间分布和裂纹的三维扩展;扩展ELM模型,使其不仅能预测抗拉强度,还能同时预测抗压强度、弹性模量、断裂能等多个力学指标,形成一个多输出计算模型。同时,与真实实验数据相对比,对BFEM模型参数进行标定与修正,进一步提升模型的外推预测可靠性。

参考文献

[1] 王洪镇, 温家宝, 杨永恒, 等. 复掺纤维轻骨料混凝土的性能研究及应用[J]. 新型建筑材料, 2025, 52(11): 64-68.
[2] 张学元, 吕春, 张道明, 等. 稻草纤维在轻骨料混凝土中的增韧性能及劈裂抗拉强度预测模型[J]. 材料导报, 2020, 34(2): 2034-2038.
[3] 孙振, 李亚林, 贝阳, 等. 纤维增强珊瑚骨料混凝土劈裂抗拉强度预测及其特征分析[J]. 应用基础与工程科学学报, 2025, 33(2): 549-558.
[4] Sear, L.K.A., Dews, J., Kite, B., Harris, F.C. and Troy, J.F. (1996) Abrams Law, Air and High Water-to-Cement Ratios. Construction and Building Materials, 10, 221-226. [Google Scholar] [CrossRef
[5] Bolomey, J. (1935) Granulation et prévision de la résistance probable des bétons. Travaux, 19, 228-232.
[6] Shaban, W.M., Elbaz, K., Yang, J., Thomas, B.S., Shen, X., Li, L., et al. (2021) Effect of Pozzolan Slurries on Recycled Aggregate Concrete: Mechanical and Durability Performance. Construction and Building Materials, 276, Article ID: 121940. [Google Scholar] [CrossRef
[7] Das, P., Kashem, A., Hasan, I. and Islam, M. (2024) A Comparative Study of Machine Learning Models for Construction Costs Prediction with Natural Gradient Boosting Algorithm and SHAP Analysis. Asian Journal of Civil Engineering, 25, 3301-3316. [Google Scholar] [CrossRef
[8] Eltarabily, M.G., Elshaarawy, M.K., Elkiki, M. and Selim, T. (2023) Modeling Surface Water and Groundwater Interactions for Seepage Losses Estimation from Unlined and Lined Canals. Water Science, 37, 315-328. [Google Scholar] [CrossRef
[9] Shaban, W.M. and Daef, K.S. (2023) Performance of Eco-Friendly Concrete: A Safe Direction to Sustainable Cities Development. Smart Construction and Sustainable Cities, 1, Article No. 177. [Google Scholar] [CrossRef
[10] Zhou, G., Moayedi, H., Bahiraei, M. and Lyu, Z. (2020) Employing Artificial Bee Colony and Particle Swarm Techniques for Optimizing a Neural Network in Prediction of Heating and Cooling Loads of Residential Buildings. Journal of Cleaner Production, 254, Article ID: 120082. [Google Scholar] [CrossRef
[11] 李相军. 基于极限学习机算法的岩体质量评价模型及其应用[J]. 自动化应用, 2025, 66(24): 48-50.
[12] 郑泽林, 刘罡, 刘钰. RIS辅助通感一体化系统下基于极限学习机的信道估计研究[J/OL]. 无线电通信技术, 1-13.
https://link.cnki.net/urlid/13.1099.TN.20251203.1005.004, 2026-01-25.
[13] 卢志芳, 周祎飞, 刘沐宇, 等. 基于DBO优化极限学习机的桥梁效能评估模型[J]. 武汉理工大学学报, 2024, 46(11): 51-57.
[14] 张博吾, 耿秀丽. 基于金枪鱼群算法优化极限学习机的混凝土抗压强度预测[J]. 计算机应用研究, 2024, 41(2): 444-449.
[15] 马东翼, 应黎坪, 付毓, 等. 基于势能原理基面力元法的橡胶混凝土损伤分析[J]. 混凝土, 2024(9): 12-16+22.
[16] 高玉臣. 弹性大变形的余能原理[J]. 中国科学G辑: 物理学、力学、天文学, 2006(3): 298-311.
[17] 彭一江, 刘应华. 基面力概念在几何非线性余能有限元中的应用[J]. 力学学报, 2008(4): 496-501.
[18] Huang, G., Zhu, Q. and Siew, C. (2006) Extreme Learning Machine: Theory and Applications. Neurocomputing, 70, 489-501. [Google Scholar] [CrossRef
[19] 胡丹, 杨书恒. 基于改进金枪鱼算法优化ELM模型的光伏功率预测[J]. 武汉理工大学学报, 2022, 44(8): 97-104.