数字服务电商供应链中的渠道入侵与定价策略研究——基于生成式AI产业的博弈模型分析
Research on Channel Encroachment and Pricing Strategies in Digital Service E-Commerce Supply Chains—A Game-Theoretic Analysis Based on the Generative AI Industry
摘要: 针对生成式AI供应链中基础模型供应商的功能性入侵问题,本文构建Stackelberg博弈模型,探究下游电子零售商构建私有化壁垒的防御有效性。研究发现:(1) 入侵并非总是导致零和博弈,在低服务替代率与高技术效率条件下,双重边际化消除效应占主导,供应链可实现利润的帕累托改进;(2) 私有化壁垒具有显著的入侵威慑效应,能降低供应商的入侵意愿,从而在特定战略区间内成功迫使供应商放弃入侵。结论表明,构建私有化数据壁垒是下游企业应对上游双重挤压、实现生存与共赢的占优策略。
Abstract: Addressing the functional encroachment by foundation model suppliers in the Generative AI supply chain, this paper develops a Stackelberg game model to examine the defensive efficacy of private barriers built by downstream e-tailers. We find that: (1) Encroachment is not necessarily a zero-sum game; a Pareto improvement zone exists under conditions of low service substitutability and high technical efficiency, driven by the elimination of double marginalization. (2) Private barriers generate a significant Encroachment Deterrence Effect, lowering the supplier’s invasion incentive and effectively deterring entry in specific strategic zones. The results suggest that constructing private data barriers is the dominant strategy for e-tailers to survive and arguably thrive under the supplier’s dual squeeze.
文章引用:李子安. 数字服务电商供应链中的渠道入侵与定价策略研究——基于生成式AI产业的博弈模型分析[J]. 电子商务评论, 2026, 15(3): 185-193. https://doi.org/10.12677/ecl.2026.153262

1. 引言

随着数字经济的纵深发展,电子商务的商业形态正经历着从实物商品交易向数字服务交易的深刻范式转变。在这一新兴的数字服务供应链中,以生成式人工智能为代表的技术产业已形成了一套完整的上游生产与下游分销体系[1]。上游基础模型数字服务供应商作为核心技术的生产者,通过API接口以批发模式向市场出售算力要素;下游垂直应用电子零售商则采购这些要素,结合具体场景开发功能,向终端用户提供增值订阅服务[2]。这种分工协作在初期极大地繁荣了数字服务电商生态[3]

然而,这种供应链正面临着数字服务供应商入侵挑战[4]。与传统制造业的渠道入侵不同,数字服务供应商的入侵不仅体现在推出官方App及类似方法建立官方直销渠道,更表现为一种激进的功能性整合,即为数字服务供应商将原本由下游零售商提供的核心功能(比如文档解读、代码生成等),直接内化为官方直销产品的原生功能。这种既做裁判又做运动员的行为,使得下游电子零售商面临核心价值被上游抽空的生存危机[5]。在此背景下,单纯的渠道营销无法构成护城河,下游企业被迫寻求构建基于专有数据或工作流的私有化壁垒,试图通过提升服务的不可替代性来抵御上游的入侵[6]。因此,将这一独特的产业现象纳入电商供应链管理的理论框架,探讨功能性入侵下的渠道博弈与壁垒构建策略,具有极强的现实紧迫性。

本研究表明,供应商的入侵行为并非总是导致零和博弈,在特定技术效率与差异化条件下,双重边际化效应的消除足以抵消市场分流损失,从而实现供应链整体的帕累托改进。更重要的是,本文发现私有化壁垒不仅具备防御性的减损价值,更在特定战略区间内展现出显著的入侵威慑效应,能够有效抑制上游供应商的扩张冲动并维持下游的独家经营地位。这一结论不仅拓展了渠道入侵与防御的理论边界,也为垂直应用厂商在巨头生态下的生存策略与共演机制提供了坚实的理论依据。

2. 研究现状及问题

2.1. 研究现状

生成式人工智能技术的突破性进展正在重塑数字服务供应链的价值创造逻辑,确立了基础大模型供应商与垂直SaaS电子零售商之间基于API调用等数字服务的新型依存关系[7]。然而,这种上下游合作模式内嵌着深刻的结构性冲突,掌握底层核心技术的供应商为追求利润最大化,日益倾向于将通用能力整合至官方直销渠道,这种功能性入侵行为使得下游零售商面临市场份额被吞噬与边际成本高企的双重困境[8]。面对上游企业的入侵,利用专有数据与行业知识构建私有化壁垒,已成为电子零售商寻求差异化生存与防御的关键战略[9]

现有文献虽广泛探讨了传统供应链中的渠道入侵问题,例如供应商通过在线市场进行入侵的动机与策略[10]、零售商信息共享对供应商入侵策略的影响[11],以及直播带货作为一种渠道入侵形式的作用[12]。产品替代性显著调节了平台入侵的经济效应,仅在两者处于特定低阈值区间时,入侵行为才能实现平台与制造商的利润帕累托改进,同时提升社会福利[13]。但鲜有研究聚焦于生成式AI背景下技术同质化与私有化壁垒构建对入侵决策的动态影响[14]。从数据系统工程视角来看,电子零售商构建这种私有化壁垒,实质上是在生成具有特定目的设计的产成类数据,其价值的释放高度依赖于技术突破与产业生态的系统性协同[15]。本文将探究在服务替代率与技术壁垒成本的双重约束下,上游供应商的入侵边界条件及下游企业的防御有效性。通过构建包含内生壁垒决策的斯塔克伯格博弈模型,本研究深入剖析了供应链成员在竞合关系中的策略互动机制。

2.2. 研究问题

尽管现有的供应链管理文献广泛讨论了数字服务供应商入侵问题,但多聚焦于基于价格或数量的同质化竞争,鲜有研究触及数字服务电商中独特的功能性整合入侵与私有化壁垒防御机制。在生成式AI产业中,数字服务供应商的决策空间涵盖了API批发定价与直销功能边界,而零售商的决策则涉及壁垒构建成本与市场差异化收益的权衡。

基于上述背景,本文构建了一个由单一数字服务供应商与单一垂直电子零售商组成的Stackelberg博弈与Cournot博弈组合模型,旨在解决以下两个核心问题:

入侵的经济动因与影响:在数字服务电商的API计费模式下,数字服务供应商将下游功能整合进官方直销渠道的边界条件是什么?这种功能性入侵是否必然损害供应链的整体效率,还是存在通过做大市场蛋糕实现的帕累托改进?

私有化壁垒的有效性:面对上游的功能性整合,下游电子零售商构建私有化壁垒是否是有效的生存策略?在何种技术成本与市场差异化条件下,构建壁垒能够帮助零售商在数字服务供应商的双重挤压下实现与上游的共存共赢?

3. 模型搭建

3.1. 问题描述与基本假设

本文构建了一个由单一上游基础模型数字服务供应商与单一下游垂直应用电子零售商组成的二级数字服务供应链系统。上游数字服务供应商拥有通过大规模预训练获得的基础大模型等生产资料,能够生成通用的数字服务要素,并以批发模式通过应用程序编程接口向市场出售算力服务。下游电子零售商缺乏独立构建基座模型的能力,需采购数字服务供应商的Token并结合行业认知开发SaaS应用,向终端消费者提供订阅服务。在这一商业生态中,数字服务供应商具有双重市场角色,其既作为上游技术提供方以批发模式向电子零售商出售算力,亦可选择支付固定的渠道构建成本建立官方直销平台,直接向终端消费者提供通用的对话式人工智能服务。这种数字服务供应商入侵行为使得供应链结构由垂直协作转变为既有垂直供货又有水平竞争的双渠道结构。针对上游的功能性入侵威胁,下游电子零售商可选择投入固定技术成本构建私有化壁垒,即利用专有数据对通用模型进行深度适配,以降低服务替代率并提升差异化优势。

3.2. 博弈过程及参数设置

基于电子零售商的技术选择与数字服务供应商的渠道策略,本研究将模型划分为两大类共四种亚均衡场景。第一类为无私有化壁垒的基础服务模式,电子零售商仅对基础模型进行简单的接口封装,产品同质化程度较高。在此模式下,若数字服务供应商维持纯批发业务,记为基础非入侵场景(BN);若数字服务供应商建立直销渠道,则演变为基础入侵场景(BE),此时双方在终端市场进行激烈的同质化竞争。第二类为构建私有化壁垒的增值服务模式,电子零售商投入成本实现服务的垂直差异化。在此模式下,若数字服务供应商不进入,记为壁垒非入侵场景(FN);若数字服务供应商进入,则构成壁垒入侵场景(FE),此时市场竞争重心转向差异化服务博弈。

博弈过程遵循多阶段斯塔克伯格动态博弈范式。鉴于私有化壁垒的构建涉及数据清洗与模型训练,具有显著的长周期与沉没成本特征,故设定为第一阶段决策,由电子零售商决定私有化壁垒的投资水平。第二阶段,数字服务供应商在观察到电子零售商的技术状态后,基于利润最大化原则决定是否支付固定成本以实施市场入侵。第三阶段,在确定的渠道结构下,数字服务供应商作为主导者制定单位Token的批发使用费率。第四阶段,数字服务供应商与电子零售商在终端市场上根据古诺竞争规则同时决定服务供给量。本文采用逆向归纳法对上述多阶段博弈进行求解,以探究各方在不同市场条件下的最优策略均衡。本文模型所涉及的核心参数,决策变量及其符号释义见表1所示。

Table 1. Model parameters

1. 模型参数

符号

描述与定义

θ

服务替代率,衡量SaaS应用与官方直销服务之间的同质化程度, θ( 0,1 )

k

私有化壁垒的技术难度系数(成本系数), k>0

F

数字服务供应商建立官方直销渠道(入侵)的固定进入成本, F>0

A

电子零售商构建私有化壁垒的投资水平(服务增值程度), A0

τ

单位Token的批发使用费率(API Fee),由数字服务供应商制定, τ>0

q E

电子零售商(SaaS)的服务订阅量

q S

数字服务供应商(官方App)的服务直销与订阅量

p i

公司i的服务终端价格, i{ E,S }

π i

公司i的利润函数, i{ E,S }

C(A)

电子零售商的壁垒技术成本函数

Superscript j

均衡场景标识, j{ BN,BE,FN,FE }

4. 场景分析

4.1. 无私有化壁垒搭建场景

首先考察电子零售商未构建私有化壁垒的基准情形。此时电子零售商提供的SaaS服务完全依托于基础模型的通用能力,缺乏显著的垂直差异化特征,因而与数字服务供应商潜在的官方直销服务具有较高的替代弹性。

场景BN:如果数字服务供应商不侵占,数字服务供应商和电子零售商的利润如下:

π E BN =( 1 q E τ ) q E and π S BN =τ q E (1)

场景BE:如果数字服务供应商侵占,数字服务供应商和电子零售商的利润为:

π E BE =( 1 q E θ q S τ ) q E and π S BE =τ q E +( 1 q S θ q E ) q S F (2)

基于逆向归纳法求解,我们将基础模式下非入侵与入侵两个子博弈的亚均衡结果归纳为引理1。

引理1

电子零售商不搭建私有化壁垒,且数字服务供应商不入侵的亚均衡结果为:

τ BN = 1 2 , q E BN = 1 4 , π S BN = 1 8 , π E BN = 1 16

电子零售商不搭建私有化壁垒,数字服务供应商入侵的亚均衡结果为:

τ BE = θ 3 4 θ 2 +8 2( 83 θ 2 ) , q S BE = ( 2θ )( 4+θ ) 2( 83 θ 2 ) , q E BE = 2( 1θ ) 83 θ 2

π S BE = θ 2 8θ+124F( 83 θ 2 ) 4( 83 θ 2 ) , π E BE = 4 ( 1θ ) 2 ( 83 θ 2 ) 2

基于引理1的均衡结果,数字服务供应商的渠道策略取决于直销渠道带来的增量收益是否足以覆盖固定进入成本并弥补因竞争导致的批发业务损失。

推论1

τ BE < τ BN , q E BE < q E BN

数字服务供应商入侵后形成了垂直挤压与水平竞争并存的格局。为了维持下游电子零售商的生存以保留批发业务收入,并缓解因双重加价导致的需求扭曲,数字服务供应商有动机在入侵后降低单位Token的批发费率。尽管批发成本有所降低,但数字服务供应商直销渠道凭借同质化服务的替代性直接分流了终端需求,电子零售商的市场份额受到挤压。

通过比较数字服务供应商在入侵与不入侵情境下的利润函数,即求解 π S BE > π S BN ,可以得出数字服务供应商在无壁垒情形下的最优入侵边界。

命题1

同质化在基础服务模式下,存在唯一的进入成本阈值 F BE 。当且仅当固定进入成本 F< F BE 时,数字服务供应商的最优策略是建立直销渠道进行市场入侵;反之,数字服务供应商将维持单一批发渠道。该临界阈值满足 F BE = 1616θ+5 θ 2 6424 θ 2

随着电子零售商与供应商直销渠道的服务替代率 θ 增加,供应商入侵的意愿(即其愿意支付的最大固定成本)显著降低。如果电子零售商的SaaS产品与供应商的基础服务差异很大,两者更像是互补品而非替代品。供应商入侵能带来显著的市场扩张效应,因此供应商愿意支付较高的固定成本F来建立直销渠道。但若同质化比较强的时候,此时入侵会导致激烈的价格战,也就是严重的竞争效应。激烈的下游竞争削薄了供应商在直销渠道的潜在利润,导致其入侵变得无利可图。因此,此时除非入侵成本极低,否则供应商不愿进入。

4.2. 私有化壁垒搭建场景

本文主要关注数字服务供应商与电子零售商应用长期共存的市场形态。因此,本节我们假设模型参数均处于能够保证市场出现内点均衡的范围内,即满足 q E >0 q S >0 0<τ<1 。对于一方退出市场的极端边界情况,不作为本文研究重点。

场景FN:如果数字服务供应商不侵占,数字服务供应商和电子零售商的利润如下:

π E FN =( 1+A q E τ ) q E 1 2 k A 2 and π S FN =τ q E (3)

场景FE:如果数字服务供应商侵占,数字服务供应商和电子零售商的利润如下:

π E FE =( 1+A q E θ q S τ ) q E 1 2 k A 2 and π S FE =τ q E +( 1 q S θ q E ) q S F (4)

引理2

电子零售商搭建私有化壁垒,且数字服务供应商不入侵的亚均衡结果为:

A FN = 1 2k1 , τ FN = k 2k1 , q E FN = k 2( 2k1 )

π S FN = k 2 2 ( 2k1 ) 2 , π E FN = k( k2 ) 4 ( 2k1 ) 2

推论2

τ FN < τ BN , q E FN < q E BN

电子零售商通过投资A提升了SaaS服务的用户效用,导致需求函数截距上移。作为领导者,供应商敏锐地捕捉到了这一增值空间,并通过提高单位Token的批发价格τ来分配通过下游投资产生的红利。尽管批发价格的上涨在一定程度上抑制了需求,但由于私有化壁垒带来的市场扩张效应占据主导地位,最终的市场均衡表现为价量齐升。这意味着,在非入侵场景下,供应商乐见下游的技术投资,并利用定价权将部分技术红利转化为自身的批发收入。

针对双方的利润绩效观测入侵渠道成本以对比电子零售商构建私有化壁垒的效果,我们提出命题2。

命题2

私有化壁垒在应对平台入侵时的防御性止损价值。 π E FE π E BE 揭示了在供应商入侵情境下电子零售商的优选策略边界。从经济学含义来看,该不等式证明了无论外部技术成本如何波动,构建私有化壁垒后的均衡利润始终严格高于采取无壁垒被动策略时的利润。

虽然供应商的入侵会分流市场,但电子零售商通过投资A降低了产品的同质化和用户效用。相比于任由供应商收割,主动构建壁垒能显著保留更多的市场份额和溢价能力。面对数字服务电商的必然入侵,电子零售商企业不能因为害怕被生态整合而停止创新。相反,构建私有化数据壁垒仅是生存的及格线。

命题3

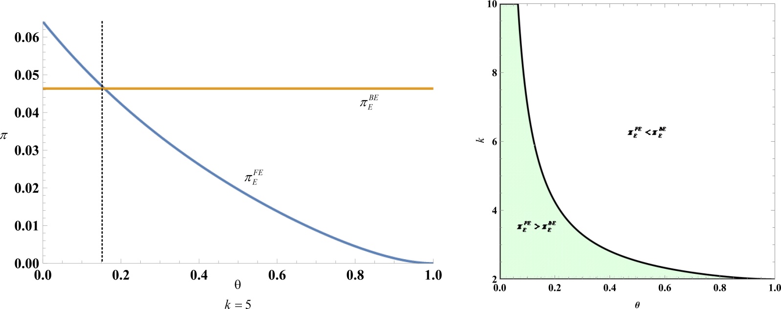
在有效技术成本区间( k>2 )内,存在唯一的服务替代率阈值 θ ¯ ( k ) 。当且仅当电子零售商的服务替代率低于该阈值( θ< θ ¯ )时,供应商的侵占行为反而提升了电子零售商的利润 π E FE > π E FN ;反之,当替代率高于该阈值时,侵占行为将导致电子零售商利润受损。为直观刻画上述利润反转的边界条件,本文绘制了不同参数组合下的均衡利润对比(见图1)。

在极度差异化的深水区,电子零售商应用与平台基础模型呈现高度互补性,供应商为激励下游做大市场或维持批发收益,会主动降低API批发价格,这种成本红利足以超额抵消直销渠道带来的市场分流损失,从而实现利润的帕累托改进。然而,一旦差异化护城河被填平( θ> θ ¯ ),产品同质化将导致恶性的价格与销量双重挤压。这一结论对管理者的核心启示在于,在生成式AI生态中,单纯的技术微调不足以作为生存屏障,企业必须在巨头无法触达的极度垂直场景中构建深井式壁垒;只有将替代率压低至安全阈值之下,电子零售商才能迫使平台巨头退回基础设施提供商的角色,将零和博弈转化为共生获利。

Figure 1. Impact of supplier encroachment on e-tailer's profitability under different service substitutability and technical costs

1. 不同服务替代率与技术成本下供应商侵占对电子零售商盈利能力的影响

命题4

私有化壁垒的入侵威慑效应。 F FE < F BE 揭示了私有化壁垒在改变上游供应商入侵意愿方面的核心机制。有壁垒情境下的入侵成本阈值恒低于无壁垒情境,这意味着私有化壁垒显著压缩了供应商发动功能性入侵的决策区间。

在有效参数区间内,电子零售商构建私有化壁垒的行为降低了供应商的入侵意愿,即有壁垒时的入侵成本阈值恒低于无壁垒时的阈值。这一性质使得电子零售商能够利用壁垒在特定区间内实现入侵威慑。依据入侵固定成本,市场均衡分为三个战略区域。当 F< F B 时,入侵成本极低。无论是否存在壁垒,供应商均会入侵。此时电子零售商应坚持构建壁垒以实现防御性止损(命题4);当 F B <F< F F 时,在此区域内私有化壁垒成为了阻止巨头进场的盾牌。电子零售商通过主动投资,成功将供应商吓退,避免了利润被吞噬;当 F> F B 时,入侵成本很高,供应商始终不会入侵。为直观展示私有化壁垒的战略威慑效应及上述三类均衡区间的边界条件,本文绘制了基于( k,F )参数空间的决策演化图(见图2)。

Figure 2. Strategic partition of equilibrium regions with respect to encroachment fixed cost ( F ) and technical cost coefficient ( k )

2. 基于入侵固定成本( F )与壁垒技术成本系数( k )的均衡战略区域划分

5. 研究结论与展望

基于本研究构建的博弈模型与数值仿真分析,主要得出以下研究结论与管理启示:

关于入侵的经济动因与供应链效率边界,研究发现数字服务供应商的功能性入侵决策严格受制于直销渠道建设固定成本与服务替代率的双重约束。在无壁垒基准下,随着下游产品同质化程度的加剧,激烈的价格竞争反而抑制了供应商的入侵意愿。针对功能性入侵对供应链整体效率的影响,研究证实了其非单调性特征:尽管在大多数参数区间内入侵行为会产生市场吞噬效应,导致电子零售商利润受损,但在极度垂直差异化且技术效率较高的特定条件下,供应链存在帕累托改进区间。此时,供应商为激励下游做大市场或维持批发收益,会主动降低API批发价格,这种消除双重边际化带来的成本红利足以超额抵消直销渠道带来的市场分流损失,从而实现上下游企业的共存共赢。

关于私有化壁垒的有效性与生存策略,研究表明构建私有化壁垒始终是垂直SaaS电子零售商的占优生存策略,但其作用机制在不同战略区间呈现显著差异。私有化壁垒不仅具有防御性减损价值,更具备关键的入侵威慑效应。相较于无壁垒的基础模式,私有化壁垒压缩了供应商在直销市场的潜在套利空间,从而降低了供应商的入侵意愿。特别是在中等入侵成本区间,电子零售商通过主动构建壁垒,能够成功将供应商的入侵预期收益压低至成本线以下,从而迫使供应商放弃入侵,维持独家垄断的市场地位。

综上所述,垂直SaaS电子零售商在面对上游双重挤压时,不应采取规避竞争的保守策略,而应坚定投入私有化数据壁垒的建设。通过将业务下沉至巨头难以触达的复杂垂直场景以降低服务替代率,并持续优化技术效率以降低壁垒构建成本,电子零售商不仅能够构建防御巨头入侵的护城河,更能在特定条件下利用巨头的算力红利实现反向的价值共生。对于数字服务供应商而言,在特定战略区间内维持下游企业的独家经营权,仅通过API生态获取收益可能优于全栈扩张,这为构建健康的生成式AI产业生态提供了理论依据。

参考文献

[1] Li, H. (2024) Analysis of the Digital Transformation Path of Chinese e-Commerce Companies. Finance & Economics, 1, 1-5. [Google Scholar] [CrossRef
[2] Li, K., Zhang, M., Zhou, T. and Liu, B. (2025) Competition and Organizational Structure Co-Optimization of OEMs in a Product-Service Supply Chain. International Journal of Production Economics, 279, Article ID: 109457. [Google Scholar] [CrossRef
[3] Vyas, S.K., Vyas, L., Singh, S. and Joshi, M. (2023) Future of e-Commerce: A Robust Review. In: Nagar, A.K., et al., Eds., Intelligent Sustainable Systems, Springer, 697-710. [Google Scholar] [CrossRef
[4] Li, H. and Li, Z. (2021) Supplier Encroachment in the Supply Chain in the E-Commerce Age: A Systematic Literature Review. Journal of Theoretical and Applied Electronic Commerce Research, 16, 2655-2671. [Google Scholar] [CrossRef
[5] Xia, J. and Niu, W. (2020) A Perspective on Supplier Encroachment in the Era of E-Commerce. Electronic Commerce Research and Applications, 40, Article ID: 100924. [Google Scholar] [CrossRef
[6] Muldoon, J., Valdivia, A. and Badger, A. (2025) The Politics of Artificial Intelligence Supply Chains. AI & Society, 41, 1175-1187. [Google Scholar] [CrossRef
[7] Li, L., Liu, Y., Jin, Y., Cheng, T.C.E. and Zhang, Q. (2024) Generative AI-Enabled Supply Chain Management: The Critical Role of Coordination and Dynamism. International Journal of Production Economics, 277, Article ID: 109388. [Google Scholar] [CrossRef
[8] Wang, Q., Dai, X. and Li, M. (2026) Generative AI in Retail Platform Operations: Considering Supplier Effort Exertion and Consumer Skepticism. International Journal of Production Economics, 292, Article ID: 109870. [Google Scholar] [CrossRef
[9] Nakajima, R. (2025) Valuation of Corporate Strategy for Adopting Generative Artificial Intelligence in B2B Operations. Corporate and Business Strategy Review, 6, Article No. 40. [Google Scholar] [CrossRef
[10] Liu, B., Guan, X. and Wang, Y. (2021) Supplier Encroachment with Multiple Retailers. Production and Operations Management, 30, 3523-3539. [Google Scholar] [CrossRef
[11] Xu, D., Chen, H., Liu, B. and Guan, X. (2026) The Interaction between E-Tailer’s AI Live-Stream Strategy and Supplier Encroachment. Transportation Research Part E: Logistics and Transportation Review, 205, Article ID: 104532. [Google Scholar] [CrossRef
[12] Du, Z., Zhang, J., Liao, C. and Fan, X. (2025) Supplier Encroachment through Live-Streaming: The Role of Channel Structure and Hybrid Contract. International Journal of Production Research, 63, 1-23.
[13] 邹宗保, 陈愿愿, 卜祥智, 夏西强. 考虑产品替代性的电商平台入侵决策[J]. 系统工程学报, 2025, 40(6): 914-930.
[14] Vidhate, D.A. and Raut, K.J. (2025) Exploring the Role of Generative AI in Procurement, Contract Lifecycle Management, Supplier Risk Assessment, and Supply Chain Planning. Power System Technology, 49, 1026-1039. [Google Scholar] [CrossRef
[15] 杨善林, 焦建玲, 莫杭杰, 王东波, 李霄剑, 黄挺, 刘业政. 数据系统工程: 数据资源与数据产业[J]. 系统工程学报, 2025, 40(5): 658-669.