三溴化硼催化的反应类型及其机理的研究进展
Research Progress on Boron Tribromide-Catalyzed Reaction Types and Mechanisms
DOI: 10.12677/jocr.2026.141001, PDF, HTML, XML,   
作者: 袁嘉遥, 王丽丽:兰州交通大学化学化工学院,甘肃 兰州
关键词: 三溴化硼裂解硼氢化溴代环化Boron Tribromide Cracking Brown Hydroboration Bromination Cyclization
摘要: 三溴化硼是一种常用的无机化合物,作为催化剂被应用于聚合物化学,天然产物合成和药物化学等领域,涉及到了多样的有机化学反应类型,本文主要综述了三溴化硼催化的C-H硼氢化反应、醚和胺及硫醇的裂解、溴代和环化等方面,并对其中相关的催化反应机理简单论述。
Abstract: Boron tribromide is a commonly used inorganic compound. It is applied as a catalyst in different fields involving various types of organic chemical reactions, such as polymer chemistry, natural product synthesis, and medicinal chemistry. This article mainly reviews the C-H borohydride reaction, cracking of ether, amine and thiol, bromination, and cyclization catalyzed by boron tribromide, and briefly discusses the related catalytic reaction mechanisms.
文章引用:袁嘉遥, 王丽丽. 三溴化硼催化的反应类型及其机理的研究进展[J]. 有机化学研究, 2026, 14(1): 1-14. https://doi.org/10.12677/jocr.2026.141001

1. 引言

三溴化硼。一种常用的无机化合物,英文名为Boron tribromide,化学式为BBr3,外观为无色透明液体,密度略高于水,能溶于四氯化碳、二氧化硫、二硫化碳等有机试剂,三溴化硼对水分高度敏感,在空气中会分解并释放溴化氢。它必须储存在干燥的惰性气氛中。它与水和醇类等质子溶剂发生剧烈反应。三溴化硼是一种用途广泛的试剂,多用于聚合物化学,天然产物合成和药物化学等领域。

2. 三溴化硼常见反应类型

2.1. C-H硼氢化反应

在过去的几十年里,过渡金属催化的芳香族C-H硼酰化反应将C-H键转化为C-B键,发展迅速,为芳香族有机硼化合物的合成提供了一条直接的途径。尽管过渡金属催化在C-H硼氢化反应中非常有效,但无过渡金属的C-H硼氢化反应在可持续化学方面引起了相当大的关注[1]

分子内含有硼氮配位键的氮杂-π共轭框架因其有趣的光物理和电子性质而引起了人们的广泛关注,其电子亲和力高于传统的电子传输材料,这表明它们具有作为n型半导体材料的潜力[2]。这种配位化合物是通过溴取代的n-杂芳族化合物与正丁基锂的锂化,然后与卤代硼烷衍生物发生取代反应而合成的,有机锂试剂由于其高度亲核性和碱性特性可能会导致发生不希望的副反应,限制结构修饰的范围。2010年,Ishida等人[3]发现2-苯基吡啶衍生物与BBr3的亲电芳香硼酰化反应是合成吡啶硼烷配合物的简便方法(图1)。2-苯基吡啶1在室温下用3当量的BBr3和1当量的N,N-二异丙基乙胺(Et2N (i-Pr))混合,以89%的收率获得吡啶–二溴硼烷络合物2,并且在后续以相同的条件高产率合成出了不同的芳基–二溴硼烷络合物。

Figure 1. Synthesis of pyridine-dibromoborane complex 2

1. 吡啶–二溴硼烷络合物2的合成

此后,Lv小组成员[4]于2020年报道了一种在无金属条件下使用BBr3作为试剂和催化剂对(杂)芳烃进行温和定向C-H硼酰化的一般策略(图2),其中导向基团(DG)是指可通过与试剂相互作用来促进反应有选择性地发生的取代基。选用BBr3催化N-新戊酰酰胺3进行硼酰化,在二氯甲烷中在室温下使用1.0当量的化合物3和1.1当量的BBr3反应,使得反应物完全转化并形成中间产物硼络合物3b (图3)。然后,在THF和H2O (1:1)共溶剂中处理3.0当量的NaBO3导致原位形成羟基化产物,并以92%的收率分离出产物4

Figure 2. BBr3 catalyzed C-H Borylation Strategy

2. BBr3催化C-H硼氢化策略

Figure 3. BBr3 catalyzed hydroboration of compound 3

3. BBr3催化化合物3的硼氢化

2019年,Lv及其同事[5]报道了仅使用BBr3对吲哚和苯胺进行新戊酰基导向的邻位硼化反应,受上述成果的启发,2020年Wu小组[6]在这个系统中研发一种新的、更具生物活性的导向基团,研究发现,一种通过BBr3和金刚烷-羰基助剂对二苯胺进行C-H硼酰化的方法(图4)。该反应表现出位点排他性和良好的官能团耐受性,在后续的研究中,实验研究用于硼化的不同类型的酰基,在选出最优的导向基团后对其进行条件优化,在室温和N2气氛下,在干燥的CH2Cl2中,化合物加入2.2当量的BBr3,产率达到了80%。

Figure 4. BBr3 catalyzed hydroboration of compound 5

4. BBr3催化化合物5的硼氢化

基于Wu小组的研究成果,Lv等人[7]研发了一种BBr3介导的硫代苯甲酰胺的S-导向邻位C-H硼酰化反应,使用BBr3作为硼酰化试剂与N,N-二甲基硫代苯甲酰胺进行无金属C-H硼酰化反应,在120℃的N2氛围下,将化合物7和2.0当量的BBr3在二氯乙烷(DCE)中混合,并在加入频哪醇和三乙胺(Et3N)后再混后,以92%的产率分离出硼酰化产物8 (图5)。

Figure 5. Hydroboration of compound 7

5. 化合物7的硼氢化

综上所述,BBr3介导的C-H硼氢化反应是合成特定类型(富电子)芳香硼酸的一种有效方法。它利用了BBr3较强的亲电性,通过经典的电芳香取代机理进行。BBr3在催化C-H硼氢化反应中具有可直接硼化简单芳烃;具有高区域选择性,对于富电子芳烃,可以高选择性地得到特定异构体;具有原子经济性,相对于先金属化(如锂化、镁化)再硼化的两步法,此方法更直接[8] [9]。但是,BBr3仍具有底物范围窄,很难作用于中性或缺电子芳烃,官能团耐受性差,在反应前需考虑是否进行官能团保护,在反应过程中需要苛刻的无水无氧环境等缺点。

2.2. 裂解

2.2.1. 醚的裂解

三溴化硼作为最常用于脱甲基的试剂,其原理在于BBr3可用于裂解醚类中的C-O键,得到烷基溴和烷氧基硼烷,然后水解成相应的醇[10]

Gan等人[11]使用BBr3催化裂解反应物9,并分别探究了温度,溶剂等因素对裂解反应的影响,经过条件筛选,在0℃的条件下,以CH2Cl2为溶剂,将3当量的BBr3加入到1当量的化合物9中,完全反应,以95%的产率生成了产物10 (图6)。

Figure 6. Demethylation of compound 8

6. 化合物8的脱甲基

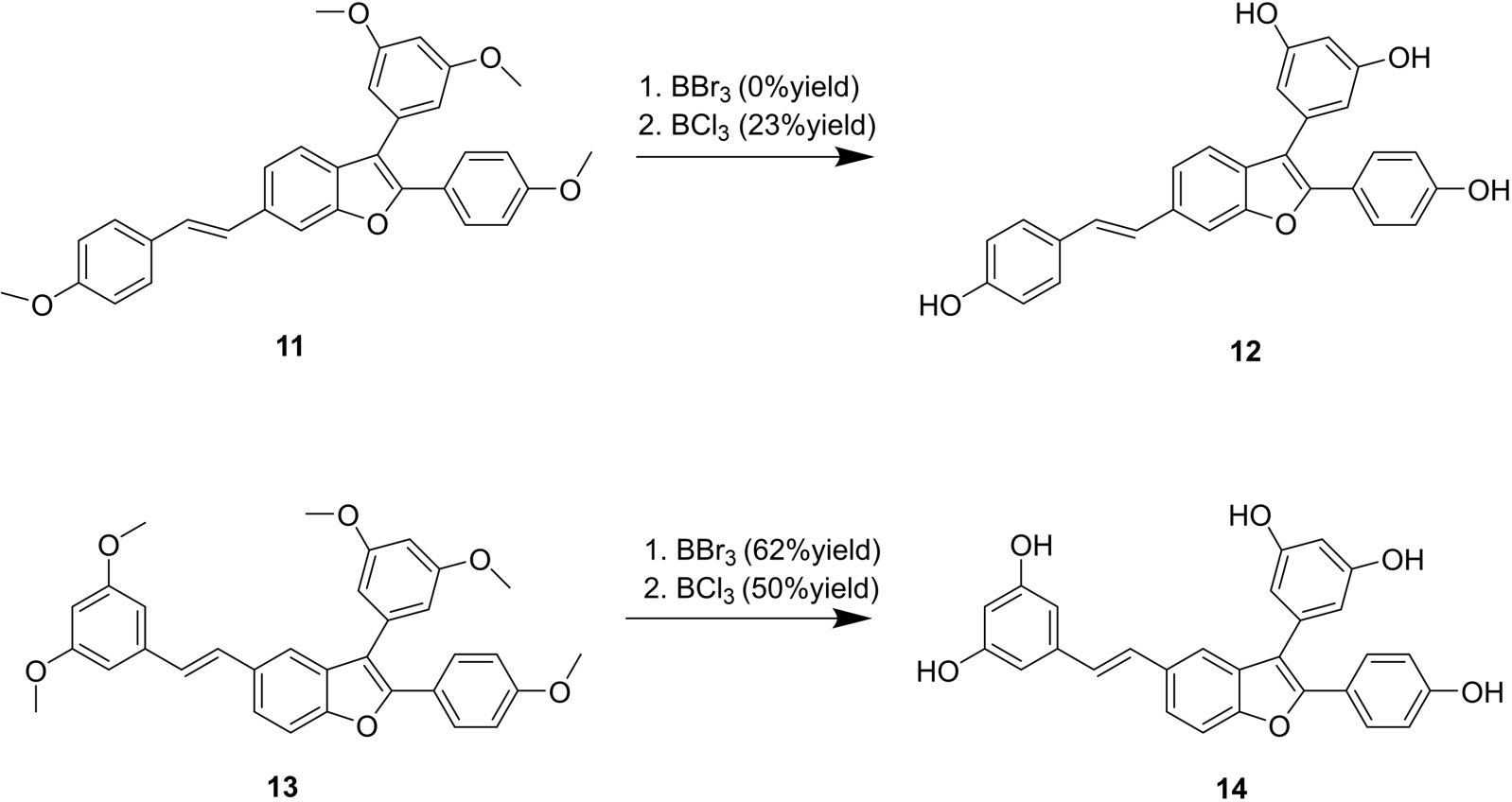
Vo等人[12]在进行Viniferifuran、白藜芦醇–白皮杉醇交联物、Anigopressin A及其类似物的全合成时对醚的裂解条件进行了探究,分别使用BBr3和BCl3对反应物进行去甲基化条件的探究,在相同的底物与条件下,分别使用BBr3和BCl3进行去甲基化,产率各有不同(图7),具体结果如下,产物11只能在BCl3的催化下去甲基化生成产物12,在BBr3的条件下反应产率几乎为0,在化合物13反应生成14的反应中,BBr3以62%的产率生成了化合物14,而BCl3以50%的产率生成了化合物14。在不同条件下,BBr3与BCl3去甲基化产率各有高低,BBr3相较于BCl3具有更强的路易斯酸性与亲电性,溴离子相较于氯离子时更优的亲核试剂与更强的离去基,因此在化合物13在BBr3的催化下脱甲基产率更高,导致化合物11无法使用BBr3脱除甲基的原因可能是因为BBr3选择性较差,生成了其他产物,而BCl3的反应选择性更好,反应条件更加温和,副产物生成概率低[13] [14]。因此在选择这两种催化剂时,需要根据实际情况考虑。

2.2.2. 对胺和硫醇的裂解

在温和的条件下,BBr3可以裂解C-N键和C-S键。Eddy等人[15]发现三溴化硼选择性地从环上裂解甲氧基甲基醚基团(MOM),而不影响5位取代基的多重键(图8),将−78℃的BBr3溶于CH2Cl2后干燥处理,与化合物15反应,以85%的产率生成产物16。Ekaterina Paliakov等人[16]用BBr3处理苄基取代的杂环胺得到相应的氨基类化合物21-24 (图9)。

Figure 7. Demethylation of compounds 11 and 13 catalyzed by BBr3 and BCl3

7. BBr3与BCl3催化下化合物1113的去甲基化

Figure 8. Removal of the MOM group from compound 15 catalyzed by BBr3

8. BBr3催化化合物15脱除MOM基团

Figure 9. BBr3 catalyzed removal of benzyl protecting group

9. BBr3催化脱除苄基保护

Nicolai小组成员[17]在将三溴化硼和乙酰氯混合,一锅法使得化合物25的C-S键断裂,生成新的硫醇26 (图10)。

综上所述,BBr3是一种高效、选择性强的醚键裂解试剂,其核心价值在于将稳定的芳基烷基醚(尤其是甲醚)转化为酚。BBr3已知最强的醚键裂解试剂之一,可以解决HI,BCl3等常见催化剂难以断裂的醚键。通过改变BBr3催化剂的当量与反应温度时间等,还可以做到选择性脱除醚键。但是BBr3催化裂解醚键时可能导致敏感的官能团(如缩醛、内酯、某些含氮基团)分解或重排[18] [19],因此需控制好反应条件。

Figure 10. BBr3 promotes the cleavage of the C-S bond

10. BBr3促使C-S键裂解

2.3. 溴代反应

2.3.1. 对烯烃炔烃加成

BBr3可与烯烃与炔烃发生加成反应生成溴代产物,丙二烯27的三溴化硼反应以极高的产率生成产物28 (图11),产物28与苯甲醚(PhOMe)反应生成二苯氧基硼烷29,产物29可作为合成Z-溴高炔醇的中间产物[20]

Figure 11. Addition of BBr3 to alkenes

11. BBr3对烯烃加成

BBr3与炔烃的反应通常以立体、区域和化学选择性的方式发生,通过将B-Br部分顺式加成到C≡C键上(图12),Jan等人[21]在氩气中用镁屑蒸馏纯化BBr3,将乙炔30引入纯化后的BBr3中,静置过夜生成产物31,产率高达98%。

Figure 12. Addition of BBr3 to compound 30

12. BBr3对化合物30的加成

乙烯基硼烷是有机合成中的通用试剂,多用于转化反应,Diels-Alder反应、羰基化合物的加成反应,George小组[22]将芳醛32与2当量芳基乙炔33使用BBr3作为溴源进行反应,生成了相应的(Z,Z)-1,3,5-三芳基-1,5-二溴-1,4-戊二烯34,并且当(Y = 4F) (Z = H)在BBr3条件下反应完全,产率达到了91% (图13)。类似的,芳醛与3-丁炔-2-酮35,丙炔酸甲酯36在−78℃条件下与1.4当量的BBr3反应完全(图14),34的产率为54% [21],其中产物(E-2:Z-2 = 19:1)。

2.3.2. 对烷烃溴代反应

有机硼烷的路易斯酸性性质是众所周知的,但自由基过程在很大程度上被忽视,自从发现有机硼烷物种进行自由基反应的潜力以来,开发了许多新的和合成有用的转化。三烷基硼烷(BR3)可以很容易地在硼原子处进行双分子均裂取代(SN2)以产生烷基,其中氧气(O2)常作为自由基引发剂(图15)。由于BR3/O2是一种通用的自由基引发剂和共轭加成体系,我们设想:部分卤化硼烷拥有反应性高且足够稳定的卤素自由基,卤素自由基进行选择性卤化反应的原理可能与三烷基硼烷类似(图16)。

Figure 13. Catalytic addition of BBr3 to compounds 32 and 33

13. BBr3对化合物3233催化加成

Figure 14. Catalytic addition of BBr3 to compounds 35 and 36

14. BBr3对化合物3536的催化加成

Figure 15. Trialkyl borane radical reaction mechanism

15. 三烷基硼烷自由基反应机理

Figure 16. Speculation on the synthetic mechanism of compound 40

16. 推测化合物40的合成机理

基于上述原理,Matthew等人[23]使用39与1.25当量的BBr3混合,并使用1.5当量的H2O为质子源,以80%产率获得了预期产物40与5%的化合物41与14%的化合物42 (图17)。

Figure 17. Bromination of compound 39

17. 对化合物39的溴代

Yuji Qin等[24]分别使用BBr3与BCl3与化合物43、化合物45反应,并且在间氯过氧苯甲酸(m-CPAB)与碘苯(PhI)的催化下,合成了卤代二氢[1,3]-恶嗪44和卤代-2-噁唑啉45 (图18)。在合成卤代二氢[1,3]-恶嗪时,氯化产物的产率明显低于溴化产物的产率。合成卤代-2-恶唑啉的方法为为高价碘(III)催化的卤化反应合成N,O-杂环提供了一条崭新的途径。

Figure 18. Compounds 43 and 45 were substituted with BBr3 and BCl3, respectively

18. 对化合物4345分别使用BBr3和BCl3取代

2.3.3. 对芳香烃的溴代反应

苄溴类化合物在有机合成中是一类常用的中间体,近年来溴苄类物质在树枝状化合物、笼状化合物、杯状化合物等以及其它一些用于主客体化学研究而设计合成中有着重要而广泛的用途[25],在过去NBS (N-溴代丁二酰亚胺)作为溴化试剂对取代的甲苯衍生物进行溴化[26]。三溴甲基芳烃可以通过芳香族化合物与四溴化碳的傅克反应制备。这些反应通常选择性较差,需要有毒试剂或通常涉及高温和长反应时间的恶劣条件,以及有些反应会对苯环上的取代基有影响。Chen等人[27]使用对氟苯三氟47溶于四氯化碳中在真空条件下与BBr3反应(图19)。室温反应36 h后以,92%的产率获得对氟苯三溴48。随后研究了不同的三氟甲苯衍生物使用BBr3溴代,均以高产率获得对应的三溴苯化合物。Shen等人[28]研究了使用BBr3对甲基芳烃的侧链溴化的影响因素,分析证明了四氯化碳是BBr3溴化的最优溶剂,并分析了BBr3的量,反应时间,反应温度对其的影响。Chen等[29]以三溴化硼为溴源,在室温下甲苯49进行溴代,以良好的收率得到相应的溴化苄50,并以同样的方式对甲苯衍生物溴代,最终得到了对应的溴化苄衍生物。

Figure 19. Bromination of aromatic hydrocarbons

19. 芳香烃的溴代

2.3.4. 对醇类的溴化反应

Joelle等[30]使用BBr3分别取代了不同类型的醇(伯醇、仲醇和叔醇),在0℃将溶于无水CH2Cl2的BBr3加入醇中,使用NMR光谱监测反应进程,结果显示,醇的反应顺序:叔醇 > 仲醇 > 伯醇。

2.3.5. 作为手性硼烷试剂。

手性路易斯酸作为不对称Diels-Alder反应的催化剂改变了经典的热环加成反应。由手性吡咯烷和BBr3制成的配合物是这些环加成反应的有效催化剂。Sprott等[31]使用2,5-二苄基吡咯烷与2,6-二叔丁基吡啶和BBr3反应生成5252可催化环戊二烯和2-甲基丙烯醛进行Diels-Alder反应(图20)。

Figure 20. Bromination of compound 51

20. 化合物51的溴代

综上所述,BBr3是醇类烃类最常用溴代反应的溴源之一,它在醇转化为溴代烷的转化上表现最为突出,其具有温和、高选择性、立体化学明确的特点[32],成为合成复杂、敏感分子时不可替代的工具。然而,使用BBr3溴代反应时,也需注意其具有高反应活性、苛刻的操作要求和潜在的副反应等因素。近年来,使用少量的BBr3来催化活化底物,并设计一个高效的循环使溴原子从廉价、易得终端溴(如HBr)转移到底物上,从而实现BBr3的循环利用[33] [34]

2.4. 分子内环化反应

BBr3参与的分子内环化反应是其作为多功能试剂在复杂分子构筑中的高级应用。这类反应通常利用BBr3的强路易斯酸与溴源的双重特性。这类反应往往一步完成多步反应(如脱保护、溴化、环化),具有高效、高原子经济性的特点,广泛用于构建含氧杂环等[35] [36]

一般来说,可以将BBr3参与的分子内环化的机理为:首先,BBr3与甲氧基结合,活化醚键,溴负离子进攻烷基碳,脱去甲基溴(CH3Br),生成酚氧负离子或者酚-BBr₂络合物。随后分子内的烯烃双键作为亲核试剂,进攻被BBr3活化的酚氧位点,发生分子内亲核取代或加成,关环,最终脱除或转移部分质子,得到产物。

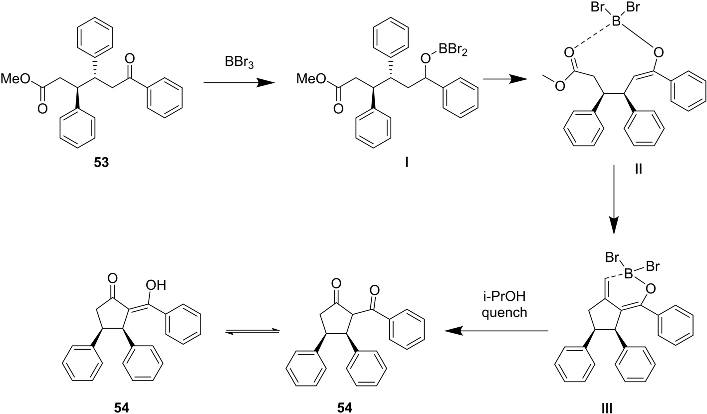
Martin等人[37]探讨了由氧代三苯基己酸酯53合成环状顺邻位苯基乙烯54 (图21)。反应是 BBr3促进1,6-酮酯53环化为五元二酮化合物54。该合成是构成了具有顺式取向邻二苯乙烯结构的模块化立体选择性合成的例子之一。

Figure 21. Cyclization of compound 53 catalyzed by BBr3

21. BBr3催化化合物53的环化

从机理上讲,反应始于BBr3促进化合物53的烯醇化,从而产生中间体I。在下一步中,酯羰基被硼分子内活化,产生含硼物种II。在中间体II中,烯醇与酯发生分子内反应,生成含硼的环状过渡中间体III。反应结束时,加入过量异丙醇以淬灭中间体III,生成化合物54,其以烯醇形式稳定(图22)。

Figure 22. Proposed cyclization mechanism of compound 53

22. 化合物53的环化机理推测

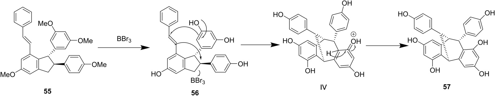
Zhang小组[38]通过BBr3诱导的五甲基醚55的裂解来制备环化产物。将化合物55在−50℃至5℃的二氯甲烷中用BBr3处理12小时,它出乎意料地以39%的收率直接转化为产物57,而不是转化为中间体56 (图23)。这一发现表明,作为路易斯酸,BBr3的强度足以同时促进脱甲基化和级联分子内环化。

Figure 23. Cyclization of compound 55 catalyzed by BBr3

23. BBr3催化化合物55的环化

从机理上,化合物55在二氯甲烷中被BBr3脱甲基,得到化合物56。然后在路易斯酸BBr3条件下,打开不稳定的二氢呋喃环,然后对双键进行亲核攻击,形成五元环中间体Ⅳ。然后,双键对中间体的第二次亲核攻击和随后的脱质子化产生最终产物57。上述所有反应都应该协同进行(图24)。

Figure 24. Proposed cyclization mechanism of compound 55

24. 化合物55的环化机理推测

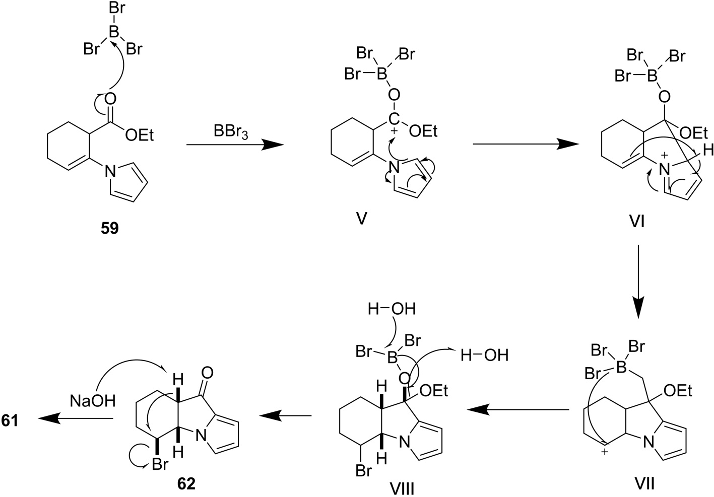
Jourdan等人[35]将无法分离的化合物5859混合,使用三溴化硼进行环化反应,除了预期产物60外,该反应在碱性处理后得到了一种意想不到的四环化合物。后者通过2D NMR检测鉴定为1,2,3,3a-四氢环戊[1,3]环丙烷[1,2-b]吡咯里嗪-8(3bH)-酮61 (图25)。为了理解这种令人惊讶的合成,论文深入研究了在不进行碱性处理的条件下进行的反应,在这种情况下,观察到反式–顺式溴吡咯烷酮62的形成(图26)。

Figure 25. BBr3 catalyzes the cyclization of compounds 58 and 59

25. BBr3分别催化环化化合物5859

可以提出以下原理来解决观察到的产物的形成问题:59中吡咯环的芳香性不是通过消除BBr3和乙醇来恢复的,而是通过形成另一个带有阳离子碳的中间体Ⅴ来恢复的。后者可以被OBBr3基团非对映选择性溴化,从而得到更稳定的溴衍生物Ⅶ。后者最终会水解62,在碱性介质中,其羰基α位的脱质子化会导致HBr消除后环化成61 (图26)。

Figure 26. Investigation of the cyclization mechanism of compound 59

26. 化合物59的环化机理探究

综上所述,由三溴化硼介导的分子内环化反应一种具有经济原子高效性,可构建多样型杂环,区域立体选择性好的合成策略,它将BBr3的经典反应性(醚键裂解、亲电溴化/硼化)与环化过程创新性地结合,提供了将简单前提转化为环化产物的“一锅法”解决方案,这类反应尤其适用于天然产物全合成中关键环系的构建,具有良好的发展前景。

3. 总结与展望

三溴化硼C-H硼氢化,裂解相应化学键,溴代有机产物,催化环化等方面均有建树。在进行C-H硼氢化反应中,三溴化硼提供了亲电硼源,直接构建C-B键,合成了部分芳香硼酸,在一定程度上解决了由于过渡金属价格高昂导致的无法进行工业生产,将理论带入到了实践。在脱保护方面,三溴化硼作为路易斯酸,可以轻松活化C-O键或N-O键并提供溴源,因此其可以方便高效地裂解C-O键以及N-O键,目前三溴化硼是脱除苄基保护,甲基保护以及氨基保护等最常用的试剂之一,在有机化学实验室和工厂生产中均不可或缺。在三溴化硼介导溴化反应中,其通常作为路易斯酸高效地进行加成或取代并提供溴源,能高效的合成溴代产物。通常条件下,BBr3也可以作为环化的催化剂进行多种化学反应。其中,三溴化硼提供了多种作用:活化基团,提供溴源,提供硼源。三溴化硼介导的分子内环化反应可以一锅多步,高效构筑复杂环系,可以有效地含氧或硼杂环、螺环化合物,在天然有机合成领域可以解决诸多难题。然而,目前使用三溴化硼进行研究时面对高反应活性导致的低选择性、苛刻的无水无氧的操作环境、含硼废物的处理困难、官能团兼容性有限等诸多挑战等待研究解决。综上所述,三溴化硼由于其价格低廉,易制取,好回收等优良条件,越来越多地被使用在实验室化学研究以及工厂生产中,三溴化硼在未来必定会在有机化学领域大放异彩。

参考文献

[1] Iqbal, S.A., Millet, C.R.P., Pahl, J., Yuan, K. and Ingleson, M.J. (2022) Two Directing Groups Used for Metal Catalysed Meta‐C-H Functionalisation Only Effect ortho Electrophilic C-H Borylation. European Journal of Organic Chemistry, 2022, e202200901. [Google Scholar] [CrossRef] [PubMed]
[2] Wakamiya, A., Taniguchi, T. and Yamaguchi, S. (2006) Intramolecular B-N Coordination as a Scaffold for Electron‐transporting Materials: Synthesis and Properties of Boryl‐Substituted Thienylthiazoles. Angewandte Chemie, 118, 3242-3245. [Google Scholar] [CrossRef
[3] Ishida, N., Moriya, T., Goya, T. and Murakami, M. (2010) Synthesis of Pyridine-Borane Complexes via Electrophilic Aromatic Borylation. The Journal of Organic Chemistry, 75, 8709-8712. [Google Scholar] [CrossRef] [PubMed]
[4] Lv, J., Zhao, B., Yuan, Y., Han, Y. and Shi, Z. (2020) Boron-Mediated Directed Aromatic C-H Hydroxylation. Nature Communications, 11, Article No. 1316. [Google Scholar] [CrossRef] [PubMed]
[5] Lv, J., Chen, X., Xue, X., Zhao, B., Liang, Y., Wang, M., et al. (2019) Metal-Free Directed sp2-C-H Borylation. Nature, 575, 336-340. [Google Scholar] [CrossRef] [PubMed]
[6] Wu, G., Fu, X., Wang, Y., Deng, K., Zhang, L., Ma, T., et al. (2020) C-H Borylation of Diphenylamines through Adamantane-1-Carbonyl Auxiliary by BBr3. Organic Letters, 22, 7003-7007. [Google Scholar] [CrossRef] [PubMed]
[7] Lv, J., Liang, Y., Ouyang, Y. and Zhang, H. (2024) Metal-Free ortho C-H Borylation of Thiobenzamides. Organic Letters, 26, 3709-3714. [Google Scholar] [CrossRef] [PubMed]
[8] Guo, Y., Wang, M. and Liu, G. (2024) Recent Advances on Regioselective C-H Borylation of Indoles. Asian Journal of Organic Chemistry, 13, e202400464. [Google Scholar] [CrossRef
[9] Hata, H., Yamaguchi, S., Mori, G., Nakazono, S., Katoh, T., Takatsu, K., et al. (2007) Regioselective Borylation of Porphyrins by C-H Bond Activation under Iridium Catalysis to Afford Useful Building Blocks for Porphyrin Assemblies. ChemistryAn Asian Journal, 2, 849-859. [Google Scholar] [CrossRef] [PubMed]
[10] Kosak, T.M., Conrad, H.A., Korich, A.L. and Lord, R.L. (2015) Ether Cleavage Re‐Investigated: Elucidating the Mechanism of BBr3‐Facilitated Demethylation of Aryl Methyl Ethers. European Journal of Organic Chemistry, 2015, 7460-7467. [Google Scholar] [CrossRef] [PubMed]
[11] Gan, B., Jiang, X., Mi, Z., Zhang, C., Bai, R., Shuai, Q., et al. (2019) Straightforward Synthesis of Amino-3-Hydroxypyridin-4-One Iron Chelators via BBr3-Mediated Tandem Reduction of Azides and Deprotection of Methyl Ether. Synthetic Communications, 49, 73-79. [Google Scholar] [CrossRef
[12] Vo, D.D. and Elofsson, M. (2016) Total Synthesis of Viniferifuran, Resveratrol‐Piceatannol Hybrid, Anigopreissin A and Analogues—Investigation of Demethylation Strategies. Advanced Synthesis & Catalysis, 358, 4085-4092. [Google Scholar] [CrossRef] [PubMed]
[13] Krohn, K., Aslan, A., Ahmed, I., Pescitelli, G. and Funaioli, T. (2009) Novel 1,4,5,8‐Phenanthrenediquinones and Unusual Deoxygenation with Trimethylsilyl Iodide. European Journal of Organic Chemistry, 2009, 5452-5457. [Google Scholar] [CrossRef
[14] Bellur, E. and Langer, P. (2005) Convenient Synthesis of ε-Halo-β-Ketoesters and γ,γ‘-Dibromoalkanones by Regio-And Chemoselective Reaction of 2-Alkylidenetetrahydrofurans with Boron Trihalides: A “Ring-Closure/Ring-Cleavage” Strategy. The Journal of Organic Chemistry, 70, 3819-3825. [Google Scholar] [CrossRef] [PubMed]
[15] Sotelo, E., Coelho, A. and Raviña, E. (2001) Pyridazines. Part 25: Efficient and Selective Deprotection of Pharmacologically Useful 2-Mom-Pyridazinones Using Lewis Acids. Tetrahedron Letters, 42, 8633-8636. [Google Scholar] [CrossRef
[16] Paliakov, E. and Strekowski, L. (2004) Boron Tribromide Mediated Debenzylation of Benzylamino and Benzyloxy Groups. Tetrahedron Letters, 45, 4093-4095. [Google Scholar] [CrossRef
[17] Stuhr-Hansen, N. (2003) The Tert-Butyl Moiety—A Base Resistent Thiol Protecting Group Smoothly Replaced by the Labile Acetyl Moiety. Synthetic Communications, 33, 641-646. [Google Scholar] [CrossRef
[18] Yamato, T., Fujimoto, M., Miyazawa, A. and Matsuo, K. (1997) Selective Preparation of Polycyclic Aromatic Hydrocarbons. Part 5.1 Bromination of 2,7-Di-Tert-Butylpyrene and Conversion into Pyrenoquinones and Their Pyrenoquinhydrones. Journal of the Chemical Society, Perkin Transactions 1, No. 8, 1201-1208. [Google Scholar] [CrossRef
[19] Waldman, S.R., Monte, A.P., Bracey, A. and Nichols, D.E. (1996) One-Pot Claisen Rearrangement/O-Methylation/Alkene Isomerization in the Synthesis of Ortho-Methoxylated Phenylisopropylamines. Tetrahedron Letters, 37, 7889-7892. [Google Scholar] [CrossRef
[20] Hara, S. and Suzuki, A. (1991) The Organic Synthesis Using Haloboration Reaction 20. a Simple Synthesis of (2-Bromoallyl)Diphenoxyborane by the Bromoboration of Allene and Its Reaction with Carbonyl Compounds. Tetrahedron Letters, 32, 6749-6752. [Google Scholar] [CrossRef
[21] Polášek, J., Paciorek, J., Stošek, J., Semrád, H., Munzarová, M. and Mazal, C. (2020) Stereoselective Bromoboration of Acetylene with Boron Tribromide: Preparation and Cross-Coupling Reactions of (Z)-Bromovinylboronates. The Journal of Organic Chemistry, 85, 6992-7000. [Google Scholar] [CrossRef] [PubMed]
[22] Kabalka, G.W., Wu, Z. and Ju, Y. (2002) A New Reaction of Aryl Aldehydes with Aryl Acetylenes in the Presence of Boron Trihalides. Organic Letters, 4, 1491-1493. [Google Scholar] [CrossRef] [PubMed]
[23] Gieuw, M.H., Chen, S., Ke, Z., Houk, K.N. and Yeung, Y. (2020) Boron Tribromide as a Reagent for Anti-Markovnikov Addition of HBr to Cyclopropanes. Chemical Science, 11, 9426-9433. [Google Scholar] [CrossRef] [PubMed]
[24] Qin, Y., Qi, L., Zhen, X., Wang, X., Chai, H., Ma, X., et al. (2023) Different Performances of BF3, BCl3, and BBr3 in Hypervalent Iodine-Catalyzed Halogenations. The Journal of Organic Chemistry, 88, 4359-4371. [Google Scholar] [CrossRef] [PubMed]
[25] Otsuka, H., Araki, K. and Shinkai, S. (1995) Syntheses of All Poasible Calix[6]arene Derivatives with Meo-and ROCOCH2O-Substituents and Their Metal Binding Properties. Tetrahedron, 51, 8757-8770. [Google Scholar] [CrossRef
[26] Mataka, S., Liu, G., Sawada, T., Kurisu, M. and Tashiro, M. (1994) Photothermal Side-Chain Bromination of Methyl-, Dimethyl-, and Trimethylbenzenes with N-Bromosuccinimide. Bulletin of the Chemical Society of Japan, 67, 1113-1119. [Google Scholar] [CrossRef
[27] Chen, H., Yin, J. and Lin, Y. (2009) Mild and Efficient Conversion of Trifluoromethylarenes into Tribromomethylarenes Using Boron Tribromide. Chemical Papers, 63, 92-96. [Google Scholar] [CrossRef
[28] 申理滔, 陈红飙, 林原斌. 甲基芳烃的侧链溴化新方法研究[J]. 有机化学, 2010, 30(2): 272-275.
[29] Chen, H., Shen, L. and Lin, Y. (2010) Benzylic Bromination of Toluene Derivatives with Boron Tribromide. Synthetic Communications, 40, 998-1003. [Google Scholar] [CrossRef
[30] Pelletier, J.D. and Poirier, D. (1994) Bromination of Alcohols by Boron Tribromide. Tetrahedron Letters, 35, 1051-1054. [Google Scholar] [CrossRef
[31] Sprott, K.T. and Corey, E.J. (2003) A New Cationic, Chiral Catalyst for Highly Enantioselective Diels-Alder Reactions. Organic Letters, 5, 2465-2467. [Google Scholar] [CrossRef] [PubMed]
[32] Wang, J., Wu, X., Wang, B., Yuan, X., Yang, S. and Hu, H. (2024) The Catalytic Synthesis of α‐Bromo Aryl Acetic Acids by Late‐Stage Bromination. European Journal of Organic Chemistry, 27, e202400962. [Google Scholar] [CrossRef
[33] Shen, L., Chen, H. and Lin, Y. (2010) A New Method for α-Bromination of Methylarene. Chinese Journal of Organic Chemistry, 30, 272-275.
[34] Huang, K., Cai, J., Wang, R., Zhang, Y., Wang, B., Xia, Y., et al. (2024) Electrochemical C(sp2)—H Bromination of Glycine Derivatives Enabled by Boron. Chinese Journal of Organic Chemistry, 44, 989-996. [Google Scholar] [CrossRef
[35] Jourdan, J., Rochais, C., Legay, R., Sopkova de Oliveira Santos, J. and Dallemagne, P. (2013) An Unusual Boron Tribromide-Mediated, One-Pot Bromination/Cyclization Reaction. Application to the Synthesis of a Highly Strained Cyclopenta[1,3]Cyclopropa[1,2-B]Pyrrolizin-8-One. Tetrahedron Letters, 54, 1133-1136. [Google Scholar] [CrossRef
[36] Bellur, E. and Langer, P. (2005) Synthesis of Benzofurans with Remote Bromide Functionality by Domino “Ring-Cleavage-Deprotection-Cyclization” Reactions of 2-Alkylidenetetrahydrofurans with Boron Tribromide. The Journal of Organic Chemistry, 70, 7686-7693. [Google Scholar] [CrossRef] [PubMed]
[37] Kamlar, M., Henriksson, E., Císařová, I., Malo, M. and Sundén, H. (2021) Synthesis of Cis-Oriented Vicinal Diphenylethylenes through a Lewis Acid-Promoted Annulation of Oxotriphenylhexanoates. The Journal of Organic Chemistry, 86, 8660-8671. [Google Scholar] [CrossRef] [PubMed]
[38] Yao, C., Zhang, J., Zhang, J., Kang, Y. and Shi, J. (2016) A Facile and Practical Total Synthetic Route for Ampelopsin F and Permethylated Ε-viniferin. Synlett, 27, 1587-1591. [Google Scholar] [CrossRef