光诱导的自由基脱氰反应研究进展
Research Progress on Light-Induced Radical Decyanation Reactions
DOI: 10.12677/jocr.2026.141002, PDF, HTML, XML,   
作者: 程自强:浙江师范大学,化学与材料科学学院,浙江 金华
关键词: 光催化自由基反应脱氰Photocatalysis Radical Reaction Decyanation
摘要: 脱氰基是药物研究、医学和材料科学研究中芳香分子合成的重要过程。在过去几十年中,由于氰基的热力学稳定性,很少有人将其认为是一个好的反应位点。随着科学技术的进步,光化学反应发展迅速,凭借其绿色、可持续、高效降解等优势,正日益成为环境修复领域的研究热点。近些年来,化学中备受争议的氰基转化问题也在光化学中取得了重大进展。本文综述了通过可见光介导的氰基作为离去基团的芳基自由基脱氰反应研究最新进展。
Abstract: Decyanation is an important process in the synthesis of aromatic molecules in drug research, medicine, and materials science. In the past few decades, due to the thermodynamic stability of the CN, it has rarely been considered a favorable reaction site. With advances in science and technology, photochemical reactions have developed rapidly, and thanks to their advantages such as being green, sustainable, and highly efficient in degradation, they are increasingly becoming a research hotspot in the field of environmental remediation. In recent years, the long-debated issue of cyano group transformation in chemistry has also seen significant progress in photochemistry. This article reviews the latest developments in the study of visible-light-mediated aryl radical decyanation reactions using CN as leaving groups.
文章引用:程自强. 光诱导的自由基脱氰反应研究进展[J]. 有机化学研究, 2026, 14(1): 15-27. https://doi.org/10.12677/jocr.2026.141002

1. 引言

腈经常被用作多个领域的原料,包括制药、先进材料、农用化学品和工业化学品[1]。它们也广泛存在于天然产物和生物活性分子中,以及在化学合成中作为不同羰基化合物、胺和杂环的不同前体[2],或作为催化芳烃C-H官能化反应中的导向基团[3]-[5]。将氰基引入到有机分子中是相对比较容易的[6],同时C-CN键作为产生其他有价值有机基团的反应位点也是有利的。氰基的强吸电子能力通过增加相邻C-H键的酸性来改变反应性。因此,苯甲腈的邻位和烷基腈中C-H键的α位经常被认为是脱质子化或官能化的反应位点,并为进一步多样化开辟了可能性[7]。自由基介导的C-CN键断裂最近几年才成为合成转化中的一种新方法。自在2011年MacMillan团队的开创性工作以来,有机化学家通过直接自由基偶联脱氰的方式实现了Ir(ppy)3催化的叔胺与C-CN键官能化的光氧化C-H芳基化反应[8]。到目前为止,由自由基介导的C-C和C-X键断裂途径被证明是合成复杂有机化合物的有效方法,同时该过程也是非常具有挑战性的,仍吸引着科研工作者去进一步探索。

2. 光诱导自由基脱氰

通过自由基偶联策略和过渡金属催化方案构建C-C键的新方法的发展一直是近年来有机化学的一个突出研究课题[9]-[13]。几个研究小组已经证明了光催化α-胺、醇和羧酸C-H芳基化反应方案。其中,芳基氰化物的使用频率最多,特别是1,4-二氰基苯和氰基取代的氮杂芳环。吡啶是一种重要的杂环化合物,广泛应用于药物、农用化学品、生物活性天然产物和功能材料中[14],而吡啶基腈的脱氰反应也为制备重要吡啶衍生物提供了一种的有效途径。

3. Csp3-H键活化的光氧化还原催化自由基脱氰芳基化

2011年,MacMillan团队报道了一项关于Ir(ppy)3光氧化催化C-H芳基化反应的开创性工作(图1),该反应可以以市售的芳基腈作为基础原料,通过光氧化催化的方式使叔胺与芳基氰直接自由基偶联脱氰,得到相应的芳基化产物。

机理方面,首先光敏剂被光激发将对苯二腈还原生成InⅠ,随后被氧化的光敏剂将三级胺氧化生成InⅡ,同时完成催化循环,InⅡ在碱的作用下脱质子生成InⅢ,此后与InⅠ发生自由基偶联并脱除一分子氰基负离子,由此得到相应产物。

未激活的Csp3-H键的功能化仍然是有机研究人员最具挑战性的任务之一[15]-[18]。这种吸引力源于它们能够从简单和其他容易获得的惰性有机分子中创造更为复杂的有机化合物[19]。此后,许多研究小组发现了如何通过光氧化还原催化直接实现Csp3-H的芳基化[20] [21]

2015年,麦克米兰[22]等人发现了烯丙基Csp3-H键与缺电子芳腈直接芳基化的可见光驱动条件(图2),利用该反应可以得到多种烯丙基芳基化的产物。

Figure 1. Photo-catalyzed C-H arylation reaction between amines and aryl cyanides

1. 胺和芳基氰化物之间的光催化C-H芳基化反应

Figure 2. The direct arylation of allylic Csp3-H bonds via organic and photoredox catalysis

2. 通过有机和光氧化还原催化进行烯丙基Csp3-H键的直接芳基化

2016,汪清民团队[23]通过使用光氧化还原和有机催化,实现了可见光驱动的直接α-Csp3-H键芳基化合成N-酰基保护的四氢异喹啉(图3)。光敏剂可以氧化HAT催化剂,如硫醇,然后可用于从特定底物中提取·H,以产生匹配的自由基中间体[24]。因此,在这种自由基–自由基偶联反应中,各种缺电子的杂芳腈或芳腈可以用作芳基化试剂。

随后,众多团队[25]进一步将该技术扩展到多取代哌啶衍生物与杂芳腈的光催化脱氰氨基Csp3-H芳基化反应(图4)。该反应利用了具有多达四个立体中心的各种哌啶衍生物作为合适的底物,与现有的立体中心相比,该反应为产物提供了通常较高的非对映选择性。

2021,段春迎团队[26]开发了一种构建双功能配位聚合物的方法,该方法能够使用络合物(Cd-MIX)作为催化剂使Csp3-H键芳基化(图5)。定制的铱络合物和小分子有机染料已被证明是均相光氧化还原催化反应中必不可少的。这种新的C-C键形成策略在温和条件下和操作简单的反应方案下广泛用于合成苄基和异苄基胺。在结构范围探索中,吡咯烷、哌啶、氮杂环庚烷、吗啉和哌嗪都可以提供了很好的结果。除了上述反应之外,用同类的芳基氰化物也可以与其他种类的三级胺、一级胺、烯烃、肟等底物发生自由基偶联脱氰反应[17]-[31]

Figure 3. Photoredox-catalyzed direct α-Csp3-H arylation reaction

3. 光氧化还原催化的直接α-Csp3-H芳基化反应

Figure 4. Photo-catalyzed α-amino C-H arylation of highly substituted piperidine derivatives with aryl nitriles

4. 光催化高度取代哌啶衍生物的α-氨基C-H芳基化

Figure 5. Photo-catalyzed C-H arylation reaction between amines and aryl cyanides

5. 胺类与芳基腈之间的光催化C-H芳基化反应

由此,通过光氧化还原催化途径可以有效活化Csp3-H键,产生相应的烷基自由基中间体,参与后续偶联脱氰过程。

4. 通过C-C键活化实现的光氧化还原催化自由基脱氰芳基化

由于C-C键热力学稳定性和低极化程度,所以C-C键的活化仍然是最困难的挑战之一[32]。裂解这种强键的一种可能策略是自由基阳离子的裂解[33]。Till Opatz团队[34]在2017年报道了一种紫外光介导的通过激活非活性的Csp3-Csp3键的杂芳基腈烷基化(图6)。其中,包括二氰基苯和氰基吡啶在内的芳基腈被紫外线辐射激发后,成为一种非常好的电子受体,有利于进一步参与反应[35]。该反应比较有趣的是在反应过程中会生成InⅡ,InⅡ会发生C-C键的断裂,生成InⅢ,进而与InⅠ发生自由基偶联脱氰,生成目标产物。

2022年卢戢团队[36]发现了环丙醇与氰基芳烃通过自由基介导的光催化芳基化反应,该反应可以通过换用不同的环丙醇得到各种相应的β-芳基化酮(图7)。

随后,Till Opatz团队报道[37]了一种无金属光氧化合成γ-杂芳基酮的方法,该方法从传统合成的环丙基酮作为底物,使用Hantzsch酯作为光还原剂,同样可以得到芳基偶联的产物(图8)。

自由基化学领域的不断扩大有助于脱羧反应自由基策略的发展。脱羧反应的一种革命性方法是众所周知的巴顿脱羧反应,它通常由紫外线辐射或高温启动[38]

Figure 6. Photo UV light-induced alkylation of (hetero) arylnitriles

6. 紫外光介导的(杂)芳基腈烷基化反应

Figure 7. Photo-catalyzed arylation of cyclopropanols with aryl nitriles

7. 光催化环丙醇与芳基腈的芳基化反应

Figure 8. Photocatalytic arylation reaction of cyclopropyl ketones with Aryl Nitriles

8. 光催化环丙基酮与芳基腈的芳基化反应

2014年MacMillan团队[39]通过利用N-Boc氨基酸进行了扩展,这些氨基酸在光催化剂的存在下被活化,通过脱羧过程产生碳自由基物种,从而与还原形式的芳基氰化物反应,得到相应的芳基化产物(图9)。2016年Till Opatz团队,将底物拓展到了α-氨基酸[40]

Figure 9. Photo-catalyzed decarboxylative arylation of α-amino acids with aryl nitriles

9. α-氨基酸与芳基腈的光催化脱羧芳基化反应

环丙烷、烷基羧酸等底物可以通过光催化途径发生C-C键的断裂或直接脱羧实现C-C键的活化,同时产生可以与芳基氰化物偶联兼容的自由基。

5. 通过Csp3-X (X = B、N和C)键断裂实现的光氧化还原催化自由基脱氰芳基化

苄基频哪醇酯是易于获得的前体,因为它们可以从合成和商业来源广泛获得[41]-[43]

2016年Steven V. Ley团队[44]报道了一种新的活化模式,该模式在铱的催化条件下,通过流动化学技术使硼酸酯与杂芳基腈发生偶联脱氰反应(图10)。后来,Hirohisa Ohmiya报道了一种新的烷基硼酸盐试剂,用于产生烷基自由基,该试剂可以在直接光激发下通过C-B键断裂与4-氰基吡啶反应[45] [46]。之后Amos B. Smith, III团队通过光催化单电子转移引发的高价硅中间体鉴定出氧化[1,2]-Brook重排过程[47]

Figure 10. Photoredox-catalyzed activation of boronic esters enables Csp2-Csp3 cross-couplings in flow

10. 光氧化还原催化活化硼酸酯,实现流动反应中的Csp2-Csp3交叉偶联

2019年,余达刚团队[48]发现了一种不寻常的脱氰反应,该反应使用季铵盐作为偶联底物,季铵部分作为离去基团,在可见光介导的还原偶联方案下与杂芳腈偶联,得到二芳基甲烷(图11)。机理研究表明,在这种转化过程中可能会产生苄基自由基和一个持久的自由基阴离子。该方法具有底物范围广、易于扩展、反应条件温和等特点,为C-C键的构建提供了一种实用的策略。

Figure 11. Visible-light-mediated cross coupling of benzylammonium salts with (hetero)aryl nitriles

11. 可见光介导的苄基铵盐与(杂)芳腈的交叉偶联反应

2022年Varinder K. Aggarwal团队[49]报道了伯、仲和叔硼酸酯与叔胺和芳基腈的可见光诱导自由基偶联进行了具有里程碑意义的研究(图12)。

丙二腈在离子和自由基反应中都有很好的应用[50] [51]。使用丙二腈作为单腈的原料,通过去除多余的腈基团具有先天优势。尽管与类似的丙二酸酯,如乙酰乙酸酯和磺酰基乙酸酯相比,丙二腈的C-CN裂解存在困难,但通过使用特殊的引发剂,已经建立了丙二腈还原脱氰反应[52] [53]

Figure 12. Visible light-induced coupling of 1,2-bis-boronic esters and (hetero) aryl nitriles

12. 可见光诱导的1,2-双硼酸酯与(杂)芳基腈的偶联反应

2012年John A. Murphy团队[54] [55]通过使用有机光活化有机电子供体作为催化剂,开发了单腈的选择性自由基C-C键断裂(图13)。

Figure 13. Photo-catalyzed organic superelectron-donors promoted hydrodecyanation of nitrile derivatives

13. 光催化有机超电子供体促进腈类衍生物的脱氰反应

含有碳杂键或者特殊官能团的C-C的底物是一种优良的自由基前体,通过光催化的方式可以有效地释放自由基并参与自由基反应。

6. Csp2键官能化实现的脱氰芳基化

除了Csp3键官能化外,Csp2键官能化也可以实现自由基偶联脱氰反应。2017年夏吾炯团队[56]开发的一种简单方案实现了可见光促进的羰基或亚氨基的自由基脱氰芳基化,并产生了各种仲醇、叔醇和胺(图14)。

Figure 14. Photoredox-catalyzed directly reductive arylation of carbonyl or iminyl derivatives

14. 光催化直接还原羰基或亚胺衍生物的芳基化反应

与这一结果类似的是2018年Karl A. Scheidt团队报道了亚芳基丙二酸酯与氰基芳烃的可见光驱动的光氧化还原芳基化反应,该反应可以得到各种官能化的二芳基丙二酸酯[57]

烯烃–吡啶交叉偶联是获得具有化学和区域选择性的烷基吡啶的可行途径[58]

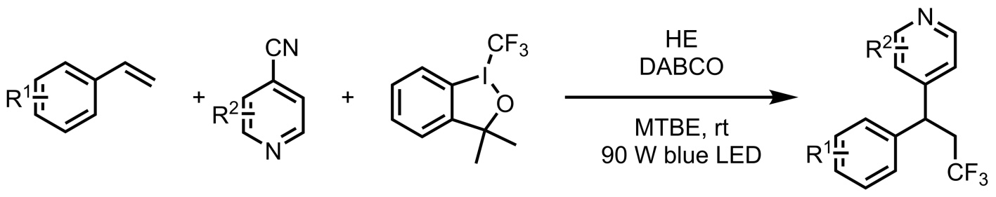
2018年储玲玲[59]开发了一种无金属的方法,用于苯乙烯和Togni试剂的分子间三组分卡吡啶化,在不使用外源催化剂的情况下,通过依次形成两个C-C键,提供了一系列β-CF3吡啶(图15)。在该反应中使用了90 W的蓝色LED并由Hantzsch ester作为还原剂,可以得到三氟甲基吡啶化产物以及高产率的天然产物类似物。

Figure 15. Visible light-induced photoredoxcatalyzed three-component carbopyridylation of styrenes

15. 可见光诱导的光红氧化催化三组分苯乙烯羧基化吡啶反应

基于这项工作,储玲玲团队[60]还报道了一种可见光诱导和IrIII催化的策略,用于用氰基吡啶和TMSN3对多取代苯乙烯进行分子间三组分氧化还原中性叠氮杂芳基化,以产生具有中等到高度区域选择性的相应β-叠氮吡啶(图16)。

Figure 16. Photoredox-catalyzed azidopyridylation of styrenes

16. 光氧化还原催化的苯乙烯叠氮吡啶化反应

2021年沈佳轩团队[61]描述了一种有用的可见光诱导光氧化还原催化苯乙烯与氰基吡啶和二苯基氧化膦的膦吡啶化反应,以产生相应的β-膦吡啶(图17)。对于类似的烯烃双官能化反应,林禄清团队[62]和邓红平团队[63]也分别通过脱氰策略开发了未活化烯烃的光诱导多组分双官能化。

Figure 17. Visible light-induced photoredoxcatalyzed three-component phosphinicpyridylation of styrenes

17. 可见光诱导光氧化还原催化的苯乙烯三组分膦基吡啶化反应

2022年江智勇团队[64]通过使用不对称磷酸作为手性氢键(氢键)催化剂实现了烯酮的光催化脱氰还原氮杂芳基化(图18),这种方法的稳健性已经通过使用无数种候选药物得到了证明,所有候选药物都显示出高对映选择性和优异的产量。

Figure 18. Visible-light-driven photocatalytic reductive aza-arylation of enones

18. 可见光驱动的光催化还原氮芳基化烯酮反应

胺的制备是一个广阔的研究领域,旨在通过新的C-N键形成、C=N加成或胺的α-C-H官能化产生新的产品或合成方法[65]。在这方面,需要形成伯胺,特别是具有完全取代的α-碳的伯胺。

2020年,Tomislav Rovis团队[66]开发了一种使用光氧化还原催化将现成的O-苯甲酰肟(或氯化亚铵)与氰基芳烃结合形成具有完全取代的季碳中心的伯胺的反应(图19)。

Figure 19. Photoredox-catalyzed syntheses of primary amines from O-benzoyl oximes (or iminium chlorides) with cyanoarenes

19. 光催化氧化还原反应合成原胺的方法,从O-苯甲酰肟(或亚胺氯化物)与氰基芳烃反应获得

光催化的电子转移质子耦合(PECT)途径适用于酮、亚胺等底物,而单电子转移(SET)过程生成的自由基也可以与烯烃加成,两种方式均可以使含有Csp2键的底物生成活性自由基,并顺利进行偶联脱氰反应。

7. 光氧化还原催化自由基脱氰胺化

芳胺,特别是杂芳胺,是非常有价值的片段,广泛存在于农用化学品、药品、先进材料和工业化学品中[67]-[69]。因此,构建C-N键合成芳胺已成为学术界和工业界的重要反应之一[70] [71]

2020年,吴骊珠团队[72]发现了一种无金属位点选择性脱氰胺化反应,用于在可见光照射下直接访问光催化剂催化的杂芳基胺(图20)。各种芳基或烷基胺可以与(杂)芳基腈(如异喹啉、吡啶、嘧啶等)偶联,以高产率生产有价值的药用芳胺。

Figure 20. Visible light-induced the formation of heteroaryl amines via a SET process

20. 可见光诱导下通过单电子转移(SET)过程形成杂芳基胺

8. 总结

本文综述了近些年来自由基介导的光催化脱氰反应。自MacMillan团队首次报道了Ir(ppy)3催化的叔胺与C-CN键活化的自由基偶联脱氰反应以来,该反应引起了众多化学家的兴趣。即使有了这些发展,但仍然有许多科学挑战,如用有机腈作底物时,脂肪族腈与自由基脱氰方案不相容;芳基(杂)腈,如苯甲腈、1,4-二氰基苯或氰基取代的氮杂芳环,是最近大多数发现的基础底物,这种限制大大减少了产物的芳基或杂芳基部分的种类。上述问题既是挑战,也是机遇,在新的科研环境下,探索新的催化体系和自由基前体将是进一步拓展自由基偶联脱氰反应应用范围的一个可行方向。

参考文献

[1] Larock, R.C. (1989) Comprehensive Organic Transformations. Wiley.
[2] Kleemann, A., Engel, J., Kutschner, B. and Reichert, D. (2001) Pharmaceutical Substances: Syntheses, Patents, Applications. 4th Edition, Georg Theime.
[3] Ping, Y., Wang, L., Ding, Q. and Peng, Y. (2017) Nitrile as a Versatile Directing Group for C(sp2)-H Functionalizations. Advanced Synthesis & Catalysis, 359, 3274-3291. [Google Scholar] [CrossRef
[4] Ali, W., Prakash, G. and Maiti, D. (2021) Recent Development in Transition Metal-Catalysed C-H Olefination. Chemical Science, 12, 2735-2759. [Google Scholar] [CrossRef] [PubMed]
[5] Sinha, S.K., Guin, S., Maiti, S., Biswas, J.P., Porey, S. and Maiti, D. (2021) Toolbox for Distal C-H Bond Functionalizations in Organic Molecules. Chemical Reviews, 122, 5682-5841. [Google Scholar] [CrossRef] [PubMed]
[6] Pimparkar, S., Koodan, A., Maiti, S., Ahmed, N.S., Mostafa, M.M.M. and Maiti, D. (2021) C-CN Bond Formation: An Overview of Diverse Strategies. Chemical Communications, 57, 2210-2232. [Google Scholar] [CrossRef] [PubMed]
[7] López, R. and Palomo, C. (2015) Cyanoalkylation: Alkylnitriles in Catalytic C-C Bond‐Forming Reactions. Angewandte Chemie International Edition, 54, 13170-13184. [Google Scholar] [CrossRef] [PubMed]
[8] McNally, A., Prier, C.K. and MacMillan, D.W.C. (2011) Discovery of an α-Amino C-H Arylation Reaction Using the Strategy of Accelerated Serendipity. Science, 334, 1114-1117. [Google Scholar] [CrossRef] [PubMed]
[9] Huang, J., Liu, F., Zeng, L., Li, S., Chen, Z. and Wu, J. (2022) Accessing Chiral Sulfones Bearing Quaternary Carbon Stereocenters via Photoinduced Radical Sulfur Dioxide Insertion and Truce-Smiles Rearrangement. Nature Communications, 13, Article No. 7081. [Google Scholar] [CrossRef] [PubMed]
[10] Zhou, Q., Zou, Y., Lu, L. and Xiao, W. (2019) Visible‐Light‐Induced Organic Photochemical Reactions through Energy‐transfer Pathways. Angewandte Chemie International Edition, 58, 1586-1604. [Google Scholar] [CrossRef] [PubMed]
[11] Marzo, L., Pagire, S.K., Reiser, O. and König, B. (2018) Visible‐Light Photocatalysis: Does It Make a Difference in Organic Synthesis? Angewandte Chemie International Edition, 57, 10034-10072. [Google Scholar] [CrossRef] [PubMed]
[12] Wang, Z., Wei, L., Cheng, Z., Xia, J. and Chen, Z. (2021) Pd-Catalyzed Halocyclizations of Unactivated 1,6-Diynes through a Formal Anti-Carbopalladation/bromide Radical Cascade. Chinese Chemical Letters, 32, 2756-2760. [Google Scholar] [CrossRef
[13] Skubi, K.L., Blum, T.R. and Yoon, T.P. (2016) Dual Catalysis Strategies in Photochemical Synthesis. Chemical Reviews, 116, 10035-10074. [Google Scholar] [CrossRef] [PubMed]
[14] Vitaku, E., Smith, D.T. and Njardarson, J.T. (2014) Analysis of the Structural Diversity, Substitution Patterns, and Frequency of Nitrogen Heterocycles among U.S. FDA Approved Pharmaceuticals. Journal of Medicinal Chemistry, 57, 10257-10274. [Google Scholar] [CrossRef] [PubMed]
[15] Gandeepan, P., Müller, T., Zell, D., Cera, G., Warratz, S. and Ackermann, L. (2019) 3D Transition Metals for C-H Activation. Chemical Reviews, 119, 2192-2452. [Google Scholar] [CrossRef] [PubMed]
[16] Bernardi, R., Caronna, T., Morrocchi, S. and Traldi, P. (1981) Photoinitiated Substitution Reactions of 2 and 4-Pyridinecarbonitrile with Cyclopentene. Tetrahedron Letters, 22, 155-156. [Google Scholar] [CrossRef
[17] Bernardi, R., Caronna, T. and Coggiola, D. (1983) Regiochemical Control in the Allylic Hydrogen Abstraction from 1-X-Substituted Cyclohexenes. Tetrahedron Letters, 24, 5019-5022. [Google Scholar] [CrossRef
[18] Bernardi, R., Caronna, T., Coggiola, D., Ganazzoli, F. and Morrocchi, S. (1986) Photochemistry Induced Allylic Hydrogen from 1-X-1,2-Dialkylethylenes: Experimental Data and Theoretical Calculations. The Journal of Organic Chemistry, 51, 1045-1050. [Google Scholar] [CrossRef
[19] He, J., Li, S., Deng, Y., Fu, H., Laforteza, B.N., Spangler, J.E., et al. (2014) Ligand-Controlled C(sp3)-H Arylation and Olefination in Synthesis of Unnatural Chiral α-Amino Acids. Science, 343, 1216-1220. [Google Scholar] [CrossRef] [PubMed]
[20] Hoshikawa, T. and Inoue, M. (2013) Photoinduced Direct 4-Pyridination of C(sp3)-H Bonds. Chemical Science, 4, 3118-3123. [Google Scholar] [CrossRef
[21] Sekine, M., Ilies, L. and Nakamura, E. (2013) Iron-Catalyzed Allylic Arylation of Olefins via C(sp3)-H Activation under Mild Conditions. Organic Letters, 15, 714-717. [Google Scholar] [CrossRef] [PubMed]
[22] Cuthbertson, J.D. and MacMillan, D.W.C. (2015) The Direct Arylation of Allylic Sp3 C-H Bonds via Organic and Photoredox Catalysis. Nature, 519, 74-77. [Google Scholar] [CrossRef] [PubMed]
[23] Yan, C., Li, L., Liu, Y. and Wang, Q. (2016) Direct and Oxidant-Free Electron-Deficient Arylation of N-Acyl-Protected Tetrahydroisoquinolines. Organic Letters, 18, 4686-4689. [Google Scholar] [CrossRef] [PubMed]
[24] Hager, D. and MacMillan, D.W.C. (2014) Activation of C-H Bonds via the Merger of Photoredox and Organocatalysis: A Coupling of Benzylic Ethers with Schiff Bases. Journal of the American Chemical Society, 136, 16986-16989. [Google Scholar] [CrossRef] [PubMed]
[25] Walker, M.M., Koronkiewicz, B., Chen, S., Houk, K.N., Mayer, J.M. and Ellman, J.A. (2020) Highly Diastereoselective Functionalization of Piperidines by Photoredox-Catalyzed α-Amino C-H Arylation and Epimerization. Journal of the American Chemical Society, 142, 8194-8202. [Google Scholar] [CrossRef] [PubMed]
[26] Li, H., Yang, Y., Jing, X., He, C. and Duan, C. (2021) Triarylamine-Based Porous Coordination Polymers Performing Both Hydrogen Atom Transfer and Photoredox Catalysis for Regioselective α-Amino C(sp3)-H Arylation. Chemical Science, 12, 8512-8520. [Google Scholar] [CrossRef] [PubMed]
[27] Ide, T., Barham, J.P., Fujita, M., Kawato, Y., Egami, H. and Hamashima, Y. (2018) Regio-and Chemoselective Csp3-H Arylation of Benzylamines by Single Electron Transfer/Hydrogen Atom Transfer Synergistic Catalysis. Chemical Science, 9, 8453-8460. [Google Scholar] [CrossRef] [PubMed]
[28] Pirnot, M.T., Rankic, D.A., Martin, D.B.C. and MacMillan, D.W.C. (2013) Photoredox Activation for the Direct Β-Arylation of Ketones and Aldehydes. Science, 339, 1593-1596. [Google Scholar] [CrossRef] [PubMed]
[29] Zhong, L., Wang, H., Ouyang, X., Li, J. and An, D. (2020) Benzylic C-H Heteroarylation of n-(Benzyloxy)Phthalimides with Cyanopyridines Enabled by Photoredox 1,2-Hydrogen Atom Transfer. Chemical Communications, 56, 8671-8674. [Google Scholar] [CrossRef] [PubMed]
[30] Steudel, R. and Chivers, T. (2019) The Role of Polysulfide Dianions and Radical Anions in the Chemical, Physical and Biological Sciences, Including Sulfur-Based Batteries. Chemical Society Reviews, 48, 3279-3319. [Google Scholar] [CrossRef] [PubMed]
[31] Wang, X., Jiang, Q., Xiao, B., Huang, W. and Zhang, F. (2025) Visible‐Light‐Induced Acyl and Thiocyano Pyridylation of Alkenes with Aldehyde and NH4SCN. Advanced Synthesis & Catalysis, 367, e202401373. [Google Scholar] [CrossRef
[32] Liu, H., Feng, M. and Jiang, X. (2014) Unstrained Carbon—Carbon Bond Cleavage. ChemistryAn Asian Journal, 9, 3360-3389. [Google Scholar] [CrossRef] [PubMed]
[33] Baciocchi, E., Bietti, M. and Lanzalunga, O. (2006) Fragmentation Reactions of Radical Cations. Journal of Physical Organic Chemistry, 19, 467-478. [Google Scholar] [CrossRef
[34] Lipp, B., Lipp, A., Detert, H. and Opatz, T. (2017) Light-Induced Alkylation of (Hetero)Aromatic Nitriles in a Transition-Metal-Free C-C-Bond Metathesis. Organic Letters, 19, 2054-2057. [Google Scholar] [CrossRef] [PubMed]
[35] Bonesi, S.M. and Fagnoni, M. (2010) The Aromatic Carbon-Carbon ipso‐Substitution Reaction. ChemistryA European Journal, 16, 13572-13589. [Google Scholar] [CrossRef] [PubMed]
[36] Tong, Y., Hao, N., Zhang, L., Wei, J., Zhang, Z., Fu, Q., et al. (2022) Photocatalytic Redox-Neutral Arylation of Cyclopropanols with Cyanoarenes via Radical-Mediated C-C and C-CN Bond Cleavage. Organic Chemistry Frontiers, 9, 2129-2134. [Google Scholar] [CrossRef
[37] Paternoga, J., Kühlborn, J., Rossdam, N.O. and Opatz, T. (2021) Hantzsch Ester-Mediated Photochemical Transformations in the Ketone Series: Remote C(sp3)-H Arylation and Cyclopentene Synthesis through Strain Release. The Journal of Organic Chemistry, 86, 3232-3248. [Google Scholar] [CrossRef] [PubMed]
[38] Lu, Y., Zhang, Z., Wu, H., Zhou, M., Song, H., Ji, H., et al. (2023) TBAI/H2O-Cooperative Electrocatalytic Decarboxylation Coupling-Annulation of Quinoxalin-2(1H)-Ones with N-Arylglycines. Chinese Chemical Letters, 34, Article 108036. [Google Scholar] [CrossRef
[39] Zuo, Z. and MacMillan, D.W.C. (2014) Decarboxylative Arylation of Α-Amino Acids via Photoredox Catalysis: A One-Step Conversion of Biomass to Drug Pharmacophore. Journal of the American Chemical Society, 136, 5257-5260. [Google Scholar] [CrossRef] [PubMed]
[40] Lipp, B., Nauth, A.M. and Opatz, T. (2016) Transition-Metal-Free Decarboxylative Photoredox Coupling of Carboxylic Acids and Alcohols with Aromatic Nitriles. The Journal of Organic Chemistry, 81, 6875-6882. [Google Scholar] [CrossRef] [PubMed]
[41] Palmer, W.N., Obligacion, J.V., Pappas, I. and Chirik, P.J. (2016) Cobalt-Catalyzed Benzylic Borylation: Enabling Polyborylation and Functionalization of Remote, Unactivated C(sp3)-H Bonds. Journal of the American Chemical Society, 138, 766-769. [Google Scholar] [CrossRef] [PubMed]
[42] Battilocchio, C., Feist, F., Hafner, A., Simon, M., Tran, D.N., Allwood, D.M., et al. (2016) Iterative Reactions of Transient Boronic Acids Enable Sequential C-C Bond Formation. Nature Chemistry, 8, 360-367. [Google Scholar] [CrossRef] [PubMed]
[43] Atack, T.C., Lecker, R.M. and Cook, S.P. (2014) Iron-Catalyzed Borylation of Alkyl Electrophiles. Journal of the American Chemical Society, 136, 9521-9523. [Google Scholar] [CrossRef] [PubMed]
[44] Lima, F., Kabeshov, M.A., Tran, D.N., Battilocchio, C., Sedelmeier, J., Sedelmeier, G., et al. (2016) Visible Light Activation of Boronic Esters Enables Efficient Photoredox C(sp2)-C(sp3) Cross‐Couplings in Flow. Angewandte Chemie International Edition, 55, 14085-14089. [Google Scholar] [CrossRef] [PubMed]
[45] Sato, Y., Nakamura, K., Sumida, Y., Hashizume, D., Hosoya, T. and Ohmiya, H. (2020) Generation of Alkyl Radical through Direct Excitation of Boracene-Based Alkylborate. Journal of the American Chemical Society, 142, 9938-9943. [Google Scholar] [CrossRef] [PubMed]
[46] Miyamoto, Y., Sumida, Y. and Ohmiya, H. (2021) Generation of Functionalized Alkyl Radicals via the Direct Photoexcitation of 2,2’-(Pyridine-2,6-Diyl)Diphenol-Based Borates. Organic Letters, 23, 5865-5870. [Google Scholar] [CrossRef] [PubMed]
[47] Deng, Y., Liu, Q. and Smith, A.B. (2017) Oxidative [1,2]-Brook Rearrangements Exploiting Single-Electron Transfer: Photoredox-Catalyzed Alkylations and Arylations. Journal of the American Chemical Society, 139, 9487-9490. [Google Scholar] [CrossRef] [PubMed]
[48] Miao, M., Liao, L., Cao, G., Zhou, W. and Yu, D. (2019) Visible-Light-Mediated External-Reductant-Free Reductive Cross Coupling of Benzylammonium Salts with (Hetero)Aryl Nitriles. Science China Chemistry, 62, 1519-1524. [Google Scholar] [CrossRef
[49] Wang, H., Wu, J., Noble, A. and Aggarwal, V.K. (2022) Selective Coupling of 1,2‐Bis‐Boronic Esters at the More Substituted Site through Visible‐Light Activation of Electron Donor-Acceptor Complexes. Angewandte Chemie International Edition, 61, e202202061. [Google Scholar] [CrossRef] [PubMed]
[50] Curran, D.P. and Seong, C.M. (1990) Atom-Transfer Addition, Annulation, and Macrocyclization Reactions of Iodomalononitriles. Journal of the American Chemical Society, 112, 9401-9403. [Google Scholar] [CrossRef
[51] Bloomfield, J. (1961) Notes-Alkylation Reactions in Dimethyl Sulfoxide. The Journal of Organic Chemistry, 26, 4112-4115. [Google Scholar] [CrossRef
[52] Szostak, M., Sautier, B., Spain, M. and Procter, D.J. (2014) Electron Transfer Reduction of Nitriles Using Smi2-Et3N-H2O: Synthetic Utility and Mechanism. Organic Letters, 16, 1092-1095. [Google Scholar] [CrossRef] [PubMed]
[53] Minisci, F., Fontana, F., Caronna, T. and Zhao, L. (1992) A Novel Substitution Reaction by Photoinduced Electron-Transfer between Pyridine Derivatives and Alkyltin Compounds. Tetrahedron Letters, 33, 3201-3204. [Google Scholar] [CrossRef
[54] Cahard, E., Schoenebeck, F., Garnier, J., Cutulic, S.P.Y., Zhou, S. and Murphy, J.A. (2012) Electron Transfer to Benzenes by Photoactivated Neutral Organic Electron Donor Molecules. Angewandte Chemie International Edition, 51, 3673-3676. [Google Scholar] [CrossRef] [PubMed]
[55] Doni, E., Mondal, B., O’Sullivan, S., Tuttle, T. and Murphy, J.A. (2013) Overturning Established Chemoselectivities: Selective Reduction of Arenes over Malonates and Cyanoacetates by Photoactivated Organic Electron Donors. Journal of the American Chemical Society, 135, 10934-10937. [Google Scholar] [CrossRef] [PubMed]
[56] Chen, M., Zhao, X., Yang, C. and Xia, W. (2017) Visible-Light-Triggered Directly Reductive Arylation of Carbonyl/Iminyl Derivatives through Photocatalytic PCET. Organic Letters, 19, 3807-3810. [Google Scholar] [CrossRef] [PubMed]
[57] McDonald, B.R. and Scheidt, K.A. (2018) Intermolecular Reductive Couplings of Arylidene Malonates via Lewis Acid/Photoredox Cooperative Catalysis. Organic Letters, 20, 6877-6881. [Google Scholar] [CrossRef] [PubMed]
[58] Nakao, Y. (2011) Transition-Metal-Catalyzed C-H Functionalization for the Synthesis of Substituted Pyridines. Synthesis, 2011, 3209-3219. [Google Scholar] [CrossRef
[59] Chen, D., Xu, L., Long, T., Zhu, S., Yang, J. and Chu, L. (2018) Metal-Free, Intermolecular Carbopyridylation of Alkenes via Visible-Light-Induced Reductive Radical Coupling. Chemical Science, 9, 9012-9017. [Google Scholar] [CrossRef] [PubMed]
[60] Chen, J., Zhu, S., Qin, J. and Chu, L. (2019) Intermolecular, Redox-Neutral Azidoarylation of Alkenesviaphotoredox Catalysis. Chemical Communications, 55, 2336-2339. [Google Scholar] [CrossRef] [PubMed]
[61] Shen, J., Zhang, Y., Yu, Y. and Wang, M. (2021) Metal-Free Visible-Light-Induced Photoredox-Catalyzed Intermolecular Pyridylation/Phosphinoylation of Alkenes. Organic Chemistry Frontiers, 8, 901-907. [Google Scholar] [CrossRef
[62] Zheng, W., Xu, Y., Luo, H., Feng, Y., Zhang, J. and Lin, L. (2022) Light-Promoted Arylsilylation of Alkenes with Hydrosilanes. Organic Letters, 24, 7145-7150. [Google Scholar] [CrossRef] [PubMed]
[63] Hong, Y., Dong, M., Li, D. and Deng, H. (2022) Photoinduced Three-Component Carboarylation of Unactivated Alkenes with Protic C(sp3)-H Feedstocks. Organic Letters, 24, 7677-7684. [Google Scholar] [CrossRef] [PubMed]
[64] Li, Y., Han, C., Wang, Y., Huang, X., Zhao, X., Qiao, B., et al. (2022) Catalytic Asymmetric Reductive Azaarylation of Olefins via Enantioselective Radical Coupling. Journal of the American Chemical Society, 144, 7805-7814. [Google Scholar] [CrossRef] [PubMed]
[65] Beatty, J.W. and Stephenson, C.R.J. (2015) Amine Functionalization via Oxidative Photoredox Catalysis: Methodology Development and Complex Molecule Synthesis. Accounts of Chemical Research, 48, 1474-1484. [Google Scholar] [CrossRef] [PubMed]
[66] Nicastri, M.C., Lehnherr, D., Lam, Y., DiRocco, D.A. and Rovis, T. (2020) Synthesis of Sterically Hindered Primary Amines by Concurrent Tandem Photoredox Catalysis. Journal of the American Chemical Society, 142, 987-998. [Google Scholar] [CrossRef] [PubMed]
[67] Travis, A.S. (2007) In Chemistry of Anilines. Rapaport, Z., Ed., John Wiley & Sons, 1-73.
[68] Blakemore, D.C., Castro, L., Churcher, I., Rees, D.C., Thomas, A.W., Wilson, D.M., et al. (2018) Organic Synthesis Provides Opportunities to Transform Drug Discovery. Nature Chemistry, 10, 383-394. [Google Scholar] [CrossRef] [PubMed]
[69] Liu, J., Qiu, X., Huang, X., Luo, X., Zhang, C., Wei, J., et al. (2019) From Alkylarenes to Anilines via Site-Directed Carbon-Carbon Amination. Nature Chemistry, 11, 71-77. [Google Scholar] [CrossRef] [PubMed]
[70] Ruiz-Castillo, P. and Buchwald, S.L. (2016) Applications of Palladium-Catalyzed C-N Cross-Coupling Reactions. Chemical Reviews, 116, 12564-12649. [Google Scholar] [CrossRef] [PubMed]
[71] Chen, B., Wu, L. and Tung, C. (2018) Photocatalytic Activation of Less Reactive Bonds and Their Functionalization via Hydrogen-Evolution Cross-Couplings. Accounts of Chemical Research, 51, 2512-2523. [Google Scholar] [CrossRef] [PubMed]
[72] Zhou, C., Lei, T., Wei, X., Ye, C., Liu, Z., Chen, B., et al. (2020) Metal-Free, Redox-Neutral, Site-Selective Access to Heteroarylamine via Direct Radical-Radical Cross-Coupling Powered by Visible Light Photocatalysis. Journal of the American Chemical Society, 142, 16805-16813. [Google Scholar] [CrossRef] [PubMed]