基于三维斑点追踪技术评估原发性高血压患者颈动脉粥样硬化对右心室–肺动脉耦联功能的影响
Evaluation of the Impact of Carotid Atherosclerosis on Right Ventricular-Pulmonary Artery Coupling in Patients with Essential Hypertension Using Three-Dimensional Speckle Tracking Echocardiography
摘要: 目的:探讨原发性高血压患者颈动脉粥样硬化(CAS)负荷与右心室–肺动脉耦联(right ventricular-pulmonary artery coupling, RVPAC)的关联;评估以三维斑点追踪技术(3D-STE)获得的右心室游离壁纵向应变(RVFWLS)与肺动脉收缩压(PASP)之比(RVFWLS/PASP)表征的无创耦联指标的应用价值。方法:连续纳入原发性高血压患者117例,按颈动脉超声结果分为无斑块组(n = 50)与有斑块组(n = 67),另设健康对照组(n = 30)。所有受试者接受颈动脉超声检查测量内膜中层厚度(cIMT)并计算简易颈动脉斑块积分(carotid plaque score, CPS)评估CAS负荷。应用经胸超声心动图测量左心室舒张末期内径(LVEDD)、室间隔厚度(IVSd)、左心室后壁厚度(LVPWd)、舒张功能参数(E、A、e')及左心室射血分数(LVEF),计算左心室质量指数(LVMI),并测量右心室面积变化分数(RVFAC);M型超声测量三尖瓣环收缩期位移(TAPSE);连续多普勒测量三尖瓣最大反流速度(TRV)计算PASP (PASP = 4 × TRV2 + RAP;RAP为右心房压,依据下腔静脉内径与吸气塌陷率估算),应用3D-STE获得右心室室间隔纵向应变(RVSLS)与RVFWLS,并计算无创耦联指标RVFWLS/PASP。采用Spearman秩相关分析与多元线性回归评估RVPAC与CAS负荷等变量的关系。结果:有斑块组高血压患者的IVSd、LVMI、E/e'、PASP及cIMT均显著高于其他两组,E/A、RVFWLS、RVSLS、TAPSE、RVFAC及RVFWLS/PASP均显著降低(均P < 0.001)。Spearman秩相关分析显示,cIMT与CPS均与RVFWLS/PASP显著负相关(rs分别为−0.761与−0.663,均P < 0.001)。在仅纳入高血压患者(n = 117)构建的多元线性回归模型中,校正年龄、体重、血压、LVMI与舒张功能参数(E/A、E/e')后,CAS程度(作为连续变量或有序分级)与RVFWLS/PASP仍呈独立负相关(均P < 0.001),且随CAS负荷加重,RVPAC受损呈梯度性恶化。观察者内及观察者间重复性分析显示,RVFWLS、RVSLS及PASP的测量具有良好的一致性(ICC均 > 0.85)。结论:在原发性高血压患者中,CAS负荷与RVPAC受损独立相关。颈动脉超声量化的CAS负荷可作为提示需进一步右心功能评估的直接线索。
Abstract: Objective: To investigate the association between carotid atherosclerosis (CAS) burden and right ventricular-pulmonary arterial coupling (RVPAC) in patients with primary hypertension, and to assess the utility of a noninvasive coupling index (RVFWLS/PASP), where RVFWLS is derived from three-dimensional speckle-tracking echocardiography (3D-STE) and PASP denotes pulmonary artery systolic pressure. Methods: We consecutively enrolled 117 patients with primary hypertension, stratifying them by carotid ultrasound into a no-plaque group (n = 50) and a plaque group (n = 67); a healthy control group (n = 30) was also included. All participants underwent carotid ultrasound to measure carotid intima-media thickness (cIMT) and calculate the simplified carotid plaque score (CPS), thereby quantifying CAS burden. Transthoracic echocardiography was used to measure the left ventricular end-diastolic diameter (LVEDD), interventricular septal thickness in diastole (IVSd), left ventricular posterior wall thickness in diastole (LVPWd), diastolic function parameters (E, A, e'), and left ventricular ejection fraction (LVEF); to calculate the left ventricular mass index (LVMI); and to measure right ventricular fractional area change (RVFAC). M-mode echocardiography measured tricuspid annular plane systolic excursion (TAPSE). Continuous-wave Doppler measured the peak velocity of the tricuspid regurgitant jet (TRV) and calculated PASP (PASP = 4 × TRV2 + RAP; right atrial pressure [RAP] was estimated from inferior vena cava diameter and inspiratory collapsibility). 3D-STE obtained right ventricular septal longitudinal strain (RVSLS) and right ventricular free-wall longitudinal strain (RVFWLS), from which the noninvasive coupling index RVFWLS/PASP was derived. Spearman’s rank correlation and multiple linear regression were used to assess associations between RVPAC and CAS burden, as well as other covariates. Results: Compared with the no-plaque and healthy control groups, hypertensive patients with carotid plaque had significantly higher IVSd, LVMI, E/e', PASP, and cIMT, and significantly lower E/A, RVFWLS, RVSLS, TAPSE, RVFAC, and RVFWLS/PASP (all P < 0.001). Spearman’s rank correlation showed that both cIMT and CPS were significantly inversely correlated with RVFWLS/PASP (rs = −0.761 and −0.663, respectively; both P < 0.001). In multiple linear regression models restricted to the hypertensive cohort (n = 117), after adjustment for age, body weight, blood pressure, LVMI, and diastolic function parameters (E/A, E/e'), CAS severity (modeled as a continuous variable or as ordinal categories) remained independently and inversely associated with RVFWLS/PASP (all P < 0.001). Moreover, increasing CAS burden was associated with progressively worse RVPAC, indicating graded deterioration. Intra-and inter-observer reliability analysis demonstrated good reproducibility for the measurements of RVFWLS, RVSLS, and PASP (all ICC > 0.85). Conclusions: In patients with primary hypertension, CAS burden is independently associated with RVPAC impairment. Quantifying systemic atherosclerotic burden using carotid ultrasound may provide a practical prompt to undertake further right ventricular functional assessment.
文章引用:杨韶云, 马建敏, 孙瑞聪, 何香芹. 基于三维斑点追踪技术评估原发性高血压患者颈动脉粥样硬化对右心室–肺动脉耦联功能的影响[J]. 临床医学进展, 2026, 16(3): 1446-1454. https://doi.org/10.12677/acm.2026.163925

1. 引言

高血压是导致心脑血管疾病的主要危险因素,其病理生理影响不仅局限于左心系统及体循环动脉,亦可通过多种机制影响右心功能与肺循环[1]。动脉粥样硬化(atherosclerosis, AS)是高血压常见的血管并发症和靶器官损伤之一。颈动脉作为体循环动脉系统的窗口,其内膜中层厚度(cIMT)和斑块负荷被广泛用于评估全身性AS的程度。目前,关于原发性高血压病患者AS对右心室后负荷及功能的影响尚未充分阐明。

右心室功能是决定患者预后的重要因素。右心室–肺动脉耦联(right ventricular-pulmonary artery coupling, RVPAC)反映右心室收缩功能与其后负荷(肺动脉压)的匹配程度,是维持右心功能代偿的关键。一旦发生失耦联,常提示右心功能由代偿向失代偿转变,并与不良预后密切相关[2]。研究表明,长期血压升高可致左室舒张功能障碍与左房压升高,常以后毛细血管性机制为主导致肺动脉压升高;部分患者伴肺血管重构,进一步增加右室后负荷,进而影响RVPAC [3]。有创测量的右心室收缩末期弹性(end systolic elastance, Ees)与肺动脉弹性(effective arterial elastance, Ea)之比Ees/Ea被视为评估RVPAC的金标准[4],但临床应用受限。近年来,无创超声指标,如三尖瓣环收缩期位移与肺动脉收缩压之比(TAPSE/PASP),已被广泛用于评估RVPAC [5]。然而,三维斑点追踪技术(3D-STE)可更高精度、更高特异性地评估右心室心肌形变,尤其是右心室游离壁纵向应变(RVFWLS),被认为较少受室间隔及左心影响,对右室固有纵向收缩更为敏感[6]。因此,RVFWLS与PASP之比(RVFWLS/PASP)作为一种新型无创耦联参数,在肺动脉高压等人群中显示出良好应用前景[7],但其在高血压合并AS人群中的价值尚未明确。

本研究联合应用颈动脉超声与3D-STE,旨在探讨原发性高血压患者颈动脉粥样硬化(carotid atherosclerosis, CAS)负荷程度与RVPAC状态之间的相关性,为识别早期右心功能受损的高危人群提供新的影像学依据。

2. 对象和方法

2.1. 研究对象

连续纳入2023年7月至2024年8月在本院就诊的原发性高血压患者117例。

纳入标准:(1) 年龄18~80岁;(2) 符合《中国高血压防治指南(2024年修订版)》[8]诊断标准的原发性高血压患者:在未使用降压药的情况下,非同日3次测量血压均≥140/90 mmHg;或既往已诊断高血压且当前正在使用降压药,即使血压低于上述界值;(3) 窦性心律。

排除标准:(1) 已确诊或超声估测PASP > 50 mmHg的肺动脉高压;(2) 左心室射血分数 < 50%;(3) 中度及以上心脏瓣膜病;(4) 先天性心脏病;(5) 慢性阻塞性肺疾病、肺栓塞或其他已知导致右心后负荷增加的肺部疾病;(6) 心房颤动或其他显著心律失常;(7) 超声图像质量不佳,无法完成3D-STE分析。

另设健康对照组(n = 30),来源于同期的健康体检者,其血压正常,既往无心血管疾病史,超声检查未见异常。

2.2. 临床资料收集

收集人口学与临床资料,包括性别、年龄、身高、体重,并计算体重指数(BMI)和体表面积(BSA);同时记录血压、血脂等生化指标。

2.3. 颈动脉超声检查

使用Philips IE33 (L11-3探头)与Mindray Resona 7EXP (L11-3U探头)超声仪进行颈动脉超声检查。受试者取仰卧位,充分暴露颈部。测量:(1) cIMT:距颈总动脉分叉处1~2 cm范围内测量内膜中层厚度,取双侧均值;(2) 斑块评估[9]:定义cIMT ≥ 1.5 mm,凸出于血管腔内或局限性增厚高于周围cIMT的50%为斑块。记录斑块数量与最大厚度,计算简易颈动脉斑块积分(CPS) [10]:0分 = 无斑块;1分 = 单个斑块且最大厚度 < 2 mm;2分 = 单个斑块最大厚度 ≥ 2 mm,或多个斑块且所有斑块厚度 < 2 mm;3分 = 多个斑块且任一斑块厚度 ≥ 2 mm。根据颈动脉超声结果,将原发性高血压患者分为无斑块组(n = 50)与有斑块组(n = 67)。

2.4. 超声心动图检查

使用同一台Philips EPIQ 7C超声仪,配备S5-1、X5-1探头,所有图像采集与分析由两名对颈动脉超声结果盲法的资深超声医师完成。常规测量:测量左心室舒张末期内径(LVEDD)、室间隔厚度(IVSd)与左心室后壁厚度(LVPWd),计算左心室质量指数(LVMI)。采用双平面Simpson法测量左心室射血分数(LVEF)。应用脉冲多普勒测量二尖瓣口血流频谱(E、A峰),组织多普勒测量二尖瓣环室间隔侧及侧壁舒张早期峰值运动速度e' (取平均值),计算E/A与E/e'比值。在心尖四腔心切面,应用连续多普勒测量三尖瓣最大反流速度(TRV),并根据下腔静脉内径及吸气塌陷率估算右心房压(RAP)正常者RAP = 5 mmHg,否则为10 mmHg。依据简化伯努利方程计算肺动脉收缩压(PASP):PASP = 4 × TRV2 + RAP。采集包含完整右心室的心尖四腔心三维全容积图像,导入TomTec工作站脱机分析。软件自动描绘右心室心内膜边界,对描记不佳区域进行手动校正后生成右心室三维模型,并自动获取3D-STE参数:右心室室间隔纵向应变(RVSLS)与RVFWLS,计算无创耦联指标RVFWLS/PASP。

2.5. 统计学方法

采用SPSS 27.0软件进行统计分析。计量资料经正态性检验后,符合正态分布者以均值 ± 标准差( x ¯ ±s )表示,多组比较采用单因素方差分析(ANOVA,必要时进行事后多重比较);非正态分布者以中位数(M)及四分位数(P25, P75)表示,采用Kruskal-Wallis H检验。计数资料以例(%)表示,采用χ2检验。采用Spearman秩相关分析评估cIMT、CPS与各超声参数之间的相关性。在高血压患者(n = 117)中,以RVFWLS/PASP为因变量构建多元线性回归模型,校正年龄、体重、血压、LVMI及舒张功能参数,探讨CAS对RVFWLS/PASP的影响,CAS作为连续变量时使用cIMT;作为有序变量时按CPS分级(以CPS = 0为参照)。一致性检验:由两名医师独立对随机选取的30例受试者的图像进行盲法分析,测量RVFWLS、RVSLS及PASP。计算观察者内及观察者间的组内相关系数(ICC)并进行Bland-Altman分析。均以P < 0.05为差异有统计学意义。

3. 结果

3.1. 各组间基本临床资料比较

共纳入147例研究对象,对照组、无斑块组与有斑块组分别为30例、50例、67例。三组间身高、BSA、总胆固醇、甘油三酯、低密度脂蛋白胆固醇及高密度脂蛋白胆固醇差异均无统计学意义(均P > 0.05)。与对照组相比,无斑块组和有斑块组的体重、BMI均更高,差异均有统计学意义(均P < 0.05)。两高血压亚组(无斑块组与有斑块组)之间,上述基本临床资料差异均无统计学意义(均P > 0.05)。见表1

Table 1. Baseline characteristics of different groups

1. 各组的一般资料

一般资料

对照组

无斑块组

有斑块组

F/χ2/H

P

性别(男/女,例)

(14/16)

(24/26)

(37/30)

0.884

0.643

年龄(岁)

53.47 ± 5.46

57.16 ± 7.99a

60.09 ± 7.94a

11.262

0.001

身高(m)

1.65 ± 0.07

1.65 ± 0.08

1.66 ± 0.07

0.116

0.891

体重(kg)

64.3 (60.8, 70.8)

70.0 (64.8, 75.0)a

70.0 (65.0, 75.0)a

8.678

0.013

BSA (m2)

1.73 ± 0.14

1.78 ± 0.17

1.79 ± 0.15

1.639

0.198

BMI (kg/m2)

24.12 ± 2.76

26.08 ± 3.46a

25.93 ± 3.04a

4.315

0.015

收缩压(mmHg)

127 (120, 132)

155 (146, 166)a

160 (150, 179)a

74.828

<0.001

舒张压(mmHg)

80 (72, 84)

99 (90, 101)a

100 (90, 105)a

59.109

<0.001

总胆固醇(mmol/L)

4.60 ± 0.76

4.59 ± 1.08

4.24 ± 1.07

1.308

0.276

甘油三酯(mmol/L)

1.17 (0.76, 1.66)

1.21 (0.99, 1.83)

1.20 (0.94, 2.19)

1.174

0.556

低密度脂蛋白胆固醇 (mmol/L)

2.88 ± 0.56

3.04 ± 0.99

2.87 ± 0.98

0.249

0.780

高密度脂蛋白胆固醇 (mmol/L)

1.22 (1.03, 1.46)

1.15 (1.05, 1.44)

1.14 (1.01, 1.26)

1.158

0.560

载脂蛋白B (g/L)

0.65 (0.53, 0.81)

0.62 (0.46, 1.67)

0.74 (0.46, 1.24)

0.583

0.747

吸烟史(例/%)

9 (30.0%)

16 (32.0%)

28 (41.8%)

1.790

0.409

注:与对照组相比,aP < 0.05;与无斑块组相比,bP < 0.05。

3.2. 常规超声与3D-STE参数比较

三组间LVEDD、LVEF差异均无统计学意义,有斑块组患者的IVSd、LVMI、E/e'及cIMT均显著高于其余两组,E/A显著低于其余两组(均P < 0.001)。右心室功能参数方面,有斑块组PASP显著升高,而RVFWLS、RVSLS、TAPSE、RVFAC及RVFWLS/PASP均显著降低(均P < 0.001)。见表2

Table 2. Ultrasonic parameters in each group

2. 各组的超声参数

超声参数

对照组

无斑块组

有斑块组

F/χ2/H

P

LVEDD (cm)

4.67 ± 0.24

4.65 ± 0.24

4.65 ± 0.38

0.084

0.919

IVSd (cm)

1.00 (1.00, 1.00)

1.00 (1.00, 1.20)a

1.20 (1.00, 1.30)ab

34.211

<0.001

LVPWd (cm)

1.00 (1.00, 1.00)

1.00 (1.00, 1.00)a

1.00 (1.00, 1.10)a

17.622

<0.001

LVMI (g/m2)

94.29 ± 9.50

98.73 ± 11.2

105.29 ± 18.04ab

7.648

<0.001

LVEF (%)

61.5 ± 2.05

62.14 ± 2.25

61.51 ± 2.57

1.188

0.308

E/A

1.00 ± 0.29

0.79 ± 0.19a

0.66 ± 0.15ab

22.103

<0.001

E/e'

9.96 ± 2.39

10.25 ± 2.27

11.92 ± 3.16ab

7.844

<0.001

TAPSE (cm)

2.17 (2.06, 2.34)

2.15 (1.97, 2.31)

1.97 (1.86, 2.13)ab

13.918

<0.001

PASP (mmHg)

24.33 ± 5.38

26.80 ± 5.88a

30.82 ± 6.26ab

14.151

<0.001

RVFAC (%)

54.30 ± 3.41

51.28 ± 3.81a

46.67 ± 4.97ab

36.988

<0.001

RVSLS (%)

−24.71 ± 1.14

−23.30 ± 2.06a

−19.99 ± 3.05ab

61.035

<0.001

RVFWLS (%)

−29.36 ± 2.23

−26.55 ± 3.37a

−22.46 ± 4.04ab

57.613

<0.001

RVFWLS/PASP (%/mmHg)

1.28 ± 0.38

1.04 ± 0.26a

0.75 ± 0.2ab

38.946

<0.001

cIMT (mm)

0.85 (0.80, 0.90)

0.98 (0.84, 1.10)a

1.30 (1.20, 1.40)ab

94.824

<0.001

注:与对照组相比,aP < 0.05;与无斑块组相比,bP < 0.05。

3.3. CAS程度与右心室–肺动脉耦联相关性分析

Spearman秩相关分析显示,cIMT和CPS均与RVFWLS/PASP显著负相关(rs分别为−0.761与−0.663,均P < 0.001)。cIMT和CPS均与PASP呈显著正相关(rs = 0.524与0.435,均P < 0.001),并与RVFWLS呈显著负相关(rs = −0.620与−0.575,均P < 0.001)。

3.4. 关键测量参数的可重复性分析

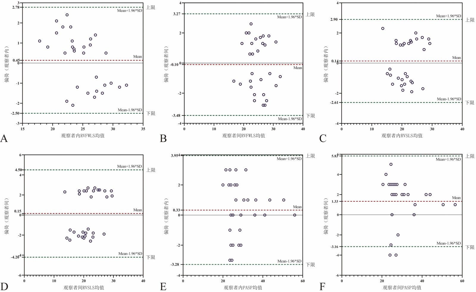
对随机选取的30例受试者(涵盖三组)进行重复测量。RVFWLS、RVSLS及PASP的观察者内ICC分别为0.962、0.969、0.988,观察者间ICC分别为0.945、0.931、0.981,表明测量一致性良好。Bland-Altman分析显示观察者内及观察者间RVFWLS、RVSLS、PASP位于±1.96标准差区间外的数据占比均≤10%,进一步支持了测量结果的可靠性。见图1

3.5. 影响右心室–肺动脉耦联的多元线性回归分析

在高血压患者中以RVFWLS/PASP为因变量进行多元线性回归分析,在校正了年龄、体重、左心功能(LVMI、E/A、E/e')后,CAS程度与RVPAC仍呈独立负相关。将CAS作为连续变量时,其与RVFWLS/PASP呈显著负相关(P < 0.001)。将CAS按CPS进行有序分级时,较CPS = 0组,CPS = 2组和CPS = 3组的RVFWLS/PASP显著降低(均P < 0.05),且受损程度随CAS分级升高而加重。见表3

Figure 1. Intra-and inter-observer Bland-Altman plots for (AB) RVFWLS, (CD) RVSLS, and (EF) PASP

1. 观察者内及观察者间(AB) RVFWLS、(CD) RVSLS、(EF) PASP的Bland-Altman图

Table 3. Factors associated with right ventricle-pulmonary artery coupling by multiple linear regression analysis

3. 影响右心室–肺动脉耦联的多元线性回归分析

自变量

B

SE

β

t

P

VIF

年龄

−0.001

0.003

−0.019

−0.239

0.812

1.487

体重

−0.003

0.002

−0.114

−1.631

0.106

1.102

收缩压

0.001

0.001

0.056

0.598

0.551

1.971

舒张压

−0.002

0.002

−0.079

−0.892

0.374

1.754

LVMI

−0.002

0.001

−0.128

−1.708

0.091

1.270

E/A

0.131

0.113

0.088

1.161

0.248

1.277

E/e'

0.001

0.007

0.015

0.198

0.843

1.222

CAS程度(连续变量)

−0.852

0.101

−0.642

−8.404

0.001

1.311

CAS程度(有序变量)

以CPS = 0为参照

CPS = 1

−0.067

0.066

−0.084

−1.014

0.313

1.328

CPS = 2

−0.143

0.065

−0.175

−2.209

0.029

1.199

CPS = 3

−0.331

0.050

−0.584

−6.567

0.001

1.513

4. 讨论

高血压是全球范围内导致心脑血管死亡与致残的主要致病因素。流行病学资料显示,我国成人高血压患病率约为31.6%,疾病负担持续加重[11]。长期以来,相关研究多聚焦于左心室肥厚、心力衰竭以及脑、肾等靶器官损伤;然而,越来越多证据表明,高血压亦可对右心–肺循环产生显著影响,进而损害右心功能并影响预后[12]。CAS作为高血压常见的血管并发症,既是脑卒中风险的重要预测指标,亦可反映全身AS负荷。目前,高血压患者的颈动脉评估与右心–肺循环功能评估往往相互独立;二者之间是否存在独立于左心功能的内在病理生理联系尚未充分阐明。本研究联合应用颈动脉超声与3D-STE,旨在探讨原发性高血压患者中CAS与RVPAC这两种亚临床靶器官损害之间的关联,以期为右心功能受损的早期识别提供新视角。

传统的RVPAC评估依赖有创导管同步测量Ees和Ea,难以在临床中广泛应用。作为无创RVPAC评估指标,TAPSE/PASP已在肺动脉高压人群中得到验证[13],与Ees/Ea相关性良好,可作为替代指标之一;但TAPSE本身易受心室几何结构与负荷状态影响。3D-STE可获得RVFWLS,该指标对心肌收缩功能变化敏感[14]。以RVFWLS与PASP之比(RVFWLS/PASP)评估RVPAC,较TAPSE/PASP表现出更佳的相关性与区分度[6]。尽管该比值目前尚缺乏统一的诊断阈值,但其生理学意义明确。本研究发现,在原发性高血压患者中,CAS与RVPAC受损显著相关。与无颈动脉斑块的高血压患者相比,伴斑块者的PASP升高、RVFWLS降低,二者共同导致以RVFWLS/PASP表征的RVPAC显著下降。这提示CAS较重的高血压患者右心室后负荷增高、收缩代偿能力减弱,可能处于耦联受损的早期阶段。同时,TAPSE与RVFAC的变化趋势与上述结果一致,进一步增强了结论的可靠性。

本研究发现,反映CAS负荷的两项指标(cIMT和CPS)均与RVFWLS/PASP比值呈显著负相关。多元线性回归进一步证实,CAS负荷(以cIMT作为连续变量、以CPS作为有序分类)是RVFWLS/PASP的独立负相关因素;且随CPS由0至3分递增,RVFWLS/PASP比值呈梯度性下降,提示CAS负荷与RVPAC受损之间存在剂量–效应关系。值得关注的是,本研究中观察到的PASP升高,部分机制可能源于高血压常见的左心室舒张功能障碍。后者可导致左心房压力增高,进而通过肺静脉传递引起毛细血管后性肺动脉高压(Post-capillary PH),增加右心室后负荷。该传导性通路或许是连接CAS与RVPAC受损的一个重要桥梁。然而,在校正年龄、体重、血压以及LVMI、E/A、E/e'等代表左心室结构与舒张功能的关键混杂因素后,上述负相关仍然显著。这表明,即使在调整关键左心参数后,CAS与RVPAC受损之间的关系仍具稳健性,提示除左心介导的传导性通路外,尚有其他机制共同驱动。可能机制包括:高血压作为全身性血管疾病,可同步诱发体循环(如颈动脉)与肺循环的内皮功能障碍、慢性炎症和氧化应激[15]。内皮功能障碍进一步促使血管平滑肌增殖与胶原沉积,导致体循环中颈动脉斑块形成,以及肺小动脉重构与管壁增厚[16]。肺血管重构直接增加肺血管阻力,升高PASP,进而加重右心室后负荷;同时,右心室心肌还可能受相同炎症因子与氧化应激的直接损害,或因冠状动脉微循环障碍而间接受累,导致RVFWLS下降(提示右室纵向收缩受损),最终表现为RVPAC受损。

本研究存在以下局限:(1) 作为横断面研究,可证实相关性,但无法推断CAS与RVPAC受损之间的因果关系。(2) PASP采用三尖瓣反流法估测,其准确性受声窗条件、反流束的完整性及右心房压力估算方法影响;尽管已采用标准化的测量流程,仍难以完全避免固有误差。(3) 缺乏肺血管阻力(PVR)的直接评估,限制了深入区分肺动脉压力升高究竟源于左心传导还是合并了肺血管本身病变。未来研究可结合右心导管或心脏磁共振成像(CMR)等更高精度的影像学手段,并探索与RVPAC相关的生物标志物,以进一步阐明其内在机制。(4) 研究对象来自单一中心,样本量有限,结论的外推性有待在多中心、大样本研究中进一步验证。

综上所述,本研究基于颈动脉超声与3D-STE两种无创影像学技术发现:在原发性高血压患者中,CAS负荷与RVPAC受损独立相关,且该关联独立于左心室结构与舒张功能的影响。该发现提示,合并CAS的高血压患者可能已存在亚临床的肺血管受累,并伴右心室功能受损风险增加,即使尚未出现明显的呼吸道症状或左心衰竭体征。上述结果有助于早期识别高危患者,为通过强化降压、调脂及生活方式干预等综合管理延缓体循环与肺循环病变的进展提供依据。

声 明

本研究获得青岛大学附属医院伦理委员会批准(审批号:QYFY WZLL 42038),患者均签署知情同意书。

NOTES

*通讯作者。

参考文献

[1] Williams, B., Mancia, G., Spiering, W., et al. (2019) ESC Scientific Document Group. 2018 ESC/ESH Guidelines for the Management of Arterial Hypertension. European Heart Journal, 40, 475. [Google Scholar] [CrossRef] [PubMed]
[2] Lahm, T., Douglas, I.S., Archer, S.L., Bogaard, H.J., Chesler, N.C., Haddad, F., et al. (2018) Assessment of Right Ventricular Function in the Research Setting: Knowledge Gaps and Pathways Forward. an Official American Thoracic Society Research Statement. American Journal of Respiratory and Critical Care Medicine, 198, e15-e43. [Google Scholar] [CrossRef] [PubMed]
[3] 赵晶晶, 朱婷婷, 薛继平. 二维斑点追踪和三维超声心动图技术评价合并高血压的肥胖患者的右心室功能[J]. 分子影像学杂志, 2026, 49(1): 108-113.
[4] Hsu, S., Simpson, C.E., Houston, B.A., Wand, A., Sato, T., Kolb, T.M., et al. (2020) Multi‐Beat Right Ventricular‐arterial Coupling Predicts Clinical Worsening in Pulmonary Arterial Hypertension. Journal of the American Heart Association, 9, e016031. [Google Scholar] [CrossRef] [PubMed]
[5] Tello, K., Wan, J., Dalmer, A., Vanderpool, R., Ghofrani, H.A., Naeije, R., et al. (2019) Validation of the Tricuspid Annular Plane Systolic Excursion/systolic Pulmonary Artery Pressure Ratio for the Assessment of Right Ventricular-Arterial Coupling in Severe Pulmonary Hypertension. Circulation: Cardiovascular Imaging, 12, e009047. [Google Scholar] [CrossRef] [PubMed]
[6] 马春燕, 谢明星. 右心功能超声心动图评估临床实践与进展[J]. 临床心血管病杂志, 2025, 41(12): 913-918.
[7] Ünlü, S., Bézy, S., Cvijic, M., Duchenne, J., Delcroix, M. and Voigt, J. (2022) Right Ventricular Strain Related to Pulmonary Artery Pressure Predicts Clinical Outcome in Patients with Pulmonary Arterial Hypertension. European Heart JournalCardiovascular Imaging, 24, 635-642. [Google Scholar] [CrossRef] [PubMed]
[8] 中国高血压防治指南修订委员会, 高血压联盟(中国), 中国医疗保健国际交流促进会高血压病学分会, 等. 中国高血压防治指南(2024年修订版) [J]. 中华高血压杂志(中英文), 2024, 32(7): 603-700.
[9] 国家卫生健康委员会脑卒中防治专家委员会血管超声专业委员会, 中国超声医学工程学会浅表器官及外周血管超声专业委员会, 中国超声医学工程学会颅脑及颈部血管超声专业委员会. 头颈部血管超声若干问题的专家共识(颈动脉部分) [J]. 中国脑血管病杂志, 2020, 17(6): 346-353.
[10] 王妍敏, 吴海霞, 邓立菊, 等. 颈动脉内中膜厚度和斑块积分对冠心病的预测研究[J]. 黑龙江医学, 2014, 38(7): 799-800.
[11] 刘明波, 何新叶, 杨晓红, 等. 《中国心血管健康与疾病报告2024》高血压章节要点解读[J]. 中华高血压杂志(中英文), 2025, 33(12): 1138-1141.
[12] Humbert, M., Kovacs, G., Hoeper, M.M., Badagliacca, R., Berger, R.M.F., Brida, M., et al. (2022) 2022 ESC/ERS Guidelines for the Diagnosis and Treatment of Pulmonary Hypertension. European Respiratory Journal, 61, Article ID: 2200879. [Google Scholar] [CrossRef] [PubMed]
[13] 杜聪, 杨冬妹, 伍鹏飞. 肺动脉高压患者超声心动图参数与右心导管检查参数的相关性及其对预后的评估价值研究[J/OL]. 皖南医学院学报: 1-12.
https://link.cnki.net/urlid/34.1068.R.20251223.1520.002, 2026-01-25.
[14] 赵思佳, 宋晓霞, 周青, 田雨, 姜志荣. 斑点追踪成像评慢性肾衰竭患者肾移植前后右心功能变化的研究[J]. 临床医学进展, 2025, 15(5): 1680-1687.
[15] Franco, C., Sciatti, E., Favero, G., Bonomini, F., Vizzardi, E. and Rezzani, R. (2022) Essential Hypertension and Oxidative Stress: Novel Future Perspectives. International Journal of Molecular Sciences, 23, Article 14489. [Google Scholar] [CrossRef] [PubMed]
[16] Lin, A., Miano, J.M., Fisher, E.A. and Misra, A. (2024) Chronic Inflammation and Vascular Cell Plasticity in Atherosclerosis. Nature Cardiovascular Research, 3, 1408-1423. [Google Scholar] [CrossRef] [PubMed]