血清维生素C浓度与肾结石患病率之间的 U型关系:基于NHANES的横断面研究
U-Shaped Relationship between Serum Vitamin C Concentration and Prevalence of Kidney Stones: A Cross-Sectional Study from NHANES
DOI: 10.12677/acm.2026.163964, PDF, HTML, XML,   
作者: 刘加杭, 于圣杰*:重庆医科大学附属第二医院泌尿外科,重庆
关键词: 肾结石维生素C肾脏疾病NHANESKidney Stones Vitamin C Kidney Disease NHANES
摘要: 目的:关于维生素C水平与肾结石发生风险之间的关系仍存在争议。本研究旨在探讨血清维生素C浓度与肾结石发生之间的关联。方法:本研究进行了横断面分析,使用2017~2018年国家健康与营养调查的数据,共有4932名参与者。血清维生素C浓度采用超高效液相色谱法测定,研究对象肾结石患病率通过问卷调查获得。研究采用分段回归分析确定血清维生素C的临界值为1.69 mg/dL,并通过对数似然比检验验证了该阈值的显著性。然后,构建了三种logistic回归模型,以探讨过量(≥1.69 mg/dL)与非过量的血清维生素C对肾结石的影响,并进行分层分析以评估其在不同人群中的适用性。结果:参与者中肾结石的患病率为10.22%。研究发现,血清维生素C浓度与肾结石患病率之间存在U形关系,1.69 mg/dL被确定为临界值。当血清维生素C浓度低于该临界值时,维生素C每增加一个单位可使肾结石发生率降低29%;而当浓度超过该临界值时,肾结石患病率与血清维生素C浓度呈正相关。结论:本研究发现,血清维生素C浓度与肾结石风险之间呈现非线性关系,表明无论是过高还是过低的血清维生素C水平都与肾结石的风险相关。这些结果强调了维持适当的血清维生素C水平可能在肾结石预防中具有重要性,但我们的结论尚需通过进一步的临床研究加以验证。
Abstract: Objective: The relationship between vitamin C levels and the risk of kidney stone formation remains controversial. This study aimed to investigate the association between serum vitamin C concentration and kidney stone occurrence. Methods: A cross-sectional analysis was conducted using data from the 2017~2018 National Health and Nutrition Examination Survey, comprising 4932 participants. Serum vitamin C concentrations were measured by ultra performance liquid chromatography. The prevalence of kidney stones among participants was determined through self-reported questionnaires. Segmented regression analysis identified a serum vitamin C threshold value of 1.69 mg/dL, the significance of which was confirmed by a log-likelihood ratio test. Subsequently, three logistic regression models were constructed to examine the effects of excess (≥1.69 mg/dL) versus non-excess serum vitamin C on kidney stones. Stratified analyses were conducted to evaluate the applicability of these models across different populations. Results: The prevalence of kidney stones among participants was 10.22%. A U-shaped relationship was observed between serum vitamin C concentration and kidney stone prevalence, with a threshold identified at 1.69 mg/dL. Below this threshold, each unit increase in serum vitamin C concentration decreased kidney stone incidence by 29%. Conversely, above this threshold, kidney stone prevalence was positively correlated with serum vitamin C concentrations. Conclusions: This study identified a nonlinear relationship between serum vitamin C concentration and kidney stone risk, indicating that both excessively high and low serum vitamin C levels are associated with increased risk. These findings underscore the importance of maintaining appropriate serum vitamin C levels for kidney stone prevention; however, further clinical studies are required to validate our conclusions.
文章引用:刘加杭, 于圣杰. 血清维生素C浓度与肾结石患病率之间的 U型关系:基于NHANES的横断面研究[J]. 临床医学进展, 2026, 16(3): 1778-1788. https://doi.org/10.12677/acm.2026.163964

1. 引言

肾结石是一种常见的泌尿系统疾病,其患病率在美国自1994年以来显著上升,从每20人中1人增加到每11人中1人[1]。在全球范围内,不同年龄、性别和种族群体的发病率存在差异,但总体上呈上升趋势[1]-[4]。随着患病率的持续增加,肾结石对社会经济的影响也日益加重,医疗资源的消耗显著增加[5]

维生素C,亦称抗坏血酸,是一种水溶性维生素,人体无法自行合成,需要通过食物摄入[6]。维生素C在人体代谢中发挥多种重要作用,包括促进非血红素铁的吸收、参与胶原蛋白的合成、增强免疫系统功能以及具有抗氧化作用[7]。因此,保持足够的维生素C摄入对于维持身体健康和预防多种疾病至关重要。

近年来,多项研究表明维生素C对肾结石风险具有保护作用[8] [9]。为深入探讨二者之间的关系,我们进行了文献回顾。然而,在回顾文献后,我们发现关于维生素C与肾结石之间关系的临床研究结果并不一致,甚至部分研究结果相互矛盾[8]-[15]。因此,我们利用2017~2018年美国全国健康和营养检查调查(NHANES)数据,探讨了血清维生素C浓度与肾结石发生风险之间的关联。

2. 研究方法

2.1. 研究人群

NHANES是国家卫生统计中心(NCHS)进行的一项重要调查项目,旨在评估美国人口的健康状况和营养状况。该项目已获得NCHS伦理审查委员会的批准,所有参与者均签署了知情同意书。项目涵盖了广泛的人口统计数据、体格检查、实验室测试、与健康相关的问卷和处方药清单。所有数据均可以在CDC官方https://www.cdc.gov/nchs/nhanes/上获取。我们获取2017~2018年全国健康和营养检查调查(NHANES)的数据,并使用R软件4.1和EmpowerStats 4.0对下载的数据进行可视化和分析。我们的研究共有9254名参与者接受了调查,在排除缺少肾结石数据(n = 3685)和缺少血清维生素C数据(n = 637)后,我们的最终分析包括4932名参与者(图1)。

Figure 1. Flow chart of study participants

1. 研究参与者纳入流程图

2.2. 暴露和结果

血清维生素C浓度的测量:血清中的维生素C通过UPLC与电化学检测在450 mV下测量,使用MPA酸化并稳定维生素C,然后在C‐18反相柱上注射样品并与内标物进行比较以定量。

肾结石结局定义:我们通过问卷调查来确定参与者的肾脏健康状况。“Ever had kidney stones?”被用于评估患者的肾结石状况,若参与者回答“是”则认为他有肾结石。肾结石的发生被设计为结局变量。以往的研究已经验证了问卷形式的自我报告肾结石病史的可靠性。例如,Curhan1等人随机审查了60名自我报告有肾结石病史的参与者的病历,结果97%的病例得到确诊;其余3%的病例被诊断为膀胱结石。这支持了在NHANES等大规模流行病学调查中自我报告肾结石病史的有效性。

2.3. 协变量

在多变量校正模型中,总结了血清维生素C浓度与肾结石之间关联的潜在协变量。我们研究的协变量包括:性别(男性/女性)、年龄(岁)、种族、教育水平、贫困收入比(PIR)、体重指数(BMI)、吸烟状况(吸烟与否)、高血压、糖尿病,以及膳食维生素C的摄入量。研究变量的所有详细测量过程均可在www.cdc.gov/nchs/nhanes/上获得。

3. 统计分析

所有统计分析均根据美国疾病控制与预防中心(CDC)指南进行。卡方检验用于分类变量,线性回归模型用于连续变量,以计算肾结石患病人群与非患病人群之间的差异,数据以分类变量的百分比和连续变量的平均值及标准差表示。随后进行分段回归,以探究血清维生素C浓度的临界值。采用对数似然比检验确定非分割模型与分割回归模型之间是否存在阈值。阈值被确定为进一步分类的临界值。血清维生素C临界值设定为1.69 mg/dL。接着,开发了三种logistic回归模型以计算过量血清维生素C浓度(血清维生素C ≥ 1.69 mg/dL)和非过量血清维生素C与肾结石之间的比值比(ORs)和95%置信区间(CIs):粗略模型(未调整);模型1根据性别、年龄、种族、教育水平和PIR进行了调整;模型2根据性别、年龄、种族、教育水平、PIR、BMI、吸烟状况、糖尿病、高血压和膳食维生素C摄入量进行了调整。最后,根据性别、年龄(三分位分组)、种族/民族、BMI (<25.00和25.00≥)、高血压病史和糖尿病病史进行分层分析。所有统计分析方法均使用R软件4.1和EmpowerStats 4.0,双尾P < 0.05被设定为具有统计学意义。

4. 结果

4.1. 参与者基线特征

本研究共纳入4932名参与者,平均年龄为51.60 ± 17.64岁,其中男性占48.20%。所有参与者的肾结石患病率为10.22%,根据这一数据将其划分为肾结石组和非肾结石组。通过对比两组参与者的特征,肾结石组人群的血清维生素浓度(0.84 ± 0.55)显著低于非结石组人群(0.90 ± 0.49) (P = 0.008)。此外,我们发现患有肾结石的受试者更有可能是男性、年龄较大、非西班牙裔白人、肥胖和患有糖尿病、高血压的人群(P < 0.001)。然而,在教育水平、家庭收入和维生素C摄入量方面,其差异均未达到统计学意义(P > 0.05) (表1)。

Table 1. Baseline characteristics of 4932 participants aged 20 to 80 years from 2017~2018 NHANES*

1. 基于2017~2018年NHANES*的4932名参与者的基线特征

肾结石

一般情况

整体

健康人群

肾结石患者

P

数量(n)

4932

4428

504

年龄()

51.60 ± 17.64

50.98 ± 17.72

57.03 ± 15.96

<0.001

性别

<0.001

男性

2377 (48.20%)

2093 (47.27%)

284 (56.35%)

女性

2555 (51.80%)

2335 (52.73%)

220 (43.65%)

种族

<0.001

墨西哥裔美国人

675 (13.69%)

620 (14.00%)

55 (10.91%)

其他西班牙裔

470 (9.53%)

426 (9.62%)

44 (8.73%)

非西班牙裔白人

1728 (35.04%)

1472 (33.24%)

256 (50.79%)

非西班牙裔黑人

1117 (22.65%)

1040 (23.49%)

77 (15.28%)

其他种族

942 (19.10%)

870 (19.65%)

72 (14.29%)

教育水平

0.449

高中及以下

986 (19.99%)

880 (19.87%)

106 (21.03%)

高中以上

3935 (79.79%)

3537 (79.88%)

398 (78.97%)

缺失

11 (0.22%)

2 (0.05%)

0 (0.00%)

贫困收入比

2.56 ± 1.61

2.56 ± 1.61

2.58 ± 1.61

0.730

体重指数(kg/m2)

29.88 ± 7.38

29.75 ± 7.34

30.99 ± 7.61

<0.001

吸烟史

0.002

2079 (42.15%)

1834 (41.42%)

245 (48.61%)

2853 (57.85%)

2594 (58.58%)

259 (51.39%)

糖尿病病史

<0.001

955 (19.36%)

806 (18.20%)

149 (29.56%)

3973 (80.56%

3618 (81.71%)

355 (70.44%)

缺失

4 (0.08%)

4 (0.09%)

0 (0.00%)

高血压病史

<0.001

1887 (38.26%)

1629 (36.79%)

258 (51.19%)

3035 (61.54%)

2789 (62.99%)

246 (48.81%)

缺失

10 (0.20%)

10 (0.23%)

0 (0.00%)

血清维生素C (mg/dL)

0.89 ± 0.50

0.90 ± 0.49

0.84 ± 0.55

0.008

膳食维生素C摄入量(mg)

78.46 ± 74.90

79.25 ± 74.70

71.70 ± 76.38

0.054

肾结石

4428 (89.78%)

504 (10.22%)

*数据为n (%)或平均值 ± SD;NHANES:全国健康与营养调查。

4.2. 非线性关系检测

本研究采用广义加法模型和平滑曲线拟合探究血清维生素C与肾结石之间的非线性关系。我们发现了血清维生素C浓度与肾结石患病率之间存在U型关联(图2)。随后,采用对数似然比检验确定非分割模型与分割回归模型之间是否存在阈值。研究结果显示,血清维生素C浓度与肾结石患病率的非线性关系显著(对数似然比均为P < 0.05) (表2),我们发现受试人群肾结石患病率的拐点为1.69 mg/dL。当血清维生素C小于1.69 mg/dL时,血清维生素C浓度每降低1个单位,肾结石的患病率增加31% (OR = 0.69, 95% CI = 0.52~0.91)。而当血清维生素C超过1.69 mg/dL时,其与肾结石患病率之间无显著关联(OR = 1.45, 95% CI = 0.83~2.52)。

Figure 2. U-shaped relationship between serum vitamin C and kidney stones

2. 血清维生素C浓度与肾结石患病率的U型曲线

Table 2. Threshold effect analysis of vitamin C association with kidney stone*

2. 血清维生素C与肾结石关系的阈值效应分析*

调整后OR (95% CI)

P值

标准线性模型拟合

0.80 (0.63, 1.02)

0.0712

双片段线性模型拟合

转折点

1.69 mg/dL

血清维生素C < 1.69 mg/dL

0.69 (0.52, 0.91)

0.0090

血清维生素C ≥ 1.69 mg/dL

1.45 (0.83, 2.52)

0.1868

对数似然比

0.0490

*通过年龄、性别、种族、教育水平、贫困收入比、体重指数、吸烟史、糖尿病病史、高血压病史和维生素C摄入量进行了调整。

4.3. 血清维生素C浓度与肾结石患病率的关系

我们共纳入了4932名参与者,其中肾结石患者504名。我们设计了三种logistic回归模型,以探讨血清维生素C浓度对肾结石患病率的独立影响(表3)。经过对年龄、性别、种族/民族、教育水平、贫困收入比(PIR)、体重指数(BMI)、吸烟状况、高血压病史、糖尿病病史和膳食维生素C摄入量(模型2)进行多变量调整后,我们发现,当血清维生素C浓度低于1.69 mg/dL时,其与肾结石患病率呈负相关。此时肾结石的比值比(OR)为0.71 (95% CI: 0.52~0.91),意味着血清维生素C浓度每增加一个单位,受试者患肾结石的可能性降低29%。然而,当血清维生素C浓度超过1.69 mg/dL时,肾结石患病率与血清维生素C浓度呈正相关(OR = 2.14, 95% CI = 1.01~4.54)。

Table 3. Multivariate linear regression analyses for Serum vitamin C association with kidney stone

3. 血清维生素C与肾结石关系的单因素和多因素线性回归分析

分层分析

OR (95% CI*)

P

血清维生素C < 1.69 mg/dL

Crude model

0.66 (0.52, 0.84)

0.0005

模型1

0.66 (0.51, 0.86)

0.0016

模型2

0.71 (0.53, 0.97)

0.0296

血清维生素C ≥ 1.69 mg/dL

粗略模型

1.45 (0.80, 2.64)

0.2193

模型1

1.49 (0.77, 2.87)

0.2361

模型2

2.14 (1.01, 4.54)

0.0479

粗略模型:未对协变量进行调整。模型1:通过年龄、性别、种族、教育水平和贫困收入比进行调整。模型2:通过年龄、性别、种族、教育水平、贫困收入比、体重指数、吸烟史、糖尿病病史、高血压病史和维生素C摄入量进行调整。*P < 0.05表示差异显著。CI:置信区间。

4.4. 分组分析

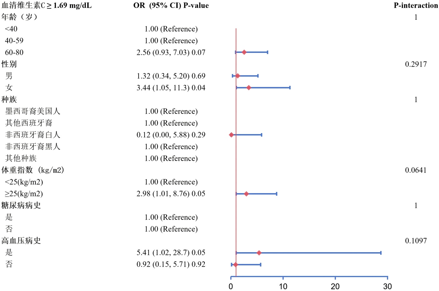
为进一步探究血清维生素C浓度与肾结石患病率之间的关系,我们对年龄、性别、种族、BMI、高血压病史和糖尿病病史进行了分层分析(图3图4)。我们发现,非过量血清维生素C (<1.69 mg/dL)与过量血清维生素C (≥1.69 mg/dL)对受试者肾结石的患病率的影响在按年龄、种族、BMI、高血压病史和糖尿病病史分层的各个亚组中相似。血清维生素C浓度与这些分层变量之间无显著的交互作用。同时,我们的研究结果表明当受试女性的血清维生素C小于1.69 mg/dL时,血清维生素C水平与肾结石患病率之间存在更强的负相关(OR = 0.51, 95% CI = 0.33~0.79)。

5. 结论

根据我们的研究,这是一项包含4932名参与者的横断面研究,旨在探讨血清维生素C与肾结石患病率的关系。在本研究中,我们观察到血清维生素C浓度与肾结石患病率之间存在U型关系。当血清维生素C浓度小于1.69 mg/dL时,血清维生素C与肾结石患病率呈负相关;而当血清维生素C浓度大于等于1.69 mg/dL时,二者之间则呈正相关。这一研究结果可能为临床实践和饮食建议提供重要参考,有助于降低肾结石的患病率。

在我们的研究中,我们将血清维生素C浓度作为自变量,肾结石患病率作为因变量,发现二者之间存在非线性关联。与以往相关临床研究不同,以往研究通常将维生素C摄入量作为自变量,以探究其与肾结石之间的关系。例如,Liu Kot K等人的研究发现每日摄入60~110毫克维生素C有助于预防结石形成[9],暗示了维生素C在适量范围内可能对肾结石风险起到积极作用。然而,Massey LK的研究发现过量维生素C摄入会增加草酸尿症和肾结石的风险[12]。不同研究结论表明维生素C摄入量与肾结石风险之间存在复杂且非线性的关系。此外,Zeng H等人发现随着维生素C摄入量的增加,肾结石患病率先下降后上升[14],与我们的研究结论相似。然而,Curhan GC等人对85,557名女性进行的长期随访观察未能发现维生素C摄入量与女性肾结石风险之间存在显著关联[10],这与我们的研究结果有所不同。这种差异可能源于研究对象不同以及个体对维生素C的代谢和利用存在差异。血清维生素C浓度反映了体内维生素C的实际水平,主要受膳食摄入量影响,但与摄入量有所区别[16]。因此,血清维生素C浓度可能更准确地反映维生素C在肾结石形成中的作用机制。这一观点为我们的研究提供了新的视角,进一步强调了血清维生素C浓度对肾结石风险的重要性,并为维生素C与肾结石之间的关系提供了更为深入和全面的理解。

Figure 3. Stratified analysis forest plot (serum vitamin C < 1.69 mg/dL)

3. 分层分析森林图(血清维生素C < 1.69 mg/dL)

Figure 4. Stratified analysis forest plot (serum vitamin C ≥ 1.69 mg/dL)

4. 分层分析森林图(血清维生素C ≥ 1.69 mg/dL)

肾结石形成的机制尚不完全明确,但已有研究表明,肾结石的形成与尿液中的高草酸盐、高钙盐、低柠檬酸盐以及肾脏氧化应激等异常状态密切相关,这些异常状态促使肾上皮细胞转化为成骨细胞表型,从而促进了磷酸钙晶体的沉积及Randall斑的形成,最终导致肾结石的发生[17]。随着血清维生素C浓度不断增加,维生素C对肾结石形成的影响可能涉及多个复杂机制。在初始阶段,维生素C作为抗氧化剂,可能通过减轻氧化应激对肾脏组织的损伤来降低肾结石的形成风险。氧化应激源自受损线粒体,过量的ROS (Reactive Oxygen Species)产生会促进晶体聚集、生长和粘附,最终导致结石形成[18]。维生素C能够通过氧化还原反应中和过量ROS [19],有助于减少氧化应激对肾脏细胞的损害,从而暂时降低了肾结石的形成风险。然而,伴随血清维生素C浓度的增加,过量摄入维生素C可能导致尿液中草酸盐浓度升高和尿液酸化,从而增加肾结石形成的风险。人体维生素C大部分通过肾脏排泄,其中约有44%以草酸盐的形式被清除[20]。维生素C在肾脏中的重吸收主要依赖于SVCT1转运蛋白,该机制能够有效且饱和地清除多余的维生素C,从而维持稳定的血浆维生素C水平[20]。因此,随着血清维生素C浓度的增加,过量维生素C的排泄会导致尿液中草酸盐含量增加。过量的草酸盐在尿液可以通过多种机制的激活促进结晶成分的结晶或聚集[21],从而增加了肾结石形成的风险。此外,维生素C本身是一种酸性物质,其大量排泄可能增加尿液的酸度,促进草酸盐的沉淀和结晶,进一步增加肾结石形成的风险。因此,维持适当的血清维生素C浓度可能有助于降低肾结石的风险。特别是对于肾结石患者或有肾结石风险的个体来说,需要谨慎控制维生素C的摄入量。维生素C在肾结石形成中发挥着重要作用,因此必须在维生素C的抗氧化特性和草酸盐形成风险之间取得平衡,以避免可能的不良影响。

先前的研究已经指出,性别、种族、肥胖和糖尿病是影响肾结石患病率的因素[1]。因此,我们进行了基于性别、年龄、种族、高血压、糖尿病和肥胖状况的分层分析。既往研究显示男性更容易患肾结石[1] [2]。同样地,我们发现非过量血清维生素C (<1.69 mg/dL)在女性中对肾结石的保护作用更为显著。一种可能的解释是,女性体内的雌激素可以通过多种机制增强抗氧化能力,为身体提供更有效的抗氧化保护[22],从而减少氧化应激对肾结石形成的影响。因此,相较于男性,女性在这方面可能具有更明显的保护作用。然而,在过量血清维生素C (≥1.69 mg/dL)的分层分析中,并未观察到性别与肾结石之间的显著交互作用。此外,我们还发现,在按年龄、种族、肥胖、高血压史和糖尿病史进行分层的各个亚组中,血清维生素C浓度与这些分层变量之间也未观察到显著的交互作用。

我们的研究具有若干优点。首先,与以往相关临床研究多将每日维生素C摄入量作为自变量探究其与肾结石的关系不同,本研究以血清学维生素C浓度作为核心研究自变量,同时将每日维生素C摄入量纳入协变量进行多维度校正,既聚焦体内维生素C的实际水平与肾结石患病的关联,又排除了膳食摄入层面的混杂干扰,更精准地揭示了维生素C在肾结石发生中的作用规律,为二者关系的研究提供了更具针对性的新视角。其次,本研究基于NHANES的全国代表性数据开展分析,研究人群覆盖范围广、特征多样,所得结果的外推性更强,更易推广到不同人群。此外,我们对性别、年龄、BMI、基础疾病等多个潜在混杂因素进行了全面调整,最大程度排除了各类干扰因素的影响,有效提升了研究结果的可靠性与科学性。最后,通过按性别、年龄、种族、基础疾病史等特征进行的分层分析,我们进一步识别了不同亚组中血清维生素C浓度对肾结石患病率影响的一致性规律,充分考虑了不同人群的特征差异,进一步增强了研究结果的普适性。

尽管本研究依托全国代表性大样本数据,且经多维度协变量校正提升了结果稳健性,但仍存在研究局限。横断面研究设计下,即时检测的血清维生素C浓度与回顾性收集的肾结石既往病史存在时间错位,这是本研究因果推断的主要制约因素—肾结石病史发生时间跨度大,而血清维生素C为调查时点的单次检测结果,二者无法精准时间匹配,当前检测水平无法反映结石形成阶段的维生素C代谢状态,二者的内在作用机制也仍需更多实验验证。因此,本研究暂无法明确二者的因果关联。其次,尽管我们已对多个协变量进行了调整,潜在的未测量混杂因素(如药物使用情况、遗传易感性及生活方式等)仍可能对研究结果产生干扰,无法完全排除其影响。因此,本研究结果仅能揭示血清维生素C水平与肾结石患病率之间的统计学相关性,而非因果联系。未来仍需开展前瞻性队列研究或随机对照试验,以进一步验证该U型关系的因果基础。此外,本研究部分数据来源于问卷或访谈,可能存在一定程度的回忆偏倚,亦需在解释结果时予以谨慎对待。

总之,本研究表明,血清维生素C浓度与肾结石发病率之间存在显著的非线性关系,并在1.69 mg/dL处出现拐点。尽管由于横断面研究的设计限制,无法建立血清维生素C水平与肾结石之间的因果关系,但这一观察结果为临床营养管理提供了新的思考方向。特别是在面对肾结石高风险人群(如肥胖、糖尿病或有结石病史者)时,合理控制维生素C摄入水平可能具有一定参考价值。此外,公众健康教育中可进一步强调“适量补充、避免极端”的理念,鼓励通过均衡饮食维持血清维生素C的适宜水平。未来需要前瞻性研究进一步验证本研究发现,并探索是否可将血清维生素C作为肾结石高风险人群的潜在评估指标,为制定个体化营养干预策略提供依据。

致 谢

向所有为本研究提供帮助的人员及所有受试者致以最诚挚的感谢。

声 明

NHANES研究方案已获得美国疾病控制与预防中心国家卫生统计中心机构审查委员会批准(https://www.cdc.gov/nchs/nhanes/irba98.htm)。NHANES已获得所有参与者书面知情同意。参与本研究的所有作者之间不存在任何潜在利益冲突。

NOTES

*通讯作者。

参考文献

[1] Scales, C.D., Smith, A.C., Hanley, J.M. and Saigal, C.S. (2012) Prevalence of Kidney Stones in the United States. European Urology, 62, 160-165. [Google Scholar] [CrossRef] [PubMed]
[2] Chewcharat, A. and Curhan, G. (2021) Trends in the Prevalence of Kidney Stones in the United States from 2007 to 2016. Urolithiasis, 49, 27-39. [Google Scholar] [CrossRef] [PubMed]
[3] Romero, V., Akpinar, H. and Assimos, D.G. (2010) Kidney Stones: A Global Picture of Prevalence, Incidence, and Associated Risk Factors. Reviews in Urology, 12, e86-e96.
[4] Wang, W., Fan, J., Huang, G., Li, J., Zhu, X., Tian, Y., et al. (2017) Prevalence of Kidney Stones in Mainland China: A Systematic Review. Scientific Reports, 7, Article No. 41630. [Google Scholar] [CrossRef] [PubMed]
[5] Hyams, E.S. and Matlaga, B.R. (2014) Economic Impact of Urinary Stones. Translational Andrology and Urology, 3, 278-283.
[6] Ferraro, P.M., Curhan, G.C., Gambaro, G. and Taylor, E.N. (2016) Total, Dietary, and Supplemental Vitamin C Intake and Risk of Incident Kidney Stones. American Journal of Kidney Diseases, 67, 400-407. [Google Scholar] [CrossRef] [PubMed]
[7] Naidu, K.A. (2003) Vitamin C in Human Health and Disease Is Still a Mystery? An Overview. Nutrition Journal, 2, Article No. 7. [Google Scholar] [CrossRef] [PubMed]
[8] Jaturakan, O., Dissayabutra, T., Chaiyabutr, N., Kijtawornrat, A., Tosukhowong, P., Rungsipipat, A., et al. (2017) Combination of Vitamin E and Vitamin C Alleviates Renal Function in Hyperoxaluric Rats via Antioxidant Activity. Journal of Veterinary Medical Science, 79, 896-903. [Google Scholar] [CrossRef] [PubMed]
[9] Liu Kot, K., Labagnara, K., Kim, J.I., Loloi, J., Gupta, K., Agalliu, I., et al. (2023) Evaluating the American Urologic Association (AUA) Dietary Recommendations for Kidney Stone Management Using the National Health and Nutritional Examination Survey (NHANES). Urolithiasis, 51, Article No. 60. [Google Scholar] [CrossRef] [PubMed]
[10] Curhan, G.C., Willett, W.C., Speizer, F.E. and Stampfer, M.J. (1999) Intake of Vitamins B6 and C and the Risk of Kidney Stones in Women. Journal of the American Society of Nephrology, 10, 840-845. [Google Scholar] [CrossRef] [PubMed]
[11] Jian, Z., Wang, M., Jin, X., Li, H. and Wang, K. (2021) Diet-Derived Antioxidants and Risk of Kidney Stone Disease: Results from the NHANES 2007-2018 and Mendelian Randomization Study. Frontiers in Nutrition, 8, Article ID: 738302. [Google Scholar] [CrossRef] [PubMed]
[12] Massey, L.K., Liebman, M. and Kynast-Gales, S.A. (2005) Ascorbate Increases Human Oxaluria and Kidney Stone Risk. The Journal of Nutrition, 135, 1673-1677. [Google Scholar] [CrossRef] [PubMed]
[13] Taylor, E.N., Stampfer, M.J. and Curhan, G.C. (2004) Dietary Factors and the Risk of Incident Kidney Stones in Men: New Insights after 14 Years of Follow-Up. Journal of the American Society of Nephrology, 15, 3225-3232. [Google Scholar] [CrossRef] [PubMed]
[14] Zeng, H., Liu, Z., He, Y., Chen, H., He, J., Liu, M., et al. (2024) Multivitamins Co-Intake Can Reduce the Prevalence of Kidney Stones: A Large-Scale Cross-Sectional Study. International Urology and Nephrology, 56, 2991-3001. [Google Scholar] [CrossRef] [PubMed]
[15] Curhan, G.C., Willett, W.C., Rimm, E.B. and Stampfer, M.J. (1993) A Prospective Study of Dietary Calcium and Other Nutrients and the Risk of Symptomatic Kidney Stones. New England Journal of Medicine, 328, 833-838. [Google Scholar] [CrossRef] [PubMed]
[16] Padayatty, S. and Levine, M. (2016) Vitamin C: The Known and the Unknown and Goldilocks. Oral Diseases, 22, 463-493. [Google Scholar] [CrossRef] [PubMed]
[17] Khan, S.R., Pearle, M.S., Robertson, W.G., Gambaro, G., Canales, B.K., Doizi, S., et al. (2017) Correction: Kidney Stones. Nature Reviews Disease Primers, 3, Article 17001. [Google Scholar] [CrossRef] [PubMed]
[18] Xu, Z., Yao, X., Duan, C., Liu, H. and Xu, H. (2023) Metabolic Changes in Kidney Stone Disease. Frontiers in Immunology, 14, Article ID: 1142207. [Google Scholar] [CrossRef] [PubMed]
[19] DePhillipo, N.N., Aman, Z.S., Kennedy, M.I., Begley, J.P., Moatshe, G. and LaPrade, R.F. (2018) Efficacy of Vitamin C Supplementation on Collagen Synthesis and Oxidative Stress after Musculoskeletal Injuries: A Systematic Review. Orthopaedic Journal of Sports Medicine, 6, Article 2325967118804544.
[20] Doseděl, M., Jirkovský, E., Macáková, K., Krčmová, L., Javorská, L., Pourová, J., et al. (2021) Vitamin C—Sources, Physiological Role, Kinetics, Deficiency, Use, Toxicity, and Determination. Nutrients, 13, Article 615. [Google Scholar] [CrossRef] [PubMed]
[21] Wang, Z., Zhang, Y., Zhang, J., Deng, Q. and Liang, H. (2021) Recent Advances on the Mechanisms of Kidney Stone Formation (Review). International Journal of Molecular Medicine, 48, Article No. 149. [Google Scholar] [CrossRef] [PubMed]
[22] Michos, C., Kiortsis, D.N., Evangelou, A. and Karkabounas, S. (2006) Antioxidant Protection during the Menstrual Cycle: The Effects of Estradiol on Ascorbic-Dehydroascorbic Acid Plasma Levels and Total Antioxidant Plasma Status in Eumenorrhoic Women during the Menstrual Cycle. Acta Obstetricia et Gynecologica Scandinavica, 85, 960-965. [Google Scholar] [CrossRef] [PubMed]