黄河流域森林碳储量时空变化动态研究
Study on Temporal and Spatial Dynamics of Forest Carbon Storage in the Yellow River Basin
DOI: 10.12677/wjf.2026.152032, PDF, HTML, XML,    科研立项经费支持
作者: 朱丝琦, 周子煜, 包明骞, 杨 柳:商洛学院城乡规划与建筑工程学院,陕西 商洛;岳军伟:商洛学院城乡规划与建筑工程学院,陕西 商洛;商洛市碳中和工程技术研究中心,陕西 商洛
关键词: 黄河流域碳储量碳密度龄级森林资源清查Yellow River Basin Carbon Storage Carbon Density Age-Class Forest Resource Inventory
摘要: 森林作为全球陆地生态系统最大的碳库,在抑制全球温室气体浓度上升和调节气候变化中发挥着重要作用,其碳储量的变化是判定森林是大气CO2“源”或“汇”的重要依据。根据第6次到第9次这四次全国森林资源清查数据,研究了黄河流域森林植被碳储量、碳密度的时空动态变化。结果表明:(1) 从整体上来看,1999~2018年期间黄河流域森林植被总碳储量由235.37 Tg增加到363.34 Tg,森林植被的碳密度为38.77~40.04 t/hm2。(2) 黄河流域森林碳储量以中龄林为主,碳密度最高的则是过熟林。(3) 黄河流域天然林和人工林的碳储量均呈现出上升趋势,且天然林碳储量和碳密度均远大于人工林。(4) 黄河流域中游河段森林碳储量约是上游河段的1.95倍,但中游河段的碳密度仅为上游河段的60.70%。对黄河流域森林碳储量及动态变化进行研究,可以为该流域森林碳汇研究提供最新可靠数据,对科学制订流域内森林资源管理策略提供理论依据。
Abstract: As the largest carbon reservoir in the global terrestrial ecosystem, forests play an important role in restraining the rise of global greenhouse gas concentration and regulating climate change. The change of their carbon stocks is an important basis for determining whether forests are atmospheric CO2 “sources” or “sinks”. Based on the data from the sixth to the ninth national forest resources inventory, the temporal and spatial dynamics of carbon storage and carbon density of forest vegetation in the Yellow River Basin were studied. The results showed as follows: (1) On the whole, the total carbon storage of forest vegetation in the Yellow River Basin increased from 235.37 Tg to 363.34 Tg during 1999~2018, and the carbon density of forest vegetation varied from 38.77 to 40.04 t/hm2. (2) The forest carbon storage in the Yellow River Basin is mainly middle-aged forest, and the highest carbon density is over-mature forest. (3) In the Yellow River Basin, carbon storage of natural forest and artificial forest showed an upward trend, and carbon storage and carbon density of natural forest were much higher than that of artificial forest. (4) The forest carbon storage of the middle reaches of the Yellow River basin is about 1.95 times that of the upper reaches, but the carbon density of the middle reaches is only 60.70% of that of the upper reaches. The study of forest carbon storage and dynamic change in the Yellow River Basin can provide the latest and reliable data for the study of forest carbon sink in the basin, and provide the theoretical basis for the scientific development of forest resource management strategies in the basin.
文章引用:朱丝琦, 岳军伟, 周子煜, 包明骞, 杨柳. 黄河流域森林碳储量时空变化动态研究[J]. 林业世界, 2026, 15(2): 264-273. https://doi.org/10.12677/wjf.2026.152032

1. 引言

全球有海洋、大气和陆地三大碳库,森林植被拥有陆地生态系统最大的碳储量,约占陆地生物圈碳储量的60%,其碳储量的变化是判定森林是大气CO2“源”或“汇”的重要依据[1]。而且与其他陆地生态系统相比,森林生态系统具有较高生产力,每年固定碳量约占整个陆地生态系统的2/3。准确估算森林植被碳储量及固碳潜力有利于理解陆地碳循环动态、过程和机制,也是加强森林生态系统科学管理和制定固碳减排措施的前提[2] [3]

近20多年来,国内外众多学者从不同尺度(全球、国家、区域和样地)对森林生态系统碳储量、碳密度和碳汇功能展开了大量研究,如张颖和李晓格[4]以森林蓄积量扩展法测算得到北京森林碳储量11.58 Tg,并据此提出区域稳碳增汇的路径选择。王琪琪等[5]通过研究不同龄级碳储量的差异,指出森林碳储量和龄级呈正相关,认为合理科学管护树木是挖掘碳汇潜力的关键。森林植被碳储量空间分布格局和时间动态变化一直是国内外研究热点。

黄河是我国第二大河,其流域面积7524.43万hm2,占国土面积的7.84%。气候差异大,地形地貌变化明显,是我国重要的生态安全屏障。本世纪初以来,国家先后在黄河流域启动实施了防护林体系建设、退耕还林、天然林保护和自然保护区建设等林业工程,有效保护了森林资源,增加了森林面积,改善了生态环境。当前,国内对森林植被碳储量的研究多为国家和省域尺度,流域尺度下森林植被碳储量动态变化研究较少。黄河流域生态保护和高质量发展已经上升为国家战略,是我国生态环境保护的重点地区,但黄河流域生态环境脆弱[6],该地区森林植被的保护与发展对改善全国生态状况具有至关重要的作用。目前对流域内森林植被碳储量及其动态变化研究大多着眼于局部地区,对整个流域范围的研究较少。本文基于第6至第9次全国森林资源清查数据,对整个黄河流域森林植被碳储量及其动态变化进行系统分析,以期提供黄河流域森林植被碳储量最新可靠数据,为流域内森林资源可持续发展和增加碳汇潜力提供科学依据。

2. 研究概况

2.1. 研究区概况

黄河流域是指黄河干流及支流流经的广大区域,其位于东经96˚~119˚、北纬32˚~42˚之间,其中涉及了青海、宁夏、内蒙古等9个省(区)的396个县(旗、市、区)。全长5464千米,南北宽约1100公里,流域面积为7524.43万公顷(包括内流区面积4.2万平方公里),占国土面积的7.84%。其中,黄河上游流域面积42.8万km2,黄河中游流域面积34.4万km2,黄河下游流域面积2.3万km2。黄河流域现有森林面积1629.48万公顷,森林覆盖率19.74%,该地区森林植被的保护与开发对改善全国生态状况具有至关重要的作用。

2.2. 数据来源

森林资源清查数据是目前公认的森林资源的权威数据[7]。本研究所用数据来源于全国第6次(1999~2003年)、第7次(2004~2008年)、第8次(2009~2013年)和第9次(2014~2018年)森林资源清查资料,数据跨度20年。资料中包括黄河流域不同龄级、不同起源森林面积、蓄积量等数据。

2.3. 计算方法

蓄积量和生物量的换算关系采用方精云等[8]建立的林分蓄积量和生物量之间的回归方程。具体方程如下:

y = 0.5751x + 38.706 (n = 120, r2 = 0.83) (1)

其中,y是单位面积生物量(t/hm2),x是林分单位面积蓄积量(m3/hm2)。

不同树种的生物学特性、林龄不同,含碳率也不同,国际上常用的含碳率为0.45和0.5,考虑到本文中计算的是乔木树种的碳储量,干物质含碳率通常较高,故以0.5作为生物量含碳率值。碳密度为单位面积生物量与含碳率的乘积,即

D = y × 0.5 (2)

式中:D为碳密度(t/hm2);y为单位面积生物量(t/hm2)。碳储量则通过碳密度与森林面积求得,公式如下:

C = D × S/106 (3)

式中:C为碳储量(Tg);S为森林面积(hm2)。

3. 结果与分析

3.1. 森林植被固碳的动态变化

一定区域内森林的固碳状况与该区域内的森林面积和蓄积量密切相关。从第6次到第9次森林资源清查这二十年间黄河流域森林植被固碳量在不断增加以及固碳能力不断提升,从图1可以看出,四次全国森林资源清查碳储量分别是235.37 Tg、265.63 Tg、316.65 Tg和363.34 Tg,每次清查间隔期,碳储量增长幅度约为15%左右,20年间森林植被储量累积增长了约54%。这一方面是得益于天然林保护工程和退耕还林(还草)政策的实施,天然林面积逐渐增加,另一方面是由于流域内人工林面积的扩大,使得黄河流域的森林面积和总蓄积量都在持续增加。森林覆盖率也由第6次的7.64%增加到了第九次的19.74%,同森林面积和总蓄积量的动态变化趋势一致。贾松伟[9]对黄河流域森林植被碳储量分布特征的研究同样显示,1999~2003年和2004~2008年两个时间段的黄河流域森林碳储量为235.37 Tg和265.63 Tg。

以第6次森林资源清查数据(表1)为例,计算本次碳储量和碳密度:

Table 1. Area and stock volume of arbor forests in different age classes

1. 不同龄级乔木林面积、蓄积

龄级

面积(hm2)

蓄积(m3)

幼龄林

1,559,200

36,689,900

中龄林

1,725,000

90,854,600

近熟林

1,092,400

75,400,500

成熟林

1,012,000

100,055,400

过熟林

682,100

106,962,300

合计

6,070,700

409,963,600

第一步,计算单位面蓄积量(m3/hm2),计算方法为总蓄积量(m3)除以总面积(hm2),由此计算得出各龄级单位面积蓄积量数据(见表2)。

第二步,将各龄级单位面积蓄积量数据代入公式(1):y = 0. 5751x + 38.706 (n = 120, r2 = 0.83)和公式(2):D = y × 0.5,得到各龄级森林碳密度(见表2)。

第三步,把森林碳密度和森林面积数据代入公式(3):C = D × S/106,即可求得各龄级森林碳储量。

Table 2. Carbon density and carbon storage of arbor forests in different age classes

2. 不同龄级乔木碳储量、碳密度

龄级

单位面积蓄积量(m3/hm2)

碳密度(t/hm2)

碳储量(Tg)

幼龄林

23.53123397

26.11940633

40.73

中龄林

52.66933333

34.4980668

59.51

近熟林

69.02279385

39.20050437

42.82

成熟林

98.86897233

47.78277299

48.36

过熟林

156.8132239

64.44464252

43.96

合计

67.53152025

38.771689

235.37

其它3次森林资源清查数据的不同龄级、起源和不同河段森林的碳密度、碳储量计算方法与此一致。

图1可见,流域内森林碳密度为38.77 t/hm2、39.00 t/hm2、38.66 t/hm2和40.04 t/hm2,呈现整体呈小幅增加的趋势。李曼等[10]运用InVEST模型定量估算了1990~2020年黄河流域林地的地上部分碳密度为36.1 t/hm2,两者非常接近,表明本研究所得的碳密度数据是合理的。梁祥权等[11]根据2000~2023土地覆被数据集计算得到黄河三角洲海岸带森林地上碳密度是34.2 t/hm2,也和本研究碳密度数据相近。

从第6次的38.77 t/hm2增加到第9次的40.04 t/hm2,增加了约3.28%,其中,在第8次时碳密度有所下降,主要原因在于人工造林面积增长较快所导致,从第6次到第8次森林资源清查的15年,人工林面积从155.03万hm2增加到297万hm2,增加了91.58%,而新营造的人工林处于幼龄阶段,单位面积碳储量较小,导致林分整体碳密度的下降。同时,由于大面积幼龄林的存在,未来随着幼龄林逐渐成长为成熟林的过程中,本区域的碳密度和碳储量将有较大幅度增长。

Figure 1. Forest vegetation carbon storage and carbon density in the Yellow River Basin in different periods

1. 黄河流域各时期森林植被碳储量、碳密度

3.2. 林龄结构对森林固碳的影响

森林固碳状况与其年龄关系密切。森林碳储量的大小和固碳模式的变化在很大程度上受制于林龄的变化,林龄是影响森林碳储量积累的主导因素之一,森林龄组结构对碳汇量的影响是显著的[12]。分析第6次到第9次森林资源清查不同龄级的碳储量构成,可以看出中龄林碳储量占比最高,在1999年到2018年四次清查时,黄河流域中龄林的碳储量分别为59.51 Tg、68.31 Tg、78.22 Tg和97.41 Tg (见图2),高于

Figure 2. Carbon stock of forest stands by age class in the Yellow River Basin

2. 黄河流域不同龄级森林植被碳储量

幼龄林、近熟林、成熟林和过熟林的碳储量,分别占总碳储量的25.28%、25.72%、24.70%和26.81%。这一方面表明黄河流域乔木林中有大面积、较高比例的中龄林,另一方面说明未来黄河流域森林的固碳潜力较大。森林在其生长发育过程中固碳能力也会随之发生变化,当其处于生长阶段初期时,随着林龄增长具有快速的碳积累能力。

根据图3可知,黄河流域林分各龄级碳密度大小顺序为:过熟林 > 成熟林 > 近熟林 > 中龄林 > 幼龄林,碳密度随着林龄的增长逐渐上升,二者成正相关关系,呈现龄级越大碳密度也越大的趋势,与涂宏涛等[13]究结果一致。分析四次森林资源清查数据发现,幼龄林到中龄林以及成熟林到过熟林这2个阶段,林分碳密度增加较快,其中,幼龄林到中龄林阶段,各次清查结果显示碳密度增长幅度均超过30%,成熟林到过熟林阶段,第6至第8次清查,碳密度增长幅度也都超过20%。这表明本流域林分从幼龄林到过熟林阶段,固碳能力增加较快,随着林龄的增加,林分固碳能力越来越强,过熟林时达到最大,和胡海清等[14]研究结果一致。

Figure 3. Carbon density of forest stands by age class in the Yellow River Basin

3. 黄河流域不同龄级森林植被碳密度

3.3. 不同起源对森林植被碳储量的影响

天然林是自然界中结构最复杂以及各项功能最完备的陆地生态系统,是我国森林资源的主体[15]。在实践中,对人工林和天然林采取的管理方式是不同的,致使两者蓄积量年增长曲线存在明显差异[16],在固碳特征上也存在差异。黄河流域天然林资源较丰富,第6到第8次清查的15年间,天然林保护工程区和天然林面积增加明显,天然林面积从1999年的452.04万hm2增加到2013年的522万hm2,增加了15.48%。第6到第8次森林资源清查时,天然林碳储量分别是192.13 Tg、207.59 Tg、230.13 Tg,增加了约19.78%。第6次和第7次清查期的三次清查时人工林碳储量分别是43.24 Tg、58.04 Tg、86.52 Tg,增加了一倍多(见图4),主要是由于人工林面积快速增长所致,从第六次清查时的155万hm2左右增长到第8次清查时的297万hm2,增加了91.61%。第6次和第7次清查期的天然林和人工林碳储量与贾松伟[9]的研究结果一致。分析历次森林资源清查时的固碳增量,结果显示人工林对流域固碳量增加的贡献值和天然林基本等同。虽然人工林碳储量在不断上升,但天然林碳储量仍占据主导地位,天然林碳储量在第6到第8次清查中所占比例分别是81.63%、78.15%和72.68%,远大于人工林碳储量,这主要是因为天然林无论是林分面积还是碳密度都远高于人工林。

Figure 4. Carbon stock of forest vegetation of different origins in the Yellow River Basin

4. 黄河流域不同起源森林植被碳储量

图5可知,第6次到第8次森林资源清查时,黄河流域天然林碳密度分别42.51 t/hm2、43.15 t/hm2、44.09 t/hm2,人工林碳密度分别是27.89 t/hm2、29.02 t/hm2、29.13 t/hm2。天然林碳密度远大于人工林。无论是天然林还人工林,碳密度都呈现小幅增长的趋势,显示了黄河流域林分固碳能力在稳步提升,森林的生态系统服务功能逐步提高。

黄河流域天然林的总面积、总蓄积和总碳储量均远高于人工林,在构筑黄河流域生态屏障中发挥着至关重要的作用。天然林保护政策在天然林提质增效方面发挥着显著作用,需要长期坚持贯彻落实。人工林虽然面积、蓄积量和总碳储量相对天然林较小,但在森林固碳增量方面的贡献和天然林基本相当。因此,要在流域内大力营造人工林,一方面要坚持“适地适树”,提高造林成活率,另一方要选择固碳能力高的树种,提高林分的固碳能力。

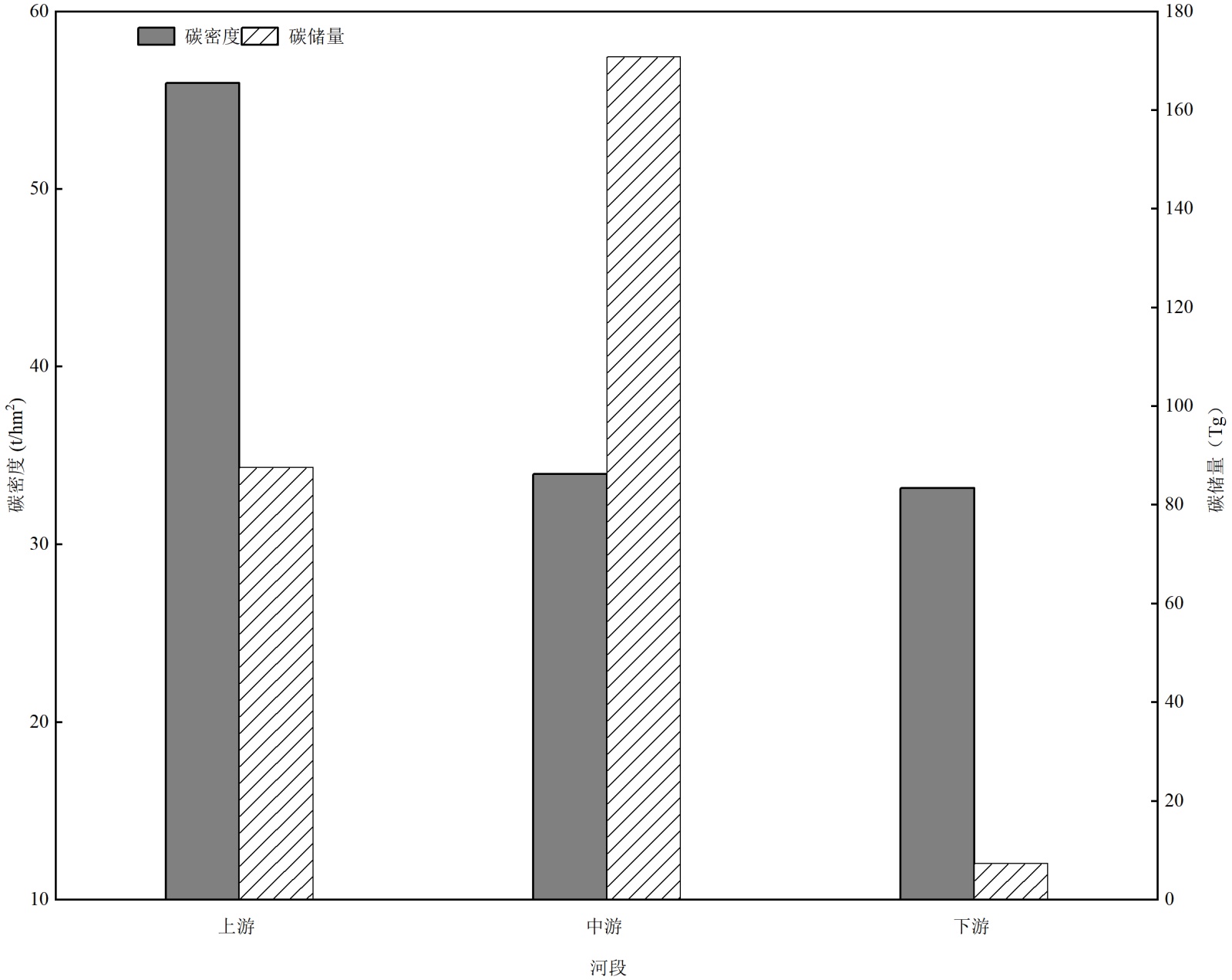
3.4. 不同河段对森林植被碳储量的影响

黄河流域的上游和中游地区是森林资源集中区,森林面积占比超过95% [17],且因统计资料限制,本文仅研究2004~2008年这一时期黄河上、中、下游河段的森林植被碳储量和碳密度。在黄河流域2004-2008年的森林资源清查中,黄河上游河段森林碳储量和碳密度分别是87.54 Tg、55.97 t/hm2,中游河段森林碳储量和碳密度分别是170.73 Tg、33.97 t/hm2,下游河段森林碳储量和碳密度分别是7.37 Tg、33.18 t/hm2 (结果见图6)。黄河流域中游河段的碳储量大于上游河段,约是上游河段的1.95倍;而中游河段碳

Figure 5. Carbon density of forest vegetation of different origins in the Yellow River Basin

5. 黄河流域不同起源森林植被碳密度

Figure 6. Carbon stock and carbon density of forest vegetation in different river reaches of the Yellow River Basin based on the 7th National Forest Inventory

6. 黄河流域第七次森林资源清查不同河段森林植被碳储量、碳密度

密度小于上游河段,仅是上游河段的60.70%,下游河段的碳储量远小于上游和中游河段。这是由于水源地保护区在上游河段,人为干扰较小,主要是天然林,因而林分碳密度较高。上游河段碳储量低于中游河段的主要原因是上游区域乔木林面积远小于中游河段,数据显示上游河段乔木林面积为156.4万hm2,仅为中游河段的31.12%,故上游河段碳储量显著小于中游河段,故上游河段碳储量显著小于中游河段。下游河段是黄河流域经济发展的核心区域,人口密集,森林面积较小,仅有22.19万hm2,因而碳储量也远小于上游和中游地区。

4. 小结与建议

本文基于四次森林资源清查数据,从林龄结构、起源、河段和随时间的动态变化等方面全面研究了黄河流域的森林碳储量及碳密度,提供了黄河流域森林植被碳储量和碳密度的最新可靠数据,为未来黄河流域森林资源管理和固碳能力的提升提供了科学依据。

4.1. 小结

1) 1999~2018年期间整个流域森林覆盖率有所提高,同期黄河流域森林植被碳储量和碳密度也在相应的上升,二者呈正相关。

2) 黄河流域森林植被林龄结构丰富,对流域碳储量贡献最大的是中龄林;而碳密度最大的是过熟林。随着森林的生长,流域内的幼、中龄林碳汇能力不断提升,在未来碳汇潜力巨大。

3) 黄河流域森林植被碳储量主要集中在天然林,人工林碳储量增加幅度大于天然林。

4) 黄河上游河段碳密度大于中游河段,但是上游河段总碳储量低于中游河段,下游河段碳储量最小。

4.2. 建议

1) 根据黄河流域天然林和人工林的不同特点,采取有效措施。筑牢区域生态安全屏障,为黄河流域生态环境保护和区域经济社会可持续发展提供有力支撑。

2) 天然林在固碳方面占据主导地位,因此对天然林要继续实施严格的保护政策,尤其是在黄河源头区要加大保护力度。同时也应该积极探索、解决人工林碳储量低的问题,切实提高人工林碳汇质量。

3) 上游和中游地区面临的生态挑战不同,要根据其内部不同的地理环境因地制宜实施具体方案,推动解决生态环境脆弱、森林植被覆盖率低及水土流失严重等问题,推动其碳储量及碳密度的有效提升。

4) 继续发挥重大林业生态工程和林业政策对黄河流域林业可持续发展的支持和促进作用,坚持和贯彻绿水青山就是金山银山的生态文明理念,落实黄河流域高质量发展国家战略及推动“双碳”目标的实现。

基金项目

陕西省教育厅青年创新团队科学研究计划项目“秦岭南麓不同林龄油松人工林土壤呼吸对凋落物输入变化的响应”(23JP041);商洛学院科研基金项目“南水北调工程水源区(商洛市)森林生态系统服务功能优化研究”(18SKY006);商洛学院大学生创新创业训练计划项目“秦岭南麓油松林土壤呼吸对枯落物输入变化的响应”(S202411396063)。

参考文献

[1] IPCC (2021) Climate Change 2021: The Physical Science Basis. Cambridge University Press.
[2] McKinley, D.C., Ryan, M.G., Birdsey, R.A., Giardina, C.P., Harmon, M.E., Heath, L.S., et al. (2011) A Synthesis of Current Knowledge on Forests and Carbon Storage in the United States. Ecological Applications, 21, 1902-1924. [Google Scholar] [CrossRef] [PubMed]
[3] Fang, J., Guo, Z., Hu, H., Kato, T., Muraoka, H. and Son, Y. (2014) Forest Biomass Carbon Sinks in East Asia, with Special Reference to the Relative Contributions of Forest Expansion and Forest Growth. Global Change Biology, 20, 2019-2030. [Google Scholar] [CrossRef] [PubMed]
[4] 张颖, 李晓格. 碳达峰碳中和目标下北京市森林碳汇潜力分析[J]. 资源与产业, 2022, 24(1): 15-25.
[5] 王琪琪, 杨凯, 张乾, 等. 林龄对森林生态系统碳积累与稳定性影响研究进展[J]. 土壤通报, 2025, 56(4): 1189-1200.
[6] 张存刚, 马明玉. 甘肃黄河生态经济带: 内涵及构建[J]. 社科纵横, 2022, 37(3): 58-64.
[7] 李春干, 代华兵. 中国森林资源调查: 历史、现状与趋势[J]. 世界林业研究, 2021, 34(6): 72-80.
[8] 方精云, 陈安平. 中国森林植被碳库的动态变化及其意义[J]. 植物学报, 2001(9): 967-973.
[9] 贾松伟. 黄河流域森林植被碳储量分布特征及动态变化[J]. 水土保持研究, 2018, 25(5): 78-82.
[10] 李曼, 吴东丽, 何昊, 等. 1990-2020年黄河流域碳储量时空演变及驱动因素研究[J]. 生态环境学报, 2025, 34(3): 333-344.
[11] 梁祥权, 李晓光, 姜菁秋, 等. 黄河三角洲海岸带碳储量时空演变特征与驱动因素分析[J/OL]. 环境科学: 1-17. 2026-01-16.[CrossRef
[12] 张海为. 碳中和背景下我国森林龄组结构现状及优化对策与建议[J]. 中国林业经济, 2022(4): 91-95.
[13] 涂宏涛, 周红斌, 马国强, 等. 基于第九次森林资源清查的云南森林碳储量特征研究[J]. 西北林学院学报, 2023, 38(3): 185-193.
[14] 胡海清, 罗碧珍, 魏书精, 等. 小兴安岭7种典型林型林分生物量碳密度与固碳能力[J]. 植物生态学报, 2015, 39(2): 140-158.
[15] 岳军伟, 李华源. 我国天然林和人工林固碳特征差异分析[J]. 福建林业科技, 2021, 48(4): 1-7.
[16] 张逸如, 刘晓彤, 高文强, 等. 天然林保护工程区近20年森林植被碳储量动态及碳汇(源)特征[J]. 生态学报, 2021, 41(13): 5093-5105.
[17] 樊宝敏. 黄河流域加快森林建设的思考[J]. 中国国情国力, 2020(5): 48-50.