C1GALT1基因单核苷酸多态性与IgAV易感性的相关性研究
Study on the Correlation between Single Nucleotide Polymorphisms of C1GALT1 Gene and Susceptibility to Immunoglobulin A Vasculitis (IgAV)
DOI: 10.12677/acm.2026.1631021, PDF, HTML, XML,   
作者: 苑富豪:青岛大学青岛医学院,山东 青岛;青岛大学附属医院儿童肾脏风湿免疫科,山东 青岛;咸雨蔚:青岛市市立医院超声诊断科,山东 青岛;王大海, 柏 翠, 林 毅*:青岛大学附属医院儿童肾脏风湿免疫科,山东 青岛
关键词: 核心1β13-半乳糖基转移酶IgA血管炎基因多态性儿童Core 1β13-Galactosyltransferase IgA Vasculitis Gene Polymorphism Children
摘要: 目的:研究核心1β1,3半乳糖基转移酶(C1GALT1)基因4个单核苷酸多态性位点(rs13226913、rs7790522、rs1047763、rs5882115)与IgA血管炎(IgAV)及IgA血管炎肾炎(IgAVN)的相关性。方法:本项课题共选取IgA血管炎(IgAV)患病儿童156例设为病例组;依据患儿是否伴随肾脏损害情况,将IgAV患病儿童划分为紫癜性肾炎(IgAVN)组、非紫癜性肾炎(NIgAVN)组;按照患儿是否存在腹痛、关节痛表现,分成有腹痛症状组、无腹痛症状组,有关节疼痛症状组、无关节疼痛症状组;根据IgAVN患病儿童是否出现蛋白尿现象,将其分为伴蛋白尿组与无蛋白尿组。此外选取152例健康儿童作为正常参照组。采用iMLDRTM多重SNP分型技术对C1GALT1基因的4个单核苷酸多态性位点(rs13226913、rs7790522、rs1047763、rs5882115)进行基因分型,分析各SNP与IgAV易感性及各临床表型之间的相关性。结果:C1GALT1基因中rs5882115中TC等位基因在蛋白尿组(44%)中的分布频率高于无蛋白尿组(13%),差异具有统计学意义(P < 0.05),C1GALT1基因上述4个位点的等位基因分布频次,在病例组与对照组之间的差异未达统计学显著水平(P > 0.05);对上述四个单核苷酸多态性位点进行连锁不平衡及单倍型分析,发现其中rs5882115、rs7790522、rs1047763等位基因组成的TCGG单倍型在蛋白尿组分布频率大于无蛋白尿组,具有统计学意义(P < 0.05)。结论:rs5882115中TC等位基因可能是IgAVN儿童出现蛋白尿的易感等位基因,而与儿童IgAV易感性无相关性;IgAVN患儿在TCGG单倍型的遗传背景下出现蛋白尿的风险更高;未发现C1GALT1基因rs13226913、rs7790522、rs1047763位点单核苷酸多态性与IgAV易感性及其临床表现的相关性。
Abstract: Objective: This study aims to explore the potential relationship between four specific single nucleotide polymorphisms (SNPs) located at rs13226913, rs7790522, and two other SNPs (rs7843021 and rs1000130) and their impact on immunoglobulin A vasculitis (IgAV) as well as IgA vasculitis nephritis (IgAVN). Methods: A total of 156 children with IgAV were enrolled as the case group. Based on the presence or absence of renal injury, these children were divided into the purpura nephritis (IgAVN) group and the non-purpura nephritis (NIgAVN) group. They were further divided into abdominal pain group, non-abdominal pain group, joint pain group, and non-joint pain group according to the presence or absence of abdominal pain and joint pain symptoms. In addition, children with IgAVN were divided into the proteinuria group and the non-proteinuria group based on the presence or absence of proteinuria. Meanwhile, 152 healthy children were selected as the normal control group. The iMLDRTM multiplex SNP genotyping technology was used to genotype the four SNP loci (rs13226913, rs7790522, rs1047763, rs5882115) of the C1GALT1 gene, and the association between each SNP and the susceptibility to IgAV as well as various clinical phenotypes was analyzed. Results: The frequency of the TC allele at rs5882115 of the C1GALT1 gene was higher in the proteinuria group (44%) than in the non-proteinuria group (13%), with a statistically significant difference (P < 0.05). There was no statistically significant difference in the allele distribution frequency at these four loci of the C1GALT1 gene between the case group and the control group (P > 0.05). Linkage disequilibrium and haplotype analysis of the above four SNP loci showed that the frequency of the TCGG haplotype (composed of alleles of rs5882115, rs7790522, and rs1047763) in the proteinuria group was higher than that in the non-proteinuria group, with statistical significance (P < 0.05). Conclusion: The TC allele at rs5882115 may be a susceptible allele for proteinuria in children with IgAVN, but it is not associated with the susceptibility to IgAV in children. Children with IgAVN have a higher risk of developing proteinuria in the genetic background of the TCGG haplotype. No association was found between the SNPs at rs13226913, rs7790522, and rs1047763 loci of the C1GALT1 gene and the susceptibility to IgAV and its clinical manifestations.
文章引用:苑富豪, 咸雨蔚, 王大海, 柏翠, 林毅. C1GALT1基因单核苷酸多态性与IgAV易感性的相关性研究[J]. 临床医学进展, 2026, 16(3): 2265-2274. https://doi.org/10.12677/acm.2026.1631021

1. 引言

IgA血管炎(Immunoglobulin A Vasculitis, IgAV)旧称为过敏性紫癜、亨舒综合症(Henoch-Schönlein purpura, HSP)是儿童时期最常见的系统性小血管炎[1]。该病以非血小板减少性、可触性非充血性皮疹为典型临床表现,可有多器官受累:如关节、肾脏、消化道等。30%~50%的儿童IgAV患者可出现肾脏受累[2],即IgA血管炎肾炎(Immunoglobulin A Vasculitis Nephritis, IgAVN),是影响IgAV远期预后的主要原因。

目前认为IgA1分子糖基化异常所致的免疫紊乱是IgAV发病的重要机制[3]。特异性体质个体产生的IgA1分子存在糖基化异常,主要表现为IgA1分子铰链区富含大量的O-糖基化位点,这种异常的IgA1分子不易被机体清除,且可刺激机体产生抗异常IgA1的IgG抗体并形成免疫复合物、造成组织和靶器官损伤。IgA分子的半乳糖基化是一个复杂的生化过程,多种酶参与其中,如N-乙酰半乳糖胺转移酶(GalNAc-Ts)、核心1β1,3-半乳糖基转移酶(C1GALT1)。其中C1GALT1是O-半乳糖化的关键限速酶[4]

目前的研究认为IgAVN在发病机制、临床表现以及病理特点等多方面特征与IgA肾病(Immunoglobulin A Nephropathy, IgAN)极为相似[5]。有研究发现C1GALT1基因的单核苷酸多态性(Single Nucleotide Polymorphism, SNP)与IgAN易感之间存在相关性[6];但是C1GALT1基因SNP与IgAV及IgAVN是否存在相关性,目前尚无研究。因此,本研究拟通过检测并比较IgAV患儿与健康对照组儿童C1GALT1基因SNP位点的差异,探讨C1GALT1基因SNP位点与IgAV发病的相关性,并探讨其与IgAV临床表型的可能相关性。

2. 对象与方法

2.1. 研究对象

研究对象选取2021年4月至2022年3月期间,在青岛大学附属医院接受住院诊疗的156例IgAV患病儿童作为病例组;同时选取同一时期内,于该医院进行健康检查,且年龄、性别与IgAV患病儿童相匹配的152例健康儿童作为对照组。

2.1.1. 纳入标准

按照2023年中华医学会儿科学分会免疫学组制定的《中国儿童IgA血管炎诊断与治疗指南(2023)》中提出的相关标准[1]对IgAV进行诊断,即除外典型皮疹,出现以下4项标准中的1项:① 腹痛;② 组织学上存在IgA沉积;③ 关节炎或关节痛;④ 肾损伤。

2.1.2. 排除标准

① 患有其他肾脏病症的患病儿童(例如肾病综合征、肾脏肿瘤等);② 同时患有严重心脏、肝脏、脑部、肺部、免疫系统等病症或消耗性病症的患儿;③ 发病前3个月使用过可能导致肾脏损伤的药物,或近期有服用激素、免疫抑制剂经历的患儿;④ 无法配合研究开展,或相关资料不完整的患儿。

2.1.3. 分组标准

纳入病例组的患病儿童,依据疾病急性期是否出现腹痛、关节痛症状,进一步划分为腹痛组与无腹痛组、关节痛组与无关节痛组。参照2016年中华医学会儿科学分会肾脏病学组制定的《紫癜性肾炎诊治循证指南(2016)》[7],将病例组首先分为IgAVN组(合并肾脏损害)与NIgAVN组(无肾脏损害)。具体划分标准如下:在IgAV疾病进程的6个月内,患儿出现血尿和(或)蛋白尿症状。其中,血尿指肉眼可见血尿,或1周内3次镜下检查显示血尿红细胞 ≥ 3个/高倍视野(HP);蛋白尿需满足以下任意一项条件:① 1周内3次尿常规检查显示尿蛋白定性结果为阳性;② 24小时尿蛋白定量检测值 > 150 mg,或尿蛋白与肌酐比值(mg/mg) > 0.2;③ 1周内3次尿微量白蛋白检测值超出正常范围。根据IgAV疾病进程6个月内患儿是否出现蛋白尿(以24小时尿蛋白定量检测结果为判断指标)。在IgAVN组内部,根据患儿是否出现蛋白尿(以24小时尿蛋白定量检测结果为判断指标),进一步分为蛋白尿组与无蛋白尿组,其中无蛋白尿组为仅表现为血尿、未出现蛋白尿的IgAVN患儿。

2.2. C1GALT1基因SNP位点的选取

本研究借助1000Genomes数据库(网址:www.internationalgenome.org)和NCBI数据库(网址:https://www.ncbi.nlm.nih.gov)筛选目标SNP位点。筛选时,将目标人群设定为中国北京汉族,要求最小等位基因频率(MAF)不低于0.05,最小连锁不平衡相关程度(r²)不低于0.8。基于此筛选条件,得到rs1047763,rs13226913,rs5882115,rs7790522这4个位点。并对上述多态性位点进行Hardy-Weinberg平衡定律检验,结果显示:对照组儿童C1GALT1基因的四个SNP位点rs1047763:P = 0.865,rs13226913:P = 1,rs5882115:P = 0.699,rs7790522:P = 0.833提示本研究各位点基因型分布符合遗传平衡定律(P均>0.05),即受试群体代表性较好。

2.3. 方法

收集样本清晨空腹静脉血2 ml,并采用Flexigene DNA Kit (Qiagen)试剂盒从标本中提取DNA,应用采用iMLDRTM多重SNP分型技术对C1GALT1基因的4个单核苷酸多态性位点(rs13226913、rs7790522、rs1047763、rs5882115)进行基因分型,以获取该位点所有基因型及等位基因,比较病例组与正常儿童的等位基因频率,同时通过共显性、显性、隐性三种遗传模型对两组儿童的基因型频率进行比较,分析各组间是否存在差异性。

2.4. 统计学分析

本研究采用SPSS29.0统计软件开展数据统计分析,并借助Haploview 4.2软件实施连锁不平衡及单倍型相关分析。Hardy-Weinberg平衡定律验证、各组间基因型频率及等位基因频率的比较均采用卡方(χ2)检验。纳入研究的目标人群数量基于比值比(OR)、双侧检验水准α = 0.05、检验效能80%及人群中次要等位基因频率(MAF),通过Schlesselman公式估算样本量。通过比值比(OR)及95置信区间(95% CI)评估SNP位点与各组间的关联强度,以P < 0.05判定差异具有统计学意义。

3. 结果

3.1. 一般情况

本研究病例组共纳入156例IgAV患病儿童,其中男性90例、女性66例;患儿年龄范围为2至18岁,平均年龄为(8.1 ± 3.3)岁。正常对照组共纳入152例健康儿童,其中男性86例、女性66例;年龄同样处于2至18岁区间,平均年龄为(8.1 ± 3.9)岁。经统计分析,IgAV组与对照组儿童在性别、年龄方面均未达到统计学显著水平(P值均>0.05)。

所有纳入研究的IgAV患病儿童均接受了至少6个月的随访,平均随访时长为(11.2 ± 3.1)个月。依据临床收集的资料显示:62例患儿在疾病急性期出现腹痛症状;74例患儿存在一过性关节痛症状;48例IgAV患儿在随访期间合并肾脏损害(即IgAVN),其中25例患儿出现蛋白尿、23例患儿无蛋白尿。

3.2. 病例组与对照组C1GALT1基因多态性分布频率分析

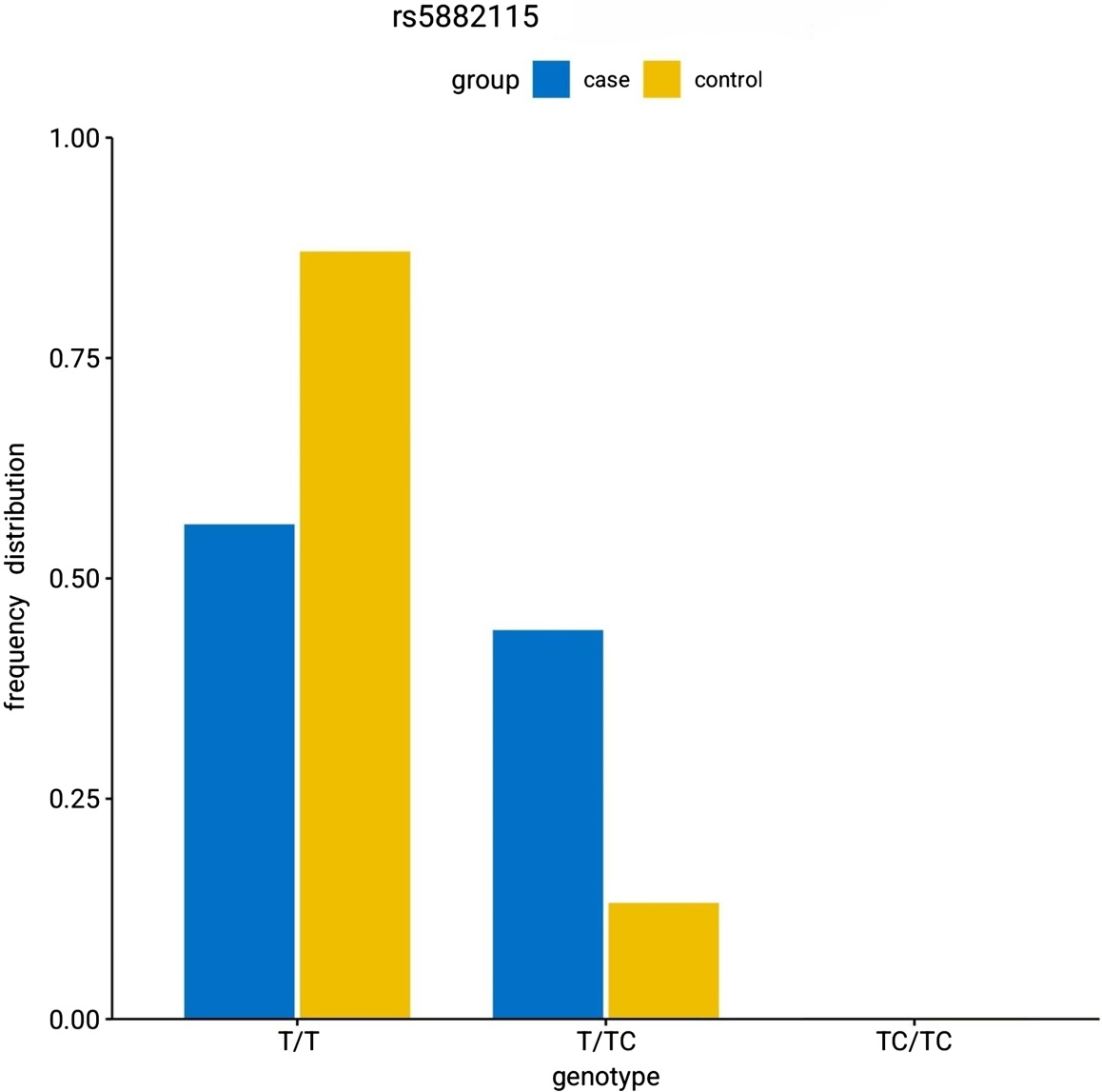
对比病例组与对照组儿童的等位基因频率及基因型频率,所得研究数据显示:在rs13226913、rs7790522、rs1047763、rs5882115这4个基因位点上,病例组与对照组儿童的基因型频率分布差异均未达到统计学显著水平(P > 0.05),具体见表1

Table 1. Comparison of genotype frequencies and allele frequencies of SNP loci between case group and control group

1. SNP位点于病例组和对照组间基因型频率及等位基因频率对比

对照组

(n = 152)

病例组

(n = 156)

χ2

P

对照组

(n = 152)

病例组

(n = 156)

χ2

P

rs13226913

rs1047763

T/T

0

0

G/G

23

24

T/C

14

11

0.4813

0.4878

G/A

71

85

2.379

0.77154

C/C

138

145

A/A

58

47

T

14

11

0.4609

0.4972

G

117

133

1.095

0.2953

C

290

301

A

187

179

rs7790522

rs5882115

A/A

11

13

T/T

116

116

A/G

57

67

1.321

0.5165

T/TC

35

40

1.282

0.5269

G/G

84

76

TC/TC

1

0

A

79

93

1.117

0.2906

T

267

272

0.05938

0.8075

G

225

219

TC

37

40

3.3. IgAVN患儿中蛋白尿组与无蛋白尿组C1GALT1基因多态性分布频率分析

IgAVN患儿中有蛋白尿与无蛋白尿儿童在rs5882115位点的基因型分布情况如图1所示。比较有蛋白尿组与无蛋白尿组儿童的等位基因频率,同时通过共显性、显性、隐性三种遗传模型对两组儿童的基因型频率进行比较,研究结果显示:有蛋白尿组与无蛋白尿组儿童在rs5882115位点基因型频率差异有统计学意义(P < 0.05)。相较于无蛋白尿组,有蛋白尿组患儿T/TC基因型频率较T/T基因型频率明显升高,两组差异达到统计学显著水平(χ2 = 5.557, OR = 5.238, 95%CI = 1.231~22.28, P < 0.05);并且蛋白尿组儿童等位基因TC频率高于无蛋白尿组儿童,两组之间差异达到统计学显著水平(χ2 = 4.608, OR = 4.043, 95%CI = 1.05~15.57, P < 0.05);上述结论提示TC等位基因可能为IgAVN患儿出现蛋白尿的危险因素,而T等位基因为保护性因素,具体见表2

3.4. rs5882115位点其他亚组C1GALT1基因多态性分布频率分析

比较rs5882115位点紫癜性肾炎组与非紫癜性肾炎组、腹痛组与无腹痛组以及关节疼痛组与无关节疼痛组儿童的等位基因频率及基因型频率,研究结果显示:各组儿童在rs5882115位点的等位基因频率及基因型频率差异均未达到统计学显著水平(P值均>0.05),具体见表3

Figure 1. Genotype distribution of rs5882115 in the case group and the control group

1. 病例组与对照组rs5882115位点基因型分布

Table 2. Comparison of genotype frequencies and allele frequencies of rs5882115 between non-proteinuria group and proteinuria group

2. rs5882115位点无蛋白尿组与蛋白尿组间基因型频率及等位基因频率对比

基因型或等位基因

无蛋白尿组n = 23

蛋白尿组n = 25

χ2

OR (95%CI)

P

共显性模型

T/T

20 (86.94)

14 (56.00)

5.557

0.01841

T/TC

3 (13.04)

11 (44.00)

TC/TC

0 (0)

0 (0)

显性模型

T/T

20 (86.94)

14 (56.00)

5.557

5.238 (1.231~22.28)

0.01841

T/TC, TC/TC

3 (13.04)

11 (44.00)

隐形模型

T/T, T/TC

23 (100)

25 (100)

NA

NA

NA

TC/TC

0 (0)

0 (0)

等位基因

T

43

39

4.608

4.043 (1.05~15.57)

0.03183

TC

3

11

Table 3. Comparison of genotype frequencies and allele frequencies of rs5882115 in other subgroups of children

3. rs5882115位点其余各亚组儿童基因型频率和等位基因频率比较

基因型或等位基因

紫癜性肾炎组n = 48

非紫癜性肾炎组n = 108

腹痛组 n = 62

无腹痛组

n = 94

关节疼痛组

n = 74

无关节疼痛组n = 82

共显性模型

T/T

34 (70.83)

82 (75.93)

48 (77.42)

68 (72.34)

55 (74.32)

61 (74.39)

T/TC

14 (29.17)

26 (24.07)

14 (22.58)

26 (27.66)

19 (25.68)

21 (25.61)

TC/TC

0 (0)

0 (0)

0 (0)

0 (0)

0 (0)

0 (0)

显性模型

T/T

34 (70.83)

82 (75.93)

48 (77.42)

68 (72.34)

55 (74.32)

61 (74.39)

T/TC, TC/TC

14 (29.17)

28 (24.07)

14 (22.58)

26 (27.66)

19 (25.68)

21 (25.61)

隐形模型

T/T, T/TC

48 (100)

108 (100)

62 (100)

94 (100)

74 (100)

82 (100)

TC/TC

0 (0)

0 (0)

0 (0)

0 (0)

0 (0)

0 (0)

等位基因

T

82 (85.42)

190 (87.96)

110 (88.71)

162 (86.17)

129 (87.16)

143 (87.20)

TC

14 (14.58)

26 (12.03)

14 (11.29)

26 (13.83)

19 (12.84)

21 (12.80)

3.5. 其他位点在各亚组C1GALT1基因多态性分布频率分析

比较rs13226913、rs7790522、rs1047763位点紫癜性肾炎组与非紫癜性肾炎组、腹痛组与无腹痛组、关节疼痛组与无关节疼痛组以及蛋白尿组与无蛋白尿组儿童的等位基因频率及基因型频率,研究结果显示:各组儿童在rs13226913、rs7790522、rs1047763位点的等位基因频率及基因型频率差异均未达到统计学显著水平(P值均>0.05)。

3.6. 连锁不平衡及单倍型分析

应用Haploview4.2软件对上述C1GALT1基因的四个基因多态性位点(rs13226913、rs7790522、rs1047763、rs5882115)进行连锁不平衡分析;在无蛋白尿组与蛋白尿组中,各位点结果如图2所示;应用使用plink的hap-phase软件对样本进行单倍型分析,对连锁程度较高的位点进行单倍型分析,其中rs5882115、rs7790522、rs1047763等位基因组成的TCGG单倍型(P = 0.0188, OR = 5.8056, 95%CI = 1.338855~25.17411)在蛋白尿组分布频率大于无蛋白尿组,具有统计学意义,提示该单倍型可能为IgAVN患儿出现蛋白尿的危险因素,IgAVN患儿在TCGG单倍型的遗传背景下出现蛋白尿的风险更高。

4. 讨论

IgAV也称为过敏性紫癜,是儿童时期最常见的系统性小血管炎[1];IgAVN是指过敏性紫癜性肾炎,是IgAVN最常见的内脏受累表现,主要以血尿、蛋白尿及肾脏受累为主要表现[8]。IgAV及IgAVN的发病机制至今仍未完全阐明,但目前研究认为IgAV、特别是IgAVN的发病机制可能与IgAN有一定相似性,与IgA分子的异常糖基化相关[9]。蛋白质的糖基化修饰是指在多种酶的作用下,单糖或聚糖(多糖果糖或复杂寡糖)与靶蛋白特定残基的共价结合的翻译后修饰[10];糖基化修饰对于蛋白质分子功能的正常行使起着重要作用;人类体内约半数蛋白质在翻译后均需要进行糖基化修饰,特别是免疫相关分子[11]。在健康个体中,IgA1的铰链区含有丰富的O-连接半乳糖[12]。有研究发现,在IgAV及IgAVN患者体内,IgA1分子铰链区半乳糖基化不全形成异常糖基化的IgA1分子(Gd-IgA1) [5],上述改变会使更多N-乙酰半乳糖胺(GalNAc)残基得以暴露、表现出不同的免疫原性[13]。Gd-IgA1可发生自聚集或与其自身抗体结合,从而形成循环免疫复合物(CIC),而这些循环免疫复合物因分子量较大很难被机体清除[14] [15]。CIC分子沉积于小血管壁,通过刺激免疫细胞产生炎症因子(IL-6/TNF-α)、激活补体旁路等途径,最终引发血管炎及肾脏损伤[15]

Figure 2. Linkage disequilibrium analysis of four SNP loci in the C1GALT1 gene

2. C1GALT1基因4个SNP位点连锁不平衡分析

C1GALT1即核心1β1,3-半乳糖基转移酶,在人体各类组织器官内均有广泛表达,主要负责蛋白质的半乳糖基化修饰作用,是IgA分子O-糖基化的重要限速酶[16]。在O-糖链的合成过程中,C1GALT1负责将半乳糖以β1-3糖苷键连接在N-乙酰半乳糖胺–丝氨酸/苏氨酸残基上,形成核心1结构(Galβ1-3GalNAcα-Ser/Thr,即T抗原) [17],T抗原是许多糖蛋白和糖脂的重要组成部分,在人体细胞识别、黏附、信号转导等生物学过程中起着重要作用[18]C1GALT1基因突变或与炎症反应、肿瘤以及多种免疫疾病的发展过程有相关性[19],目前已经有其与IgAN疾病易感性相关性研究,Pirulli等对意大利IgAN人群的研究发现,365G/G基因型携带率显著升高[6];Li等的研究发现C1GALT1基因的SNP位点rs5882115多态性与IgAN易感性相关[20]。如上文所述,IgAN与IgAVN从发病机制上有诸多相似之处,Gd-IgA1可能是发病的重要影响因子;GWAS研究发现,C1GALT1基因非编码区的SNP和血清Gd-IgA1水平之间存在着明显的相关性[21];目前C1GALT1的SNP与IgAV及IgAVN的相关研究较少。

儿童IgAV有多种典型临床表型,其中急性期是否出现严重腹部症状是影响IgAV近期预后的主要因素[22];而是否存在肾脏受累、尤其是是否出现蛋白尿是影响IgAV长期预后的最重要因素[23]。本研究根据急性期症状将病例组分为腹痛组及无腹痛组、关节疼痛组及无关节疼痛组;根据病程6月内出现肾脏受累表现将IgAVN患儿分为蛋白尿组及非蛋白尿组。研究发现:IgAV组与对照组儿童在上述四个SNP位点(rs13226913、rs7790522、rs1047763、rs5882115)的基因型频率差异均未达到统计学显著水平(P值均>0.05),这意味着以上4个SNP位点与IgAV患儿易感性无相关性。但在针对IgAVN患儿的分组研究中,有蛋白尿组与无蛋白尿组儿童在rs5882115位点基因型频率有显著差异;具体来看,有蛋白尿组患儿的T/TC基因型频率相较于T/T基因型频率显著上升,经统计学分析,两组差异达到统计学显著水平(χ2 = 5.557, OR = 4.043, 95%CI = 1.05~15.57, P < 0.05)。这一结果提示,TC等位基因很可能是导致IgAVN患儿出现蛋白尿风险增加,是IgAV患儿肾损伤的危险因素;而T等位基因则起到了一定的保护作用,能够降低患儿出现蛋白尿的风险。通过连锁不平衡及单倍型分析,我们发现,rs5882115、rs7790522、rs1047763位点组成的TCGG单倍型在蛋白尿组分布频率高于无蛋白尿组,两组比较具有统计学意义,OR值大于1,提示TCGG单倍型(rs5882115、rs7790522、rs1047763)为风险性因素,推测具有TCGG单倍型的IgAVN患儿,其出现蛋白尿的风险性升高;但本研究中rs5882115位点及TCGG单倍型与蛋白尿相关性分析所得的95%置信区间范围较宽,提示研究结果的精确度不足,可能与IgAVN组内样本量较小相关。

rs5882115位于C1GALT1基因中的启动子区域;启动子区域是DNA分子上一段特定的核苷酸序列区域,它位于基因编码区的上游,是RNA聚合酶识别、结合并启动基因转录过程的关键部位;对基因表达的起始和调控起着决定性作用[24]。rs5882115携带者与正常健康人群相比可能存在C1GALT1酶的表达差异,从而引起半乳糖基化异常。在IgAVN的临床表型中,蛋白尿虽仅为其中一种表现,但已有研究指出蛋白尿是评估IgAVN患儿肾损伤的核心标志[25],蛋白尿的程度反映着肾小球滤过屏障(如足细胞、基底膜、系膜)的损伤程度,提示患者存在相对更显著的肾损伤;蛋白尿不仅是肾损伤的标志,其持续存在更是加重IgAVN肾损伤进展的关键因素,肾病水平性蛋白尿持续超过3个月是影响肾脏预后的独立危险因素[26]。本研究发现C1GALT1基因rs5882115与IgAVN患儿发生蛋白尿相关,提示该位点可能与IgAVN患儿发生较严重程度肾损伤(以蛋白尿为特征性表现之一)存在关联。

综上所述,本研究采用iMLDRTM多重SNP分型技术对C1GALT1基因(rs13226913、rs7790522、rs1047763、rs5882115)进行检测,发现rs5882115的基因多态性与IgAVN患儿是否会出现蛋白尿具有相关性,IgAVN患儿在携带风险等位基因TC (rs5882115)、单倍型TCGG (rs5882115、rs7790522、rs1047763)的遗传背景下,其出现蛋白尿的风险性升高,进一步加重IgAVN患儿肾损伤,影响IgAVN患儿的远期预后。本研究仍存在一定局限性,主要体现在于样本量较小及未开展相关功能验证实验,因此,本研究成果还离不开多中心、大样本量进一步验证,同时结合细胞模型、动物实验等功能学手段,深入探究该SNP位点调控肾损伤相关通路的具体机制,完善研究证据链以提升结论可信度。

声 明

本研究涉及的所有试验均已通过青岛大学附属医院医学伦理委员会的审核批准(文件号QYFYWZLL27001)。所有受试患儿家属均签署知情同意书。

NOTES

*通讯作者。

参考文献

[1] 中华医学会儿科学分会免疫学组, 中华儿科杂志编辑委员会, 中国儿童风湿免疫病联盟, 等. 中国儿童IgA血管炎诊断与治疗指南(2023) [J]. 中华儿科杂志, 2023, 61(12): 1067-1076.
[2] Shi, D., Chan, H., Yang, X., Zhang, G., Yang, H., Wang, M., et al. (2019) Risk Factors Associated with Iga Vasculitis with Nephritis (Henoch-Schönlein Purpura Nephritis) Progressing to Unfavorable Outcomes: A Meta-Analysis. PLOS ONE, 14, e0223218. [Google Scholar] [CrossRef] [PubMed]
[3] Pillebout, E. and Sunderkötter, C. (2021) IgA Vasculitis. Seminars in Immunopathology, 43, 729-738. [Google Scholar] [CrossRef] [PubMed]
[4] Yu, H.H., Chu, K.H., Yang, Y.H., Lee, J., Wang, L., Lin, Y., et al. (2010) Genetics and Immunopathogenesis of IgA Nephropathy. Clinical Reviews in Allergy & Immunology, 41, 198-213. [Google Scholar] [CrossRef] [PubMed]
[5] Suzuki, H., Yasutake, J., Makita, Y., Tanbo, Y., Yamasaki, K., Sofue, T., et al. (2018) IgA Nephropathy and Iga Vasculitis with Nephritis Have a Shared Feature Involving Galactose-Deficient IgA1-Oriented Pathogenesis. Kidney International, 93, 700-705. [Google Scholar] [CrossRef] [PubMed]
[6] Pirulli, D., Crovella, S., Ulivi, S., Zadro, C., Bertok, S., Rendine, S., et al. (2009) Genetic Variant of c1galt1 Contributes to the Susceptibility to IgA Nephropathy. Journal of Nephrology, 22, 152-159. [Google Scholar] [CrossRef
[7] 黄松明. 紫癜性肾炎诊治循证指南(2016) [J]. 中华儿科杂志, 2017, 55(9): 647-651.
[8] 2012 International Society of Nephrology (2012) Henoch-Schönlein Purpura Nephritis. Kidney International Supplements, 2, 218-220.
[9] Hastings, M.C., Rizk, D.V., Kiryluk, K., Nelson, R., Zahr, R.S., Novak, J., et al. (2021) IgA Vasculitis with Nephritis: Update of Pathogenesis with Clinical Implications. Pediatric Nephrology, 37, 719-733. [Google Scholar] [CrossRef] [PubMed]
[10] Pirillo, A., Svecla, M., Catapano, A.L., Holleboom, A.G. and Norata, G.D. (2020) Impact of Protein Glycosylation on Lipoprotein Metabolism and Atherosclerosis. Cardiovascular Research, 117, 1033-1045. [Google Scholar] [CrossRef] [PubMed]
[11] Eichler, J. (2019) Protein Glycosylation. Current Biology, 29, R229-R231. [Google Scholar] [CrossRef] [PubMed]
[12] Hiki, Y., Tanaka, A., Kokubo, T., Iwase, H., Nishikido, J., Hotta, K., et al. (1998) Analyses of IgA1 Hinge Glycopeptides in IgA Nephropathy by Matrix-Assisted Laser Desorption/Ionization Time-of-Flight Mass Spectrometry. Journal of the American Society of Nephrology, 9, 577-582. [Google Scholar] [CrossRef] [PubMed]
[13] Tomana, M., Novak, J., Julian, B.A., Matousovic, K., Konecny, K. and Mestecky, J. (1999) Circulating Immune Complexes in IgA Nephropathy Consist of IgA1 with Galactose-Deficient Hinge Region and Antiglycan Antibodies. Journal of Clinical Investigation, 104, 73-81. [Google Scholar] [CrossRef] [PubMed]
[14] Lau, K.K., Suzuki, H., Novak, J. and Wyatt, R.J. (2010) Pathogenesis of Henoch-Schönlein Purpura Nephritis. Pediatric Nephrology, 25, 19-26. [Google Scholar] [CrossRef] [PubMed]
[15] Song, Y., Huang, X., Yu, G., Qiao, J., Cheng, J., Wu, J., et al. (2021) Pathogenesis of IgA Vasculitis: An Up-to-Date Review. Frontiers in Immunology, 12, Article ID: 771619. [Google Scholar] [CrossRef] [PubMed]
[16] Ju, T., Brewer, K., D'Souza, A., Cummings, R.D. and Canfield, W.M. (2002) Cloning and Expression of Human Core 1 β1,3-Galactosyltransferase. Journal of Biological Chemistry, 277, 178-186. [Google Scholar] [CrossRef] [PubMed]
[17] González-Ramírez, A.M., Grosso, A.S., Yang, Z., Compañón, I., Coelho, H., Narimatsu, Y., et al. (2022) Structural Basis for the Synthesis of the Core 1 Structure by C1galt1. Nature Communications, 13, Article No. 2398. [Google Scholar] [CrossRef] [PubMed]
[18] Hang, H.C. and Bertozzi, C.R. (2005) The Chemistry and Biology of Mucin-Type O-Linked Glycosylation. Bioorganic & Medicinal Chemistry, 13, 5021-5034. [Google Scholar] [CrossRef] [PubMed]
[19] Sun, X., Zhan, M., Sun, X., Liu, W. and Meng, X. (2021) C1GALT1 in Health and Disease (Review). Oncology Letters, 22, Article No. 589. [Google Scholar] [CrossRef] [PubMed]
[20] Li, G., Zhang, H., Lv, J., Shen, Y. and Wang, H. (2007) Variants of C1GALT1 Gene Are Associated with the Genetic Susceptibility to IgA Nephropathy. Kidney International, 71, 448-453. [Google Scholar] [CrossRef] [PubMed]
[21] Kiryluk, K., Li, Y., Moldoveanu, Z., Suzuki, H., Reily, C., Hou, P., et al. (2017) GWAS for Serum Galactose-Deficient IgA1 Implicates Critical Genes of the O-Glycosylation Pathway. PLOS Genetics, 13, e1006609. [Google Scholar] [CrossRef] [PubMed]
[22] Gu, Y., Zhang, Y., Zheng, Z. and Zhu, P. (2024) Clinical Characteristics and Risk Factors Analysis of Abdominal Symptoms in IgA Vasculitis Patients: A Retrospective Cohort Study. Clinical Rheumatology, 44, 349-356. [Google Scholar] [CrossRef] [PubMed]
[23] Reich, H.N., Troyanov, S.A.A., Scholey, J.W. and Cattran, D.C. (2007) Remission of Proteinuria Improves Prognosis in IgA Nephropathy. Journal of the American Society of Nephrology, 18, 3177-3183. [Google Scholar] [CrossRef] [PubMed]
[24] Haberle, V. and Stark, A. (2018) Eukaryotic Core Promoters and the Functional Basis of Transcription Initiation. Nature Reviews Molecular Cell Biology, 19, 621-637. [Google Scholar] [CrossRef] [PubMed]
[25] Kamei, K., Harada, R., Hamada, R., Sakai, T., Hamasaki, Y., Hataya, H., et al. (2016) Proteinuria during Follow-Up Period and Long-Term Renal Survival of Childhood IgA Nephropathy. PLOS ONE, 11, e0150885. [Google Scholar] [CrossRef] [PubMed]
[26] Wakaki, H., Ishikura, K., Hataya, H., Hamasaki, Y., Sakai, T., Yata, N., et al. (2011) Henoch-Schönlein Purpura Nephritis with Nephrotic State in Children: Predictors of Poor Outcomes. Pediatric Nephrology, 26, 921-925. [Google Scholar] [CrossRef] [PubMed]