不同粒径玻璃微珠支撑剂在煤层中的运移规律研究
Study on Migration Patterns of Glass Microsphere Proppants at Different Particle Sizes within Coal Seams
DOI: 10.12677/me.2026.142030, PDF, HTML, XML,   
作者: 马思聪*#:山东科技大学安全与环境工程学院,山东 青岛;张咏斌, 杨晓国, 郝 军, 王 鹏:山西潞安集团余吾煤业有限责任公司,山西 长治
关键词: 玻璃微珠支撑剂输送水力压裂粒径大小控制变量法Glass Microspheres Proppant Conveyance Hydraulic Fracturing Particle Size Controlled Variable Method
摘要: 煤层气作为优质的清洁能源,在当今能源结构中日益重要。其增产开发主要依赖水力压裂技术,但该技术存在压裂裂缝易闭合、常闭合的不足。支撑剂作为水力压裂的关键材料,核心作用在于压裂液退出后仍能维持裂缝张开,形成高导流能力的通道。为此,本文以玻璃微珠为支撑剂展开研究,重点探究其在复杂裂缝条件下不同粒径的运移规律。采用控制变量法,以支撑剂粒径为变量,利用压裂支撑剂输送及铺砂模拟装置开展了系统的运移实验。结果表明,较大粒径(250~550 μm)的玻璃微珠支撑剂在主裂缝及无角度水平裂缝中表现出更优的填充效果;较小粒径(120~160 μm)的支撑剂则更适用于有角度的分级裂缝;总体而言,主裂缝和水平裂缝的支撑剂填充率随粒径减小而降低;对于一级和二级裂缝,填充效果最佳的支撑剂粒径范围为160~250 μm。
Abstract: Coalbed methane, as a high-quality clean energy source, is assuming increasing importance within contemporary energy structures. Its enhanced recovery primarily relies on hydraulic fracturing technology, though this technique suffers from the shortcomings of fractures being prone to closure and exhibiting persistent closure. Proppants, as critical materials in hydraulic fracturing, play a pivotal role in maintaining fracture openness after fluid withdrawal, thereby creating highly conductive pathways. This study therefore investigates glass microspheres as proppants, focusing on the migration patterns of different particle sizes under complex fracture conditions. Employing a controlled variable method with proppant particle size as the variable, systematic migration experiments were conducted using a fracturing proppant delivery and sand placement simulation apparatus. Results indicate that larger-sized glass microsphere proppants (250~550 μm) exhibit superior filling efficiency within primary fractures and angle-free horizontal fractures; whilst smaller-sized proppants (120~160 μm) proved more suitable for angled, multi-level fractures. Overall, proppant filling rates in both primary and horizontal fractures decreased with decreasing particle size. For primary and secondary fractures, the optimal proppant size range for filling efficiency was 160~250 μm.
文章引用:马思聪, 张咏斌, 杨晓国, 郝军, 王鹏. 不同粒径玻璃微珠支撑剂在煤层中的运移规律研究[J]. 矿山工程, 2026, 14(2): 282-292. https://doi.org/10.12677/me.2026.142030

1. 引言

煤层气作为新时代的优质清洁能源,其开发利用不仅可以弥补常规天然气等资源的不足,还可减少煤矿开采时瓦斯爆炸等事故的发生,煤层气主要成分为甲烷(CH4),每单位燃烧后释放的CO2比煤、石油少,且不产生灰烬,不释放毒素,是一种清洁能源[1]-[3],然而,我国72%煤层都属于低透气性煤层[4],渗透率一般介于0.052~1.120 mD [5],煤层气开采较为困难。其增产开发主要依赖水力压裂技术[6]-[8],但该技术存在压裂裂缝易闭合、常闭合的不足。支撑剂作为水力压裂的关键材料,核心作用在于压裂液退出后仍能维持裂缝张开,形成高导流能力的通道[9]-[11]。针对水力裂缝内支撑剂的运移规律,国内外学者进行了大量的研究。Mack等[12]通过利用自制的裂缝结构,开展了在低粘流体中砂粒和陶粒两种类型支撑剂的运移分布情况室内实验,实验结果表明,陶粒支撑剂会比砂粒支撑剂运移到更远的裂缝当中。李靓[13]在前人研究的结论基础上,设计了不同条件下单裂缝与复杂裂缝的室内实验,提出了两个表征参数:砂堤前端距裂缝入口处的距离和砂堤前缘的坡度,以此对裂缝中的砂堤形态进行了更好的表示。任岚等[14]基于计算流体力学(CFD),建立了压裂液和低密度支撑剂的液固两相流数学模型。黄志文等[15]考虑了裂缝壁面对支撑剂运移的影响,建立了裂缝内携砂液流动阻力的计算模型。张潦原等[16]通过向裂缝内注入不同粒径的支撑剂,研究支撑剂组合对复杂裂缝支撑效果的影响。目前支撑剂常用的类型有天然石英砂、陶粒、树脂膜支撑剂等。然而,石英砂破碎率高、形状不规则,容易导致砂堵现象,陶粒支撑剂密度较大,不利于输送,树脂膜支撑剂成本太高。所以本文研究以玻璃微珠为支撑剂,它具备高强度、高圆度、低密度、成本低等优点,以支撑剂粒径为变量在具备角度以及三级裂缝的可视化实验设备中对其运移和放置规律进行研究。

2. 实验准备

可视化复杂裂缝支撑剂运移模拟装置(图1)主裂缝长3 m,高0.5 m,宽5 mm,主要由可视化复杂裂缝(图1)、混砂罐(图2)、螺杆泵和流量计(图3)组成。具体数值见表1

实验总流程图如图4所示,在配液罐配好滑溜水压裂液,然后将压裂液通过泵输送进混砂罐中,

Figure 1. Visualization of complex fractures

1. 可视化复杂裂缝

Figure 2. Sand mixing tank

2. 混砂罐

Figure 3. Screw pump and flow meter

3. 螺杆泵和流量计

Table 1. List of specific values for each fracture

1. 各裂缝具体数值表

裂缝名称

长(m)

宽(mm)

高(m)

角度(˚)

主裂缝

3

5

0.5

-

水平裂缝

1

3

0.5

180

一级裂缝

1

3

0.5

120

二级裂缝

0.5

3

0.4

120

三级裂缝

0.3

3

0.3

120

Figure 4. Experimental flowchart

4. 实验流程图

打开搅拌筒时用加砂装置按照一定的砂比进行加砂,经过充分的搅拌后,打开泵向可视化复杂裂缝中输送携砂液,每30秒用摄像机记录一次铺砂图像,在确保实验过程图像采集完整的情况下,选择各裂缝中充砂高度稳定(平衡阶段)进行分析,实验结束后清洗好设备准备下一轮实验。

3. 实验材料与方法

为研究不同施工参数下玻璃微珠在复杂煤层裂缝中的运移规律,共设计3组实验,实验中使用的支撑剂是不同粒径大小的玻璃微珠,包括250/550 μm、160/250 μm、120/160 μm。压裂液为粘度5 mPa∙s的滑溜水压裂液,支撑剂浓度为4%,排量选择为3.0 L/min,根据相似性原理在实际施工中为0.96 m3/min,实验采用控制变量法,在其他因素不变的情况下,来研究粒径变化对沙堤铺置情况的影响,实验方案表如表2所示。

Table 2. Experimental parameter settings

2. 实验参数设置

编号

支撑剂粒径大小(mm)

压裂液粘度(MPa∙s)

支撑剂浓度

压裂液注入排量(L/min)

1

250/550 μm

5

4%

3.0

2

160/250 μm

5

4%

3.0

3

120/160 μm

5

4%

3.0

实验中每30秒记录一次各裂缝沙堤铺置图像,实验结束后,选择各裂缝中充砂高度稳定(平衡阶段)进行分析,使用GetData软件对沙堤数据进行采集并画出数字化沙堤图像进行分析。

4. 结果与讨论

4.1. 颗粒受力平衡与理论分析

在本研究中,支撑剂颗粒在压裂液中的运移受流体拖曳力、重力和浮力等多力平衡控制。为从理论层面解释不同粒径支撑剂在裂缝中的运移差异,引入斯托克斯沉降速度公式和颗粒雷诺数以及斯托克斯数进行分析。

斯托克斯沉降速度:

v s = d p 2 ( ρ p ρ f )g 18μ (1)

式中:

v s ——颗粒沉降速度(m/s);

d p ——颗粒直径(m);

ρ p ——支撑剂密度(1960 kg/m3);

ρ f ——压裂液密度(取水密度1000 kg/m3);

g ——重力加速度(9.81 m/s2);

μ ——压裂液动力粘度(0.005 Pa∙s)。

颗粒雷诺数:

Re p = ρ f v s d p μ (2)

斯托克斯数:

Stk= ρ p d p 2 u 18μL (3)

式中:

u ——流体特征速度(0.02 m/s);

L ——特征长度(0.005 mm)。

各参数计算结果汇总如表3所示。

Table 3. Calculated results for Stokes number and Reynolds number

3. 斯托克斯数与雷诺数计算结果

支撑剂径(μm)

粒径dₚ (m)

斯托克斯数(Stk)

颗粒雷数(Reₚ)

250~550

550 × 10⁻6

0.026

2.2

160~250

250 × 10⁻6

0.0054

1.0

120~160

160 × 10⁻6

0.0022

0.64

支撑剂在裂缝中运移的核心受力为重力与流体拖曳力,当二者近似平衡时,颗粒运动速度稳定并形成均匀沙堤,大粒径支撑剂(250~550 μm)的斯托克斯数等于0.026 < 0.1,流体粘性力占主导地位,但相较于中小粒径,其惯性相对显著。重力在三种粒径中最大,与拖曳力的比值最优,颗粒在主裂缝及水平裂缝中沉降速度适中,能够快速形成厚度均匀、稳定性强的沙堤;而在有角度的分级裂缝中,有限的惯性难以克服流体转向时的阻力,导致颗粒难以深入裂缝内部,仅能在入口附近形成局部填充。中粒径支撑剂的斯托克斯数等于0.0054 < 0.1,流体粘性力完全主导颗粒运动。重力适中,拖曳力可轻松携带颗粒克服重力影响,在有角度裂缝中实现顺畅转向,同时沉降速度能够满足沙堤形成需求;颗粒可在一级、二级裂缝中均匀分布,形成覆盖全裂缝长度的稳定沙堤,综合填充效果最优。

小粒径支撑剂(120~160 μm)的斯托克斯数等于0.0022 < 0.1,流体粘性力占绝对主导。重力较小,拖曳力对颗粒的控制力极强,能够携带颗粒深入三级裂缝等远端复杂区域;但因重力不足,颗粒沉降速度极慢,在主裂缝及水平裂缝中难以形成有效堆积,无法构建具备支撑能力的沙堤,仅能发挥远端裂缝填充作用。

4.2. 实验结果分析

图5描绘了不同粒径大小玻璃微珠支撑剂在复杂裂缝中的运移规律,图中下侧为每一裂缝板中支撑剂填充情况,上侧为整体支撑剂分布图,其中蓝色为支撑剂在主裂缝中的填充,黄色为支撑剂在各级次裂缝中的填充,图5(a)为250/550 μm玻璃微珠实验结果图,可以看出在沙堤前端距入口距离小,主裂缝中沙堤形状为梯形,坡前角度较大,沙堤分布均匀,前后沙堤高度差距不大,平衡高度较高,到一级裂缝,沙堤形状为三角形,这是因为250/550 μm玻璃微珠支撑剂进入一级裂缝基本是靠重力作用从主裂缝中掉落,其填充距离未能达到一级裂缝的长度,水平裂缝的沙堤形状为梯形,填充距离达到水平裂缝的长度,整体填充率大于一级裂缝的填充率,可以看出大尺寸的玻璃微珠运移会受到角度的影响,二级裂缝、三级裂缝只有少量玻璃微珠进入无法形成沙堤,可以看出大粒径玻璃微珠支撑剂在深层次的分支裂缝中没有较好的运移能力,大部分都堆于主裂缝之中。图5(b)为160/250 μm玻璃微珠实验结果图,其沙堤前缘距入口距离小,主裂缝的形状与250/550 μm支撑剂相似,沙堤高度小于250/550 μm实验组,后部沙堤高度稍大,一级裂缝形状类似于梯形整体趋势先上升达到平衡高度再呈下坡趋势,中间受到二级

Figure 5. Migration pattern diagram of glass microspheres

5. 玻璃微珠运移规律图

裂缝影响有断口,整体填充率较好,填充距离达到裂缝长度,水平裂缝中形状为梯形,填充距离达到裂缝距离,整体填充率次于一级裂缝的填充率,可以看出160/250 μm的玻璃微珠支撑剂可以更好地在有复杂角度的裂缝中运移,二级裂缝有进砂,呈双峰形态,中间受三级裂缝影响有断口,覆盖距离达到裂缝长度,覆盖率尚可,三级裂缝仅有少量进砂,无沙堤形成。图5(c)为120/160 μm玻璃微珠实验结果图,其主裂缝入口附近砂堆积较少,无法形成有效支撑,到主裂缝中间位置才有一点砂堆积,主裂缝沙堤充填不充分、不理想,一级裂缝的填充率相较于主裂缝有不错的提升,呈双峰状,填充距离达到裂缝长度,水平裂缝与主裂缝类似,仅有少量砂堆积,其二级裂缝、三级裂缝均有不错的砂量堆积,较大粒径的支撑剂在较复杂的裂缝中有更好的支撑效果。根据斯托克斯沉降速度关系式可知,固相颗粒的沉降速度与其颗粒直径的平方成正比,而流体对固相颗粒的拖曳力则与其粒径成正比。由此可知,支撑剂颗粒的粒径对其在裂缝中的运移过程具有较大影响,会直接影响其在裂缝中的最终铺置形态,随粒径的增大,支撑剂的沉降速度会加快,就会使沙堤的高度快速增加,主裂缝高度增加就会影响携砂液的流动,从而使后续的支撑剂都多沉降在入口附近。这些原因导致了250/550 μm支撑剂在主裂缝以及水平裂缝有不错的填充效果,而其他粒径支撑剂在较远的裂缝中填充效果较好。

图6(a)所示,当注入250/550 μm支撑剂时,在距离入口29 cm处形成砂填充。主裂缝0~300 cm处的填砂高度大于其他两种粒径。裂缝中段(100~200 cm)的沙堤高度最高,为16.76 cm。160/250 μm支撑剂在距离入口31 cm处形成砂填充,与250/550 μm支撑剂差距较小,平衡高度在裂缝尾段(200~300 cm)为8.01 cm,与250/550 μm差距较大。在距离入口47 cm处,120/160 μm支撑剂形成填充,有效支撑裂缝长度较差,平衡高度在裂缝尾段(200~300 cm)为4.61 cm。如图6(b)所示,当经过主裂缝到达水平裂缝时,整体填充情况与主裂缝保持一致。如图6(c)所示,到一级裂缝中,三种粒径的填充情况发生了改变,在一级裂缝中,160/250 μm的填充率超过了其他两种粒径的填充率,250/550 μm支撑剂在有角度的分支裂缝中运输效率较差,粒径为160/250 μm的玻璃微珠支撑剂沙堤平衡高度最高为9.24 cm。二级裂缝中(图6(d)),250/550 μm粒径组无支撑剂进入,250/550 μm与160/250 μm填充效果相差不大。用250/550 μm玻璃微珠

Figure 6. Comparison diagram of sand embankment shapes at different grain sizes: (a) Main crack; (b) Horizontal crack; (c) Primary crack; (d) Secondary crack

6. 不同粒径沙堤形状对比图:(a) 主裂缝;(b) 水平裂缝;(c) 一级裂缝;(d) 二级裂缝

支撑剂可以改善主裂缝以及无角度水平裂缝的填充情况,而160/250 μm与120/160 μm玻璃微珠在有角度的分支裂缝中有较好的填充效果。

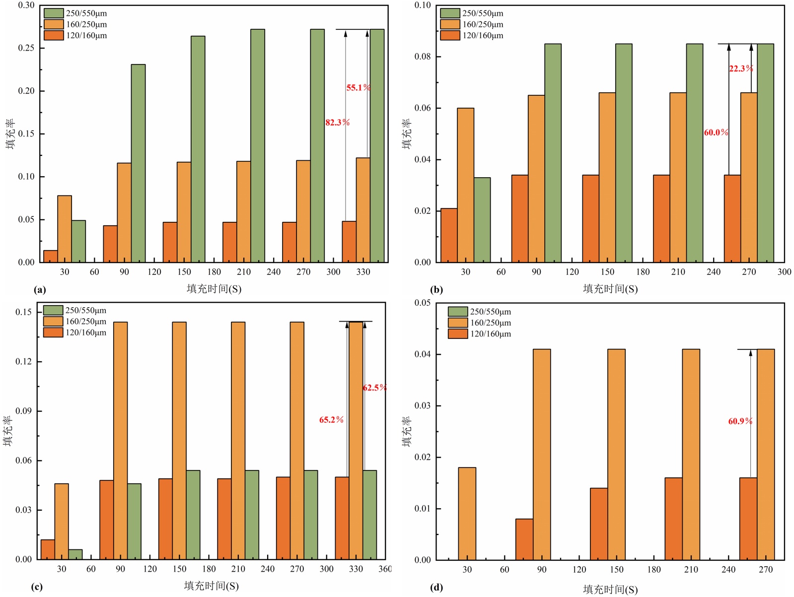
图7(a)中可以看到,主裂缝中,在输砂前30秒,160/250 μm的填充率(填充率 = 图像处理后的支撑剂与裂缝像素面积比)最大,30秒后都是250/550 μm填充率最大,250/550 μm支撑剂的填充率在210秒左右达到平衡,30~90秒之间,增长率最快,160/250 μm在90秒就达到平衡,120/160 μm在150秒左右达到平衡,随粒径的增加,从160/250 μm到250/550 μm,填充率增加了55.1%,从120/160 μm到250/550 μm,填充率增加了82.3%,大粒径支撑剂在主裂缝中的填充效果远好于其他两个粒径的支撑剂。水平裂缝中(图7(b)),与主裂缝相似,250/550 μm玻璃微珠支撑剂在90秒左右就达到平衡,能形成有效支撑,250/550 μm在输砂结束后,填充率比160/250 μm多22.3%,比120/160 μm多60%。在一级裂缝中(图7(c)),从输砂开始到结束,160/250 μm的填充率保持最高,在90秒达到平衡,可在一级裂缝中形成有效支撑,输砂结束后,160/250 μm玻璃微珠支撑剂的填充率比250/550 μm高62.5%,比120/160 μm高65.2%,160/250 μm与120/160 μm支撑剂在150秒左右达到平衡,可以看出160/250 μm支撑剂在一级裂缝的填充中具有优势。在二级裂缝中(图7(d)),250/550 μm支撑剂无砂进入,160/250 μm在前30秒内就可形成沙堤,在90秒左右达到平衡,最终的填充率比120/160 μm支撑剂多60.9%。综合可以看出,在主

Figure 7. Diagram of changes in filling rate of each crack over time: (a) Main crack; (b) Horizontal crack; (c) Primary crack; (d) Secondary crack

7. 随时间变化各裂缝填充率变化图:(a) 主裂缝;(b) 水平裂缝;(c) 一级裂缝;(d) 二级裂缝

裂缝与水平裂缝中,250/550 μm支撑剂具有优势,在一级裂缝与二级裂缝中,160/250 μm支撑剂具有优势,而在三级裂缝中,250/550 μm与160/250 μm支撑剂均无砂进入,120/160 μm支撑剂有一定的沙堤填充,可以在三级裂缝中形成有效填充,所以在复杂的煤层裂缝中注入玻璃微珠支撑剂,采用先小后大的注入方式较为合适,先注入120/160 μm支撑剂填充远端以及较复杂的裂缝,再注入160/250 μm支撑剂对中端裂缝进行填充,最后注入250/550 μm支撑剂补充近端以及保持水平不复杂的裂缝,使其保持较高的填充率,以形成有效的支撑效果。

5. 结论

本文采用玻璃微珠作为支撑剂模型,其具有高圆度、低密度、表面光滑等特点,与实际常用的石英砂、陶粒等在物理性质上存在差异。石英砂形状不规则、破碎率高,易导致砂堵;陶粒密度大、输送困难;而玻璃微珠则在实验条件下表现出良好的输送性和抗破碎性。然而,实际煤层裂缝壁面粗糙、宽度非均匀,可能对支撑剂运移产生以下影响:

1) 会增加颗粒与壁面的摩擦与碰撞,可能加剧小粒径支撑剂的滞留现象。

2) 实际裂缝宽度常在毫米至厘米级变化,宽缝中颗粒沉降空间大,窄缝中易形成桥堵。

3) 不规则颗粒更易发生机械啮合,影响其在复杂裂缝中的运移距离。

基于此,研究得出了以下几点结论:

1) 较大粒径(250~550 μm)的玻璃微珠支撑剂在主裂缝及无角度水平裂缝中表现出更优的填充效果。

2) 较小粒径(120~160 μm)的支撑剂则更适用于有角度的分级裂缝。

3) 总体而言,主裂缝和水平裂缝的支撑剂填充率随粒径减小而降低,对于一级和二级裂缝,填充效果最佳的支撑剂粒径范围为160~250 μm。

4) 本研究基于滑溜水压裂液(粘度5 mPa∙s)、支撑剂浓度4%、排量3.0 L/min的实验条件,所得规律适用于裂缝宽径比大于10、低粘度、低排量的煤层压裂工况,在实际应用中,应结合具体地质与工程参数进行优化。

NOTES

*第一作者。

#通讯作者。

参考文献

[1] Bustin, R.M. and Clarkson, C.R. (1998) Geological Controls on Coalbed Methane Reservoir Capacity and Gas Content. International Journal of Coal Geology, 38, 3-26. [Google Scholar] [CrossRef
[2] Wang, Z.Z., Pan, J.N., Hou, Q.L., et al. (2018) Changes in the Anisotropic Permeability of Low-Rank Coal under Varying Effective Stress in Fukang Mining Area, China. Fuel, 234, 1481-1497. [Google Scholar] [CrossRef
[3] Song, C. and Elsworth, D. (2018) Strengthening Mylonitized Soft-Coal Reservoirs by Microbial Mineralization. International Journal of Coal Geology, 200, 166-172. [Google Scholar] [CrossRef
[4] 付利, 申瑞臣, 屈平, 等. 基于层次分析法的煤层气钻完井方式优选[J]. 石油钻采工艺, 2011, 33(4): 10-14.
[5] 张政. 沁水盆地南部太原组含煤层气系统及其排采优化[D]: [博士学位论文]. 徐州: 中国矿业大学, 2016.
[6] Sampath, K.H.S.M., Perera, M.S.A., Ranjith, P.G., Matthai, S.K., Rathnaweera, T., Zhang, G., et al. (2017) CH4-CO2 Gas Exchange and Supercritical CO2 Based Hydraulic Fracturing as CBM Production-Accelerating Techniques: A Review. Journal of CO2 Utilization, 22, 212-230. [Google Scholar] [CrossRef
[7] Ma, G., Su, X.B., Lin, H.X., Guo, H.Y., et al. (2014) Theory and Technique of Permeability Enhancement and Coal Mine Gas Extraction by Fracture Network Stimulation of Surrounding Beds and Coal Beds. Natural Gas Industry B, 1, 197-204. [Google Scholar] [CrossRef
[8] Ngô, C. and Natowitz, J.B. (2016) Unconventional Oil and Gas Resources. In: Ngô, C. and Natowitz, J.B., Eds., Our Energy Future: Resources, Alternatives, and the Environment, Second Edition, John Wiley & Sons, Inc., 53-70. [Google Scholar] [CrossRef
[9] Wei, D. (2019) Migration Law and Placement Characteristics of Proppant in Fracture. Fault-Block Oil & Gas Field, 26, 355-359.
[10] Xu, J.X., Yang, L.F., Ding, Y.H., et al. (2019) Effect of Deformation and Embedment of Proppants on Fracture Conductivity. Fault-Block Oil & Gas Field, 26, 816-820.
[11] Liu, X.W. (2020) Influencing Factors of Hydraulic Propped Fracture Conductivity in Shale Reservoir. Fault-Block Oil & Gas Field, 27, 394-398.
[12] Mack, M., Sun, J. and Khadilkar, C. (2014) Quantifying Proppant Transport in Thin Fluids: Theory and Experiments. Society of Petroleum Engineers.
[13] 李靓. 压裂缝内支撑剂沉降和运移规律实验研究[D]: [硕士学位论文]. 成都: 西南石油大学, 2014.
[14] 任岚, 林辰, 林然, 等. 复杂裂缝中低密度支撑剂铺置数值模拟[J]. 大庆石油地质与开发, 2021, 40(6): 52-61.
[15] 黄志文, 李治平, 赵忠健, 等. 携砂液在裂缝中的流动阻力理论分析[J]. 天然气地球科学, 2005, 16(6): 784-787.
[16] 张潦源, 曲占庆, 吕明锟, 等. 不同支撑剂组合对复杂裂缝支撑效果的影响[J]. 断块油气田, 2021, 28(2): 278-283.