过渡金属Zn2+表面修饰Ti3C2Tx Mxene构筑高性能超级电容器负极
Surface Modification of Ti₃C2Tₓ MXene with Transition Metal Zn2+ for Constructing High-Performance Supercapacitor Negative Electrodes
DOI: 10.12677/ms.2026.163054, PDF, HTML, XML,   
作者: 杨力豪:哈尔滨师范大学物理与电子工程学院,黑龙江 哈尔滨
关键词: 超级电容器负极Ti3C2Tx插层表面修饰Supercapacitor Anode Material for Supercapacitors Ti3C2Tx Intercalation Surface Modification
摘要: Ti3C2Tx Mxene因其独特的理化特性,被广泛认为是高性能超级电容器的有前景的负极材料。然而,其储能潜力受限于固有缺陷,如层间堆叠问题及存在不利的-F表面端基。本研究报道了一种调控并提升Ti3C2Tx电化学性能的表面修饰策略。采用离子交换法将Zn2+离子嵌入Ti3C2Tx的层间间隙,有效扩展了离子扩散路径并暴露更多活性位点。经此结构调控后,所得Ti3C2Tx-Zn薄膜电极在1 A·g1的电流密度下比电容高达361 F·g1,较原始Ti3C2Tx薄膜电极(242 F·g1)提升1.43倍;电流密度升至20 A·g1时电容保持率为85%,10 A·g1电流密度下1万次循环后容量保持率高达99.8%,展现出优异倍率性能与良好的循环稳定性。本研究通过层间工程优化Ti3C2Tx表面组分与结构,为过渡金属离子表面修饰MXene材料在超级电容器中的应用提供了科学依据与技术参考。
Abstract: Ti3C2Tx Mxene, with its distinctive physicochemical properties, is widely regarded as a promising anode material for high-performance supercapacitors. However, its energy storage potential is limited by inherent shortcomings, such as interlayer restacking and the presence of unfavorable –F surface terminations. This study reports a surface modification strategy aimed at regulating and improving the electrochemical performance of Ti3C2Tx. Through an ion-exchange approach, Zn2+ ions were intercalated into the interlayer gaps of Ti3C2Tx, effectively enlarging the ion diffusion pathways and exposing more active sites. After this structural modification, the resulting Ti3C2Tx-Zn film electrode delivered a high specific capacitance of 361  F·g1 at a current density of 1  A·g1, which is 1.43 times that of the pristine Ti3C2Tx film electrode (242  F·g1). The electrode also exhibited superior rate capability with 85% capacitance retention at 20  A·g1, as well as excellent cycling stability with 99.8% capacitance retention after 10,000 cycles at 10  A·g1. This work demonstrates that interlayer engineering can effectively optimize the surface composition and structure of Ti3C2Tx, providing scientific and technical insights into the application of transition-metal-ion surface modification of MXene materials in supercapacitors.
文章引用:杨力豪. 过渡金属Zn2+表面修饰Ti3C2Tx Mxene构筑高性能超级电容器负极[J]. 材料科学, 2026, 16(3): 85-92. https://doi.org/10.12677/ms.2026.163054

1. 引言

在全球范围内,化石能源供应日趋紧张、环境压力不断加剧的背景下,中国提出并系统推进“双碳”战略,以推动清洁能源体系的构建与发展。超级电容器作为一种先进的储能装置,凭借其高功率密度、长循环寿命及优异的安全性能,在储能系统中发挥着不可替代的作用。然而,传统超级电容器仍然面临能量密度偏低、倍率性能不足等问题[1] [2]。与此同时,新能源电动汽车和电子设备市场的快速发展,对超级电容器的综合性能提出了更高的要求。电极材料是超级电容器的核心组成部分,其中负极材料的特性往往是决定其整体电化学性能的关键因素[3]。因此,开发具有高比容量、优异倍率性能及长循环稳定性的先进负极材料,已成为提升超级电容器能量密度的重要研究方向[4]

Ti3C2Tx Mxene因具有二维层状结构、高电子导电性、丰富的表面化学、宽工作电位窗口、良好柔韧性以及在酸性电解液中所表现出的赝电容储能机制,被认为是极具潜力的超级电容器负极材料[5]-[7]。然而,Ti3C2Tx纳米片在制备和存储过程中易因范德华力与氢键作用而发生堆叠,导致层间距减小、电化学活性面积下降,并阻碍离子传输动力学[8]-[10]。此外,在其合成过程中采用氢氟酸或盐酸/氟化锂混合溶液蚀刻时,表面常会形成大量F端基,进一步降低了电解质的可及性并恶化了电荷转移动力学[11] [12]。上述问题严重限制了Ti3C2Tx在高性能超级电容器中的实际应用,因此亟需通过结构调控与界面工程策略以充分发挥其理论潜能。为了解决这个问题,研究人员将Ti3C2Tx与过渡金属氧化物、过渡金属硫化物/硒化物等多种材料复合,进而制备高性能负极材料。

通过在Ti3C2TX纳米片表面上沉积过渡金属化合物来制备Ti3C2TX/金属化合物复合电极,提高其比电容和倍率性能。Li等人[13]通过简单的一步水热法,在Ti3C2TX纳米片表面上生长W18O49纳米线,构建了W18O49/Ti3C2Tx异质结构负极材料。在三电极测试系统下,该电极在1 mV·s−1扫描速率下表现出472.6 F·g−1的高比电容,且在扫描速率增加到100倍下仍能保持其初始电容的73.3%。由W18O49/Ti3C2Tx负极与RuO2@CC正极组装而成的非对称超级电容器器件展现出29.6 Wh·kg−1的高能量密度和7.0 kW·kg−1的最大功率密度。Kar等人[14]通过超声成功制备了MXene/NiO(MX/NiO)复合材料。在2 mol·L−1 H2SO4电解液中,MXene的比电容提升到358.5 F·g−1,而MX/NiO复合材料在−0.6~0.4 V的电位窗口内和1 A·g−1的电流密度下,比电容显著提升至892 F·g−1

Xu等人[15]通过溶剂热合成方法,使MnSe纳米片在Ti3C2Tx表面原位生长,形成微花状的MnSe@Ti3C2Tx异质结构。优化后的异质结构(E3/MnSe@Ti3C2Tx-45)在1 A·g−1电流密度下的比电容达到721.4 F·g−1。Yardım等人[16]通过水热法合成MXene/WS2纳米复合材料,在1 mol·L−1 H2SO4电解质中,MXene/WS2其比电容值分别为322 F·g−1 (5 mV·s−1)和373 F·g−1 (0.4 A·g−1)。

研究发现离子插层能有效抑制Ti3C2Tx纳米片的堆叠,增大层间距,从而形成更多离子传输通道和可接触的活性位点来调控层间环境并改变表面化学性质,提升Ti3C2Tx的电化学性能[17] [18]。本研究通过离子插层与表面修饰相结合的策略,制备了Ti3C2Tx-Zn薄膜电极在1 A·g1的电流密度下比电容高达361 F·g1,较原始Ti3C2Tx薄膜电极(242 F·g1)提升1.43倍;面积比电容达到0.51 F·cm⁻2,电流密度升至20 A·g1时电容保持率为85%,10 A·g1电流密度下1万次循环后容量保持率高达99.8%。本研究报道了一种高性能Ti3C2Tx材料的制备方法,通过Zn2+对其进行修饰改性,为超级电容器电极材料的高效开发开辟了新的思路。

2. 实验部分

2.1. 试剂

碳铝钛(Ti3AlC2)、乙酸锌(Zn(CH₃COO)2)、盐酸(HCl)、氟化锂(LiF)、氯化锂(LiCl)、去离子(DI)水。

2.2. Ti3C2Tx的制备

将1.56 g氟化锂放入20 ml盐酸中搅拌,使氟化锂大部分溶解,之后继续搅拌,同时将碳铝钛加入,38℃水浴加热48 h,之后用稀盐酸、氯化锂溶液和去离子水洗涤3~5次,离心收集上层清液[19]

2.3. Ti3C2Tx-Zn的合成

取浓度为10 mg/ml的碳化钛溶液7.5 ml,加入20 mg的乙酸锌,搅拌1 h后在40℃温度下静置48 h,多次去离子水洗后取泥加去离子水分散,真空抽滤成膜。

2.4. 样品结构和电化学性质表征

利用扫描电子显微镜(SEM)与投射电子显微镜(TEM)表征样品的显微形貌。通过X射线衍射(XRD)对样品的晶体结构进行表征。通过X射线光电子能谱(XPS)对样品的化学环境进行分析。

电化学测量采用VMP3电化学工作,使用标准的三电极电化学装置,其中对电极为碳棒,参比电极为Ag/AgCl,以3 M硫酸作为电解液。电压窗口设置为−0.6~0.2 V,将Ti3C2Tx、Ti3C2Tx-Zn薄膜裁剪成1.0 × 1.0 cm2,并直接用作工作电极。每个工作电极的质量负载在1.1~1.3 mg·cm−2范围内进行测试。以不同密度的电流密度进行了恒流充放电(GCD)测量,并以不同扫描速率进行了循环伏安法(CV)测量。此外,在0.01 Hz~200 kHz的频率范围内测量了电化学阻抗。使用GCD曲线来计算质量比电容,公式如下:

C m = i Δt Δv

这里 C m 是质量比电容(F·g1),i为电流密度(A·g−1), Δt 为放电时间(s), Δv 为电位窗口(V)。

3. 结果与讨论

图1展示了Ti3C2Tx和Ti3C2Tx-Zn样品的SEM与TEM图像。如图1(a)所示,采用盐酸/氟化锂(HCl/LiF)体系刻蚀制备的单层Ti3C2Tx纳米薄片表面平整。经Zn2+离子插层修饰后,Ti3C2Tx-Zn样品(图1(b))同样呈现为表面光滑的单层纳米片结构。结果表明,Zn2+的引入不仅保持了Ti3C2Tx薄片良好的层状堆积形貌,同时有效增大了其层间距离(图1(d)~(e))。图1(c)图1(f)分别为Ti3C2Tx与Ti3C2Tx-Zn纳米片的高分辨透射电镜图像。可观察到Ti3C2Tx的(002)晶面间距约为1.26 nm,而Ti3C2Tx-Zn的(002)晶面间距约为1.34 nm,进一步证实Zn2+插层修饰后Ti3C2Tx-Zn的层间距增大。

Figure 1. (a) (d) Top and cross-sectional view of SEM image of Ti3C2Tx film; (b) (e) Top and cross-sectional view of SEM image of Ti3C2Tx-Zn film; (c) (f) HRTEM image of Ti3C2Tx film and Ti3C2Tx-Zn film 1. (a) (d) Ti3C2Tx平面和截面的SEM图像。(b) (e) Ti3C2Tx-Zn平面和截面的SEM图像。(c) (f) Ti3C2Tx和Ti3C2Tx-Zn纳米片的HRTEM图像

图2展示了Ti3C2Tx与Zn2+表面修饰Ti3C2Tx (Ti3C2Tx-Zn)两种材料的物相与表面化学表征结果,包含(a) XRD谱图和(b)高分辨率XPS全谱。图2(a)中,Ti3C2Tx出现尖锐的(002)特征衍射峰,对应其典型的二维层状结构,与之前报道过的Ti3C2Tx的XRD图相似,表明Ti3C2Tx被成功制备[20]。Zn2+插层修饰改性后的Ti3C2Tx-Zn,其(002)衍射峰向更低角偏移,表明Zn2+的引入增大了Ti3C2Tx的层间距,证明Zn2+成功插层进入Ti3C2Tx片层之间。同时,Ti3C2Tx-Zn的(002)峰强度略有降低但峰形仍保持尖锐,说明改性后材料仍保留了MXene的层状结构特征,未发生明显的结构坍塌。

(a) (b)

Figure 2. (a) XRD patterns and (b) High resolution XPS spectrum of Ti3C2Tx, Ti3C2Tx-Zn

2. Ti3C2Tx、Ti3C2Tx-Zn的(a) XRD谱图和(b)高分辨率XPS谱

图2(b)中,两种材料均检测到Ti 2p、C 1s、O 1s、F 1s等MXene特征峰,表明Ti3C2Tx-Zn仍保留了Ti3C2Tx的基本化学组成。与Ti3C2Tx相比,Ti3C2Tx-Zn的谱图中新增了Zn 2p特征峰(结合能约1023.1 eV和1046.2 eV处),直接证明Zn元素成功引入材料表面。同时,Ti3C2Tx-Zn中不利于离子传输的F 1s强度显著降低,使其电化学性能相较Ti3C2Tx有着极大提升。此外,Ti3C2Tx-Zn中Ti 2p、O 1s峰形与强度发生细微变化,暗示Zn2+的引入可能改变了Ti3C2Tx的表面端基环境,这为后续分析其电化学性能变化提供了关键依据。

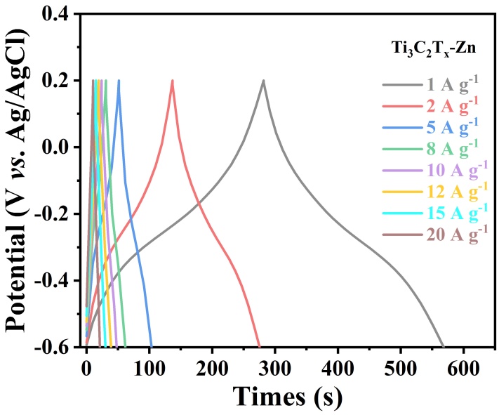
图3展示了在标准三电极体系中Ti3C2Tx与Zn2+插层修饰后的Ti3C2Tx -Zn在3 mol/L硫酸电解液中的电化学性能对比。图3(a)展示了在−0.6 V至0.2 V (相对于Ag/AgCl)电位范围内扫描速率为20 mV/s时的循环伏安曲线,可以看出Ti3C2Tx-Zn薄膜电极具有较大的闭合曲线面积与比电容,表明其电化学性能优于Ti3C2Tx。表明通过引入Zn2+插层修饰后,薄膜电极电容显著增强。图3(b)展示了Ti3C2Tx-Zn薄膜电极在不同扫描速率下的循环伏安曲线。随着扫描速率增大,氧化还原峰分别向阳极与阴极方向偏移,表明在高扫速下电极过程受扩散控制[21]图3(c)为该电极在1 A·g−1至20 A·g−1电流密度范围内的恒流充放电曲线。Ti3C2Tx-Zn电极的充放电曲线呈现明显非线性特征证实其以赝电容行为为主导的电荷存储机制[22] [23]。此外,即使在较高电流密度下,该电极仍能保持高度对称的充放电曲线,体现了优异的电化学可逆性[24] [25]。为进行性能对比,计算了两种电极在1 A·g−1至20 A·g−1电流密度范围内的比电容变化如图3(d)所示。结果表明,Ti3C2Tx-Zn膜电极在1 A·g−1下具有最高比电容,达361 F·g−1,显著高于Ti3C2Tx膜电极(242 F·g−1),面积比电容达到0.51 F·cm⁻2。当电流密度增至20 A·g−1时,Ti3C2Tx-Zn电极的比电容保持率为85.0%。这表明经过引入Zn2+有效提升了材料的倍率性能,归因于Zn2+的表面修饰协同作用及不利表面端基的去除插层作用增大了层间距,优化了离子传输通道。

(a) (b)

(c) (d)

(e) (f)

Figure 3. (a) CV curves of Ti3C2Tx and Ti3C2Tx-Zn thin-film electrodes at 20 mV·s−1; (b) CV curves of Ti3C2Tx-Zn; (d) GCD curves of Ti3C2Tx-Zn (d) specific capacitance versus at different current densities of Ti3C2Tx and Ti3C2Tx-Zn samples prepared in different proportions; (e) EIS spectrums of Ti3C2Tx and Ti3C2Tx-Zn; (f) cycling performance of Ti3C2Tx-Zn electrodes at a current density of 10 A·g−1 (10000 charge-discharge cycles) 3. (a) Ti3C2Tx,Ti3C2Tx-Zn薄膜电极在20 mV·s−1下的CV曲线。(b) Ti3C2Tx-Zn电极的CV曲线和 (c) GCD曲线;(d) 在不同电流密度下的比电容对比关系;(e) EIS谱;(f) Ti3C2Tx-Zn电极在10 A·g−1 (10,000次充放电循环)下的循环性能

图3(e)为电化学阻抗谱(EIS),Ti3C2Tx-Zn的高频区半圆半径更小,在低频区的斜率近乎垂直,说明其电荷转移电阻(Rct)更低、离子扩散速率更快,电荷转移与离子扩散性能已显著优化,展现出理想的电容特性[26] [27]图3(f)为循环稳定性测试,在10 A·g1电流密度下经过10,000次充放电循环后,Ti3C2Tx -Zn的比电容保持率高达99.8%,远优于Ti3C2Tx [28] [29]。证明Zn2+插层修饰有效抑制了片层堆叠,提升了结构稳定性[30]。整体来看,通过引入Zn2+后的插层效应和表面修饰协同作用,显著优化了Ti3C2Tx在3M硫酸电解液中的电化学性能,为其在高性能超级电容器中的应用提供了实验依据。

4. 结论

本研究通过过渡金属Zn2⁺插层修饰改性策略,成功制备了高性能Ti3C2Tx-Zn薄膜电极,在1 A·g⁻¹电流密度下比电容达361 F·g−1,面积比电容达到0.51 F·cm⁻2,并在20 A·g−1高电流密度下电容保持率仍达85%,且在10 A·g−1电流密度下经过10,000次循环后容量保持率高达99.8%,Zn2+的引入不仅增大了Ti3C2Tx的层间距、抑制了片层堆叠,还调控了表面官能团并丰富了金属活性位点。本文通过层间工程实现了Ti3C2Tx MXene的表面组分与结构优化,为过渡金属离子插层改性Ti3C2Tx MXene材料在高性能超级电容器中的应用提供了重要的科学依据与技术参考。

参考文献

[1] Zhang, J.T., Liu, S., Pan, G.L., Li, G.R. and Gao, X.P. (2014) A 3D Hierarchical Porous α-Ni(OH)2/Graphite Nanosheet Composite as an Electrode Material for Supercapacitors. Journal of Materials Chemistry A, 2, 1524-1529. [Google Scholar] [CrossRef
[2] Li, S., Yang, K., Ye, P., Ma, K., Zhang, Z. and Huang, Q. (2020) Three-Dimensional Porous Carbon/Co3O4 Composites Derived from Graphene/Co-MOF for High Performance Supercapacitor Electrodes. Applied Surface Science, 503, Article ID: 144090. [Google Scholar] [CrossRef
[3] Zhang, F., Zhang, T., Yang, X., Zhang, L., Leng, K., Huang, Y., et al. (2013) A High-Performance Supercapacitor-Battery Hybrid Energy Storage Device Based on Graphene-Enhanced Electrode Materials with Ultrahigh Energy Density. Energy & Environmental Science, 6, Article No. 1623. [Google Scholar] [CrossRef
[4] Zhao, Y., Ran, W., He, J., Huang, Y., Liu, Z., Liu, W., et al. (2014) High‐Performance Asymmetric Supercapacitors Based on Multilayer MnO2/Graphene Oxide Nanoflakes and Hierarchical Porous Carbon with Enhanced Cycling Stability. Small, 11, 1310-1319. [Google Scholar] [CrossRef] [PubMed]
[5] Chen, J., Ren, Y., Zhang, H., Qi, J., Sui, Y. and Wei, F. (2021) Ni-Co-Fe Layered Double Hydroxide Coated on Ti3C2 MXene for High-Performance Asymmetric Supercapacitor. Applied Surface Science, 562, Article ID: 150116. [Google Scholar] [CrossRef
[6] Gao, M., Wang, F., Yang, S., Gaetano Ricciardulli, A., Yu, F., Li, J., et al. (2024) Engineered 2D MXene-Based Materials for Advanced Supercapacitors and Micro-Supercapacitors. Materials Today, 72, 318-358. [Google Scholar] [CrossRef
[7] Ma, Z., Zhou, X., Deng, W., Lei, D. and Liu, Z. (2018) 3D Porous MXene (Ti3C2)/Reduced Graphene Oxide Hybrid Films for Advanced Lithium Storage. ACS Applied Materials & Interfaces, 10, 3634-3643. [Google Scholar] [CrossRef] [PubMed]
[8] Li, L., Zhang, M., Zhang, X. and Zhang, Z. (2017) New Ti3C2 Aerogel as Promising Negative Electrode Materials for Asymmetric Supercapacitors. Journal of Power Sources, 364, 234-241. [Google Scholar] [CrossRef
[9] Xu, T., Song, Q., Liu, K., Liu, H., Pan, J., Liu, W., et al. (2023) Nanocellulose-Assisted Construction of Multifunctional Mxene-Based Aerogels with Engineering Biomimetic Texture for Pressure Sensor and Compressible Electrode. Nano-Micro Letters, 15, Article No. 98. [Google Scholar] [CrossRef] [PubMed]
[10] Aleksandrova, M., Kurtev, N. and Pandiev, I. (2024) Effect of MXene Nanosheet Sticking on Supercapacitor Device Performance. Applied Sciences, 14, Article No. 2452. [Google Scholar] [CrossRef
[11] Wang, F., Zhang, T., Zhang, T., He, T. and Ran, F. (2024) Recent Progress in Improving Rate Performance of Cellulose-Derived Carbon Materials for Sodium-Ion Batteries. Nano-Micro Letters, 16, Article No. 148. [Google Scholar] [CrossRef] [PubMed]
[12] Afolabi, M.A., Xiao, D. and Chen, Y. (2023) The Impact of Surface Chemistry and Synthesis Conditions on the Adsorption of Antibiotics onto Mxene Membranes. Molecules, 29, Article No. 148. [Google Scholar] [CrossRef] [PubMed]
[13] Natu, V., Pai, R., Wilson, O., Gadasu, E., Badr, H., Karmakar, A., et al. (2022) Effect of Base/Nucleophile Treatment on Interlayer Ion Intercalation, Surface Terminations, and Osmotic Swelling of Ti3C2Tz MXene Multilayers. Chemistry of Materials, 34, 678-693. [Google Scholar] [CrossRef
[14] Zhang, Y., Jin, Q., Li, L., Zhang, M., Wen, J., Wu, L., et al. (2023) In-Situ Synergistic W18O49/Ti3C2Tx Heterostructure as Negative Electrode for High Energy Density Supercapacitors. Carbon, 208, 92-101. [Google Scholar] [CrossRef
[15] Verma, K.D. and Kar, K.K. (2025) Cost-Effective Synthesis Route for Ultra-High Purity of Ti3AlC2 MAX Phase with Enhanced Performance of Ti3C2Tx MXene and MXene/NiO Composite for Supercapacitor Application. Chemical Engineering Journal, 504, Article ID: 158938. [Google Scholar] [CrossRef
[16] Li, S., Song, Q., Fang, C., Lu, Y., Ding, X., Liu, T., et al. (2024) High‐Performance Flexible and Symmetric Supercapacitors Based on Micro‐Flower‐Like MnSe@Ti3C2Tx Heterostructure. Small, 21, Article ID: 2409130. [Google Scholar] [CrossRef] [PubMed]
[17] Pınar, P.T., Gülcan, M. and Yardım, Y. (2025) Synthesis and Characterization of a Nanocomposite Consisting of Ti3C2Tx (MXene) and WS2 Nanosheets for Potential Use in Supercapacitors. Journal of Alloys and Compounds, 1010, Article ID: 177656. [Google Scholar] [CrossRef
[18] Lai, M., Zhao, C., Wang, D., et al. (2024) Significantly Enhanced Oxidation Resistance and Electrochemical Performance of Hydrothermal Ti3C2Tx MXene and Tannic Acid Composite for High-Performance Flexible Supercapacitors. ACS Applied Materials & Interfaces, 16, 55555-55568.
[19] Yuan, Z., Ju, S., Li, W., Guo, H., Chen, K., Yue, M., et al. (2022) Alkali Ions Pre-Intercalated 3D Crinkled Ti3C2Tx MXene Architectures for Advanced Sodium Storage. Chemical Engineering Journal, 450, Article ID: 138453. [Google Scholar] [CrossRef
[20] Lim, K.R.G., Shekhirev, M., Wyatt, B.C., Anasori, B., Gogotsi, Y. and Seh, Z.W. (2022) Fundamentals of MXene Synthesis. Nature Synthesis, 1, 601-614. [Google Scholar] [CrossRef
[21] Mashtalir, O., Lukatskaya, M.R., Kolesnikov, A.I., Raymundo-Piñero, E., Naguib, M., Barsoum, M.W., et al. (2016) The Effect of Hydrazine Intercalation on the Structure and Capacitance of 2D Titanium Carbide (MXene). Nanoscale, 8, 9128-9133. [Google Scholar] [CrossRef] [PubMed]
[22] Gaire, M., Khatoon, N. and Chrisey, D. (2021) Preparation of Cobalt Oxide-Reduced Graphitic Oxide Supercapacitor Electrode by Photothermal Processing. Nanomaterials, 11, Article No. 717. [Google Scholar] [CrossRef] [PubMed]
[23] Mahato, N., Sreekanth, T.V.M., Yoo, K. and Kim, J. (2023) Semi-Polycrystalline Polyaniline-Activated Carbon Composite for Supercapacitor Application. Molecules, 28, Article No. 1520. [Google Scholar] [CrossRef] [PubMed]
[24] Thongkam, K., Chaiyut, N., Panapoy, M. and Ksapabutr, B. (2023) Biomass-Based Nitrogen-Doped Carbon/Polyaniline Composite as Electrode Material for Supercapacitor Devices. Journal of Metals, Materials and Minerals, 33, Article No. 1675. [Google Scholar] [CrossRef
[25] Li, Y., Tan, Z., Liang, Y., Xiao, Y., Cen, D., Liu, Y., et al. (2021) Amine-Functionalized Carbon Cloth Host for Dendrite-Free Zn Metal Anodes. ACS Applied Energy Materials, 4, 4482-4488. [Google Scholar] [CrossRef
[26] Shi, H., Yue, M., Zhang, C.J., Dong, Y., Lu, P., Zheng, S., et al. (2020) 3D Flexible, Conductive, and Recyclable Ti3C2Tx MXene-Melamine Foam for High-Areal-Capacity and Long-Lifetime Alkali-Metal Anode. ACS Nano, 14, 8678-8688. [Google Scholar] [CrossRef] [PubMed]
[27] Abdel Maksoud, M.I.A., Fahim, R.A., Shalan, A.E., Abd Elkodous, M., Olojede, S.O., Osman, A.I., et al. (2020) Advanced Materials and Technologies for Supercapacitors Used in Energy Conversion and Storage: A Review. Environmental Chemistry Letters, 19, 375-439. [Google Scholar] [CrossRef
[28] Gul, H., Shah, A.A. and Bilal, S. (2019) Achieving Ultrahigh Cycling Stability and Extended Potential Window for Supercapacitors through Asymmetric Combination of Conductive Polymer Nanocomposite and Activated Carbon. Polymers, 11, Article No. 1678. [Google Scholar] [CrossRef] [PubMed]
[29] Li, Y., Zhou, B., Shen, Y., He, C., Wang, B., Liu, C., et al. (2021) Scalable Manufacturing of Flexible, Durable Ti3C2Tx Mxene/Polyvinylidene Fluoride Film for Multifunctional Electromagnetic Interference Shielding and Electro/Photo-Thermal Conversion Applications. Composites Part B: Engineering, 217, Article ID: 108902. [Google Scholar] [CrossRef
[30] Prabhakar Vattikuti, S.V., Shim, J., Rosaiah, P., Mauger, A. and Julien, C.M. (2023) Recent Advances and Strategies in MXene-Based Electrodes for Supercapacitors: Applications, Challenges and Future Prospects. Nanomaterials, 14, Article No. 62. [Google Scholar] [CrossRef] [PubMed]
[31] Ampong, D.N., Agyekum, E., Agyemang, F.O., Mensah-Darkwa, K., Andrews, A., Kumar, A., et al. (2023) MXene: Fundamentals to Applications in Electrochemical Energy Storage. Discover Nano, 18, Article No. 3. [Google Scholar] [CrossRef] [PubMed]