基于分数低频振幅初步探索维生素D减少对 注意力缺陷多动障碍儿童脑功能影响的神经 机制
Preliminary Exploration of the Neurological Mechanism Underlying Vitamin D’s Mitigation of Brain Function Effects in Children with Attention Deficit Hyperactivity Disorder Based on Fractional Amplitude of Low-Frequency Fluctuation
DOI: 10.12677/acm.2026.1631054, PDF, HTML, XML,    科研立项经费支持
作者: 杨风清:扬州大学医学部,江苏 扬州;赵 义*, 王 苇:扬州大学医学部,江苏 扬州;扬州大学附属医院影像科,江苏 扬州;陈敏华:扬州大学附属医院儿童保健科,江苏 扬州
关键词: 注意力缺陷多动障碍儿童维生素D静息态功能磁共振成像分数低频波动幅度Attention Deficit Hyperactivity Disorder Children Vitamin D Resting-State Functional Magnetic Resonance Imaging Fractional Low-Frequency Oscillation Amplitude
摘要: 目的:应用分数低频振幅(fractional Amplitude of Low-Frequency Fluctuation, fALFF)技术,探索维生素D减少的注意力缺陷多动障碍(attention deficit hyperactivity disorder, ADHD)儿童静息态脑功能活动的影像学特征及其与临床症状的关联。材料与方法:本研究前瞻性纳入48例于我院初诊为ADHD的儿童,依据血清维生素D水平将其分为减少组(n = 29)与正常组(n = 19)。收集所有患儿的一般临床资料及行为量表评估结果,并行静息态功能磁共振成像扫描。采用fALFF方法评估局部脑活动强度,并进行组间比较;进一步提取差异脑区的平均fALFF信号,将其与整体维生素D水平及临床量表评分进行相关性分析。结果:组间比较发现,维生素D减少组ADHD患儿在一个以左侧背侧前扣带回/辅助运动区为中心,并主要涵盖左侧额上回及内侧前额叶的脑区(体素水平P < 0.005,团块水平P < 0.05,高斯随机场校正),其fALFF值显著降低。相关性分析显示,该差异脑区的平均fALFF值与整体维生素D水平呈正相关(r = 0.523, P < 0.001),与Achenbach儿童行为量表(Child Behavior Checklist, CBCL)量表中多动(r = −0.392, P = 0.035)、强迫行为(r = −0.390, P = 0.037)、总分(r = −0.421, P = 0.023)及康纳斯儿童行为量表(父母版) (Conners’ Parent Symptom Questionnaire, PSQ)中品行问题(r = −0.462, P = 0.012)与学习问题(r = −0.574, P = 0.001)评分均呈负相关。结论:本研究结果表明,维生素D减少的ADHD儿童在涉及认知控制与行为调节的关键脑区存在自发神经活动异常,且该异常与更严重的临床症状显著相关。这些发现提示,维生素D状态与ADHD儿童的脑功能及临床症状存在关联,为未来深入研究提供了新的影像学线索。
Abstract: Objective: To investigate the imaging characteristics of resting-state brain activity in children with attention deficit hyperactivity disorder (ADHD) who exhibit reduced vitamin D levels using fractional amplitude of low-frequency fluctuation (fALFF) technology, and to explore its association with clinical symptoms. Materials and Methods: This prospective study enrolled 48 children newly diagnosed with ADHD at our hospital. Participants were divided into a hypovitaminosis D group (n = 29) and a normal group (n = 19) based on serum vitamin D levels. General clinical data and behavioral assessment scores were collected for all children, who also underwent resting-state functional magnetic resonance imaging (fMRI) scans. The fALFF method was used to assess regional brain activity intensity, with intergroup comparisons conducted. Average fALFF signals from differentially active brain regions were extracted and correlated with overall vitamin D levels and clinical scale scores. Results Intergroup comparisons revealed significantly reduced fALFF values in ADHD children with vitamin D deficiency within a brain region centered on the left dorsal anterior cingulate cortex/supplementary motor area and primarily encompassing the left superior frontal gyrus and medial prefrontal cortex (voxel-level P < 0.005, cluster-level P < 0.05, Gaussian random field correction). Correlation analysis revealed that the mean fALFF value in this distinct brain region positively correlated with overall vitamin D levels (r = 0.523, P < 0.001) and negatively correlated with hyperactivity (r = −0.392, P = 0.035), compulsive behaviors (r = −0.390, P = 0.037), total scores (r = −0.421, P = 0.023), and negatively correlated with conduct problems (r = −0.462, P = 0.012) and learning problems (r = −0.574, P = 0.001) scores on the Conners’ Parent Symptom Questionnaire (PSQ). Conclusion: These findings indicate that children with ADHD and reduced vitamin D levels exhibit abnormal spontaneous neural activity in key brain regions involved in cognitive control and behavioral regulation. This abnormality correlates significantly with more severe clinical symptoms. These discoveries suggest an association between vitamin D status and both brain function and clinical symptoms in children with ADHD, providing novel imaging clues for future in-depth research.
文章引用:杨风清, 赵义, 陈敏华, 王苇. 基于分数低频振幅初步探索维生素D减少对 注意力缺陷多动障碍儿童脑功能影响的神经 机制[J]. 临床医学进展, 2026, 16(3): 2545-2556. https://doi.org/10.12677/acm.2026.1631054

1. 引言

注意力缺陷多动障碍(attention deficit hyperactivity disorder, ADHD)是儿童期最常见的神经发育障碍性疾病[1],主要表现为注意力不集中、多动和冲动行为。流行学数据显示,我国儿童及青少年ADHD患病率为6.4% [2],并且保持着持续上升趋势[3]。ADHD患儿常在学业、社会适应及心理适应等多方面表现出功能损害,不仅严重影响其个人发展,亦对家庭与社会造成显著负担,并且这种负担会一直持续到成年阶段[4]。目前,ADHD的病因与发病机制尚未完全阐明,但越来越多的研究表明,多巴胺能系统功能失调在其神经生物学机制中具有关键作用[5]

维生素D作为一种脂溶性类固醇激素,除调节钙磷代谢外,还在大脑稳态维持、神经发育及神经保护中发挥重要功能。近年来研究进一步揭示,维生素D可作为多巴胺能神经元的有效调节因子[6],通过调控多巴胺能神经元的增殖、分化及功能状态,参与多种神经精神疾病的病理进程[7]。临床观察发现,相比于正常儿童,ADHD患儿的血清维生素D水平显著降低,并且随着血清维生素D水平减低,患ADHD的风险增加[8]。此外,有纵向干预研究显示,补充维生素D可以使ADHD患儿的症状得到明显改善[9]。尽管上述临床证据提示维生素D与ADHD之间存在密切联系;但是,现有研究多基于行为量表评估,其在脑功能层面的作用机制仍不清楚。

静息态功能磁共振成像(resting-state functional magnetic resonance imaging, rs-fMRI)作为一种无创性神经影像技术,能够通过血氧水平依赖(BOLD)信号捕捉大脑在静息状态下的自发神经活动。分数低频振幅(fractional Amplitude of Low-Frequency Fluctuation, fALFF)作为其中一种指标,可有效降低生理噪声干扰,更为准确地反映大脑内在活动水平[10],已被广泛应用于ADHD脑功能机制的研究中,是一种相对成熟的脑功能分析方法[11]。既往研究发现,与正常发育儿童相比,ADHD患儿存在广泛分布的fALFF异常模式[12]。吕玲玲等[13]通过fALFF技术探索了维生素D对帕金森患者神经网络功能的影响,他们发现,低水平的维生素D水平会导致帕金森患者默认模式网络(DMN)和视觉通路神经元自发活动异常,提示维生素D对神经活动具有调控作用。然而,目前尚缺乏针对ADHD儿童维生素D水平与脑功能活动之间关系的影像学研究。因此,本研究采用横断面设计,旨在通过采用rs-fMRI技术,初步分析维生素D减少与ADHD儿童大脑自发神经活动特征之间的关联。并进一步分析其与临床表现之间的相关性。研究结果有望从影像学层面理解维生素D状态与ADHD脑功能的联系提供初步证据,并为未来临床干预策略的制定提供一定理论依据。

2. 材料与方法

2.1. 研究对象

本研究遵守《赫尔辛基宣言》,经扬州大学附属医院伦理委员会的批准,批准文号:2025-YKL04-(K05),患儿监护人均签署知情同意书。本研究前瞻性纳入2025年4月至2025年8月期间于扬州大学附属医院儿童发育行为保健科首次确诊为ADHD的儿童48例。纳入标准:(1) 年龄6~12岁,右利手,汉族;(2) 符合《精神障碍诊断与统计手册》第五版(DSM-5) ADHD诊断标准;(3) 属初诊病例,未接受过任何ADHD相关药物治疗或系统心理干预;(4) 无惊厥史及其他精神疾病史。排除标准:(1) 存在局灶性或弥漫性脑内结构异常;(2) 既往曾接受ADHD相关药物或非药物治疗;(3) 合并其他精神共病或神经发育障碍。根据《中国儿童维生素A、维生素D临床应用专家共识》,将维生素D营养状况分为以下三类:正常:血清25(OH)D水平 ≥ 20 ng/mL;不足:血清25(OH)D水平在12~20 ng/mL之间;缺乏:血清25-(OH)D水平 < 12 ng/mL。我们以此为依据将所收集到的ADHD儿童按照血清维生素D水平分为维生素D减少组(血清25-(OH)D水平 < 20 ng/mL),和维生素D正常组(血清25(OH)D水平 ≥ 20 ng/mL)。最终纳入维生素D减少组的儿童为29例,维生素D非缺乏组为19例。收集的基本资料包括年龄、性别、体质指数(BMI)、利手及维生素D水平。

2.2. 神经心理学评估

除了基本资料外,我们还采用SNAP-Ⅳ评定量表(the Swanson, Nolan, and Pelham Ⅳ Scale, SNAP-Ⅳ)、Achenbach儿童行为量表(Child Behavior Checklist, CBCL)、康纳斯儿童行为量表(父母版) (Conners’ Parent Symptom Questionnaire, PSQ)全面评估ADHD儿童相关行为症状。同时,通过视听整合连续测试系统将儿童的注意力及冲动–多动行为转化为客观量化指标。所有评估均由一名具有20年临床经验的儿童发育行为保健科医生完成。

2.3. 血清维生素D检测

所有受试者在磁共振扫描前禁食至少8小时,于次日清晨采集外周静脉血样本。血清25-(OH)D浓度由扬州大学附属医院检验科统一测定。

2.4. 影像数据采集

所有受试者都接受了MRI扫描。结构和功能MR图像由扬州大学附属医院影像科3.0T扫描仪(GE Discovery MR750w 3.0 T)获得。在扫描过程中,使用泡沫和耳塞来尽量减少头部运动和扫描仪噪音。所有受试者被要求保持闭眼、清醒、放松状态,尽量避免系统性思维及身体活动。功能像采集参数如下:层数:38层;重复时间(TR):2000毫秒;回波时间(TE):35毫秒;翻转角(FA):90˚;视野(FOV) 240 × 240 mm2;体素大小为3.75 mm × 3.75 mm × 3.6 mm。高分辨率T1加权解剖图像通过三维快速自旋回波和扩展回波序列采集,在矢状方向获得。具体参数如下:TR:800 ms, TE:11.33 ms, FA:90˚;FOV:256 × 256 mm2;以及体素尺寸:1 mm × 1 mm × 1 mm;共344层。

2.5. 图像预处理

静息态功能磁共振数据预处理使用静息态fMRI数据处理助手(DPARSF, http://rfmri.org/DPARSF)进行。具体步骤包括:(1) 去除前10个时间点以消除信号不稳定性;(2) 进行时间层校正与头动校正,排除了运动的平均帧向位移(FD)大于平均值 + 2SD的受试者[14],阈值为0.5 mm。FD由简金森的相对均方根算法得出。对于48个数据集,平均FD为0.156 mm,标准偏差(SD)为0.125 mm。根据双样本t检验,两组之间的平均FD没有显著差异(P = 0.278);(3) 空间标准化:将图像配准至蒙特利尔神经研究所(Montreal Neurological Institute, MNI)标准空间(重采样体素大小为3 mm × 3 mm × 3 mm),以排除不同被试大脑间的个体差异;(4) 使用6 mm半高全宽高斯核进行空间平滑;(5) 回归Friston 24头动参数、脑脊液及白质信号等协变量。

2.6. fALFF计算

在静息态fMRI预处理后,使用静息态fMRI数据处理助手(DPARSF)计算fALFF,以测量区域自发脑活动。使用快速傅里叶变换(Fast Fourier Transform, FFT)将每个体素的时间序列转换成频域,通过将典型低频范围(0.01~0.08 Hz)中的振幅之和除以全频率范围(0~0.25 Hz)中的振幅之和得到fALFF值。最终对所有fALFF图进行z值标准化以便后续统计比较。

2.7. 统计分析

使用SPSS 29.0对人口统计学与临床数据进行组间比较:分类变量采用卡方检验,符合正态分布的连续变量采用独立样本t检验,非正态分布变量采用Mann-Whitney U检验。脑影像统计分析采用两样本t检验比较组间fALFF差异,阈值设定为体素水平P < 0.005,聚类水平P < 0.05 (GRF校正)。对存在显著组间差异的脑区,分别提取其平均fALFF值,与神经心理学量表评分进行相关性分析:为了全面探索维生素D水平与脑功能的关系,我们还将所提取的fALFF值与所有患儿维生素D水平进行了相关性分析。符合正态分布者使用Pearson相关性分析,非正态分布者使用Spearman相关性分析,显著性水平设为P < 0.05。

3. 结果

3.1. 人口学统计结果

维生素D减少组与正常组在年龄、性别、BMI及FD等一般资料分布差异无统计学意义(P > 0.05),减少组维生素D水平明显低于正常组(P < 0.05),人口统计数据具体参见表1

Table 1. Comparison of demographic data

1. 维生素D减少组与正常组一般资料比较

项目

维生素减少组

(n = 29)

维生素正常组

(n = 19)

统计量

P

性别(男/女),例

24/5

15/4

0.109

0.741

年龄,岁

8.60 ± 1.37

8.96 ± 1.39

−0.883

0.382

BMI, kg∙m2

16.73 (15.26, 18.64)

16.12 (14.83, 17.96)

−0.485

0.628

维生素D,ng∙mL1

13.70 (9.78, 17.96)

23.03 (21.67, 27.75)

−5.808

<0.001

FD, mm

0.13 (0.06, 0.17)

0.13 (0.08, 0.23)

−1.086

0.278

注:χ2值;t值;Z值。BMI为身体质量指数;FD为平均帧向位移。

3.2. 神经心理学评估结果

维生素D减少组与正常组的ADHD儿童在临床量表的评估中的差异均无统计学意义(P均>0.05)。

3.3. fALFF结果分析

全脑分析发现,维生素D减少组在一个以左侧背侧前扣带回/辅助运动区为中心的脑区表现出显著的fALFF值减低(团块大小 = 69个体素,峰值点MNI:−15, 3, 48)。该差异团块主要覆盖了左侧额上回、内侧前额叶及前扣带回(体素水平P < 0.005,团块水平P < 0.05,GRF校正)。结果见表2图1

Table 2. Brain regions with reduced fALFF values in the vitamin D-deficient group compared to the normal group

2. 维生素D减少组较正常组fALFF值减低的脑区

脑区

峰值坐标(x, y, z)

体素数量(k)

峰值强度(T值)

左侧背侧前扣带回/辅助运动区

−15, 3, 48

69

−5.26

左侧额上回(AAL)

左侧内侧额叶

左侧前扣带回

Figure 1. fALFF analysis results comparing the vitamin D-deficient group with the control group. Note: Blue regions indicate brain areas with reduced fALFF in the vitamin D-deficient group. fALFF: Fractional Amplitude of Low-Frequency Fluctuation

1. 维生素D减少组与正常组fALFF分析结果图。注:蓝色区域:维生素D减少组fALFF减低的脑区。fALFF:分数低频振幅

3.4. 维生素D水平与差异脑区fALFF值的相关性分析

对所有48例ADHD患儿的分析显示,血清25(OH)D水平与差异脑区的平均fALFF值呈显著正相关(r = 0.523, P < 0.001)。结果见图2

Figure 2. Correlation analysis between vitamin D levels and fALFF values of the differential mass in all pediatric patients

2. 所有患儿维生素D水平与差异团块fALFF值相关性分析。 fALFF:分数低频振幅

3.5. fALFF值与临床量表相关性分析

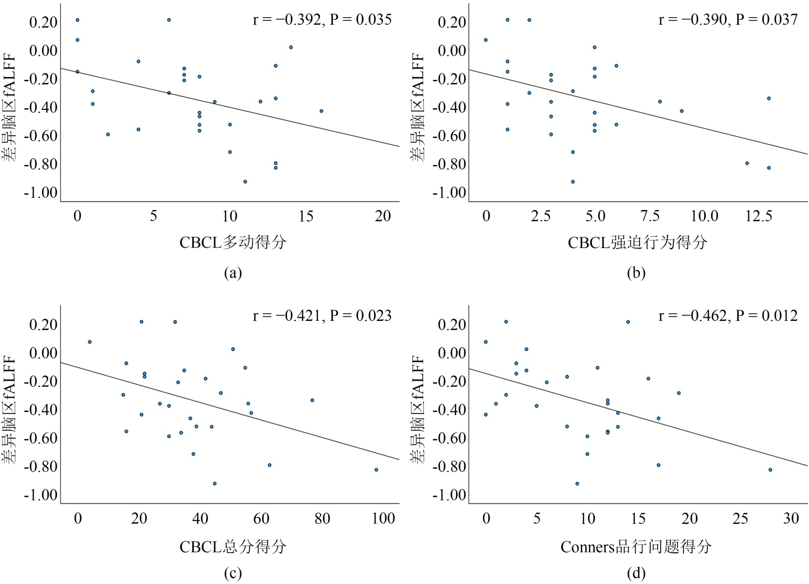
Pearson相关性分析显示,维生素D减少组差异脑区的fALFF值与CBCL量表中多动(r = −0.392, P = 0.035)及总分(r = −0.421, P = 0.023)呈负相关,与Conners品行问题(r = −0.462, P = 0.012)及学习问题( r= −0.574, P = 0.001)得分呈负相关;Spearman相关分析表明,该fALFF值与维生素D减少组的CBCL量表中的强迫行为(r = −0.390, P = 0.037)得分呈负相关。结果见图3

Figure 3. Correlation analysis between fALFF values of differential clusters in the vitamin D-depleted group and CBCL and Conners scales. Note: (a)~(c): fALFF values of differential clusters showed negative correlations with CBCL hyperactivity scores, compulsive behavior scores, and total scores. (d), (e): fALFF values in the differential cluster showed negative correlations with the Conners Conduct Problems score and Learning Problems score. fALFF: Fractional Amplitude of Low Frequency Fluctuations. CBCL: Achenbach Child Behavior Checklist. Conners: Conners’ Children’s Behavior Questionnaire (Parent Version)

3. 维生素D减少组差异团块fALFF值与CBCL量表和Conners量表之间的相关性分析。注:(a)~(c):差异团块fALFF值与CBCL量表中多动评分、强迫行为评分及总分呈负相关。(d), (e):差异团块fALFF值与Conners品行问题评分及学习问题评分呈负相关。fALFF:分数低频振幅。CBCL:Achenbach儿童行为量表。Conners:Conners儿童行为问卷(父母版)

4. 讨论

本研究首次采用fALFF分析血清25-(OH)D水平与ADHD儿童脑自发神经活动特征的关联,并分析其与临床症状严重程度之间的相关性。结果显示,血清25-(OH)D减少的ADHD儿童在左侧额上回、内侧前额叶及前扣带回表现出fALFF值的显著降低;这些脑区均属于前额叶–扣带回认知控制网络的关键节点,该网络在调控工作记忆、执行功能[15]及注意力[16]等高级认知功能中具有重要作用。进一步相关分析发现,差异脑区fALFF值与整体维生素D水平呈正相关,与CBCL量表中的多动、强迫行为、总分以及Conners量表中的品行问题、学习问题评分均呈负相关。这些相关性发现为从神经营养与脑功能影像交叉视角探索ADHD的病理生理关联因素提供了新的线索。值得注意的是,在全体患儿中观察到的维生素D水平与差异脑区fALFF值的显著正相关,与组间比较结果在逻辑上高度一致。这一连续性与分类性证据的相互印证,共同强化了维生素D状态与ADHD儿童前额叶–扣带回网络功能存在密切相关的结论。

4.1. 维生素D减少相关的脑功能改变及其临床关联

本研究发现,维生素D减少的ADHD儿童在左侧额上回及前扣带回表现出fALFF信号降低。值得注意的是,作为另一种常见的神经发育障碍,孤独症谱系障碍(autism spectrum disorder, ASD)与ADHD在遗传背景、临床表现及疾病演进方面存在诸多重叠之处[17]。蒲田等[18]研究发现,维生素D缺乏的ASD儿童同样存在左侧额上回及扣带回脑功能活动下降,与本研究结果一致。然而,吕玲玲等[13]研究发现,维生素D缺乏的帕金森患者在左侧额上回表现为fALFF值升高,这与本研究结果相反;ADHD是典型的神经发育障碍,核心问题在于关键脑区在发育关键期的成熟延迟或功能低下[19]。维生素D缺乏可能通过神经支持、突触可塑性,加剧了这种与发育相关的低功能状态[7]。生命早期的神经发育异常,而帕金森病则是中老年期的神经退行性病变[20],其主要病理是黑质多巴胺能神经元的进行性丧失,在疾病早期,剩余神经元或相关神经网络可能启动代偿机制,以部分抵消功能缺失,从而在静息态下表现为局部活动的相对增高[21] [22]。二者在发病时序、疾病性质与神经可塑性方向上的不同,可能是导致结果差异的主要原因。

额上回与内侧前额叶作为前额叶皮层(prefrontal cortex, PFC)的重要组成部分,在认知控制、执行功能、情绪与社会行为调节中起着至关重要的作用[23]。发育神经生物学研究表明,在啮齿–灵长类动物中,感觉与运动皮层在出生后迅速成熟并固化,而前额叶皮层则表现出更长的发育窗口与更高的可塑性,这一特征可能与神经发育障碍的易感性有关[24] [25]。多巴胺系统作为行为调控的核心神经递质系统,同样呈现出晚期发育特征。通过中脑–皮质多巴胺通路,前额叶接受来自腹侧被盖区多巴胺能神经元的直接投射,参与调控前额叶皮层的长时程可塑性[26] [27]。有研究利用近红外光谱(Near-infrared spectroscopy, NIRS)来检测不同年龄段ADHD儿童前额叶皮层的功能,结果显示患有ADHD的儿童,其前额叶皮层的功能会随着年龄增长而发生变化[28];提示ADHD患者前额叶发育过程中存在不稳定性。综上,我们推测多巴胺系统在前额叶成熟过程中发挥重要的调控作用。基于先前的文献,我们提出一个可供检验的假设:维生素D水平降低可能与多巴胺能功能改变有关联,这可能进一步与前额叶皮层的发育特征相关。本研究中维生素D减少的ADHD儿童左侧额上回及内侧前额叶fALFF降低,可能反映了维生素D状态与前额叶皮层功能活动之间的关联。

本研究结果显示,维生素D减少组与正常组ADHD患儿在临床量表的评分上未见显著差异;然而,在维生素D减少组内,差异脑区fALFF值与CBCL量表中多动、强迫行为、总分及Conners品行问题及学习问题得分呈负相关。这一结果可能源于:fALFF作为神经活动指标,其对功能细微变化的敏感性高于行为量表,并且从统计方法层面及ADHD临床异质性考虑,独立样本t检验主要用于识别组间均值差异,而本研究所有被试均为ADHD患儿,群体内部存在较高的临床表现异质性[29],可能掩盖组间行为学差异。而组内相关分析则揭示了脑功能指标与行为维度之间的协同变化关系,即fALFF值越低,临床症状越严重。

额上回、内侧前额叶及扣带回作为认知控制网络(Cognitive Control Network, CCN)与默认模式网络(default mode network, DMN)的关键节点,参与多种认知、执行及运动控制任务[30]。其功能异常可能导致运动抑制能力下降,进而表现为多动与强迫行为[31]。执行功能可以促进新的行为产生,优化对新鲜事件的处理方法[32],其障碍可导致计划、组织与冲动控制能力下降,导致个体难以遵守规则和规范。情绪调节缺陷在ADHD儿童和成年人中始终是常见问题,而前额叶功能受损可能会导致情绪调节失衡与注意力维持困难[33]。情绪调节失衡和抑制冲动能力的下降,都有可能导致品行问题的产生。本研究中差异脑区fALFF值与多项评分呈负相关,提示该脑区功能低下与ADHD临床症状加重密切相关,这些关联性结果支持维生素D状态是ADHD神经发育研究中一个值得关注的关联因素。

4.2. 局限性

本研究存在一定的局限性。首先,纳入患儿人数较少,限制了我们对患者群体更细致的划分,而且可能存在统计效能不足的问题,未来的研究需要纳入更多的参与者来验证这一结果的稳定性,并进一步分析维生素D减少对不同年龄段ADHD患者脑功能的影响。其次,本研究缺乏年龄、性别匹配的健康儿童作为对照组,未来我们将积极纳入健康儿童,以区分ADHD患儿特异性脑功能改变与维生素D的相关性;再次,本研究未区分ADHD患者的性别,未来的研究需要进一步探讨不同性别ADHD患儿维生素D减少对脑功能的影响。最后,本研究是一项横断面研究,我们无法确立维生素D缺乏与ADHD儿童脑功能改变之间的因果关系,因此在未来的研究中需要纵向数据来证实和补充目前的研究结果。

5. 结论

综上所述,本研究基于静息态功能磁共振成像技术,通过fALFF分析方法,发现维生素D减少的ADHD儿童在涉及认知控制与行为调节的关键脑区存在自发性神经活动减弱。且该差异脑区功能强度与多动、学习问题等核心临床症状呈负相关。这些发现不仅深化了对维生素D状态与ADHD脑功能关联的理解,也从影像学层面为探索其神经关联提供了新证据,未来可能为探索相关干预策略奠定了一定的理论基础。

作者贡献声明

赵义设计本研究的方案,对稿件重要内容进行了修改;杨风清起草和撰写稿件,获取、分析和解释本研究的数据;陈敏华,王苇参与选题与设计,在实验数据采集和统计分析等方面做了贡献,并对稿件的重要内容进行了修改;赵义、王苇获得了扬州市“十三五”科教强卫工程重点学科资助项目支持;全体作者都同意发表最后的修改稿,同意对本研究的所有方面负责,确保本研究的准确性和诚信度。

基金项目

扬州市“十三五”科教强卫工程重点学科资助项目(编号:ZDXK201806)。

NOTES

*通讯作者。

参考文献

[1] Sonuga‐Barke, E.J.S., Becker, S.P., Bölte, S., Castellanos, F.X., Franke, B., Newcorn, J.H., et al. (2022) Annual Research Review: Perspectives on Progress in ADHD Science—From Characterization to Cause. Journal of Child Psychology and Psychiatry, 64, 506-532. [Google Scholar] [CrossRef] [PubMed]
[2] Liu, J., Jiang, Z., Li, F., Zheng, Y., Cui, Y., Xu, H., et al. (2025) Prevalence and Comorbidity of Attention Deficit Hyperactivity Disorder in Chinese School-Attending Students Aged 6-16: A National Survey. Annals of General Psychiatry, 24, Article No. 23. [Google Scholar] [CrossRef] [PubMed]
[3] Li, N., Zhao, J. and Zhou, F. (2025) The Burden of Attention Deficit Hyperactivity Disorder and Incidence Rate Forecast in China from 1990 to 2021. Frontiers in Psychiatry, 16, Article 1532156. [Google Scholar] [CrossRef] [PubMed]
[4] Cherkasova, M.V., Roy, A., Molina, B.S.G., Scott, G., Weiss, G., Barkley, R.A., et al. (2022) Review: Adult Outcome as Seen through Controlled Prospective Follow-Up Studies of Children with Attention-Deficit/Hyperactivity Disorder Followed into Adulthood. Journal of the American Academy of Child & Adolescent Psychiatry, 61, 378-391. [Google Scholar] [CrossRef] [PubMed]
[5] Kanarik, M., Grimm, O., Mota, N.R., Reif, A. and Harro, J. (2022) ADHD Co-Morbidities: A Review of Implication of Gene × Environment Effects with Dopamine-Related Genes. Neuroscience & Biobehavioral Reviews, 139, Article ID: 104757. [Google Scholar] [CrossRef] [PubMed]
[6] Pertile, R.A.N., Brigden, R., Raman, V., Cui, X., Du, Z. and Eyles, D. (2023) Vitamin D: A Potent Regulator of Dopaminergic Neuron Differentiation and Function. Journal of Neurochemistry, 166, 779-789. [Google Scholar] [CrossRef] [PubMed]
[7] Sailike, B., Onzhanova, Z., Akbay, B., Tokay, T. and Molnár, F. (2024) Vitamin D in Central Nervous System: Implications for Neurological Disorders. International Journal of Molecular Sciences, 25, Article 7809. [Google Scholar] [CrossRef] [PubMed]
[8] Kotsi, E., Kotsi, E. and Perrea, D.N. (2018) Vitamin D Levels in Children and Adolescents with Attention-Deficit Hyperactivity Disorder (ADHD): A Meta-Analysis. ADHD Attention Deficit and Hyperactivity Disorders, 11, 221-232. [Google Scholar] [CrossRef] [PubMed]
[9] Dehbokri, N., Noorazar, G., Ghaffari, A., Mehdizadeh, G., Sarbakhsh, P. and Ghaffary, S. (2018) Effect of Vitamin D Treatment in Children with Attention-Deficit Hyperactivity Disorder. World Journal of Pediatrics, 15, 78-84. [Google Scholar] [CrossRef] [PubMed]
[10] Zou, Q., Zhu, C., Yang, Y., Zuo, X., Long, X., Cao, Q., et al. (2008) An Improved Approach to Detection of Amplitude of Low-Frequency Fluctuation (ALFF) for Resting-State fMRI: Fractional Alff. Journal of Neuroscience Methods, 172, 137-141. [Google Scholar] [CrossRef] [PubMed]
[11] Feng, Y., Zhi, D., Zhu, Y., Guo, X., Luo, X., Dang, C., et al. (2023) Symptom-guided Multimodal Neuroimage Fusion Patterns in Children with Attention-Deficit/Hyperactivity Disorder and Its Potential “Brain Structure-Function-Cognition-Behavior” Pathological Pathways. European Child & Adolescent Psychiatry, 33, 2141-2152. [Google Scholar] [CrossRef] [PubMed]
[12] Shu, Y., Zhang, Q., Li, D., Liu, J., Wang, X., He, Q., et al. (2025) Vulnerable Brain Regions in Adolescent Attention Deficit Hyperactivity Disorder: An Activation Likelihood Estimation Meta-analysis. World Journal of Psychiatry, 15, Article ID: 102215. [Google Scholar] [CrossRef] [PubMed]
[13] Lv, L., Zhang, H., Tan, X., Qin, L., Peng, X., Bai, R., et al. (2021) Assessing the Effects of Vitamin D on Neural Network Function in Patients with Parkinson’s Disease by Measuring the Fraction Amplitude of Low-Frequency Fluctuation. Frontiers in Aging Neuroscience, 13, Article 763947. [Google Scholar] [CrossRef] [PubMed]
[14] Yan, C., Craddock, R.C., Zuo, X., Zang, Y. and Milham, M.P. (2013) Standardizing the Intrinsic Brain: Towards Robust Measurement of Inter-Individual Variation in 1000 Functional Connectomes. NeuroImage, 80, 246-262. [Google Scholar] [CrossRef] [PubMed]
[15] Hai, T., Swansburg, R., Kahl, C.K., Frank, H., Stone, K., Lemay, J., et al. (2022) Right Superior Frontal Gyrus Cortical Thickness in Pediatric ADHD. Journal of Attention Disorders, 26, 1895-1906. [Google Scholar] [CrossRef] [PubMed]
[16] Huang, Q., Hou, L., Zhang, W. and Zhou, R. (2022) The Dysregulation of Top-Down Control in Individuals with High Test Anxiety: A Resting State fMRI Study. Journal of Psychiatric Research, 151, 649-656. [Google Scholar] [CrossRef] [PubMed]
[17] Miller, M., Austin, S., Iosif, A., de la Paz, L., Chuang, A., Hatch, B., et al. (2020) Shared and Distinct Developmental Pathways to ASD and ADHD Phenotypes among Infants at Familial Risk. Development and Psychopathology, 32, 1323-1334. [Google Scholar] [CrossRef] [PubMed]
[18] Tian, P., Zhu, X., Liu, Z., Bian, B., Jia, F., Dou, L., et al. (2025) Effects of Vitamin D on Brain Function in Preschool Children with Autism Spectrum Disorder: A Resting-State Functional MRI Study. BMC Psychiatry, 25, Article No. 198. [Google Scholar] [CrossRef] [PubMed]
[19] Shaw, P., Eckstrand, K., Sharp, W., Blumenthal, J., Lerch, J.P., Greenstein, D., et al. (2007) Attention-Deficit/Hyperactivity Disorder Is Characterized by a Delay in Cortical Maturation. Proceedings of the National Academy of Sciences of the United States of America, 104, 19649-19654. [Google Scholar] [CrossRef] [PubMed]
[20] Vázquez-Vélez, G.E. and Zoghbi, H.Y. (2021) Parkinson’s Disease Genetics and Pathophysiology. Annual Review of Neuroscience, 44, 87-108. [Google Scholar] [CrossRef] [PubMed]
[21] Poston, K.L., YorkWilliams, S., Zhang, K., Cai, W., Everling, D., Tayim, F.M., et al. (2016) Compensatory Neural Mechanisms in Cognitively Unimpaired Parkinson Disease. Annals of Neurology, 79, 448-463. [Google Scholar] [CrossRef] [PubMed]
[22] Mole, J.P., Subramanian, L., Bracht, T., Morris, H., Metzler-Baddeley, C. and Linden, D.E.J. (2016) Increased Fractional Anisotropy in the Motor Tracts of Parkinson’s Disease Suggests Compensatory Neuroplasticity or Selective Neurodegeneration. European Radiology, 26, 3327-3335. [Google Scholar] [CrossRef] [PubMed]
[23] Friedman, N.P. and Robbins, T.W. (2021) The Role of Prefrontal Cortex in Cognitive Control and Executive Function. Neuropsychopharmacology, 47, 72-89. [Google Scholar] [CrossRef] [PubMed]
[24] Chen, X., Kim, Y. and Kawaguchi, D. (2025) Development of the Rodent Prefrontal Cortex: Circuit Formation, Plasticity, and Impacts of Early Life Stress. Frontiers in Neural Circuits, 19, Article 1568610. [Google Scholar] [CrossRef] [PubMed]
[25] Guirado, R., Perez-Rando, M., Ferragud, A., Gutierrez-Castellanos, N., Umemori, J., Carceller, H., et al. (2020) A Critical Period for Prefrontal Network Configurations Underlying Psychiatric Disorders and Addiction. Frontiers in Behavioral Neuroscience, 14, Article 51. [Google Scholar] [CrossRef] [PubMed]
[26] Sheynikhovich, D., Otani, S., Bai, J. and Arleo, A. (2023) Long-Term Memory, Synaptic Plasticity and Dopamine in Rodent Medial Prefrontal Cortex: Role in Executive Functions. Frontiers in Behavioral Neuroscience, 16, Article 1068271. [Google Scholar] [CrossRef] [PubMed]
[27] Peters, K.Z. and Naneix, F. (2022) The Role of Dopamine and Endocannabinoid Systems in Prefrontal Cortex Development: Adolescence as a Critical Period. Frontiers in Neural Circuits, 16, Article 939235. [Google Scholar] [CrossRef] [PubMed]
[28] Yasumura, A., Omori, M., Fukuda, A., Takahashi, J., Yasumura, Y., Nakagawa, E., et al. (2019) Age-Related Differences in Frontal Lobe Function in Children with ADHD. Brain and Development, 41, 577-586. [Google Scholar] [CrossRef] [PubMed]
[29] Martel, M.M. (2013) Individual Differences in Attention Deficit Hyperactivity Disorder Symptoms and Associated Executive Dysfunction and Traits: Sex, Ethnicity, and Family Income. American Journal of Orthopsychiatry, 83, 165-175. [Google Scholar] [CrossRef] [PubMed]
[30] Li, W., Qin, W., Liu, H., Fan, L., Wang, J., Jiang, T., et al. (2013) Subregions of the Human Superior Frontal Gyrus and Their Connections. NeuroImage, 78, 46-58. [Google Scholar] [CrossRef] [PubMed]
[31] Rubia, K., Overmeyer, S., Taylor, E., Brammer, M., Williams, S.C.R., Simmons, A., et al. (1999) Hypofrontality in Attention Deficit Hyperactivity Disorder during Higher-Order Motor Control: A Study with Functional MRI. American Journal of Psychiatry, 156, 891-896. [Google Scholar] [CrossRef] [PubMed]
[32] 杜亚松, 曹阳, 江文庆. 注意缺陷多动障碍儿童的执行功能[J]. 中国儿童保健杂志, 2019, 27(5): 465-468, 472.
[33] Wang, Y., Ma, L., Wang, J., Ding, Y., Men, W., Tan, S., et al. (2025) Connections between the Middle Frontal Gyrus and the Dorsoventral Attention Network Are Associated with the Development of Attentional Symptoms. Biological Psychiatry, 97, 531-539. [Google Scholar] [CrossRef] [PubMed]