高压下InMgI3的机械、电子和光学性质的第一性原理研究
First-Principles Study of Mechanical, Electronic and Optical Properties of InMgI3 under High Pressure
DOI: 10.12677/cmp.2025.144004, PDF, HTML, XML,    科研立项经费支持
作者: 张慧梅, 王 静, 钟启巧:长江大学物理与光电工程学院,湖北 荆州
关键词: InMgI3第一性原理机械性质电子性质光学性质InMgI3 First-Principles Mechanical Properties Electronic Properties Optical Properties
摘要: 基于第一性原理方法,本文系统研究了无铅钙钛矿InMgI3在0~60 GPa下的几何结构、机械、电子和光学性质。相关的机械性质研究表明,InMgI3的弹性力学失稳点约为74 GPa。随着压强的增加,该晶体的弹性常数(Cij)、体弹模量(B)、剪切模量(G)、杨氏模量(E)、B/G、泊松比(ν)和各向异性因子(A)均增大。电子性质研究表明,零压下InMgI3表现出间接带隙半导体特性(带隙值为1.24 eV),其带隙在10 GPa时达到最大值(1.782 eV)。光学性质研究表明,该晶体在真空红外探测与能量转换器件等领域具有一定的应用潜力。通过施加外部压强可有效调控InMgI3材料的光学和电子性质。
Abstract: Based on first-principles methods, this study systematically investigates the geometric structure, mechanical, electronic, and optical properties of lead-free perovskite InMgI3 under pressures ranging from 0 to 60 GPa. Mechanical property studies reveal that the instability point of elasticity mechanics of InMgI3 is approximately 74 GPa. With increasing pressure, the crystal exhibits enhanced elastic constants (Cij), bulk elastic modulus (B), shear modulus (G), Young’s modulus (E), B/G ratio, Poisson’s ratio (ν), and anisotropy factor (A). Electronic property analysis demonstrates that InMgI3 exhibits indirect bandgap semiconductor characteristics with bandgap value of 1.24 eV at zero pressure, with the bandgap reaching its maximum value of 1.782 eV at 10 GPa. Optical property studies indicate that this crystal holds potential applications in vacuum infrared detection and energy conversion devices. External pressure can effectively modulate the optical and electronic properties of InMgI3 materials.
文章引用:张慧梅, 王静, 钟启巧. 高压下InMgI3的机械、电子和光学性质的第一性原理研究[J]. 凝聚态物理学进展, 2025, 14(4): 19-29. https://doi.org/10.12677/cmp.2025.144004

1. 引言

三元卤化物钙钛矿具有低成本、载流子迁移率高和带隙较宽等特性,其在窗口材料、闪烁体、激光器及太阳能电池等领域具有广泛的应用前景[1]-[6]

铟基钙钛矿晶体是一类环境友好型的卤化物钙钛矿晶体,由于其带隙可调、激子结合能低和光吸收系数高等特性,使其成为能源转换材料、光学晶体材料等候选材料。因此,铟基钙钛矿晶体得到了研究者的广泛关注。Kang等通过计算研究了多种铟基AInX3 (A = 碱金属,X = F或Cl)卤化物钙钛矿[7],表明它们是热力学稳定性的间接带隙绝缘体。Khan等[8]通过密度泛函理论研究发现立方相InCaF3和InCdF3是直接带隙半导体,而InHgF3则是间接带隙材料。Rahman等[9]通过DFT计算研究了InMgF3的光电性质,研究表明其为间接带隙的半导体(Eg = 2.49 eV),在光电材料领域具有良好前景。Zhang等[10]基于第一性原理研究了InBeF3在静水压力下的物理性质,研究表明其为间接带隙材料。Zhang等[11]研究了InXY3 (X = Ca, Sr, Ba; Y = Cl, Br)的结构和物理性质,研究表明InXY3晶体具有热力学和机械稳定性,表现出良好的光电性质。Edgar等[12]采用垂直提拉法制备了正交结构的TlMgCl3和TlMgBr3晶体。Takayuki等[13]采用同样的方法制备出了TlMgCl3、TlCdCl3、TlSrCl3和TlBaCl3闪烁体,并在γ射线照射下对其光谱特性进行了评估。张等[14]研究了高压下YMgF3 (Y = Al, Ga, In, Tl)晶体的光电性质,研究表明XMgF3晶体在紫外光学器件具有广泛的应用前景。Apon等[15]系统研究了零压下AMgX3 (A = Ga, In, Tl; X = Cl, Br, I)晶体的电子、光学及力学性质。研究表明,立方晶体AMgX3具有良好的稳定性,在光电领域具有一定应用前景。

综上,目前关于InMgI3晶体在高压下的机械、电子及光学性质研究还未见相关的报道。高压能改变晶体的结构,甚至引发结构相变,从而引起晶体的物理性质的变化。因此,本文采用密度泛函理论(DFT) [16]-[21],对立方型钙钛矿InMgI3晶体不同压强下的机械、电子与光学性质进行研究,为InMgI3晶体极端条件下的物理性质和实际应用的研究提供重要参考。

2. 计算方法

本文利用CASTEP软件[22]计算和分析InMgI3晶体的物理性质。在进行结构优化和性质计算时,采用PBE泛函[23]描述交换关联能,利用超软赝势(OTFG ultrasoft pseudopotential) [24]处理离子与价电子间的相互作用。经过收敛性测试后,确定平面波的截断能为650 eV,k点为12 × 12 × 12,能量自洽收敛条件为5.0×10⁻6 eV/atom,最大力收敛标准为5 × 107 eV/atom,最大位移收敛标准为5 × 10⁻4 Å。InMgI3的弹性性质计算采用应力–应变方法[25],并采用HSE06杂化泛函计算其光电性质。

3. 结果与讨论

3.1. 晶体结构与机械性质

图1为立方形InMgI3晶体的结构,其空间群为Pm-3m,其中Mg原子位于(0.5, 0.5, 0.5),In原子位于(0.0, 0.0, 0.0),I原子位于(0.5, 0.5, 0.0)。如表1所示,本文计算的InMgI3的晶格常数为5.795 Å,与文献值(5.777 Å)高度吻合[15],证明了本文计算方法的可靠性。

Figure 1. Crystal structure of cubic InMgI3 compound

1. 立方形InMgI3的晶体结构

Table 1. Mechanical properties of InMgI3 at 0 GPa

1. InMgI3在0 GPa下的机械性质

Compound

a (Å)

C11 (GPa)

C12 (GPa)

C44 (GPa)

B (GPa)

G (GPa)

E (GPa)

ν

This work

5.795

36.213

11.780

9.574

19.924

10.556

26.914

0.275

Ref. [15]

5.777

36.171

11.077

11.039

19.442

11.619

29.068

0.251

表1为InMgI3在0 GPa下的机械性质。从表中可以看出,InMgI3的相关计算结果与文献值[15]符合得非常好,进一步验证了本文计算方法的可靠性。

立方形晶体InMgI3的机械性质是由三个独立的弹性常数(C11C12C44)决定。根据Voigt、Reuss和Hill近似[26] [27],其剪切模量为:

G V = C 11 +3 C 44 C 12 5 (1)

G R = 5 C 44 ( C 11 C 12 ) 3( C 11 C 12 )+4 C 44 (2)

G= G R + G V 2 (3)

其体弹模量B [28]、杨氏模量E [29]、各向异性因子A [30]和泊松比ν [31]为:

B= 2 C 12 + C 11 3 (4)

E= 9GB G+3B (5)

ν= 3B2G 2(G+3B) (6)

A= 2 C 44 C 11 C 12 (7)

Table 2. Mechanical properties of InMgI3 under different pressures

2. 不同压强下InMgI3的机械性质

P (GPa)

0

10

20

30

40

50

60

74

a (Å)

5.795

5.296

5.069

4.920

4.808

4.719

4.645

4.558

C11 (GPa)

36.213

111.319

177.632

239.952

299.970

356.761

413.914

491.691

C12 (GPa)

11.780

33.887

54.178

73.826

93.504

112.018

132.336

161.051

C44 (GPa)

9.574

20.264

29.657

38.485

46.958

55.131

63.148

74.048

B (GPa)

19.924

59.697

95.329

129.202

162.326

193.599

226.195

271.264

G (GPa)

10.556

26.341

39.961

52.660

64.760

76.345

87.613

110.556

E (GPa)

26.914

68.890

105.185

139.085

171.477

202.425

232.783

292.000

B/G

1.888

2.266

2.386

2.453

2.507

2.536

2.582

2.453

ν

0.275

0.308

0.316

0.321

0.324

0.326

0.328

0.321

A

0.784

0.523

0.480

0.463

0.455

0.451

0.449

0.448

表2汇总了InMgI3晶体在不同压强下的晶格常数(a)、弹性常数(Cij)、体弹模量(B)、剪切模量(G)、杨氏模量(E)、B/G、泊松比(ν)和各向异性因子(A)。根据在不同压强下的立方形晶体力学稳定性要求[32]C44 − P > 0、C11C12 − 2P > 0、C11 + 2C12 + P > 0,可知InMgI3晶体弹性力学失稳点约为74 GPa。与C12C44相比,C11随着压强增加得比较快,这表明InMgI3晶体在x轴方向的拉伸和压缩的程度比较大。

Figure 2. (a) The elastic constant Cij, (b) elastic modulus (B, G and E) of InMgI3 at various pressures.

2. (a) 不同压强下InMgI3的弹性常数Cij,(b) 弹性模量(BGE)

图2(a)所示,InMgI3的弹性常数Cij均随压强增大而增大,其中C11变化最为显著,说明其对压强最为敏感。体弹模量B、剪切模量G和杨氏模量E分别可以反映了材料的硬度、抗变形能力和刚度。由图2(b)知,这些值均随压强的增大而增大,表明该材料在高压下表现出更好的力学性能。

Figure 3. The (a) ν and (b) B/G of InMgI3 at different pressures

3. (a) 不同压强下InMgI3ν及(b) B/G比值

泊松比(ν) [31]B/G比值[33]是判断材料延展性或脆性的指标,其临界值分别为0.26和1.75。当ν和B/G值分别超过相应的临界值时,材料呈现为延展性;反之,则表现为脆性。由图3可知,InMgI3表现出延展性,其延展性在0~10 GPa范围内显著增强,超过10 GPa后则缓慢增强。各向异性因子A可以判断材料是否具有各项异性,当各向异性因子A等于1时,晶体为各向同性材料;当各向异性因子不等于1时,晶体为各向异性材料;由表2可知,InMgI3在0 GPa时的各向异性因子为0.78,说明其具有各向异性特性,且随着压强增大,A值逐渐减小,显示出更大的各向异性程度。

Figure 4. Two-dimensional anisotropic diagrams of Poisson’s ratio (a), shear modulus (b) and Young’s modulus (c) of InMgI3 at different pressures

4. 不同压强下InMgI3的泊松比(a)、剪切模量(b)及杨氏模量(c)的二维各项异性图

为了直观地分析InMgI3的各向异性特征,图4显示了使用ELATE软件[34]绘制的InMgI3在0~60 GPa范围内的剪切模量、杨氏模量和泊松比的二维图形。形状是圆形则对应为各向同性,形状偏离圆形则对应为各向异性。在0 GPa下,泊松比、剪切模量及杨氏模量的二维各项异性分布图均偏离圆形,表明它们均具有各向异性特征,且随着压强增大,各向异性程度也越大。

3.2. 电子特性

InMgI3晶体的电子性质可通过其能带结构与态密度反映。图5显示了InMgI3在0~60 GPa范围内的能带结构。费米能级位于0 eV处,能量大于费米能级的区域被称为导带,能量小于费米能级的区域被称为价带。

Figure 5. Energy band structure of InMgI3 under different pressures

5. 不同压强下InMgI3的能带结构

Figure 6. The relationship between band gap and pressure of InMgI3

6. InMgI3带隙与压强的关系

图5可知,0 GPa下,InMgI3晶体是一种间接带隙半导体材料,带隙值为1.242 eV,与文献值1.27 eV [15]相吻合。在20 GPa、40 GPa和60 GPa下,其带隙值分别为1.46 eV、0.97 eV和0.51 eV。图6显示了InMgI3的带隙与压强的关系。随着压强的增大,其带隙值在10 GPa处达到峰值,随后随压强的增大而逐渐减小。这是因为当压强增至10 GPa时,原子间距逐渐减小,导致导带最大值(CBM)向高能区偏移,从而使带隙增大;当压强从10 GPa增至60 GPa时,导带的带顶从G点变为X点,其带隙值变窄。

Figure 7. Total and partial state densities of InMgI3 at different pressures

7. 不同压强下InMgI3的总态密度与部分态密度图

图7为InMgI3晶体在0~60 GPa范围内的总态密度(DOS)与部分态密度(PDOS)图。由图7可知,各原子的价带、导带能级对总态密度的贡献,InMgI3的导带主要由Mg原子的2p轨道电子、I原子的5s轨道电子和In原子的5p轨道电子贡献,而价带主要由I原子的5p轨道电子和In原子的5s轨道电子贡献。

3.3. 光学性质

材料的光学性质反映了其对电磁辐射的响应特性。本文系统研究了InMgI3在0~60 GPa范围内的复介电函数ε(ω)、吸收系数α(ω)、消光系数k(ω)、反射率R(ω)和折射率n(ω)。

图8显示了InMgI3在不同压强下的介电函数ε(ω)。在光电器件中,具有较高介电常数的材料能减少载流子复合损耗,从而提升器件效率。由图8(a)可知,在0 GPa、20 GPa、40 GPa和60 GPa下,InMgI3的静态介电函数实部ε1(0)分别为5.8、8.89、11.8和4.9;在3.13 eV、2.61 eV、2.08 eV、1.91 eV处达到峰值,分别为8.97、13.3、16.5和19.6,即介电常数ε1(ω)随入射光能量增大而逐渐增大,峰值向低能区域移动。这表明InMgI3晶体在不同压强下均表现出优异的光电转换效率,是优秀的光电器件候选材料。由图8(b)可知,随着压强的增大,其介电常数ε2(ω)峰值也增大,峰值位置向高能区域移动。

Figure 8. Dielectric function ε(ω) of InMgI3 at different pressures: (a) real part ε1(ω), (b) imaginary part ε2(ω).

8. 不同压强下InMgI3介电函数ε(ω):(a) 实部ε1(ω),(b) 虚部ε2(ω)

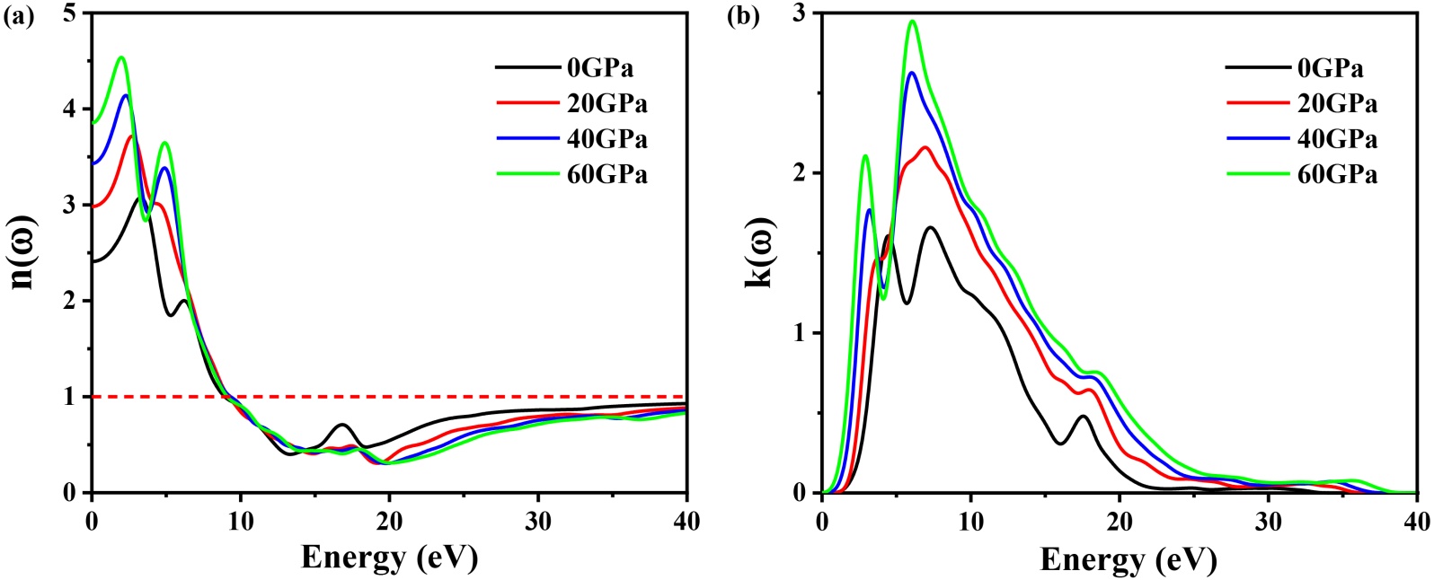
Figure 9. (a) refractive index n(ω) and (b) extinction coefficient k(ω) of InMgI3 at different pressures

9. (a) 不同压强下InMgI3的折射率n(ω)与(b) 消光系数k(ω)

图9显示了InMgI3在不同压强下的折射率n(ω)和消光系数k(ω)。由图9(a)可知,在0 GPa、20 GPa、40 GPa和60 GPa下,InMgI3的静态折射率n(0)分别为2.41、2.98、3.43和3.85,且分别在3.07 eV、2.71 eV、2.33 eV和2.01 eV处达到峰值,其值分别为3.27、3.27、4.14和4.53。表明,随着压强的增大,其折射率随之升高,折射光谱呈现红移现象。由图9(b)可知,在0 GPa、20 GPa、40 GPa和60 GPa下,InMgI3的消光系数k(ω)分别在1.66 eV、2.16 eV、2.63 eV和2.95 eV处达到峰值,且随着压强的增大,消光系数向低能区域移动。

Figure 10. (a) R(ω) and (b) α(ω) of InMgI3 at different pressures

10. (a) 不同压强下InMgI3的反射率R(ω)和(b)吸收系数α(ω)

图10显示了InMgI3在不同压强下的反射率R(ω)和吸收系数α(ω)。随着压强增大,其光反射和吸收本领均显著增强。值得注意的是,InMgI3在可见光和紫外光区域具有宽吸收峰和高吸收系数,其在太阳能电池等光电领域具有潜在的应用价值。

4. 结论

本文采用第一性原理方法系统研究了InMgI3晶体在不同压强下的力学、电子及光学性质。在0 GPa下,InMgI3的晶格常数为5.795 Å。力学性质研究表明,该晶体在高压下展现出优异的延展性和各向异性。电子结构研究表明,InMgI3是间接半导体材料,随压强增加,其带隙值呈现先增大后减小的趋势。光学性质研究表明,InMgI3在高压下表现出更优异的光学性质。

基金项目

湖北省大学生创新创业训练项目(项目编号:S202510489049)。

参考文献

[1] Yin, W., Yang, J., Kang, J., Yan, Y. and Wei, S. (2015) Halide Perovskite Materials for Solar Cells: A Theoretical Review. Journal of Materials Chemistry A, 3, 8926-8942. [Google Scholar] [CrossRef
[2] Leijtens, T., Eperon, G.E., Noel, N.K., Habisreutinger, S.N., Petrozza, A. and Snaith, H.J. (2015) Stability of Metal Halide Perovskite Solar Cells. Advanced Energy Materials, 5, Article ID: 1500963. [Google Scholar] [CrossRef
[3] Kutnjak, Z., Petzelt, J. and Blinc, R. (2006) The Giant Electromechanical Response in Ferroelectric Relaxors as a Critical Phenomenon. Nature, 441, 956-959. [Google Scholar] [CrossRef] [PubMed]
[4] Kim, C.H., Qi, G., Dahlberg, K. and Li, W. (2010) Strontium-Doped Perovskites Rival Platinum Catalysts for Treating NOx in Simulated Diesel Exhaust. Science, 327, 1624-1627. [Google Scholar] [CrossRef] [PubMed]
[5] Jena, A.K., Kulkarni, A. and Miyasaka, T. (2019) Halide Perovskite Photovoltaics: Background, Status, and Future Prospects. Chemical Reviews, 119, 3036-3103. [Google Scholar] [CrossRef] [PubMed]
[6] Nishimatsu, T., Terakubo, N., Mizuseki, H., Kawazoe, Y., Pawlak, D.A., Shimamura, K., et al. (2002) Band Structures of Perovskite-Like Fluorides for Vacuum-Ultraviolet-Transparent Lens Materials. Japanese Journal of Applied Physics, 41, L365-L367. [Google Scholar] [CrossRef
[7] Kang, C. and Kotliar, G. (2019) Material Design of Indium-Based Compounds: Possible Candidates for Charge, Valence, and Bond Disproportionation and Superconductivity. Physical Review Materials, 3, Article ID: 015001. [Google Scholar] [CrossRef
[8] Khan, S., Ahmad, R., Mehmood, N., Hina, F., Rehman, A.U., Zaman, S.U., et al. (2021) First-Principles Investigation of the Physical Properties of Indium Based Fluoroperovskites InAF3 (A = Ca, Cd and Hg). Materials Science in Semiconductor Processing, 121, Article ID: 105385. [Google Scholar] [CrossRef
[9] Ahmad, M.S., Habib, A., Rauf, A., Haq, M.U. and Saddique, J. (2020) Theoretical Investigation of the Structural, Electronic, and Mechanical Properties of the Magnesium-Based Fluoroperovskite Compounds XMgF3 (X = Ga, Al, In). Fluoride, 53, 542-553.
[10] Zhang, J., Chen, Y., Chen, S., Hou, J., Song, R. and Shi, Z. (2023) Electronic Structure, Mechanical, Optical and Thermodynamic Properties of Cubic Perovskite Inbef3 with Pressure Effects: First-Principles Calculations. Results in Physics, 50, Article ID: 106590. [Google Scholar] [CrossRef
[11] Zhang, S., Chen, S., Chen, Y., Hou, J., Zhang, J., Liu, J., et al. (2025) A DFT Approach to Explore the Structural, Mechanical, and Optoelectronic of Indium-Based InXY3 (X = Ca, Sr, Ba; Y = Cl, Br) Halide Perovskites for Photoelectric Applications. Physics Letters A, 533, Article ID: 130243. [Google Scholar] [CrossRef
[12] van Loef, E., Soundara Pandian, L., Ciampi, G., Stand, L., Du, M., Rutstrom, D., et al. (2022) Crystal Growth, Density Functional Theory, and Scintillation Properties of TlMgX3 (X = Cl, Br, I). Chemical Physics, 558, Article ID: 111535. [Google Scholar] [CrossRef
[13] Yanagida, T., Fujimoto, Y., Arai, M., Koshimizu, M., Kato, T., Nakauchi, D., et al. (2020) Comparative Studies of Scintillation Properties of Tl-Based Crystals. Sensors and Materials, 32, 1351-1356. [Google Scholar] [CrossRef
[14] Zhang, J., Chen, Y., Chen, S., Hou, J., Song, R. and Shi, Z. (2024) First-Principles Study of Mechanical, Electronic Structure, and Optical Properties for Cubic Fluoroperovskite XMgF3 (X = Al, Ga, In, Tl) under High Pressure. Materials Science in Semiconductor Processing, 174, Article ID: 108158. [Google Scholar] [CrossRef
[15] Apon, I.A., Hasan, Md, R. and Islam, M. (2024) First-Principles Investigation of Structural, Mechanical, and Electronic Properties of AMgX3 (A = Ga, In, Tl, and X = Cl, Br, I) Perovskites for Optoelectronic Applications. Physica Scripta, 100, Article ID: 015931. [Google Scholar] [CrossRef
[16] Xu, N., Chen, Y., Chen, S., Zhang, W., Li, S., Song, R., et al. (2023) First-Principles Investigations for the Hydrogen Storage Properties of XVH3 (X = Na, K, Rb, Cs) Perovskite Type Hydrides. Journal of Materials Research and Technology, 26, 4825-4834. [Google Scholar] [CrossRef
[17] Sun, W., Chen, B., Li, X., Peng, F., Hermann, A. and Lu, C. (2023) Ternary Na-P-H Superconductor under High Pressure. Physical Review B, 107, Article ID: 214511. [Google Scholar] [CrossRef
[18] Dai, W., He, S., Ding, K. and Lu, C. (2022) Polymeric Hydronitrogen N4H: A Promising High-Energy-Density Material and High-Temperature Superconductor. ACS Applied Materials & Interfaces, 14, 49986-49994. [Google Scholar] [CrossRef] [PubMed]
[19] Luo, W., Song, R., Xu, S., Chen, Y., Chen, S., Zhang, W., et al. (2024) First Principles Study of the Electronic Structure, Mechanical and Optical Properties of Cubic Perovskite NaCaCl3 under Pressure. Physica B: Condensed Matter, 677, Article ID: 415712. [Google Scholar] [CrossRef
[20] 李梓宁, 许楠林, 肖循, 陈艳, 陈善俊, 张伟斌. 高压下立方形AgMgF3钙钛矿的力学、热力学和电子性质研究[J]. 昆明理工大学学报, 2023, 48(5): 28-37.
[21] 陈善俊, 金振航, 张伟斌, 李松, 卢崇远, 赵杰. 立方型钙钛矿KMgF3晶体的弹性及热力学性质[J]. 长江大学学报, 2020, 17(5): 90-96.
[22] Clark, S.J., Segall, M.D., Pickard, C.J., Hasnip, P.J., Probert, M.I.J., Refson, K., et al. (2005) First Principles Methods Using Castep. Zeitschrift für KristallographieCrystalline Materials, 220, 567-570. [Google Scholar] [CrossRef
[23] Langreth, D.C. and Perdew, J.P. (1980) Theory of Nonuniform Electronic Systems. I. Analysis of the Gradient Approximation and a Generalization That Works. Physical Review B, 21, 5469-5493. [Google Scholar] [CrossRef
[24] Meier, R.J. (1999) On the Effectiveness of Ultra-Soft Pseudopotentials in Plane-Wave Based Molecular Electronic Structure Calculations. Journal of Molecular Structure: Theochem, 467, 79-83. [Google Scholar] [CrossRef
[25] Fan, C., Zeng, S., Li, L., Zhan, Z., Liu, R., Wang, W., et al. (2006) Potential Superhard Osmium Dinitride with Fluorite and Pyrite Structure: First-Principles Calculations. Physical Review B, 74, Article ID: 125118. [Google Scholar] [CrossRef
[26] K. D. Verma, J. and D. Nag, B. (1965) On the Elastic Moduli of a Crystal and Voigt and Reuss Relations. Journal of the Physical Society of Japan, 20, 635-636. [Google Scholar] [CrossRef
[27] Hill, R. (1952) The Elastic Behaviour of a Crystalline Aggregate. Proceedings of the Physical Society. Section A, 65, 349-354. [Google Scholar] [CrossRef
[28] Chung, D.H. and Buessem, W.R. (1967) The Voigt-Reuss-Hill Approximation and Elastic Moduli of Polycrystalline MgO, CaF2, β‐ZnS, ZnSe, and CdTe. Journal of Applied Physics, 38, 2535-2540. [Google Scholar] [CrossRef
[29] Fisher, E.S., Manghnani, M.H. and Kikuta, R. (1973) Hydrostatic Pressure Derivatives of the Single Crystal Elastic Moduli of Gd, Dy and Er. Journal of Physics and Chemistry of Solids, 34, 687-703. [Google Scholar] [CrossRef
[30] Song, R., Chen, Y., Chen, S., Xu, N. and Zhang, W. (2024) First-Principles to Explore the Hydrogen Storage Properties of XPtH3 (X = Li, Na, K, Rb) Perovskite Type Hydrides. International Journal of Hydrogen Energy, 57, 949-957. [Google Scholar] [CrossRef
[31] Song, R., Xu, N., Chen, Y., Chen, S., Zhang, J., Dai, W., et al. (2024) Insight into the Mechanical, Electronic, Kinetic, Thermodynamic, and Hydrogen Storage Properties of XFeH3 (X = Ca, Sr, Ba) Perovskites for Hydrogen Storage Applications: First-Principle Calculations. Chinese Journal of Physics, 89, 1152-1163. [Google Scholar] [CrossRef
[32] Born, M. (1940) On the Stability of Crystal Lattices. I. Mathematical Proceedings of the Cambridge Philosophical Society, 36, 160-172. [Google Scholar] [CrossRef
[33] Ezugwu, E.O. and Wang, Z.M. (1997) Titanium Alloys and Their Machinability—A Review. Journal of Materials Processing Technology, 68, 262-274. [Google Scholar] [CrossRef
[34] Gaillac, R., Pullumbi, P. and Coudert, F. (2016) ELATE: An Open-Source Online Application for Analysis and Visualization of Elastic Tensors. Journal of Physics: Condensed Matter, 28, Article ID: 275201. [Google Scholar] [CrossRef] [PubMed]