基于Cr3+插层调控Ti3C2Tx Mxene性能用于超级电容器负极
Cr3⁺ Intercalation-Mediated Performance Tuning of Ti3C2Tx MXene as Anode Material for Supercapacitors
DOI: 10.12677/ms.2026.163055, PDF, HTML, XML,   
作者: 杜乾慧:哈尔滨师范大学,物理与电子工程学院,黑龙江 哈尔滨
关键词: 离子插层超级电容器负极材料电化学性能Ionic Modification Supercapacitor Anode Material for Supercapacitors Electrochemical Performance
摘要: Ti3C2Tx MXene是能源存储领域的研究热点之一,在超级电容器负极材料领域拥有巨大应用潜力,然而Ti3C2Tx MXene存在表面活性位点不足、有害官能团阻碍离子传输及循环稳定性欠佳的问题。本文利用过渡金属离子插层调控策略将Cr3+引入,有效丰富Ti3C2Tx-Cr薄膜电极表面金属原子活性中心,同时Cr3+占据Ti格位或空位增强结构稳定性,实现表面官能团调控与结构优化,从而得到高性能Ti3C2Tx-Cr薄膜电极。得益于表面改性与结构优化,Ti3C2Tx-Cr薄膜电极在1 A·g1的电流密度下比电容高达334 F·g1,较原始Ti3C2Tx薄膜电极(247 F·g1)提升1.35倍;电流密度升至20 A·g1时电容保持率为91%,10 A·g1电流密度下30,000次循环后容量保持率高达99.3%,展现出优异倍率性能与良好的循环稳定性。本研究通过层间工程优化Ti3C2Tx表面组分与结构,为过渡金属离子插层改性MXene材料在超级电容器中的应用提供了科学依据与技术参考。
Abstract: Ti3C2Tx MXene is one of the research hotspots in the field of energy storage and holds great application potential as a negative electrode material for supercapacitors. However, Ti3C2Tx MXene suffers from inherent drawbacks such as insufficient surface active sites, harmful functional groups hindering ion transport, and poor cycling stability. In this work, we employed a transition metal ion intercalation regulation strategy to introduce Cr3⁺ into Ti3C2Tx, which effectively enriched the surface metal atom active sites of the Ti3C2Tx-Cr film electrode. Meanwhile, Cr3⁺ occupied Ti lattice sites or vacancies to enhance structural stability, enabling the regulation of surface functional groups and structural optimization, thus yielding a high-performance Ti3C2Tx-Cr film electrode. Benefiting from surface modification and structural optimization, the Ti3C2Tx-Cr film electrode delivered a high specific capacitance of 334 F·g1 at a current density of 1 A·g1, which is 1.35 times higher than that of the pristine Ti3C2Tx film electrode (247 F·g1). When the current density increased to 20 A·g1, the capacitance retention rate reached 91%, and after 30,000 cycles at 10 A·g1, the capacity retention rate remained as high as 99.3%, demonstrating excellent rate performance and superior cycling stability. This study optimizes the surface composition and structure of Ti3C2Tx through interlayer engineering, providing a scientific basis and technical reference for the application of transition metal ion-intercalated MXene materials in supercapacitors.
文章引用:杜乾慧. 基于Cr3+插层调控Ti3C2Tx Mxene性能用于超级电容器负极[J]. 材料科学, 2026, 16(3): 93-99. https://doi.org/10.12677/ms.2026.163055

1. 引言

随着全球能源消耗的持续攀升、化石能源的日渐枯竭以及生态污染问题的不断加剧,研发高效环保的大功率清洁能源体系,已成为世界各国尤其是我国破解能源短缺与环境治理双重难题、推动经济社会绿色可持续发展的迫切战略任务[1]。科研工作者优先探索太阳能、风能、潮汐能等可再生清洁能源的开发利用,以期缓解人类社会发展与自然生态保护之间的突出矛盾。但此类清洁能源受地理环境、气候条件的显著限制,导致其能量输出呈现明显的区域不均衡特征,与之配套的能量储存与传输过程也存在间歇性、不稳定性等问题。如何实现清洁能源的稳定供给,成为制约其规模化开发利用的核心瓶颈,而高效的能量储存与转化技术,正是推动太阳能、风能等清洁能源走向普及应用的关键支撑。

超级电容器具备高功率密度、快速充放电特性以及超长循环寿命,在储能设备升级与能量转换系统革新进程中发挥着不可替代的作用。但现阶段,市面上绝大多数商用超级电容器均以碳基材料作为负极组分,该类材料的偏低电容性能制约了超级电容器整体能量密度的提升,也极大限制了超级电容器在高能量需求场景中的推广应用[2]。故而,研发并探索新型负极材料,在维持其原有高功率密度优势的基础上进一步提升能量密度,对于拓展超级电容器的应用范围、推动其产业化升级具有至关重要的现实意义与研究价值。

Ti3C2Tx具备高性能电极材料所需的各项特性:独特的二维结构、优异的金属导电性、丰富的表面化学性质、适配的工作电势窗口、本征柔性,以及在酸性电解液中基于插层赝电容的电荷存储机制,因此被视为超级电容器极具应用前景的负极材料[3]。尽管拥有这些优势,但存在两大关键缺陷,制约了Ti3C2Tx本征电化学性能的充分发挥,这一点不容忽视[4]。其一,在范德华力和氢键作用下,Ti3C2Tx纳米片不可避免地发生堆叠团聚,导致片层间距减小、电活性比表面积降低,进而造成离子传输受阻、活性位点受限,最终使电化学性能劣化。其二,在氢氟酸(HF)或盐酸/氟化锂(HCl/LiF)体系的刻蚀过程中,Ti3C2Tx表面会生成氟端基(−F),已有研究证实该端基会对其电化学性能产生不利影响[5]。因此,通过界面工程调提升优化Ti3C2Tx基电极材料的电化学反应动力学具有重要意义[6]

已有研究表明,插入客体材料是一种简便直接的策略,可有效抑制Ti3C2Tx片层的堆叠团聚,并增大片层间距,从而获得更多离子传输通道和可接触活性位点,最终提升Ti3C2Tx的电化学性[7] [8]。本文采用离子插层调控策略将过渡金属离子Cr3+引入,制备Cr3+插层Ti3C2Tx薄膜电极(Ti3C2Tx-Cr),其中Cr3+离子通过替换掉部分Ti3+或占据活空位锚定在Ti3C2Tx的表面上,有效增加薄膜电极表面活性位点数量,同时增大的层间空间能够快速且稳定地传输离子,从而赋予Ti3C2Tx-Cr膜电极工艺优异的速率性能和极高的循环稳定性[9] [10]。Ti3C2Tx-Cr薄膜电极在1 A·g1下表现出334 F·g1的优异比电容,与原始Ti3C2Tx相比,嵌入赝电容增加了1.35倍,10 A·g1电流密度下,循环30,000次后仍有高达99.7%的容量保持率。本研究报道了一种高性能Ti3C2Tx材料的制备方法,通过Cr3+对其进行修饰改性,为超级电容器电极材料的高效开发开辟了新的思路。

2. 实验部分

2.1. 试剂

碳铝钛(Ti3AlC2)、六水合氯化铬(CrCl3·6H2O)、盐酸(HCl)、氟化锂(LiF)、氯化锂(LiCl)、去离子水(DI water)。

2.2. Ti3C2Tx的制备

将1.56 g氟化锂放入20 mL盐酸中搅拌,使氟化锂大部分溶解,之后继续搅拌,同时将碳铝钛加入,38℃水浴加热48 h,之后用稀盐酸、氯化锂溶液和去离子水洗涤3~5次,离心收集上层清液[11]

2.3. Ti3C2Tx-Cr的合成

取浓度为5 mg/mL的碳化钛溶液15 mL,加入10 mL浓度为3 mg/mL的氯化铬溶液,搅拌1 h后在40℃温度下静置48 h,多次去离子水洗后取泥加去离子水分散,真空抽滤成膜。

2.4. 样品结构和电化学性质表征

利用扫描电子显微镜(SEM)和透射电子显微镜(TEM)表征样品的显微形貌。通过X射线衍射(XRD)对样品的晶体结构进行表征。通过X射线光电子能谱(XPS)对样品的化学环境进行分析。

电化学测量采用VMP3电化学工作,使用标准的三电极电化学装置,其中对电极为碳棒,参比电极为Ag/AgCl,以3 M硫酸作为电解液。电压窗口设置为−0.6~0.2 V,以不同密度的电流密度进行了恒流充放电(GCD)测量,并以不同扫描速率进行了循环伏安法(CV)测量。此外,在0.01 Hz~200 kHz的频率范围内测量了电化学阻抗。

3. 结果与讨论

图1给出了Ti3C2Tx和Ti3C2Tx-Cr样品的SEM图像以及TEM图像。从图1(a)可以看出,利用盐酸/氟化锂(HCl/LiF)体系刻蚀制备的单层Ti3C2Tx纳米薄片表面光滑,过渡金属离子Cr3+插层制备的Ti3C2Tx-Cr也是表面光滑的单层薄纳米片结构(图1(b))。结果表明,Cr3+引入修饰后的Ti3C2Tx-Cr薄片层间结构仍是良好的片状堆积状态,且层间距得到有效增大(图1(d)~(e))。图1(c)图1(f)显示了Ti3C2Tx和Ti3C2Tx-Cr纳米片的高分辨率透射电镜图像,其中Ti3C2Tx的(002)晶面间距大约为1.25 nm,Ti3C2Tx-Cr的(002)晶面间距大约为1.41 nm,进一步说明Cr3+引入修饰后的Ti3C2Tx-Cr薄片层间距离得到有效增大。

Figure 1. (a, d) Top and cross-sectional view of SEM image of Ti3C2Tx film; (b, e) Top and cross-sectional view of SEM image of Ti3C2Tx-Cr film; (c, f) HRTEM image of Ti3C2Tx film and Ti3C2TxCr film 1. (a, d) Ti3C2Tx平面和截面的SEM图像。(b, e) Ti3C2Tx-Cr平面和截面的SEM图像。(c, f) Ti3C2Tx和Ti3C2Tx-Cr纳米片的HRTEM图像

(a) (b)

(c) (d)

Figure 2. (a, b) XRD patterns and High resolution XPS spectrum of Ti3C2Tx, Ti3C2Tx-Cr; (c, d) High resolution XPS spectrum of Ti 2p, O 1s of Ti3C2Tx-Cr

2. Ti3C2Tx、Ti3C2Tx-Cr的 (a) XRD谱图和 (b) XPS全谱对比。(c, d) Ti3C2Tx-Cr中Ti 2p和O 1s的高分辨率XPS谱

图2展示了Ti3C2Tx与Cr3+改性Ti3C2Tx(Ti3C2Tx-Cr)两种材料的物相与表面化学表征结果,包含(a) XRD谱图和(b)高分辨率XPS全谱。图2(a)中,Ti3C2Tx出现尖锐的(002)特征衍射峰,对应其典型的二维层状结构,与之前报道过的Ti3C2Tx的XRD图相似,表明Ti3C2Tx被成功制备[12] [13]。Cr3+插层修饰改性后的Ti3C2Tx-Cr,其(002)衍射峰向更低角偏移,表明Cr3+的引入增大了Ti3C2Tx的层间距,证明Cr3+成功插层进入Ti3C2Tx片层之间。同时,Ti3C2Tx-Cr的(002)峰强度略有降低但峰形仍保持尖锐,说明改性后材料仍保留了MXene的层状结构特征,未发生明显的结构坍塌。

图2(b)中,两种材料均检测到Ti 2p、C 1s、O 1s、F 1s等MXene特征峰,表明Ti3C2Tx-Cr仍保留了Ti3C2Tx的基本化学组成。与Ti3C2Tx相比,Ti3C2Tx-Cr的谱图中新增了Cr 2p特征峰(结合能约577 eV和587 eV处),直接证明Cr元素成功引入材料表面。同时,Ti3C2Tx-Cr中不利于离子传输的F 1s强度显著降低,使其电化学性能相较Ti3C2Tx有着极大提升。如图2(c)图2(d)所示,Ti3C2Tx-Cr中Ti 2p、O 1s峰形与强度发生细微变化,暗示Cr3+的引入可能改变了Ti3C2Tx的表面端基环境,这为后续分析其电化学性能变化提供了关键依据。

(a) (b)

(c) (d)

(e)

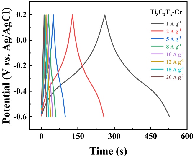
Figure 3. (a) GCD curves and (b) CV curves of Ti3C2Tx-Cr; (c) specific capacitance versus at different current densities of Ti3C2Tx and Ti3C2Tx-Cr samples prepared in different proportions; (d) EIS spectrums of Ti3C2Tx and Ti3C2Tx-Cr; (e) cycling performance of Ti3C2Tx-Cr electrodes at a current density of 10 A·g1 (30,000 charge-discharge cycles) 3. (a) Ti3C2Tx-Cr电极的CV曲线和 (b) GCD曲线;(c) 在不同电流密度下的比电容对比关系;(d) EIS谱;(e) Ti3C2Tx-Cr电极在10 A·g1 (30,000次充放电循环)下的循环性能

图3展示了Ti3C2Tx与Cr3+插层修饰后的Ti3C2Tx-Cr在3M硫酸电解液中的电化学性能对比。图3(a)为Ti3C2Tx-Cr的恒电流充放电曲线,使用GCD曲线来计算质量比电容,公式如下:

C m = iΔt ΔV

这里Cm是质量比电容(F·g1),i为电流密度(A·g1),t为放电时间(s),ΔV为电位窗口(V)。在1~20 A·g1不同电流密度下,Ti3C2Tx-Cr薄膜电极的比电容分别为334、327、317、312、308、305.6、305.3 F·g1,在高电流密度20 A·g⁻1下仍保持对称性良好的三角形,说明其具有优异的氧化还原可逆性和倍率适应性。图3(b)为循环伏安(CV)曲线:在1~100 mV·s⁻1扫速下,Ti3C2Tx-Cr的CV曲线均呈现相似形状和对称的氧化还原峰,且扫速提升时无明显形变,表明电化学性能优异[14]图3(c)为Ti3C2Tx与Ti3C2Tx-Cr倍率性能对比:电流密度从1 A·g⁻1增至20 A·g⁻1时,Ti3C2Tx-Cr的比电容保持在300 F·g⁻1以上,电容保持率高达81%,而Ti3C2Tx的比电容降至150 F·g⁻1左右。这表明经过引入Cr3+有效提升了材料的倍率性能,归因于插层作用增大了层间距,优化了离子传输通道。

图3(d)为电化学阻抗谱(EIS),Ti3C2Tx-Cr的高频区半圆半径更小,低频区斜率更陡,说明其电荷转移电阻(Rct)更低、离子扩散速率更快,放大图显示,Cr3+改性后材料的界面阻抗显著降低。图3(e)为循环稳定性测试,在10 A·g1电流密度下经过30,000次充放电循环后,Ti3C2Tx-Cr的比电容保持率高达99.3%,远优于Ti3C2Tx,证明Cr3+插层修饰有效抑制了片层堆叠,提升了结构稳定性。整体来看,通过引入Cr3+后的插层效应和表面修饰协同作用,显著优化了Ti3C2Tx在3M硫酸电解液中的电化学性能,为其在高性能超级电容器中的应用提供了实验依据。

4. 结论

本研究通过过渡金属Cr3⁺插层修饰改性策略,成功制备了高性能Ti3C2Tx-Cr薄膜电极,在1 A·g⁻1电流密度下比电容达334 F·g⁻1,并在20 A·g⁻1高电流密度下电容保持率仍达91%,且在10 A·g⁻1电流密度下经过30,000次循环后容量保持率高达99.3%,Cr3⁺的引入不仅增大了Ti3C2Tx的层间距、抑制了片层堆叠,还调控了表面官能团并丰富了金属活性位点。本文通过层间工程实现了Ti3C2Tx MXene的表面组分与结构优化,为过渡金属离子插层改性Ti3C2Tx MXene材料在高性能超级电容器中的应用提供了重要的科学依据与技术参考。

参考文献

[1] Liu, Z., Deng, Z., He, G., Wang, H., Zhang, X., Lin, J., Qi, Y. and Liang, X. (2022) Challenges and opportunities for carbon neutrality in China. Nature Reviews Earth & Environment, 3, 141-155. [Google Scholar] [CrossRef
[2] Huang, J., Xie, Y., You, Y., Yuan, J., Xu, Q., Xie, H., et al. (2023) Rational Design of Electrode Materials for Advanced Supercapacitors: From Lab Research to Commercialization. Advanced Functional Materials, 33, Article ID: 2213095. [Google Scholar] [CrossRef
[3] Li, L., Wen, J. and Zhang, X. (2020) Progress of Two‐Dimensional Ti3C2Tx in Supercapacitors. ChemSusChem, 13, 1296-1329. [Google Scholar] [CrossRef] [PubMed]
[4] Ma, R., Chen, Z., Zhao, D., Zhang, X., Zhuo, J., Yin, Y., et al. (2021) Ti3C2Tx MXene for Electrode Materials of Supercapacitors. Journal of Materials Chemistry A, 9, 11501-11529. [Google Scholar] [CrossRef
[5] Xiong, D., Li, X., Bai, Z. and Lu, S. (2018) Recent Advances in Layered Ti3C2Tx Mxene for Electrochemical Energy Storage. Small, 14, Article ID: 1703419. [Google Scholar] [CrossRef] [PubMed]
[6] Xie, Y., Naguib, M., Mochalin, V.N., Barsoum, M.W., Gogotsi, Y., Yu, X., et al. (2014) Role of Surface Structure on Li-Ion Energy Storage Capacity of Two-Dimensional Transition-Metal Carbides. Journal of the American Chemical Society, 136, 6385-6394. [Google Scholar] [CrossRef] [PubMed]
[7] Hu, M., Cheng, R., Li, Z., Hu, T., Zhang, H., Shi, C., et al. (2020) Interlayer Engineering of Ti3C2Tx Mxenes towards High Capacitance Supercapacitors. Nanoscale, 12, 763-771. [Google Scholar] [CrossRef] [PubMed]
[8] Li, Z., Jiang, M., Wu, F., Wu, L., Zhang, X. and Li, L. (2024) Synergistic In-Situ Intercalation and Surface Modification Strategy for Ti3C2Tx Mxene-Based Supercapacitors with Enhanced Electrochemical Energy Storage. Journal of Energy Storage, 84, Article ID: 110772. [Google Scholar] [CrossRef
[9] Zhang, Y., Jin, Q., Li, L., Zhang, M., Wen, J., Wu, L., et al. (2023) In-Situ Synergistic W18O49/Ti3C2Tx Heterostructure as Negative Electrode for High Energy Density Supercapacitors. Carbon, 208, 92-101. [Google Scholar] [CrossRef
[10] Saha, A., Shpigel, N., Rosy, Leifer, N., Taragin, S., Sharabani, T., et al. (2021) Enhancing the Energy Storage Capabilities of Ti3C2Tx Mxene Electrodes by Atomic Surface Reduction. Advanced Functional Materials, 31, Article ID: 2106294. [Google Scholar] [CrossRef
[11] Zhang, T., Pan, L., Tang, H., Du, F., Guo, Y., Qiu, T., et al. (2017) Synthesis of Two-Dimensional Ti3C2Tx Mxene Using HCl+LiF Etchant: Enhanced Exfoliation and Delamination. Journal of Alloys and Compounds, 695, 818-826. [Google Scholar] [CrossRef
[12] Naguib, M., Mochalin, V.N., Barsoum, M.W. and Gogotsi, Y. (2013) 25th Anniversary Article: Mxenes: A New Family of Two‐Dimensional Materials. Advanced Materials, 26, 992-1005. [Google Scholar] [CrossRef] [PubMed]
[13] Li, L., Zhang, M., Zhang, X. and Zhang, Z. (2017) New Ti3C2 Aerogel as Promising Negative Electrode Materials for Asymmetric Supercapacitors. Journal of Power Sources, 364, 234-241. [Google Scholar] [CrossRef
[14] Zhan, C., Naguib, M., Lukatskaya, M., Kent, P.R.C., Gogotsi, Y. and Jiang, D. (2018) Understanding the Mxene Pseudocapacitance. The Journal of Physical Chemistry Letters, 9, 1223-1228. [Google Scholar] [CrossRef] [PubMed]