考虑政府干预与信息共享的装配式建筑供应链数字化转型决策研究
Research on Digital Transformation Decisions of Prefabricated Building Supply Chain Considering Government Intervention and Information Sharing
摘要: 为适应建筑业绿色发展和可持续发展的新要求,装配式建筑作为一种高效率、低污染的施工方式逐渐推广。伴随新一代数字技术融入装配式建筑生产过程,供应链迫切需要数字化转型以提升整体效率。本文构建了一个包含预制构件生产商和施工总承包方的供应链系统,研究企业在数字化转型过程中的最优决策,并进一步考虑政府干预和信息共享情景,比较分析不同机制对供应链数字化协同水平及成员收益的影响。研究结果表明,政府动态奖惩机制和信息共享机制均能有效激励预制构件生产商和施工总承包方提高数字化投入努力,但是政府激励成果与动态奖惩下限设定密切相关,存在“激励–挤出”效应。本文对装配式建筑供应链成员进行数字化转型和政府制定合理的激励政策具有一定的参考意义。
Abstract: To meet the new requirements of green development and sustainability in the construction industry, prefabricated construction has been increasingly promoted as an efficient and low-pollution construction mode. Meanwhile, with the integration of next-generation digital technologies into the prefabricated building production process, the supply chain urgently needs digital transformation to improve overall efficiency. This paper constructs a two-tier supply chain consisting of a prefabricated component manufacturer and a general contractor, and investigates firms’ optimal decision-making during the process of digital transformation. Furthermore, government intervention and information-sharing scenarios are incorporated to comparatively analyze the impacts of different mechanisms on the level of digital collaboration within the supply chain and the profits of its members. The results indicate that both the government’s dynamic reward and punishment mechanism and the information sharing mechanism can effectively incentivize the prefabricated component manufacturer and the general contractors to increase their digital investment efforts. However, the effectiveness of government incentives is highly sensitive to the lower bound of the dynamic reward–penalty scheme, and an “incentive - crowding-out” effect may arise under certain conditions. The findings provide managerial insights for the digital transformation of prefabricated building supply chain members and for the government to formulate reasonable incentive policies.
文章引用:衡明珠. 考虑政府干预与信息共享的装配式建筑供应链数字化转型决策研究[J]. 管理科学与工程, 2026, 15(2): 399-414. https://doi.org/10.12677/mse.2026.152040

1. 引言

建筑业作为我国的基础支柱产业为国家经济平稳发展发挥了重要的作用[1]。然而,传统以现浇施工为主的建造模式长期存在施工周期长、生产效率低、资源浪费严重和环境污染较大的问题,难以适应我国当前对高质量、高效率、高标准施工生产的要求。在当今重视可持续发展战略的新形势下,建筑业作为能源消耗较高、浪费较严重的行业之一,迫切需要探索新型发展的道路,因此装配式建筑作为一种实现建筑工业化的新兴建造模式逐步推广起来。不同于传统现浇方式,装配式建筑在预制工厂生产预制构件,再运输到施工现场进行吊装,集标准化设计、工厂化生产、装配化施工、信息化管理、智能化应用于一体,在弥补现浇建筑不足的同时提高建筑供应链运营效率,更加贴合建筑市场发展方向。

然而,随着工程项目规模扩大和复杂性提升,参与主体数量不断增加,装配式建筑供应链的组织结构和信息流动日趋复杂[2]。在实际施工过程中,预制构件生产商、施工总承包方等主体需要频繁进行信息交互,以协调生产计划、物流配送和施工进度。但由于信息掌握程度不一致以及各主体存在自身利益考量,供应链成员往往难以实现充分、真实的信息共享,信息不对称问题较为突出。这不仅增加了供应链协同成本,也制约了装配式建筑整体运营效率的提升。

随着科学技术的飞速发展和广泛应用,数字化转型为缓解装配式建筑供应链信息不对称、提升协同效率提供了重要技术基础。通过将数字技术应用于供应链管理,可以实现信息的实时获取与共享,提高供应链可见性和透明度,从而增强对不确定性的响应能力[3]。然而,数字化转型往往需要较高的前期投入,其短期收益可能并不显著,单个企业在决策时可能面临投入动力不足的问题[4]。在此背景下,政府作为行业监管者和引导者,往往通过补贴、奖励或惩罚等政策工具,激励企业加大数字化投入并促进供应链协同发展。

基于上述分析,本文从政府干预与信息共享的视角出发,建立包含预制构件生产商和施工总承包方的装配式建筑供应链动态博弈模型,研究企业在数字化转型过程中的最优决策,并进一步比较分析政府动态奖惩机制与信息共享机制对供应链数字化协同水平及成员收益的影响。本文旨在为装配式建筑供应链数字化转型的协同治理提供理论依据,并为政府制定合理的激励政策提供决策参考。

2. 文献综述

与本文密切相关的研究主要包括装配式建筑供应链数字化转型、建筑供应链信息共享以及博弈论与供应链三方面的文献。

1) 装配式建筑供应链数字化转型的相关研究

从供应链的起源及发展来看,供应链的思想首先被应用于制造业中。随着建筑行业的不断发展,供应链管理理论被应用于建筑业,建筑供应链相关企业建立良好的合作关系能够提高生产效率并能带来可持续的竞争优势[5]。Mohamed等[6]学者研究异地施工供应链,通过对309篇异地施工供应链的文献进行综合研究,并总结发展趋势及差距,提出异地施工建筑供应链未来的发展方向。Han等[7]梳理了131篇装配式建筑供应链管理的文献,研究表明供应链智能化和信息化是研究热点。在数字化转型时代,传统的供应链管理已经不再满足各方需求,激烈的市场竞争不仅需要供应链的效率,还需要敏捷性和灵活性[8]。一部分学者侧重于从数字化技术视角出发,强调数字化技术在建筑供应链数字化转型中的重要性。人工智能、增强现实、云计算、机器人、物联网、全渠道等多种创新技术不断被应用到供应链的数字化转型中[9] [10],以实现交付的灵活性。除技术视角外,还有一部分研究侧重于从管理视角出发,强调在数字化技术应用普及的同时,进一步促进运营管理的数字化,以提升供应链的敏捷性和韧性等。一些研究表明,供应链参与者之间的协同能够强化数字化转型和供应链效率之间的正向关系[11]。Zhang等[12]考察了传统企业、数字技术提供商和地方政府之间在数字化转型中的动态决策过程并考察了产业融合的协调机制和最优策略。然而,现有文献尚未针对装配式建筑供应链数字化转型这一场景下的参与方投入策略和供应链整体利益分配机制进行展开系统研究。

2) 建筑供应链信息共享的相关研究

建筑供应链中的信息共享一直是国内外学者研究的重要问题之一。Fearne等[13]应用精益思想研究建筑供应链效率问题,认为建筑供应链运行过程中信息资源的大量浪费会影响供应链的整体效益,指出充分合理地利用信息资源有助于建筑供应链效益的提高。Andersson等[14]指出建筑工业化发展要注重建设项目参与者之间的信息交流,只有改善信息流传递方式,保证建设过程中所有参与者进行持续不断地信息交换,才能促进建筑工业化发展。Cheng等[15]构建了一个面向服务的建筑供应链集成框架,这个系统能够灵活适应供应链的配置变化,以加强成员之间的信息共享。Rezgui等[16]提出建筑供应链知识分享与整合有利于促进供应链知识资源最大限度地转化为知识资本,并创造新的知识价值。另外,也有学者从管理视角探讨建筑供应链中的信息共享问题。Xue等[17]借鉴传统供应链信息共享价值分析的思路,围绕建筑供应链信息共享的价值展开研究,通过模拟和分析建筑供应链信息共享价值测度模型,表明建筑供应链信息共享有利于总承包商服务水平的提高。虽然装配式建筑供应链和传统供应链存在差异,但参照部分学者的研究,信息共享程度对装配式建筑供应链产生何种影响以及如何激励信息共享是一个值得考虑的问题。

3) 博弈论与供应链

博弈论是分析解决供应链管理决策问题的有效手段。微分博弈模型结合了动态优化和博弈论来分析连续一段时间内涉及多个参与者的决策。微分博弈论构造一个动态系统作为一个或多个微分方程的输出,利用最优控制的极大值原理推导开环纳什均衡,并利用价值函数和Hamilton-Jacobi-Bellman方程确定反馈纳什均衡[18] [19]。作为一种有效的优化问题求解方法,微分博弈框架被广泛应用于经济管理领域,如协调机制设计、利润分配契约、广告、动态定价等方面[20]。Han等[21]将随机变化的市场环境(繁荣–萧条周期)建模为随时间变化的马尔可夫过程,并考虑了该市场中制造商和零售商之间的动态斯塔克尔伯格博弈。一些学者进行了低碳供应链决策的微分博弈分析[22] [23]。Kang等[24]结合数字供应链和低碳供应链,研究了数字和绿色之间的互动,分析并比较四种不同情形下的绿色生产和区块链技术的投资。Zhang等[12]专注于传统产业的数字化转型,通过构建传统企业、数字技术提供商和地方政府的三方动态微分博弈模型并利用HJB方程从定量角度考察产业融合的协调机制和最优策略。尽管现有研究已涵盖多种供应链情境,但尚未应用于装配式建筑供应链的投入与信息共享策略探究。

3. 问题描述与基本假设

3.1. 问题描述

预制构件生产商和施工总承包方是装配式建筑供应链数字化转型的关键环节。本文考虑了一个包含预制构件生产商和施工总承包方的两级供应链,预制构件生产商通过应用新一代信息技术对仓储及物流能力进行数字化升级,施工总承包方则通过建设数字化管理平台、数据库等实现供应链的信息高效传递,这些努力共同作用于供应链整体的数字化协同能力。在此基础上,供应链双方还需要共享生产进度、需求预测等关键信息。当双方进一步投入信息共享努力时会提升供应链内部的信息透明度与协同效率,从而降低信息不对称并减少协调成本。与此同时,政府作为监管者有必要进行干预,通过相应的补贴政策对供应链成员进行激励,以推动装配式建筑供应链的高效协同与可持续发展。

假设1 借鉴Nerlove和Arrow[25]的经典理论框架进行建模,将研究问题表述为两个参与主体的最优控制问题。因此,定义装配式建筑供应链数字化协同水平的状态方程为:

D ˙ ( t )= γ M M( t )+ γ C P( t )+ β M S M ( t )+ β C S C ( t )δD( t ),D( 0 )= D 0 (1)

其中, M(t) t 时刻预制构件生产商的数字化投入努力, P(t) t 时刻施工总承包方的数字化投入努力, S M (t) t 时刻预制构件生产商的信息共享努力, S C (t) t 时刻施工总承包方的信息共享努力, γ M >0 γ C >0 β M >0 β C >0 表示数字化投入努力和信息共享努力对数字化协同水平的影响系数, δ 为装配式建筑供应链数字化协同水平的衰减率, D(0)= D 0 表示初始时的装配式建筑供应链数字化协同水平。

假设2 参考Ma和Hu [26]的研究,数字化投入成本和信息共享成本为与努力水平相关的凸函数:

C M ( t )= 1 2 k M M 2 ( t ), C C ( t )= 1 2 k C P 2 ( t ), C S M ( t )= 1 2 c M S M 2 ( t ), C S C ( t )= 1 2 c C S C 2 ( t ) (2)

其中 k M , k C , c M , c C >0 为成本系数。

假设3 政府采用动态奖惩机制对装配式建筑供应链上下游企业进行干预,促进供应链整体数字化协同水平提升。政府决定对装配式建筑供应链的数字化协同水平的奖惩下限 D _ 与动态奖惩系数 ξ 。当供应链整体数字化协同水平高于政府奖惩下限 D _ 时,预制构件生产商将会获得政府给予的数字化转型奖励 α M ( D D _ )ξ ,施工总承包方将会获得政府给予的数字化转型奖励 α C ( D D _ )ξ ,当企业减少数字化转型,供应链数字化协同水平自然衰减至低于政府补贴下限 D _ 时, ( D D _ )ξ 代表政府对企业的整体惩罚。其中 α M α C [ 0,1 ) α M + α C =1 ,表示政府的奖惩分配系数。

据此,本文构建出基准模型(NW-NS)、政府动态奖惩机制(W-NS)、信息共享机制(NW-S)和政府动态奖惩和信息共享联合作用(W-S)四种情景下的决策模型。

3.2. 符号与变量

为了便于查阅,本文中使用的符号及含义见表1

Table 1. List of notations

1. 模型符号及其含义

符号

定义

外生参数

γ M , γ C

数字化投入努力对数字化协同水平的影响系数

β M , β C

信息共享努力对数字化协同水平的影响系数

λ M , λ C

预制构件生产商和施工总承包方的边际收益

k M , k C

数字化投入努力的成本系数

c M , c C

信息共享努力的成本系数

D 0

初始装配式建筑供应链数字化协同水平

D _

政府奖惩下限

ξ

政府动态奖惩系数 ξ>0

α M , α C

奖惩分配系数 α M α C [ 0,1 ) α M + α C =1

δ

装配式建筑供应链数字化协同水平的衰减率

r

时间效用折扣率 r>0

t

时间

决策变量

M( t )

预制构件生产商的数字化投入努力

P( t )

施工总承包方的数字化投入努力

S M ( t )

预制构件生产商的信息共享努力

S C ( t )

施工总承包方的信息共享努力

状态变量

D( t )

装配式建筑供应链数字化协同水平

4. 模型构件与求解

4.1. 基准模型(NW-NS)

该模式下,政府不进行干预,装配式建筑供应链双方也不进行信息共享。假设装配式建筑供应链的数字化协同水平提升能带来一定的成本节约(包括效率的提升、减少返工成本等),由此可得预制构件生产商和施工总承包方的收益函数分别为:

max M ={ π M NWNS ( t )= 0 e rt [ λ M D( t ) 1 2 k M M 2 ( t ) ]dt } (3)

max P ={ π C NWNS ( t )= 0 e rt [ λ C D( t ) 1 2 k C P 2 ( t ) ]dt } (4)

命题1 当政府既不进行干预、供应链双方也不进行信息共享时,均衡结果为:

1) 预制构件生产商和施工总承包方的最优数字化投入努力分别为:

{ M NWNS = λ M γ M k M ( r+δ ) P NWNS = λ C γ C k C ( r+δ )

2) 装配式建筑供应链的数字化协同水平的最优演化轨迹为:

D NWNS ( t )= e δt ( D 0 D NWNS )+ D NWNS ,其中 D NWNS = 1 δ( r+δ ) ( λ M γ M 2 k M + λ C γ C 2 k C ) 表示当 t 时稳定状态的装配式建筑供应链数字化水平。

3) 预制构件生产商和施工总承包方的收益最优值函数轨迹分别为:

{ V M NWNS ( t )= λ M r+δ D NWNS ( t )+ 1 r [ γ M 2 2 k M ( m 1 ) 2 + γ C 2 k C m 1 n 1 ] V C NWNS ( t )= λ C r+δ D NWNS ( t )+ 1 r [ γ C 2 2 k C ( n 1 ) 2 + γ M 2 k M m 1 n 1 ]

其中 m i , n i ( i=1,2 ) 及证明过程见附录。

4.2. 政府动态奖惩机制下决策模型(W-NS)

当政府采用动态奖惩机制对装配式建筑供应链上下游企业进行干预但供应链双方不进行信息共享时,可得预制构件生产商和施工总承包方的收益函数分别为:

max M ={ π M WNS ( t )= 0 e rt [ λ M D( t ) k M 2 M 2 ( t )+ α M ( D D _ )ξ ]dt } (5)

max P ={ π C WNS ( t )= 0 e rt [ λ C D( t ) k C 2 P 2 ( t )+ α C ( D D _ )ξ ]dt } (6)

命题2 该模式下双方最优解分别为:

1) 预制构件生产商和施工总承包方的最优数字化投入努力分别为:

{ M WNS = γ M ( λ M + α M ξ ) k M ( r+δ ) P WNS = γ C ( λ C + α C ξ ) k C ( r+δ )

2) 装配式建筑供应链的数字化协同水平的最优演化轨迹为:

D WNS ( t )= e δt ( D 0 D WNS )+ D WNS ,其中 D WNS = λ M γ M 2 + γ M λ M α M ξ δ k M ( r+δ ) + λ C γ C 2 + γ C λ C α C ξ δ k C ( r+δ )

3) 预制构件生产商和施工总承包方的收益最优值函数轨迹分别为:

{ V M WNS ( t )= λ M + α M ξ r+δ D WNS ( t )+ 1 r [ γ M 2 2 k M ( s 1 ) 2 + γ C 2 k C s 1 q 1 α M ξ D _ ] V C WNS ( t )= λ C + α C ξ r+δ D WNS ( t )+ 1 r [ γ C 2 2 k C ( q 1 ) 2 + γ M 2 k M s 1 q 1 α C ξ D _ ]

其中 s i , q i ( i=1,2 ) 及证明过程见附录。

4.3. 信息共享机制下决策模型(NW-S)

当政府不进行干预,但装配式建筑供应链双方进行信息共享时,假设信息共享会减少信息不对称和协调摩擦,使数字化协同水平带来的成本节约更容易实现。由此可得预制构件生产商和施工总承包方的收益函数分别为:

max M ={ π M NWS ( t )= 0 e rt [ λ M D( t ) 1 2 k M M 2 ( t ) 1 2 c M S M 2 ( t ) ]dt } (7)

max P ={ π C NWS ( t )= 0 e rt [ λ C D( t ) 1 2 k C P 2 ( t ) 1 2 c C S C 2 ( t ) ]dt } (8)

命题3 该模式下双方最优解分别为:

1) 预制构件生产商和施工总承包方的最优数字化投入努力分别为:

{ M NWS = λ M γ M k M ( r+δ ) P NWS = λ C γ C k C ( r+δ ) S M NWS = β M λ M c M ( r+δ ) S C NWS = β C λ C c C ( r+δ )

2) 装配式建筑供应链的数字化协同水平的最优演化轨迹为:

D NWS ( t )= e δt ( D 0 D NWS )+ D NWS ,其中 D NWS = 1 δ ( λ M γ M 2 k M ( r+δ ) + λ C γ C 2 k C ( r+δ ) + β M 2 λ M c M ( r+δ ) + β C 2 λ C c C ( r+δ ) )

3) 预制构件生产商和施工总承包方的收益最优值函数轨迹分别为:

{ V M NWS ( t )= λ M r+δ D NWS ( t )+ 1 r [ ( γ M 2 2 k M + β M 2 2 c M ) ( g 1 ) 2 +( γ C 2 k C + β C 2 c C ) g 1 f 1 ] V C NWS ( t )= λ C r+δ D NWS ( t )+ 1 r [ ( γ C 2 2 k C + β C 2 2 c C ) ( f 1 ) 2 +( γ M 2 k M + β M 2 c M ) g 1 f 1 ]

其中 g i , f i ( i=1,2 ) 及证明过程见附录。

4.4. 政府动态奖惩和信息共享联合作用下决策模型(W-S)

当政府动态奖惩机制和信息共享机制同时存在时,可得预制构件生产商和施工总承包方的收益函数分别为:

max M, S M ={ π M WS ( t )= 0 e rt [ λ M D( t ) k M 2 M 2 ( t ) 1 2 c M S M 2 ( t )+ α M ( D D _ )ξ ]dt } (9)

max P, S C ={ π C WS ( t )= 0 e rt [ λ C D( t ) k C 2 P 2 ( t ) 1 2 c C S C 2 ( t )+ α C ( D D _ )ξ ]dt } (10)

命题4 该模式下双方最优解分别为:

1) 预制构件生产商和施工总承包方的最优数字化投入努力分别为:

{ M WS = γ M ( λ M + α M ξ ) k M ( r+δ ) S M WS = β M ( λ M + α M ξ ) c M ( r+δ ) P WS = γ C ( λ C + α C ξ ) k C ( r+δ ) S C WS = β C ( λ C + α C ξ ) c C ( r+δ )

2) 装配式建筑供应链的数字化协同水平的最优演化轨迹为:

D WS ( t )= e δt ( D 0 D WS )+ D WS ,其中 D WS = λ M + α M ξ δ( r+δ ) ( γ M 2 k M + β M 2 c M )+ λ C + α C ξ δ( r+δ ) ( γ C 2 k C + β C 2 c C )

3) 预制构件生产商和施工总承包方的收益最优值函数轨迹分别为:

{ V M WS ( t )= λ M + α M ξ r+δ D WS ( t )+ 1 r [ ( γ M 2 2 k M + β M 2 2 c M ) ( h 1 ) 2 +( γ C 2 k C + β C 2 c C ) h 1 l 1 α M ξ D _ ] V C WS ( t )= λ C + α C ξ r+δ D WS ( t )+ 1 r [ ( γ C 2 2 k C + β C 2 2 c C ) ( l 1 ) 2 +( γ M 2 k M + β M 2 c M ) h 1 l 1 α C ξ D _ ]

其中 g i , f i ( i=1,2 ) 及证明过程见附录。

5. 比较分析

基于以上研究,本节对各种情境下的预制构件生产商最优数字化投入、施工总承包方最优数字化投入、最优信息共享努力、预制构件生产商收益以及施工总承包方收益等指标进行比较分析,并得出相关结论。

命题5 M NWNS = M NWS < M WNS = M WS P NWNS = P NWS < P WNS = P WS S M NWS < S M WS S C NWS < S C WS

由命题5可知,政府动态奖惩机制能够提高预制构件生产商和施工总承包方的数字化投入努力。引入信息共享机制后,政府动态奖惩机制会进一步提升双方的信息共享努力,表明政府的激励政策不仅能够促进供应链双方的数字化投入,也能促进跨主体的信息协同行为,从而有利于实现更高水平的供应链数字协同治理能力。

命题6 D NWNS < D WNS < D WS D NWNS < D NWS < D WS

由命题6可知,政府动态奖惩机制和信息共享机制均能够提高装配式建筑供应链的数字化协同水平,这是因为政府动态奖惩机制和信息共享机制分别改变了预制构件生产商和施工总承包方的数字化投入努力和信息共享努力,进而提升了装配式建筑供应链的数字化协同水平。当政府动态奖惩机制和信息共享机制同时存在时,预制构件生产商和施工总承包方的数字化投入努力都将得到提升,从而使供应链的数字化协同水平达到四种情境中的最大。

推论1 λ M γ M α M ξ k M + λ C γ C α C ξ k C λ M β M 2 c M + λ C β C 2 c C ,可得 D WNS D NWS ,反之, D WNS < D NWS

由推论1可知:当政府动态奖惩机制和信息共享机制单独存在时,不能确定哪种机制对装配式建筑供应链的数字化协同水平改善情况更佳,公式左端刻画政府通过动态奖惩机制激励供应链上下游企业增加数字化投入努力,该效应与成本系数、数字化投入努力和信息共享努力对数字化协同水平的影响系数、动态奖惩系数和奖惩分配系数等取值有关。公式右端表示在无政策干预下,信息共享机制通过提升共享努力提升数字协同水平的内生效应,该效应取决于共享成本和共享效率。当政府激励驱动的有效数字化投入效应不低于信息共享机制所带来的协同增益时,政府奖惩主导的情景能够实现更高的长期数字化协同水平。

命题7 V M NWNS < V M NWS V M WNS < V M WS V C NWNS < V C NWS V C WNS < V C WS

由命题7可知,无论政府是否进行政策干预,信息共享机制都能够提高预制构件生产商和施工总承包方的收益,进而使装配式建筑供应链整体收益得到提升。这是因为信息共享机制激励供应链成员付出信息共享努力,进而提升了供应链的数字化协同水平,最终给双方带来收益提升。

推论21) 当 0< D _ < D 3 _ 时, V M NWNS < V M NWS < V M WNS < V M WS ;当 D 3 _ < D _ < D 1 _ 时, V M NWNS < V M WNS < V M NWS < V M WS ;当 D 1 _ < D _ < D 2 _ 时, V M WNS < V M NWNS < V M NWS < V M WS

2) 当 0< D _ < D 6 _ 时, V C NWNS < V C NWS < V C WNS < V C WS ;当 D 6 _ < D _ < D 4 _ 时, V C NWNS < V C WNS < V C NWS < V C WS ;当 D 4 _ < D _ < D 5 _ 时, V M WNS < V M NWNS < V M NWS < V M WS

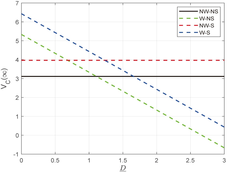
由推论2可知,当政府动态奖惩机制和信息共享机制单独存在时,不能确定哪种机制对于装配式建筑供应链双方的改善情况更佳。当政府制定的补贴(或奖惩)下限较低时,政策激励能够有效促进企业数字化投入并提升其收益,相比于单一实施信息共享机制更能够实现高收益。然而,随着政府制定的奖惩下限逐渐提时,政府干预所引入的固定门槛成本逐渐放大,当其超过由协同水平提升带来的边际收益时,企业净收益反而下降,甚至低于无政府干预情景。

6. 算例仿真

为了更直观的分析不同情境下装配式建筑供应链的数字化协同水平、预制构件生产商收益、施工总承包方收益等,本节将对外生变量赋值,进行数值仿真实验和敏感性分析,以更好地揭示外生参数对供应链双方最优策略的影响。基于此前的理论研究[26],同时结合本文关于装配式建筑供应链数字化转型问

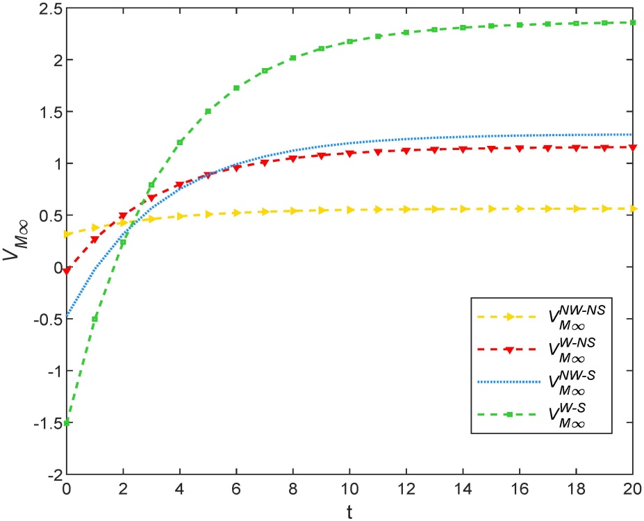
Figure 1. The optimal time trajectory for digital collaboration in the prefabricated building supply chain

1. 装配式建筑供应链数字化协同水平的最优轨迹

题的实际研究背景,设置基本参数如下: γ M =0.9 γ C =0.8 β M =0.7 β C =0.7 k M =2.5 k C =2.5 c M =1.5 c C =1.5 λ M =1.1 λ C =1.0 δ=0.3 α M =0.5 α C =0.5 ξ=0.8 r=0.2 D _ =0.2

对四种情境下装配式建筑供应链的数字化协同水平进行仿真分析,结果如图1所示。由图1可以看出政府动态奖惩机制和信息共享机制都能够促进装配式建筑供应链数字化协同水平的提升。政府动态奖惩机制下政府分担了供应链双方的部分成本,促进预制构件生产商和施工总承包方扩大数字化投入努力,进而提高供应链的数字化协同水平。信息共享机制促进跨主体的信息协同行为,当两者同时存在时,装配式建筑供应链的数字化协同水平达到四种情景中的最大。

(a) 预制构件生产商 (b) 施工总承包方

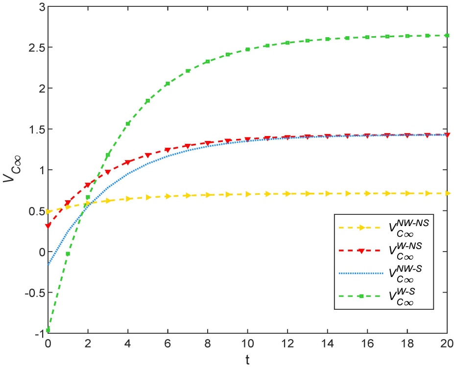
Figure 2. Revenue of the precast component manufacturer and the general contractor

2. 预制构件生产商和施工总承包方收益

对四种情境下预制构件生产商和施工总承包方的收益进行仿真分析,结果如图2所示。由图2可知,政府动态奖惩机制和信息共享机制都能够给预制构件生产商和施工总承包方带来收益提升。对预制构件生产商而言,无论是否进行信息共享,引入政府动态奖惩机制均能够显著提高其长期收益。此外,信息共享与政府干预具有明显的协同效应,使得政府动态奖惩机制和信息共享机制同时存在情景下的供应链收益最高。

(a) 预制构件生产商 (b) 施工总承包方

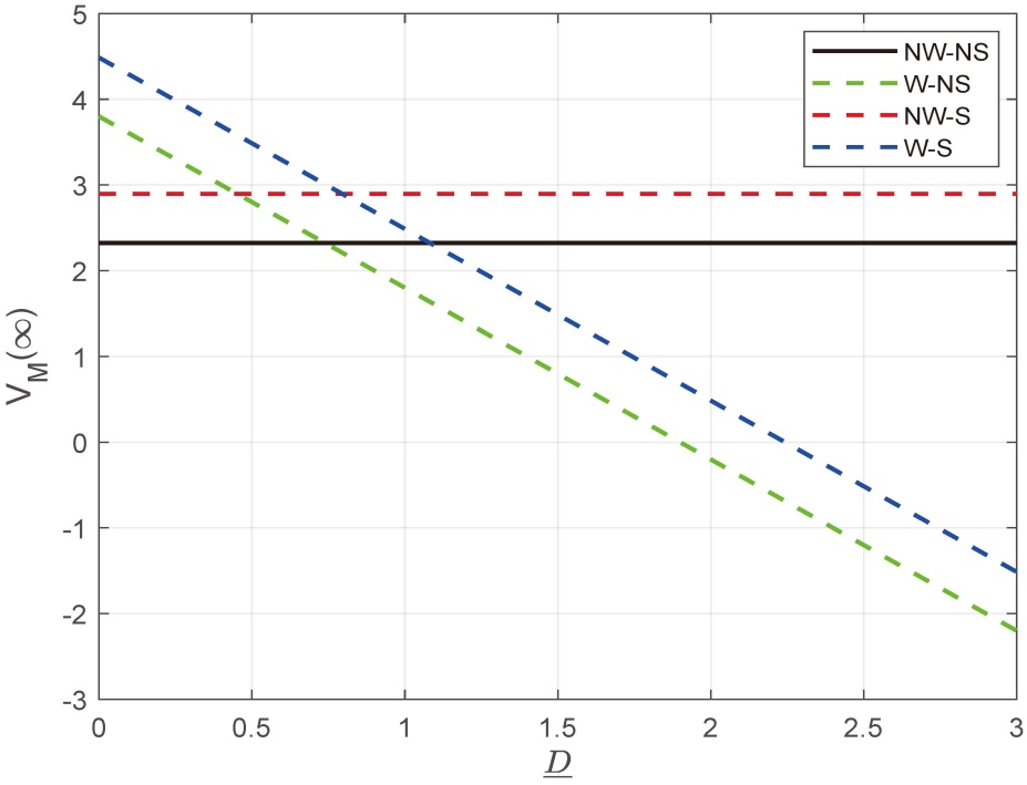
Figure 3. Threshold effect of government reward and punishment minimum

3. 政府奖惩下限的阈值效应

图3所示,预制构件生产商和施工总承包方的收益随着政府奖惩下限的变化呈显著差异。如命题2和推论2,无论政府是否进行政策干预,信息共享机制都能够提高预制构件生产商和施工总承包方的收益,进而使装配式建筑供应链整体收益得到提升。进一步比较不同机制可发现,存在临界奖惩下限,使得政府干预机制能够有效提升供应链双方收益,且双重机制下收益最高。然而,随着政府奖惩下限的提高,企业为满足要求可能被迫增加超出最优水平的数字化投入。这种为避免惩罚或获取补贴的策略性投入可能会偏离最优资源配置。在此情形下,过高的奖惩下限反而抑制了企业的激励效果,使得无政府干预情形的收益反而更高。这一结果表明,政府奖惩机制对企业数字化投入具有“激励–挤出”的双重效应,合理设定奖惩下限是发挥政策激励作用的关键。

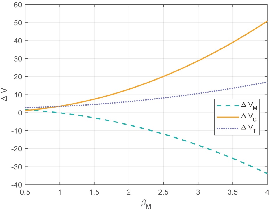
(a) c M 敏感性 (b) c C 敏感性

Figure 4. Sensitivity analysis of c M and c C .

4. c M c C 的敏感性分析

(a) β M 敏感性 (b) β C 敏感性

Figure 5. Sensitivity analysis of β M and β C

5. β M β C 的敏感性分析

仿真分析信息共享成本系数 c M c C 对预制构件生厂商、施工总承包方和供应链整体收益的影响,结果如图4所示。为检验关键参数变化对机制收益改善效果的影响,在保持其他参数不变条件下,分别改变信息共享成本系数并计算不同机制相对基准场景(NW-NS)的收益改善量 ΔV 。由图4可知,随着共享成本参数的提高,供应链整体收益改善程度 Δ V T 虽然呈下降趋势,但是在参数区间内仍保持为正,这说明信息共享机制在系统层面具有稳健的正效应。然而,个体收益变化呈现明显的异质性,当一方共享成本较低时,其可能会承担更多的信息共享责任,但协同收益则可能更多被另一方获取,从而导致自身收益改善程度下降。这表明,信息共享机制在提升供应链整体绩效的同时,可能引发成员间的收益再分配问题,也为政府实施激励或补贴政策提供了理论依据。

仿真分析信息共享成本系数 β M β C 对预制构件生产商、施工总承包方和供应链整体收益的影响,结果如图5所示。由图5可知,信息共享效率参数的提升对供应链整体收益具有显著的正向作用,但信息共享效率提升所带来的收益分配具有显著的非对称性。一方信息共享效率越高,越有利于其协作方获取协同红利,而自身则需承担更高的共享成本,从而导致收益改善程度下降。该结果表明,在推动供应链信息共享效率提升的同时,有必要通过合理的激励与补偿机制,缓解信息共享双方的收益分配不均问题。

7. 结论

装配式建筑是推动建筑业转型升级的重要途径,但装配式建筑供应链各主体相互独立、协同复杂,数字化协同能力不足已成为制约其规模化与高质量发展的关键瓶颈。基于此,本文考虑现实中装配式建筑供应链数字化转型背景,构建了一个包含预制构件生产商和施工总承包方的微分博弈模型。同时考虑政府动态奖惩机制与信息共享机制对供应链成员数字化投入决策、信息共享努力水平及整体数字化协同水平的影响。本文分别讨论了无政府干预与无信息共享、单一政府动态奖惩机制、单一信息共享机制以及二者联合作用四种情景,并通过比较分析与数值仿真验证了模型结论的稳健性。

研究结果表明,政府动态奖惩机制能够有效激励预制构件生产商和施工总承包方提高数字化投入努力,进而提升装配式建筑供应链整体数字化协同水平。引入信息共享机制后,供应链双方同时投入数字化转型努力和信息共享努力,进一步降低供应链信息不对称和协同摩擦成本,促进整体数字化协同水平和绩效提升。这表明供应链上下游进行信息共享对推动数字化转型过程具有稳健的正向作用。政府动态奖惩机制和信息共享机制同时存在时,装配式建筑供应链的数字化协同水平达到最高,而单一机制难以充分释放数字化转型的协同收益。因此,协同设计政府激励政策和供应链上下游之间的信息共享机制尤为关键。此外,政府如何设定动态奖惩下限对政策效果具有显著影响。具体而言,存在临界奖惩下限使得政府干预机制和信息共享机制协同作用下绩效最高,但随着政府奖惩下限的提高,“激励–挤出”的双重效应凸显,固定门槛成本将削弱政策激励效果,反而抑制企业的数字化转型动机,进而导致供应链整体绩效降低。这表明政府在实施干预政策时应合理制定奖惩下限以最大化发挥激励作用。

本文重点研究了政府动态奖惩机制和信息共享机制对于装配式建筑供应链数字化转型的影响,旨在为激励装配式建筑供应链数字化转型提供有意义的管理启示。但是,本文还存在一定的局限性。本文只考虑了装配式建筑供应链中的预制构件生产商和施工总承包方,并且对于数字化投入努力和信息共享努力的作用刻画较为简单。未来研究可考虑引入供应链信息共享水平、需求不确定性以及多种政府干预机制,并拓展至多主体供应链系统,以更全面反映装配式建筑供应链数字化转型的复杂决策场景。

附 录

1) 命题1的证明

运用贝尔曼连续动态规划理论,可以求出预制构件生产商和施工总承包方的HJB方程:

r V M NWNS = max M { λ M D k M M 2 /2 + V M NWN S ( γ M M+ γ C PδD ) }

r V C NWNS = max P { λ C D k C P 2 /2 + V C NWN S ( γ M M+ γ C PδD ) }

对HJB方程的右端求一阶导可得

M= γ M k M V M NWN S ,P= γ C k C V C NWN S

代回HJB方程可以得到:

r V M NWNS = λ M D+ γ M 2 2 k M ( V M NWN S ) 2 + γ C 2 k C V M NWN S V C NWN S δ V M NWN S D

r V C NWNS = λ C D+ γ C 2 2 k C ( V C NWN S ) 2 + γ M 2 k M V C NWN S V M NWN S δ V C NWN S D

观察上式,可以看出预制构件生产商和施工总承包方的最优收益函数是关于 D 的线性函数,因此假设: { V M NWNS = m 1 D+ m 2 V C NWNS = n 1 D+ n 2 ,其中 m 1 m 2 n 1 n 2 均为未知常数。

V M NWNS V C NWNS 代回HJB方程可以得到:

r( m 1 D+ m 2 )= λ M D+ γ M 2 2 k M ( m 1 ) 2 + γ C 2 k C m 1 n 1 δ m 1 D,r( n 1 D+ n 2 )= λ C D+ γ C 2 2 k C ( n 1 ) 2 + γ M 2 k M m 1 n 1 δ n 1 D

观察等式两边可以解得:

m 1 = λ M r+δ , m 2 = 1 r [ γ M 2 2 k M ( m 1 ) 2 + γ C 2 k C m 1 n 1 ], n 1 = λ C r+δ , n 2 = 1 r [ γ C 2 2 k C ( n 1 ) 2 + γ M 2 k M m 1 n 1 ],

由此可得:

{ M NWNS = λ M γ M k M ( r+δ ) P NWNS = λ C γ C k C ( r+δ ) D ˙ ( t )= λ M γ M 2 k M ( r+δ ) + λ C γ C 2 k C ( r+δ ) δD( t ),D( 0 )= D 0 ,其中可得

D NWNS ( t )= e δt ( D 0 D NWNS )+ D NWNS ,其中 D NWNS = 1 δ( r+δ ) ( λ M γ M 2 k M + λ C γ C 2 k C ) 表示当 t 时稳定状态的装配式建筑供应链数字化水平。

因此,预制构建生产商和施工总承包方的收益最优值函数轨迹分别为:

{ V M NWNS ( t )= λ M r+δ D NWNS ( t )+ 1 r [ γ M 2 2 k M ( m 1 ) 2 + γ C 2 k C m 1 n 1 ] V C NWNS ( t )= λ C r+δ D NWNS ( t )+ 1 r [ γ C 2 2 k C ( n 1 ) 2 + γ M 2 k M m 1 n 1 ]

由此,命题1得证。类似可证命题2、命题3及命题4。

2) 推论2的证明

V M WNS V M NWNS = α M ξ r+δ D+ 1 r [ γ M 2 ( 2 λ M + α M ξ ) α M ξ 2 k M ( r+δ ) 2 + γ C 2 ( λ M α C + λ C α M + α M α C ξ )ξ k C ( r+δ ) 2 α M ξ D _ ] ,可以解得,当 D _ r r+δ D+ γ M 2 ( 2 λ M + α M ξ ) 2 k M ( r+δ ) 2 + γ C 2 ( λ M α C + λ C α M + α M α C ξ ) k C α M ( r+δ ) 2 = D 1 _ 时, V M NWNS < V M WNS ;类似可解: D _ r r+δ D+( γ M 2 2 k M + β M 2 2 c M ) 2 λ M + α M ξ ( r+δ ) 2 +( γ C 2 k C + β C 2 c C ) λ M α C + λ C α M + α M α C ξ α M ( r+δ ) 2 = D 2 _ 时, V M NWS < V M WS D _ r r+δ D+ γ M 2 ( 2 λ M + α M ξ ) 2 k M ( r+δ ) 2 β M 2 2 c M λ M 2 α M ξ ( r+δ ) 2 + γ C 2 ( λ M α C + λ C α M + α M α C ξ ) k C α M ( r+δ ) 2 β C 2 c C λ M λ C α M ξ ( r+δ ) 2 = D 3 _ 时, V M NWS < V M WNS

且易知, D 3 _ < D 1 _ < D 2 _ ,由此可得:

1) 当 0< D _ < D 3 _ 时, V M NWNS < V M NWS < V M WNS < V M WS

2) 当 D 3 _ < D _ < D 1 _ 时, V M NWNS < V M WNS < V M NWS < V M WS

3) 当 D 1 _ < D _ < D 2 _ 时, V M WNS < V M NWNS < V M NWS < V M WS

同理可推导 V C NWNS V C NWS V C WNS V C WS

其中

D 4 _ = r r+δ D+ γ C 2 ( 2 λ C + α C ξ ) 2 k C ( r+δ ) 2 + γ M 2 ( λ M α C + λ C α M + α M α C ξ ) α C k M ( r+δ ) 2

D 5 _ = r r+δ D+( γ C 2 2 k C + β C 2 2 c C ) 2 λ C + α C ξ ( r+δ ) 2 +( γ M 2 k M + β M 2 c M ) λ M α C + λ C α M + α M α C ξ α C ( r+δ ) 2

D 6 _ = r r+δ D+ γ C 2 ( 2 λ C + α C ξ ) 2 k C ( r+δ ) 2 β C 2 2 c C λ C 2 α C ξ ( r+δ ) 2 + γ M 2 ( λ M α C + λ C α M + α M α C ξ ) k M α C ( r+δ ) 2 β M 2 c M λ M λ C α C ξ ( r+δ ) 2

参考文献

[1] 刘炳胜, 王雪青, 陈晓红, 等. 空间维视角下中国建筑产业竞争力形成机理差异化研究[J]. 系统工程理论与实践, 2013, 33(5): 1351-1360.
[2] 杨增科, 樊瑞果, 黄炜, 等. 政府干预下装配式建筑产业链核心企业协作策略研究[J]. 中国管理科学, 2024, 32(3): 28-39.
[3] Kache, F. and Seuring, S. (2017) Challenges and Opportunities of Digital Information at the Intersection of Big Data Analytics and Supply Chain Management. International Journal of Operations & Production Management, 37, 10-36. [Google Scholar] [CrossRef
[4] PWC (2023) How Much Is Technology Transforming Supply Chains? PwC’s 2023 Digital Trends in Supply Chain Sur-vey.
[5] Li, Z., Shen, G.Q. and Xue, X. (2014) Critical Review of the Research on the Management of Prefabricated Construction. Habitat International, 43, 240-249. [Google Scholar] [CrossRef
[6] Hussein, M., Eltoukhy, A.E.E., Karam, A., Shaban, I.A. and Zayed, T. (2021) Modelling in Off-Site Construction Supply Chain Management: A Review and Future Directions for Sustainable Modular Integrated Construction. Journal of Cleaner Production, 310, Article ID: 127503. [Google Scholar] [CrossRef
[7] Han, Y., Yan, X. and Piroozfar, P. (2022) An Overall Review of Research on Prefabricated Construction Supply Chain Management. Engineering, Construction and Architectural Management, 30, 5160-5195. [Google Scholar] [CrossRef
[8] Hamledari, H. and Fischer, M. (2021) Measuring the Impact of Blockchain and Smart Contracts on Construction Supply Chain Visibility. Advanced Engineering Informatics, 50, Article ID: 101444. [Google Scholar] [CrossRef
[9] Enrique, D.V., Lerman, L.V., Sousa, P.R.d., Benitez, G.B., Bigares Charrua Santos, F.M. and Frank, A.G. (2022) Being Digital and Flexible to Navigate the Storm: How Digital Transformation Enhances Supply Chain Flexibility in Turbulent Environments. International Journal of Production Economics, 250, Article ID: 108668. [Google Scholar] [CrossRef
[10] Meindl, B., Ayala, N.F., Mendonça, J. and Frank, A.G. (2021) The Four Smarts of Industry 4.0: Evolution of Ten Years of Research and Future Perspectives. Technological Forecasting and Social Change, 168, Article ID: 120784. [Google Scholar] [CrossRef
[11] Abdalla, S. and Nakagawa, K. (2021) The Interplay of Digital Transformation and Collaborative Innovation on Supply Chain Ambidexterity. Technology Innovation Management Review, 11, 45-56. [Google Scholar] [CrossRef
[12] Zhang, W., Zhao, S. and Wan, X. (2021) Industrial Digital Transformation Strategies Based on Differential Games. Applied Mathematical Modelling, 98, 90-108. [Google Scholar] [CrossRef
[13] Fearne, A. and Fowler, N. (2006) Efficiency versus Effectiveness in Construction Supply Chains: The Dangers of “Lean” Thinking in Isolation. Supply Chain Management: An International Journal, 11, 283-287. [Google Scholar] [CrossRef
[14] Andersson, N. and Lessing, J. (2017) The Interface between Industrialized and Project Based Construction. Procedia Engineering, 196, 220-227. [Google Scholar] [CrossRef
[15] Cheng, J.C.P., Law, K.H., Bjornsson, H., Jones, A. and Sriram, R. (2010) A Service Oriented Framework for Construction Supply Chain Integration. Automation in Construction, 19, 245-260. [Google Scholar] [CrossRef
[16] Rezgui, Y., Hopfe, C.J. and Vorakulpipat, C. (2010) Generations of Knowledge Management in the Architecture, Engineering and Construction Industry: An Evolutionary Perspective. Advanced Engineering Informatics, 24, 219-228. [Google Scholar] [CrossRef
[17] 薛小龙, 王要武, 沈岐平. 信息共享在建筑供应链决策中的价值测度[J]. 土木工程学报, 2011, 44(8): 132-138.
[18] Başar, T.S. and Bernhard, P. (2005) Differential Games and Applications. Springer.
[19] Kamien, M.I. and Schwartz, N.L. (1991) Dynamic Optimization: The Calculus of Variations and Optimal Control in Economics and Management. North-Holland.
[20] Kennedy, A.P., Sethi, S.P., Siu, C.C. and Yam, S.C.P. (2021) Cooperative Advertising in a Dynamic Three‐Echelon Supply Chain. Production and Operations Management, 30, 3881-3905. [Google Scholar] [CrossRef
[21] Han, J., Sethi, S.P., Siu, C.C. and Yam, S.C.P. (2023) Co‐op Advertising in Randomly Fluctuating Markets. Production and Operations Management, 32, 1617-1635. [Google Scholar] [CrossRef
[22] He, L., Yuan, B., Bian, J. and Lai, K.K. (2021) Differential Game Theoretic Analysis of the Dynamic Emission Abatement in Low-Carbon Supply Chains. Annals of Operations Research, 324, 355-393. [Google Scholar] [CrossRef
[23] Zhou, H., Liu, M. and Tan, Y. (2023) Long-Term Emission Reduction Strategy in a Three-Echelon Supply Chain Considering Government Intervention and Consumers’ Low-Carbon Preferences. Computers & Industrial Engineering, 186, Article ID: 109697. [Google Scholar] [CrossRef
[24] Kang, Y., Dong, P., Ju, Y. and Zhang, T. (2024) Differential Game Theoretic Analysis of the Blockchain Technology Investment and Carbon Reduction Strategy in Digital Supply Chain with Government Intervention. Computers & Industrial Engineering, 189, Article ID: 109953. [Google Scholar] [CrossRef
[25] Nerlove, M. and Arrow, K.J. (1962) Optimal Advertising Policy under Dynamic Conditions. Economica, 29, 129-142. [Google Scholar] [CrossRef
[26] Ma, D. and Hu, J. (2022) The Optimal Combination between Blockchain and Sales Format in an Internet Platform-Based Closed-Loop Supply Chain. International Journal of Production Economics, 254, Article ID: 108633. [Google Scholar] [CrossRef