不同含水状态下煤矿地下水库坝体力学性能及损伤演化特征研究
Study on the Mechanical Properties and Damage Evolution Characteristics of Underground Reservoir Dams in Coal Mines under Different Water-Bearing Conditions
DOI: 10.12677/me.2026.142035, PDF, HTML, XML,    科研立项经费支持
作者: 李成松*:安徽理工大学安全科学与工程学院,安徽 淮南;安徽理工大学煤炭无人化开采数智技术全国重点实验室,安徽 淮南;冯飞胜:安徽理工大学煤炭无人化开采数智技术全国重点实验室,安徽 淮南
关键词: 煤柱坝体人工坝体含水状态力学性能损伤演化Coal Pillar Dam Artificial Dam Water-Bearing State Mechanical Properties Damage Evolution
摘要: 为探究含水条件下煤矿地下水库煤柱坝体与人工坝体的力学劣化与损伤演化机理,本研究采用相似材料制备煤柱及不同强度混凝土坝体(C30, C35, C40)试样,开展了干燥、自然含水及饱和状态下吸水特性、单轴压缩及声发射监测试验。结果表明,煤柱与混凝土单体含水率随浸水时间呈指数增长,煤体饱和含水率显著高于混凝土,且混凝土强度等级越高,其吸水能力越弱。随含水率增加,二者峰值应力与弹性模量整体呈“先增大后减小”趋势,饱和状态下水分软化作用导致承载能力显著降低,破坏模式由剪切主导逐渐向拉伸主导转变。声发射RA-AF特征表明,饱和状态下拉伸裂纹占比提高、声发射活动减弱。含水作用显著控制了煤柱与人工坝体单体的力学劣化及破坏机制,为地下水库坝体的稳定性评价提供了试验依据。
Abstract: To investigate the mechanical degradation and damage evolution mechanisms of coal pillar dams and artificial dams in underground coal mine reservoirs under water-bearing conditions, this study prepared coal pillar and concrete dam samples of different strengths (C30, C35, C40) using similar materials. Water absorption characteristics, uniaxial compression, and acoustic emission monitoring tests were conducted under dry, naturally water-bearing, and saturated conditions. The results showed that the moisture content of both coal pillars and concrete units increased exponentially with immersion time. The saturated moisture content of the coal was significantly higher than that of the concrete, and the higher the concrete strength grade, the weaker its water absorption capacity. With increasing moisture content, the peak stress and elastic modulus of both showed an overall trend of “initial increase followed by decrease”. Under saturated conditions, the softening effect of water significantly reduced the bearing capacity, and the failure mode gradually shifted from shear-dominated to tension-dominated. Acoustic emission RA-AF characteristics indicated that the proportion of tensile cracks increased and acoustic emission activity decreased under saturated conditions. The water-bearing effect significantly controlled the mechanical degradation and failure mechanisms of coal pillars and artificial dam units, providing experimental evidence for the stability evaluation of underground reservoir dams.
文章引用:李成松, 冯飞胜. 不同含水状态下煤矿地下水库坝体力学性能及损伤演化特征研究[J]. 矿山工程, 2026, 14(2): 328-337. https://doi.org/10.12677/me.2026.142035

1. 引言

在地下水库运行中,煤柱坝体和人工坝体长期受水作用影响,其含水条件下的力学特性与破坏机制已成为煤矿地下水库安全研究的关键问题。煤柱坝体长期处于浸水环境中,水的侵入与应力变化导致煤岩强度显著弱化、变形破坏和损伤演化[1]

徐智敏等人[2]的研究表明,侵蚀性矿井水在高水压长期作用下会导致煤柱孔隙裂隙显著发育、结构演化与力学强度持续劣化,并通过物理吸水膨胀与后期化学溶解共同作用形成损伤演化过程。Chen等人[3]对干燥、天然和饱和三种含水状态下煤岩组合体进行力学性能测试,发现含水量和加载速率显著影响煤岩组合体的力学参数与裂纹扩展规律,通过声发射与刚度–应力关系可精确识别裂纹闭合、起始与损伤阶段的阈值。长期浸水条件下,煤岩组合体含水量的升高会显著降低组合体抗压强度[4]、抗拉强度[5]、弹性模量[6]与能量吸收能力[7],并使破坏方式由剪切转为拉伸[8]。含水量的增加会导致煤、岩石及其界面力学性能劣化,并且煤岩组合体界面中的含水效应在组合体破坏模式中逐渐占据主导地位。Li等人[9]基于Burgers蠕变模型,构建了考虑含水量影响的煤岩组合体蠕变本构关系,并通过试验与数值模拟表明含水与应力耦合作用显著加剧煤岩组合体的蠕变变形与长期失稳风险。

干湿循环相比连续湿润更显著地加速煤柱抗压强度衰减,并且干湿循环中的孔隙度增加是组合体破坏损伤的主要机制。Xu等人[10]通过力学、声发射与显微分析系统揭示了煤–混凝土组合体在矿水浸泡0~28天内的显著劣化特征,组合体试样的损伤破坏程度比单个煤或混凝土试样更为明显,失效模式从剪切主导转变为浸没后期的拉伸主导。不同含水率下煤样的拉伸、压缩与剪切试验发现水浸作用会导致煤体力学性能显著退化(强度下降、内聚力减小、摩擦角增大)。张星星[11]综合单轴压缩试验与深度学习技术,研究动水/静水条件下煤岩及煤–砂岩组合体的力学劣化、声发射与电阻率演化规律,并提出基于iTransformer的多域特征融合模型,实现了对含水煤岩失稳破坏剩余时间的高精度预测。杨科等人[12]通过倾角与含水率耦合的单轴压缩试验与“三区”强度–界面粗糙度–黏结模型,揭示了人工坝–煤组合体在不同倾角和含水条件下的强度劣化、裂纹演化与失稳机制,并指出界面应力状态为主控因素。Yao等人[13]通过干燥、自然湿润与饱和条件下的煤岩组合单轴压缩试验,结合声发射与红外辐射数据,揭示了含水导致组合体强度与弹性模量显著下降、裂纹集中在煤层表面,以及AE与IR前兆时间与应力间隔显著延长的规律。

综上所述,国内外学者围绕含水条件下煤岩及其组合体的力学劣化、损伤演化与失稳机制开展了大量研究,揭示了水作用对材料强度、变形特性、裂纹演化及破坏模式转化的显著影响。然而,现有研究多聚焦于煤岩组合体整体或单一材料的含水效应,对煤柱与人工坝体作为地下水库关键承载单元,在不同含水状态下煤柱与人工坝体各自力学性能演化特征及损伤机理的对比研究仍显不足。基于此,本文围绕不同含水状态下煤柱与人工坝体单体的力学响应特征与损伤演化规律开展研究,旨在揭示水作用条件下不同坝体材料的劣化机制,为地下水库坝体结构安全与长期稳定运行提供试验依据与理论支撑。

2. 试验材料与方法

2.1. 试验材料

试验所用水泥为P.O42.5硅酸盐水泥;煤粉采用0.5~1 mm,来自河南某净水材料厂;河沙过8目(2.5 mm × 2.5 mm)筛网,石子采用直径3~6 mm的大小,来自江苏某工程材料厂。

2.2. 试验方案

为获得煤矿地下水库坝体,在借鉴已有研究成果的基础上,对国内外相关试验研究进行了系统梳理与对比分析[14] [15]。并结合前期已开展的探索性试验研究,煤柱坝体相似材料最终采用煤粉、水泥和水按2.5∶1∶1的质量比进行配制,人工混凝土坝体则由P.O42.5硅酸盐水泥、河沙、石子和水按相应质量比配制,其具体配比见表1

Table 1. Mix proportions of artificial dam test blocks

1. 人工坝体试块配比

混凝土强度等级

水泥/kg

河沙/kg

石子/kg

水/kg

C30

1

1.92

3.41

0.54

C35

1

1.67

3.09

0.51

C40

1

1.63

2.9

0.5

鉴于煤柱–人工坝体结构在地下水库工程中其受力行为受界面形态的显著控制,为合理表征煤柱与人工坝体在实际工程条件下的整体受力特征,本文将单轴压缩试样统一制备为100 mm × 100 mm × 100 mm的立方体形式。通过统一试样尺寸,消除了几何尺度差异对试验结果的影响,从而确保试验力学参数对比分析的可靠性。

2.3. 试验过程

试块制备过程主要包括:1) 按既定配比对筛分后的煤粉与河沙进行称量。2) 分别将煤粉、水泥以及河沙、石子与水泥进行干拌,混合均匀后加水进行充分湿拌。3) 在模具底部及侧壁均匀涂抹液压油,将拌合料分次装入模具并进行振动密实,当试样表面无明显气泡逸出时停止振捣,振捣时间控制为15 s,以避免材料离析。4) 成型试样静置24 h后脱模,对各试块进行编号,并在常温条件下定期洒水养护28 d,最终获得试验所需试样。试样的制备流程及部分已完成浇筑的试样如图1所示。

Figure 1. Preparation flowchart

1. 制备流程图

3. 实验结果与分析

3.1. 煤柱和人工坝体单体的吸水特性

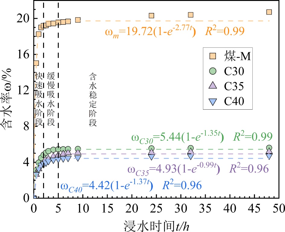
通过对煤柱和人工混凝土试块进行浸水试验,获得煤柱单体和混凝土单体的含水率随时间的变化曲线(图2)。结果表明,试块含水率随浸水时间的增加呈显著非线性增长特征,其变化过程可采用指数模型 ω=a( 1 e bt ) 进行良好拟合,拟合优度均满足( R 2 0.96 )。

Figure 2. Curve of moisture content of sample changing over time

2. 试样含水率随时间变化曲线图

图2所示,试块增长速率均展现出先快后缓的趋势,可将含水率的增长过程拆分为三个阶段,即快速吸水阶段、缓慢吸水阶段和含水稳定阶段。

在快速吸水阶段,煤单体和混凝土单体的含水率迅速上升,此时曲线斜率最大,该阶段主要由宏观裂隙与毛细孔的快速进水所主导,大量水分在短时间内进入试块内部,使含水率显著增加。同一阶段中,煤单体的含水率最高。

在渐进吸水阶段,各类试块的吸水速率明显下降,含水率增长曲线逐渐趋缓。煤单体与不同强度等级混凝土在浸水约7 h、3.5 h、6 h和7 h时分别达到其饱和含水率的约95%,表明试块已基本接近饱和状态。

在含水稳定阶段,煤单体与混凝土单体的吸水速率趋于水平,含水率随时间延长基本保持稳定。最终煤单体、C30、C35和C40混凝土单体试块的饱和含水率大约为20.71%、5.61%、5.19%、4.72%。

上述结果表明,煤的饱和含水率显著高于三种混凝土,表明煤体孔隙率较大、吸水能力更强。混凝土单体的吸水能力大小为:C30 > C35 > C40,即强度等级越低,其吸水速率和饱和度越高。这是由于混凝土强度等级提高,水灰比减小,混凝土的孔隙结构越紧密,抗渗性增强,从而降低其吸水性与饱和含水率。由于混凝土的吸水过程复杂且缓慢,难以在有限时间内达到绝对饱和,因此本研究将饱和状态界定为近似饱和状态。

3.2. 煤柱和人工坝体单体的力学特性

对干燥、自然和饱和三种含水状态下煤试块和人工坝体试块进行单轴压缩试验,其应力–应变曲线可以分为四个阶段:初始压密阶段、弹性变形阶段、塑性阶段、峰后破坏阶段。由图3所示,在初始压密阶段,试样内部原生孔隙与微裂隙逐步闭合,材料结构由相对疏松向致密转变。此时曲线呈现出明显的上凹形,应力增长缓慢而应变增长较快,在相同材料条件下,含水率越高,试样的压密效应越为显著。在弹性变形阶段,试样内部裂隙基本闭合,变形以可恢复的弹性变形为主,卸载应力后可基本恢复,此时应力–应变曲线近似直线,曲线斜率保持相对稳定。进入塑性变形阶段后,试块发生不可逆的变形,新裂隙逐渐萌生并伴随原有裂隙的稳定扩展,材料进入损伤累积阶段。应力–应变曲线逐渐偏离线性并呈现上凸特征,应力仍持续增加但增幅明显减小。峰值点之后为峰后破坏阶段,此时裂隙迅速扩展并贯通,承载能力显著下降,形成明显的破坏面。

单轴实验结果如表2所示,其中同组试验的峰值应力与峰值应变均取3个平行试样的平均值。在相同的含水状态下,四种单体试样的单轴抗压强度结果大小排序为:C35 > C40 > C30 > M,弹性模量排序为C35 > C40 > C30 > M。

3.3. 含水条件下煤柱与人工坝体的力学劣化机理分析

随着含水率的增加,四种单体试样的峰值应力、弹性模量均出现先增加后降低的趋势,峰值应变随含水率的增加出现降低的趋势,见图4

煤的力学性质同时受到低含水饱和度条件下水分胶结效应和高含水饱和度条件下水分软化效应的影响。通常,含有适量水分的煤样其强度高于干燥状态或完全饱和状态的煤样,随着含水饱和度的提高,轴向应变呈现先减小后增大的变化趋势,弹性模量则表现为先增大后减小。这种变化特征主要源于水分在煤体中对固结作用与软化作用的综合影响[16]。干燥处理过程中,煤体内部水分快速迁移与蒸发会引起干缩变形,从而诱发微裂隙产生与扩展,从而削弱其整体承载能力[17]。因此,该过程可被认为是干燥状态下试样强度降低的重要物理机制之一,即由失水引起的物理损伤效应。而在自然含水状态下,少量水分可填充微孔隙、缓解应力集中,还可在颗粒接触界面形成一定的表面张力或润湿效应,增强颗粒间的

Figure 3. Stress-strain curves of monomer samples under different water-bearing states

3. 不同含水状态下单体试样应力–应变曲线

Table 2. Basic property parameters of the specimen under uniaxial compression

2. 单轴压缩下试块基本性质参数

组别编号

含水状态

峰值应力/Mpa

峰值应变/%

弹性模量/Gpa

M-G

干燥

4.68

1.53

0.78

M-Z

自然

6.91

1.00

1.29

M-B

饱和

3.92

1.11

0.61

HC30-G

干燥

33.94

1.76

4.39

HC30-Z

自然

38.70

1.53

4.92

HC30-B

饱和

31.20

1.12

4.30

HC35-G

干燥

34.39

1.66

4.32

HC35-Z

自然

51.51

1.37

6.68

HC35-B

饱和

31.43

1.23

5.01

HC40-G

干燥

36.60

1.74

5.28

HC40-Z

自然

41.41

1.31

5.79

HC40-B

饱和

28.78

1.16

4.43

注:测量结果取每组3个试样的平均值。按照试样类型–含水状态进行编号,如HC30-Z表示自然含水状态C30混凝土单体。

Figure 4. Change trends in mechanical parameters of monomer samples under different water-bearing states

4. 不同含水状态下单体试样力学参数的变化趋势

有效接触与黏结能力,使试样整体结构更加稳定,从而表现出更高的强度。

对于混凝土试样的单轴抗压强度出现:自然状态 > 干燥试样 > 饱和状态,这主要是由于自然含水条件下孔隙中保留的水分有利于未充分水化水泥颗粒的持续反应,而干燥状态下水化过程受阻,并可能因干缩作用引起微裂隙产生,微结构致密性降低。随着含水率的增加,当达到饱和状态时,水对混凝土起到弱化作用,使其强度降低,达到三种状态下的最低值。

总体来看,部分煤样及混凝土试样在干燥状态下的单轴抗压强度低于自然含水状态。干燥过程中水分快速迁移与蒸发会导致材料内部发生不均匀收缩,诱发微裂隙的产生与扩展,从而削弱其整体承载能力。相比之下,自然含水状态下试样内部保留一定水分,有助于缓解应力集中并维持颗粒或水化产物间的有效胶结,使材料结构处于相对稳定状态,从而表现出更优的力学性能。

3.4. 煤柱和人工坝体单体试样的破坏特征

煤柱和人工坝体单体在单轴压缩过程中的主要破坏形式包括剪切破坏、张拉伸破坏及拉剪复合型破坏三种形式。通常情况下,单轴受载过程中试样并非呈现单一破坏形式,试样破坏往往由多种模式共同作用,且随着材料性质和加载条件的变化,破坏面数量与类型会发生变化。图5为不同单体试样的破裂模式图。

Figure 5. Fracture diagrams of different monomer samples

5. 不同单体试样破裂图

基于声发射RA-AF值对不同含水状态下的煤单体和混凝土单体试块在单轴压缩下的裂纹破坏情况进行统计分析,研究不同含水状态下单体试块的裂纹扩展特征。由图6可知,自然含水状态下煤单体RA值分布更宽、AF值更高且数据点偏向RA轴,表明以剪切裂纹为主。饱和状态下RA、AF值整体降低,裂纹以拉伸为主。C30混凝土在自然状态下,拉伸裂纹占比52.88%,剪切裂纹占比47.12%,试样整体呈现拉伸裂纹。饱和状态下混凝土试块依旧以拉伸裂纹为主,并且拉伸裂纹占比有所增加。在自然含水状态下,两类试样的RA值主要集中在0~3.25 ms/V范围内,AF值主要在1000 kHz以内;而在饱和状态下,RA值主要集中在0~1.5 ms/V以内,AF值则主要分布在600 kHz以内。随着含水率的增加,煤单体试块和混凝土试块的拉伸裂纹占比明显增加,且拉伸裂纹和剪切裂纹数据密度逐渐减小。由此可知,自然含水试样在加载过程中产生的声发射事件数量较多,数据点分布较为密集,裂纹发展更为复杂,而随着含水率的提高,试样声发射活动逐渐减弱,裂纹更易以拉伸方式扩展。

4. 试验结论

总体来看,含水率对煤柱与人工坝体单体的力学性能、变形特征及破坏机制具有显著影响。随着含水状态由干燥向自然含水再到饱和的转变,煤与不同强度等级混凝土单体的力学参数、破坏模式及裂纹演化特征均表现出一致且具有阶段性的变化规律。

1) 随着含水率的增加,煤单体及C30、C35、C40混凝土单体的峰值应力与弹性模量整体呈现出“先增大后减小”的变化趋势,而峰值应变随含水率提高总体呈减小趋势。自然含水状态下,多数试样的抗压强度与弹性模量高于干燥和饱和状态,表明干燥过程中材料内部发生不均匀收缩、微裂隙萌生与扩展有关,从而削弱了整体承载能力。适量水分有利于材料结构稳定性的维持,当试样达到饱和状态后,水分软化作用显著,导致承载能力明显降低。

2) 煤柱与人工坝体单体在单轴压缩作用下主要表现为剪切破坏、拉伸破坏及拉–剪复合破坏三种

Figure 6. RA-AF distribution characteristics of monomer samples under different water-bearing states during loading

6. 不同含水状态单体试块受载过程中的RA-AF分布特征

形式,且破坏模式并非单一存在。随着含水率的增加,试样整体破坏特征逐渐由剪切主导向拉伸主导转变,饱和状态下拉伸破坏特征更为明显。

3) 基于声发射RA-AF特征分析,不同含水状态下煤单体与混凝土单体的裂纹类型分布存在显著差异。自然含水状态下,煤样以剪切裂纹为主,声发射事件数量较多、数据点分布密集,而在饱和状态下,煤与混凝土试样的RA值整体减小、AF值降低,拉伸裂纹占比明显提高,声发射活动强度显著减弱,表明水分促进了拉伸裂纹的萌生与扩展。

4) 含水作用不仅显著改变煤柱与人工坝体单体的力学参数,而且对其破坏机制与裂纹演化路径具有决定性影响。这一规律为进一步揭示煤柱–人工坝体组合体在地下水库长期运行条件下的水–力耦合损伤演化机制及稳定性评价提供了重要试验依据。

基金项目

煤炭清洁高效利用国家科技重大专项:煤铀协同开采关键技术研究与工程示范(2024ZD1700206)。

NOTES

*通讯作者。

参考文献

[1] Zhang, C., Wang, F. and Bai, Q. (2021) Underground Space Utilization of Coalmines in China: A Review of Underground Water Reservoir Construction. Tunnelling and Underground Space Technology, 107, Article ID: 103657. [Google Scholar] [CrossRef
[2] 徐智敏, 熊世杰, 袁慧卿, 等. 废弃采空区边界煤柱浸水结构演化与损伤劣化机理的模拟试验[J]. 煤炭学报, 2025, 50(2): 1100-1114.
[3] Chen, T., Yao, Q., Wei, F., Chong, Z., Zhou, J., Wang, C., et al. (2017) Effects of Water Intrusion and Loading Rate on Mechanical Properties of and Crack Propagation in Coal-Rock Combinations. Journal of Central South University, 24, 423-431. [Google Scholar] [CrossRef
[4] Yu, L., Yao, Q., Li, X., Wang, W., Han, H. and Zhang, M. (2020) Experimental Study of Failure Characteristics and Fissure Propagation in Hydrous Siltstone. Arabian Journal of Geosciences, 13, Article No. 527. [Google Scholar] [CrossRef
[5] Zhang, C., Bai, Q., Han, P., Wang, L., Wang, X. and Wang, F. (2023) Strength Weakening and Its Micromechanism in Water-Rock Interaction, a Short Review in Laboratory Tests. International Journal of Coal Science & Technology, 10, Article No. 10. [Google Scholar] [CrossRef
[6] Yao, Q., Yu, L., Shan, C., Xia, Z., Chen, N., Xie, H., et al. (2023) Experimental Study on the Mechanical Damage and Deformation Failure of Water-Bearing Coal Samples. Mine Water and the Environment, 42, 251-265. [Google Scholar] [CrossRef
[7] Song, Z.Y., Dang, W.G., Bai, Z.C., Zhao, Y., Wang, P.T. and Yang, Z. (2024) Mechanical Responses and Fracturing Behaviors of Coal under Complex Normal and Shear Stresses, Part I: Experimental Results. International Journal of Coal Science & Technology, 11, Article No. 63. [Google Scholar] [CrossRef
[8] Fan, Y., Xu, Q., Xia, Z. and Zheng, C. (2025) Influence of Moisture on Mechanical Properties and Energy Dissipation Characteristics of Coal-Rock Combined Body. Applied Sciences, 15, Article 12672. [Google Scholar] [CrossRef
[9] Li, X., Liu, X., Tan, Y., Ma, Q., Wu, B. and Wang, H. (2022) Creep Constitutive Model and Numerical Realization of Coal-Rock Combination Deteriorated by Immersion. Minerals, 12, Article 292. [Google Scholar] [CrossRef
[10] Xu, S., Wu, F., Gao, R., Ji, C., Liu, J., Li, C., et al. (2026) Analysis of Mechanical Behavior and Failure Mode of Coal-Concrete Composite Structure under Mine Water Exposure. Engineering Failure Analysis, 183, Article ID: 110279. [Google Scholar] [CrossRef
[11] 张星星. 动水条件下煤岩组合体单轴压缩特性及声发射预测研究[D]: [硕士学位论文]. 大同: 山西大同大学, 2025.
[12] 杨科, 张寨男, 华心祝, 等. 倾角与含水作用下人工坝-煤组合体强度模型及失稳机制分析[J]. 采矿与安全工程学报, 2025, 42(3): 625-35.
[13] Yao, Q., Wang, W., Zhu, L., Xia, Z., Tang, C. and Wang, X. (2020) Effects of Moisture Conditions on Mechanical Properties and AE and IR Characteristics in Coal-Rock Combinations. Arabian Journal of Geosciences, 13, Article No. 615. [Google Scholar] [CrossRef
[14] 吕鑫. 煤矿地下水库人工坝体溶蚀机理与承载特性研究[D]: [博士学位论文]. 淮南: 安徽理工大学, 2024.
[15] 李成杰. 冲击荷载下裂隙复合岩体破坏试验研究[D]: [硕士学位论文]. 淮南: 安徽理工大学, 2018.
[16] Li, S., Tang, D., Feng, P., Chang, C. and Wang, J. (2024) Effect of Moisture on Mechanical and Physical Properties of Coals: A Uniaxial Compression Study. Scientific Reports, 14, Article No. 27452. [Google Scholar] [CrossRef] [PubMed]
[17] Shen, J. and Xu, Q. (2019) Effect of Moisture Content and Porosity on Compressive Strength of Concrete during Drying at 105˚C. Construction and Building Materials, 195, 19-27. [Google Scholar] [CrossRef