基于井周三台站短周期观测的微震事件集构建及其活动性与簇发性特征分析——以深地川科一井为例
Construction of a Microseismic Event Catalog Based on Short-Period Observations at Jingzhou-Santai Station and Analysis of Its Seismic Activity and Burstiness Characteristics—A Case Study of the Shendichuanke 1 Well
DOI: 10.12677/me.2026.142038, PDF, HTML, XML,   
作者: 帅梓涵, 冯婧洋, 赵乃千:四川省地震局成都地震监测中心站,四川 成都;唐勇章, 孙弼建:广元市防震减灾服务中心,四川 广元
关键词: 深地川科一井微震事件集活动性簇发性完备震级Mcb值Shendichuanke 1 Well Microseismic Event Catalog Activity Burstiness Completeness Magnitude Mc b Value
摘要: 深地工程钻井活动可能诱发井周微震/小震,构建可靠的微震事件集并分析其活动性与簇发性特征,对井区应力扰动响应和风险评估至关重要。本文以深地川科一井为例,基于井周三台站短周期地震观测数据,针对区域台网目录不完备与事件漏检问题,提出了一种适用于小台站条件的微震事件集构建方法。通过对连续波形进行预处理与触发检测,采用三台站一致触发策略提取候选事件,并基于信噪比与事件窗图像进行质量分级(A/B/C)。在此基础上,统计分析事件率、累计事件数及日/月/年尺度的变化,分析事件的时间演化特征。同时,使用事件间隔分布、变异系数(CV)、Fano因子等方法评估簇发性,并基于滑动事件率提取簇发段。本文提供了一个适用于微震活动分析的技术流程,为深地工程地震风险识别与监测优化提供了参考。
Abstract: Deep underground drilling activities may induce microseismic or small earthquake events around the well, and constructing a reliable microseismic event catalog and analyzing its activity and burst characteristics are crucial for understanding the stress disturbance response and risk assessment of the well area. Taking the Shendichuanke 1 Well as an example, this study proposes a method for constructing a microseismic event catalog suitable for small station conditions, based on short-period seismic observation data from three nearby stations around the well, addressing issues of incomplete regional network catalogs and missed events. The method involves preprocessing continuous waveforms and trigger detection, using a three-station consistent triggering strategy to extract candidate events, and applying quality grading (A/B/C) based on signal-to-noise ratio and event window images. Based on this, statistical analysis of event rates, cumulative event counts, and variations at daily, monthly, and yearly scales is conducted to analyze the temporal evolution of events. Additionally, methods such as event interval distribution, coefficient of variation (CV), and Fano factor are used to assess burstiness, and burst segments are extracted based on sliding event rates. This paper provides a technical process suitable for microseismic activity analysis and offers a reference for seismic risk identification and monitoring optimization in deep engineering projects.
文章引用:帅梓涵, 冯婧洋, 赵乃千, 唐勇章, 孙弼建. 基于井周三台站短周期观测的微震事件集构建及其活动性与簇发性特征分析——以深地川科一井为例[J]. 矿山工程, 2026, 14(2): 353-363. https://doi.org/10.12677/me.2026.142038

1. 引言

深地钻探与开发活动在改变井周介质孔隙压力与应力场的同时,可能触发或调制局部地震活动,其微震/小震响应已成为深地工程安全评估与风险管控的重要关注点。相较于区域台网目录,井区近场观测能够在更低震级阈值下记录更丰富的微小事件信息,为揭示井周扰动过程、识别异常活动阶段以及刻画地震时空演化提供关键数据支撑。然而,在台站数量有限、观测环境噪声复杂以及波形信号弱等条件下,台网目录往往存在事件漏检与震级不完备的问题,导致对井区真实活动性的认识偏差;同时,微震序列常表现出强烈的非平稳性与簇发性特征,若缺乏可靠的本地事件集与定量刻画方法,难以进一步讨论其潜在机理与工程含义。因此,有必要面向井周近场短周期观测资料,构建可复用的微震事件集与质量控制流程,并在此基础上开展多尺度的活动性与簇发性特征分析。

围绕工程扰动背景下的井区地震活动研究,既往工作通常从两条路径展开:一是基于区域台网或加密台网目录开展活动性统计,利用事件率、累计释放、震级频度关系(Gutenberg-Richter, GR) [1]及其参数(如完备震级Mc [2]与b值[3])刻画震源区应力状态与时间演化;二是面向连续波形开展本地事件检测与目录补全,进一步分析序列的簇发性与非泊松性特征[4],例如事件间隔分布、滑动事件率、Fano因子[5]等指标,以及簇发段的识别[6]与对比。对于台站数量较少的临时观测条件,单台触发容易受到噪声与局地干扰影响,多台站一致触发可以在一定程度上抑制误报并提高事件可靠性,但也可能带来检出阈值升高、弱事件漏检等问题;因此,如何在“检出能力–误报控制”之间取得平衡,并建立与后续统计分析相匹配的质量控制与分级体系,是构建可用于科学分析的微震事件集的关键。与此同时,井区微震活动往往呈现阶段性增强与短时簇发,若仅依赖整体统计指标,难以识别关键时段并评估其显著性,亟须将簇发段提取与参数对比纳入统一分析框架。

基于上述问题,本文以深地川科一井井周三台站短周期地震观测资料为研究对象,针对区域台网目录不完备与事件漏检问题,提出了一种适用于小台站条件的微震事件集构建方法。通过对连续波形进行预处理与触发检测,采用三台站一致触发策略提取候选事件,并基于信噪比与事件窗图像进行质量分级(A/B/C)。在此基础上,统计分析事件率、累计事件数及日/月/年尺度的变化,分析事件的时间演化特征。同时,使用事件间隔分布、变异系数(CV)、Fano因子等方法评估簇发性[7],并基于滑动事件率提取簇发段。本文提供了一个适用于微震活动分析的技术流程,为深地工程地震风险识别与监测优化提供了参考。

2. 研究区与数据情况

2.1. 研究区概况

深地川科一井位于四川省广元市内,区域构造背景以龙门山构造带为主,历史地震活动特征表现为中等偏弱。为研究井区工程扰动条件下的本地微震活动,本文以井位为中心,选取半径50 km的井区作为研究区域,用以开展事件集构建与活动性、簇发性特征分析。本文收集了地震台网提供的地震目录数据,时间范围为2013年至2025年,筛选方圆50 km范围内事件,得到用于区域背景对比的台网目录数据集。

2.2. 井周短周期观测数据

为补充台网目录对微小事件的漏检,本文利用井周布设的三台站短周期地震观测资料开展本地事件检测。三台站分别为HQXC、HTJC、HXGC,台站距井位约20 km。观测数据为连续波形,时间范围为2024.9.5~2025.10.20,记录分量为三分量。在统一预处理中,对波形进行去均值、去趋势与带通滤波,以提高微震/小震信号的可检出性。

2.3. 本地微震事件集构建流程

为在台站数量有限条件下获得可靠的本地微震事件集,本文基于井周三台站短周期连续波形建立“预处理–一致触发–事件合并–参数计算–质量分级–可视化复核”的事件构建流程。首先对连续波形进行统一预处理,包括去均值、去线性趋势,并进行带通滤波以突出局地震相能量。随后在各台站(以Z分量为主)上实施经典STA/LTA触发检测,获得单台触发时间序列;为抑制噪声引起的误触发,采用三台站一致触发策略:当同一时间窗内三台站触发同时满足阈值条件时,判定为候选事件,并记录初始发震时刻及触发细节信息。考虑到同一事件可能产生多次相邻触发,进一步引入最小事件间隔阈值对触发结果进行合并,避免将单个事件误分割为多个事件。构建过程中仅考虑50 km范围内的事件,以确保事件的空间一致性和可靠性。

2.4. 参数定义与质量判据

为确保本地微震事件集构建与统计分析的可复现性,本文定义了事件合并、信噪比、相对量级和质量分级(A/B/C)等关键参数。首先,针对触发检测中可能因尾波或噪声波动产生的多个相邻触发事件,本文设定最小事件间隔阈值(30 s),将相邻触发时刻小于此值的视为同一事件,仅保留最早触发时刻。其次,信号质量通过信噪比表征,计算每个事件的信号窗与噪声窗的振幅比值,以RMS作为振幅度量。最后,鉴于缺乏统一的绝对震级标定,本文采用相对量级描述事件强度,计算公式为M_rel = (1/N) × sum[log10(Amax_i)],其中N为有效台站数3,Amax_i为各台站Z分量的最大绝对振幅。M_rel仅用于同一系统内的相对比较,并不等同于标准震级。

2.5. 质量分级判据(A/B/C)

为在自动检测基础上构建可用于统计分析的事件子集,本文依据三台站一致触发条件下的信噪比水平建立质量分级体系,见图1。总体原则为:A类事件应在三台站均表现出清晰可辨的震相与较高信噪比;B类事件在至少两台站具有较高信噪比,其余台站信号较弱但仍可辨;C类事件虽满足一致触发,但整体信噪比较低或波形受噪声影响较明显。具体判据如下:

1) A类:SNR_min ≥ 3且N_snr_ge3 = 3;

2) B类:N_snr_ge3 = 2;

3) C类:其余满足一致触发但N_snr_ge3 ≤ 1的事件。

为支持质量分级的人工核查,本文对A/B/C事件均输出三台站同窗波形图像,并按质量等级分类存储,便于对疑似噪声、爆破或异常触发进行复核与剔除。

Figure 1. Quality grading (Columns from left to right: A, B, C)

1. 质量分级情况(从左至右每列为A、B、C)

3. 深地川科一井历史活动性

3.1. 时间活动性特征(按日、月、年)

在时间活动性特征分析中,见图2~4,日尺度上事件率整体较为平稳,峰值出现在2017年,约为88

Figure 2. Daily event count and cumulative total

2. 日事件数与累计

Figure 3. Monthly event count and cumulative total

3. 月事件数与累计

Figure 4. Annual event count and cumulative total

4. 年事件数与累计

次/日;月尺度上,9月的事件数较高,月峰值为241次/月,反映出更为稳定的阶段性变化;年尺度上,井区的地震活动呈现逐年减少的趋势,可作为井区区域背景活动性的长期参考。这些结果表明,井区地震活动存在明显的时空变化,且活动性在不同时间尺度上表现出不同的波动特征。

3.2. 震级特征与震级频度关系(Mc与b值)

图5为震级–时间(M-t)分布,事件震级主要集中在2017年内,采用最大曲率法与拟合优度(GOF)方法估计完备震级Mc,并在M大于等于Mc的区间拟合Gutenberg-Richter关系得到b值,见图6。结果为:Mc = 0.85 (R = 90.15%),b = 0.73,拟合样本数n_fit = 3760。

上述结果为后续基于井周三台站短周期观测构建的本地微震事件集分析提供了区域背景对照。

Figure 5. Magnitude-time (M-t) distribution

5. 震级–时间(M-t)分布

Figure 6. FMD/Mc and GR fitting

6. FMD/Mc与GR拟合

4. 井周三台站分析

4.1. 质量分级判据

本文以深地川科一井井区为研究对象,使用井周三台站短周期地震观测资料构建本地微震事件集并开展后续分析。三台站为HQXC、HTJC、HXGC,台站距井位约20 km。以Z分量为主,为保证处理稳定性与计算效率,本文对连续波形进行基本预处理(去均值、去趋势、带通滤波)后按固定时长分段读取逐段处理,对长度不足以计算触发参数的短片段直接跳过以避免触发计算报错。

基于质量分级结果,本地事件集可划分为A、B、C三类。其中ABC全事件集共10,042个,AB子集共466个。因此,C类事件数9576个。

4.2. 本地微震活动性特征

1) 本文分别基于AB子集与ABC全事件集,对井区活动性开展多尺度统计分析,包括每日事件数与累计事件数、按月事件数与累计事件数、按年事件数与累计事件数,以及相对量级M_rel的时间序列特征。统计结果显示,本地事件序列在研究时段内呈现时间性的阶段性变化特征;在13点时间段事件率明显升高,对应累计曲线斜率发生变化。

2) 图7为分析日内变化,本文统计事件在24小时内的发生占比,并分别给出AB与ABC的小时分布。结果表明,事件在13时段占比最高,而在2时段占比最低;AB与ABC的日内分布对比显示ABC更集中,为区分真实活动变化与噪声/检出能力差异提供依据。

4.3. 本地微震序列的簇发性特征

1) 为刻画事件序列的非随机性与簇发程度,本文对AB与ABC两个视图分别计算事件间隔分布及

Figure 7. Proportion of AB and ABC within hours

7. 小时内AB与ABC占比

其统计量(如中位数、均值、最小值),并进一步计算变异系数CV (事件间隔标准差与均值之比)、Fano因子(固定时间分箱的方差与均值之比)以及与泊松过程的偏离检验结果(如KS检验)。综合指标用于判断事件序列是否接近随机泊松过程,或表现为明显的簇发型序列。

2) AB事件序列表现为中等程度的簇发性:事件间隔中位数为674分钟,CV为1.491,KS检验结果为D = 0.105、p = 6.05e−05,Fano因子为1.201。上述结果表明AB序列偏离泊松过程,并呈现中等簇发特征。

3) ABC事件序列表现出更明显的簇发性:事件间隔中位数为24.2分钟,CV为2.920,KS检验结果为D = 0.197、p = 0,Fano因子为4.528。与AB相比,ABC的簇发性指标整体更高,说明弱事件的大量出现使序列在短时间尺度上更为密集,但同时也需要结合质量分级与波形复核,排查噪声触发对“伪簇发”的贡献。

4) 总体而言,AB与ABC均呈现不同程度的簇发型序列特征,关键簇发阶段主要出现在2024-11-04 22:00~2024-11-05 00:00、2025-02-24 19:00~22:00、2025-05-31 14:00~16:00。

4.4. 簇发段提取与典型簇发阶段

1) 在簇发性指标的基础上,本文进一步对事件序列进行簇发段提取。具体做法为将事件按固定时间窗分箱统计,在事件计数序列上设置簇发阈值,并将连续超过阈值的时间段识别为簇发段。对每个簇发段,记录其起止时间、持续时间、包含的时间箱数、总事件数与峰值事件数等信息,并导出簇发段内事件目录以便复核。

2) AB事件序列识别出簇发段共3段(60 min分箱),见表1,其起止时间分别为:

① 2024-11-04 22:00至2024-11-05 00:00;② 2025-02-24 19:00至2025-02-24 22:00;③ 2025-05-31 14:00至2025-05-31 16:00。

其中,以第二段为最显著簇发段,其段内事件数为2025-02-24 19:00至2025-02-24 22:00、峰值箱计数为13,见图8,为后续重点讨论对象。

3) ABC事件序列识别出簇发段共28段(60 min分箱)。这些簇发段主要分布在2024年11月至2025年6月的多个时间段内,呈现出相对零散的分布特征。与AB相比,ABC的簇发段数量更多,持续时间与强度变化更大,反映出弱事件在短时间尺度上的密集出现。此结果提示需要结合质量分级与事件窗图像进行核查,排查噪声和爆破活动对簇发段的影响。

Table 1. Burstiness segment identification for AB event sequence

1. AB事件序列识别出簇发段情况

簇发段

事件数

起始时间

结束时间

M_rel 中位数

M_rel 平均值

M_rel 最大值

M_rel 最小值

持续 时间 (分钟)

最小SNR 中位数

最小SNR 最小值

最小SNR 最大值

1

4

2024-11-04 22:09:52

2024-11-04 23:46:38

2.194

2.1999

2.4411

1.9699

96.8

4.5565

2.4791

6.7521

2

13

2025-02-24 19:55:40

2025-02-24 21:40:43

2.299

2.246

2.4157

2.0248

105.1

2.6652

2.1743

4.054

3

4

2025-05-31 14:18:16

2025-05-31 15:47:04

2.0866

2.2999

2.9712

2.0551

88.8

3.0928

2.0067

5.7264

Figure 8. Second significant burstiness segment situation

8. 第二显著簇发段情况

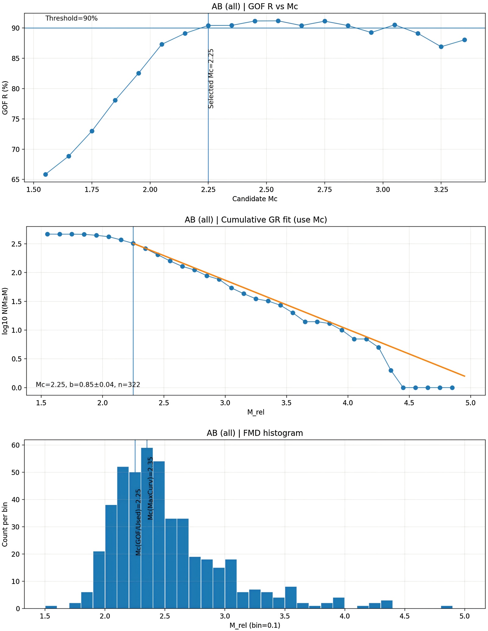
4.5. 簇发期与背景期的震级频度特征对比

1) 为检验簇发阶段是否伴随震级结构变化,本文分别对AB全量、AB背景期(剔除主要簇发段)以及AB簇发期进行震级频度统计,估计完备震级Mc并拟合Gutenberg-Richter关系得到b值。

2) 如图9,AB全量事件(n = 466)估计得到Mc为2.25 (R = 90.4%),对应b值为0.855 (n_fit = 322)。AB背景期(剔除segment2,n = 453) Mc为2.25(R = 90.6%),b值为0.841 (n_fit = 315),与全量结果接近,表明整体震级结构较为稳定。

3) 由于segment2段内事件数较少(n = 13),直接拟合的稳定性不足。见表2,为提高样本量,本文采用“簇发段扩展窗(segment2 ± 6 h)”策略进行估计,扩展后样本数为n = 15。在扩展窗内,估计Mc_local为2.15 (Mc_global = 2.25),最终拟合得到b值为2.408 (n_fit = 11)。该结果显示簇发期b值相较背景期明显偏高,提示簇发阶段可能具有更高的小事件占比。

5. 结论与展望

本文以深地川科一井为研究对象,利用井周三台站短周期连续波形构建了本地微震事件集,并在此基础上对井区地震活动性与簇发性进行了分析。结果表明,基于多台站一致性与质量分级的事件集能够

Figure 9. Comparison of magnitude frequency characteristics between burstiness and background periods

9. 簇发期与背景期的震级频度特征对比

Table 2. Comparison table of magnitude frequency characteristics between burstiness and background periods

2. 簇发期与背景期的震级频度特征对比表

标签

总事件数

Mc

(最大 曲率法)

Mc

(拟合 优度法)

拟合 优度R

使用Mc

b

b 标准差

a

拟合 事件数

dm

拟合优度阈值

AB (所有)

466

2.35

2.25

90.42%

2.25

0.855

0.043

4.43

322

0.1

90

AB簇发期

15

2.25

2.41

0.39

6.22

11

0.1

90

AB背景期

453

2.35

2.25

90.63%

2.25

0.841

0.042

4.39

315

0.1

90

在控制误报的同时补充区域台网目录对微小事件的漏检,为井区活动性刻画提供更完整的数据基础;井区活动性在研究时段内呈现阶段性变化,并在部分时段出现明显增强,日内分布亦表现出一定的集中性特征。

进一步的簇发性分析显示,事件序列整体显著偏离随机泊松过程,具有明显的簇发特征,且可以识别出若干持续时间有限的高事件率簇发段;对簇发期与背景期的对比表明,簇发阶段可能伴随震级结构的变化,但受样本量与检出条件影响仍需结合波形复核与家族性检验进一步验证。本文形成了一套面向小台站数近场观测的“事件集构建–质量控制–活动性与簇发性联合分析”流程,可为深地工程井区微震监测与风险识别提供了方法参考。

后续研究可从三方面推进:第一,增强检出与判别能力,可引入模板匹配或机器学习方法,并完善爆破与噪声识别流程,以提高事件集的完整性与可靠性;第二,加强对震源过程的约束,可开展事件相对定位与家族性识别,结合工程作业时序与构造背景解释簇发段的成因;第三,改进观测条件与对比验证,可延长监测时段、加密台站或引入宽频仪器,从而更稳健地约束完备震级与b值等关键参数的时变特征。

参考文献

[1] Gutenberg, B. and Richter, C.F. (1944) Frequency of Earthquakes in California. Bulletin of the Seismological Society of America, 34, 185-188. [Google Scholar] [CrossRef
[2] Wiemer, S. (2000) Minimum Magnitude of Completeness in Earthquake Catalogs: Examples from Alaska, the Western United States, and Japan. Bulletin of the Seismological Society of America, 90, 859-869. [Google Scholar] [CrossRef
[3] Aki, K. (1965) Maximum Likelihood Estimate of b in the Formula logN = a − bM and Its Confidence Limits. Bulletin of the Earthquake Research Institute, 43, 237-239.
[4] Ogata, Y. (1988) Statistical Models for Earthquake Occurrences and Residual Analysis for Point Processes. Journal of the American Statistical Association, 83, 9-27. [Google Scholar] [CrossRef
[5] Telesca, L., Lapenna, V. and Macchiato, M. (2001) Statistical Analysis of Fractal Properties of Point Processes Modelling Seismic Sequences. Physics of the Earth and Planetary Interiors, 125, 65-83.
[6] Zaliapin, I., Gabrielov, A., Keilis-Borok, V. and Wong, H. (2008) Clustering Analysis of Seismicity and Aftershock Identification. Physical Review Letters, 101, Article ID: 018508. [Google Scholar] [CrossRef] [PubMed]
[7] Zaliapin, I. and Ben-Zion, Y. (2020) Earthquake Declustering and Reconstruction of Seismicity. Journal of Geophysical Research: Solid Earth, 125, e2018JB017120.