基于前车历史动力协作的交通流建模与仿真
Traffic Flow Modeling and Simulation Based on Preceding-Vehicle Historical Dynamic Coordination
DOI: 10.12677/csa.2026.163098, PDF, HTML, XML,    国家自然科学基金支持
作者: 未冬晴, 李志鹏:同济大学信息与通信工程系,上海;同济大学高速磁浮运载技术全国重点实验室,上海
关键词: 跟驰模型历史动力信息交通流稳定性自动驾驶车辆Car-following Model Historical Dynamic Information Traffic Flow Stability Connected and Automated Vehicles (CAVs)
摘要: 在智能交通快速发展的背景下,自动驾驶车辆凭借较强的数据感知、存储与计算能力,为交通流稳定性优化提供了新的技术基础。在智能网联环境下,车辆不仅能够获取实时驾驶状态信息,还具备存储与利用历史运行数据的条件。现有研究多围绕实时状态信息开展协同控制,而对历史信息的系统化融合与稳定性机制分析仍有进一步拓展空间。基于此,本文提出了一种基于前车历史动力协作的汽车跟驰模型,该模型将前车历史动力信息纳入控制决策框架,通过滤波机制对加速度响应进行平滑处理,以抑制扰动传播。基于线性稳定性理论与数值仿真方法,对模型的稳定性特征进行了分析与验证。结果表明,在合理参数范围内,引入前车历史动力协作能够显著提升交通流整体稳定性,为交通流稳定性优化提供了一种新的微观控制思路。
Abstract: With the rapid development of intelligent transportation systems (ITS), connected and automated vehicles (CAVs), equipped with advanced sensing, storage, and computational capabilities, provide a new technological foundation for traffic flow stability optimization. In intelligent connected environments, vehicles are able not only to acquire real-time driving state information but also to store and utilize historical operational data. Existing studies predominantly focus on cooperative control based on real-time state information, while the systematic integration of historical information and its underlying stability mechanisms remain insufficiently explored. To address this issue, this paper proposes a car-following model incorporating preceding-vehicle historical dynamic coordination. The proposed model integrates the historical dynamic information of the preceding vehicle into the control framework and applies a filtering mechanism to smooth acceleration responses, thereby suppressing disturbance propagation. Linear stability analysis and numerical simulations are conducted to examine the stability characteristics of the model. The results demonstrate that, within appropriate parameter ranges, incorporating preceding-vehicle historical dynamic coordination significantly enhances overall traffic flow stability, providing a novel microscopic control perspective for traffic flow stability optimization.
文章引用:未冬晴, 李志鹏. 基于前车历史动力协作的交通流建模与仿真[J]. 计算机科学与应用, 2026, 16(3): 725-735. https://doi.org/10.12677/csa.2026.163098

1. 引言

近年来,随着5G通信、大数据与人工智能等新兴技术的发展,交通系统正经历从传统人工控制管理向数字化、智能化方向转型。由此催生的智能交通系统(Intelligent Transportation System, ITS),通过集成传感、通信、控制与管理科学,实现了对交通流进行实时监测、分析与调度,为提升交通系统运行稳定性、通行效率与安全水平,降低能耗与污染排放提供了新的技术路径[1] [2]。在智能网联环境下,微观交通流跟驰建模得以拓展。Nisha Singh等[3]在OVM基础上构建了加权平均模型,结果表明该模型有助于加快交通流稳定收敛。Zhou等[4]对原始的IDM模型进行改进,提出了针对于ACC车辆设计的自适应IDM跟驰策略,以追求更好的渐进稳定性和过阻尼特性。Khound等[5]在IDM模型的基础上,提出了一种扩展的非线性自适应间隙汽车跟驰模型,该模型旨在增强自适应巡航控制系统的局部稳定性和弦稳定性。Wang等[6]为了减轻通信故障的影响,提出了基于动态权重优化的CAV跟驰模型。杨一晨等[7]为了解决V2V通信期间丢包对CAV队列产生的负面影响,提出了一种利用每辆车本地存储的历史速度信息的自稳定控制策略,以缓解丢包对CAV队列稳定性的影响。

随着ITS的发展与成熟,自动驾驶车辆在行驶中可以获得道路上多个车辆的状态信息,有大量学者尝试将这些状态信息有选择地引入到微观交通流跟驰模型中,并取得了丰硕的成果[8]-[13]。然而,现有研究多以实时驾驶状态信息为主要协作依据,对历史信息的系统性利用仍相对有限。为此,本文创新性地提出了一种基于前车历史动力协作的自动驾驶车辆(CAV)跟驰模型。该模型充分发挥CAV在数据存储与计算方面的技术优势,将前车历史动力信息引入控制决策过程,通过滤波的机制对加速度响应进行平滑处理,从而有效抑制车辆运行过程中的剧烈加减速波动,缓解加速与减速阶段的抖升与抖降现象。该控制框架实现了实时信息与历史动力信息的统一融合,使车辆动力系统运行更加平稳,从源头上减少非必要的加速度变化,进而提升交通流整体稳定性。

本文其余部分的结构如下:第2节介绍基于前车历史动力协作的跟驰模型构建。第3节对模型进行了稳定性分析。第4节进行数值仿真性能评估。最后,在第5节对本文工作进行总结。

2. 基于前车历史动力协作的跟驰模型构建

本节以FVDM为基础,明确将历史动力信息引入车辆控制框架,提出了一种基于前车单时刻历史动力协作的CAV跟驰模型,通过构建自车实时运动状态与最近邻前车单时刻历史动力信息之间的耦合机制,建立了一种兼具理论严谨性与工程适应性的新型跟驰模型。其数学表达式为:

d v n ( t )/ dt =α[ V( Δ x n ( t ) ) v n ( t ) ]+λΔ v n ( t )+ P 1 a n+1 ( tτ ) (1)

式中, n 表示自车, n+1 表示前车, α 是敏感系数, λ 是速度差系数, P 1 是前车历史动力权重, τ 是历史窗口深度, v n ( t ) 是自车在 t 时刻的速度, Δ x n ( t )= x n+1 ( t ) x n ( t ) 是相邻前车与自车的车头间距, Δ v n ( t )= v n+1 ( t ) v n ( t ) 是相邻前车与自车的速度差, V( ) 是优化速度函数,其表达式为:

V( Δ x n ( t ) )=7.9[ tanh( Δ x n ( t )/8 1.5 )+tanh( 1.5 ) ] (2)

公式(1)引入了一种双通道控制结构,将车辆的瞬时反馈与历史动力信息有机结合。第一项刻画了车辆对当前交通状态的即使响应,第二项则引入了短时历史动力信息。通过对这两类信息进行融合,所提出的模型能够在跟驰过程中有效过滤短期干扰和瞬时波动,从而实现更平滑的加速度响应。

从控制结构上看,本文提出的跟驰模型属于一种多源加速度反馈模型,其中实时状态反馈仍占主导地位,而历史动力信息作为协调项参与车辆加速度更新过程。该模型在当前时刻引入实时速度差、车头间距、速度与优化速度信息,以及在离散历史时刻 tτ 处采样的前车历史动力信息。其中,前车历史动力信息在空间维度拓展了车辆对扰动传播过程的感知范围,使自车能够基于前车运动状态的演化趋势,在扰动放大之前对其传播过程进行提前调节。历史窗口深度 τ 是刻画当前控制决策所参考的历史动力状态与当前时刻之间的时间间隔,该参数直接影响历史动力信息在加速度更新过程中的有效性。

从交通流动力学角度看,车辆的纵向跟驰行为主要取决于前车状态,前车的历史动力信息刻画了其在一段时间内的运动状态演化特征,反映了加速度变化的连续性与方向性。若前车在过去一段时间内持续处于减速状态,自车即可提前做出减速响应,而无需等到前车已发生较大减速后再进行被动调整。类似地,当历史加速度显示前车持续减速时,自车可以合理预判前车在短时间内仍可能保持减速趋势。而当前车的历史加速度接近零时,则表明其处于相对稳定的匀速行驶状态,自车可据此减少不必要的加速度调整。因此,引入前车历史动力信息为自车提供了前车行为的背景参考,使其在加速度调节过程中能够更加及时且平滑地作出响应,避免突发加减速引起的波动,从而有助于提升交通流的整体稳定性。

3. 跟驰模型的稳定性分析

3.1. 线性稳定性分析

建立跟驰模型后,有必要从动力学角度系统分析多时刻历史动力协作机制对交通流稳定性的影响规律。交通流稳定性不仅决定了扰动在车流中的传播与演化特性,也是衡量所提跟驰模型能否有效抑制速度与加速度波动、避免系统失稳的重要理论基础。为此,本节将开展线性稳定性分析,探究小扰动条件下系统的临界稳定边界,揭示前车历史动力协作参数对交通流稳定区域的影响。

为分析所提跟驰模型在微小扰动条件下的稳定性特征,采用拉普拉斯变换的方法,对模型(1)在稳态运行点附近进行线性化处理,

s v n ( s )=α[ V ( h )Δ x n ( s ) v n ( s ) ]+λ( v n+1 ( s ) v n ( s ) )+ P 1 s v n+1 ( s ) e sτ (3)

整理后得到传递函数,

G( s )= v n ( s ) v n+1 ( s ) = s 2 P 1 e sτ +λs+α V ( h ) s 2 +( α+λ )s+α V ( h ) (4)

为了推导稳定条件,进行以下变换:

G( S ) = sup ω[ 0,+ ) | G( jω ) |1 (5)

ω[ 0,+ ) 时,

| G( jω ) | 2 = P 1 e jωτ ( jω ) 2 +λjω+α V ( h ) ( jω ) 2 +( α+λ )jω+α V ( h ) P 1 e jωτ ( jω ) 2 λjω+α V ( h ) ( jω ) 2 ( α+λ )jω+α V ( h ) 1 (6)

对指数项进行泰勒展开 e jwτ =1+jwτ ( wτ ) 2 / 2! + ,得到系统的弦稳定性的判定准则为:

{ 1 P 1 2 2λ P 1 τα V ( h ) P 1 τ 2 0 2 V ( h )+α+2λ+2 V ( h ) P 1 0 (7)

公式(7)给出了所建模的线性稳定性判定准则。当该稳定性条件满足时,交通扰动在车辆队列中的传播将逐渐衰减,该模型通过历史动力信息协作对扰动起到持续平滑作用,抑制速度与加速度波动。根据稳定性判定准则可以绘出系统的稳定性边界曲线。

(a) τ=0.5s (b) τ=0.6s

(c) τ=0.8s

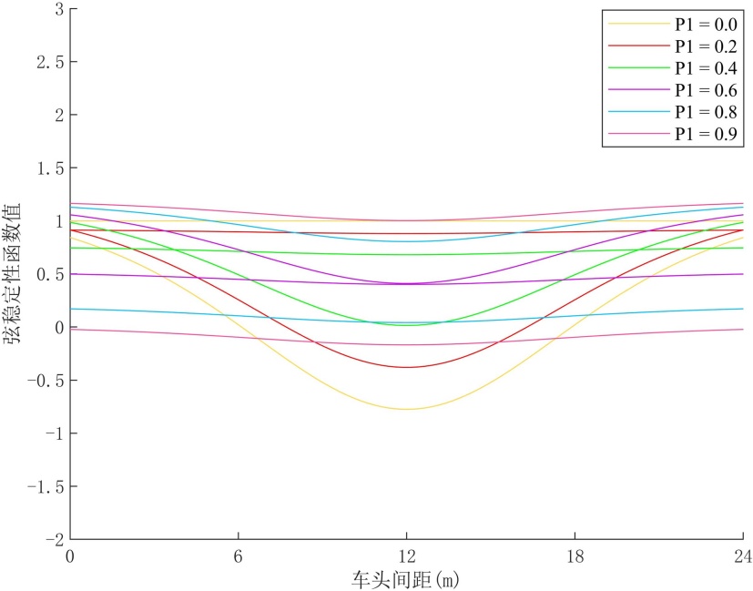
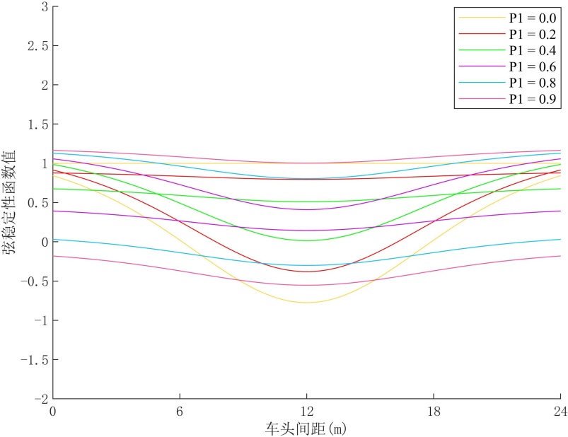
Figure 1. Linear stability curves under different preceding-vehicle historical dynamic weights P 1

1. 不同前车历史动力权重 P 1 下的线性稳定性曲线

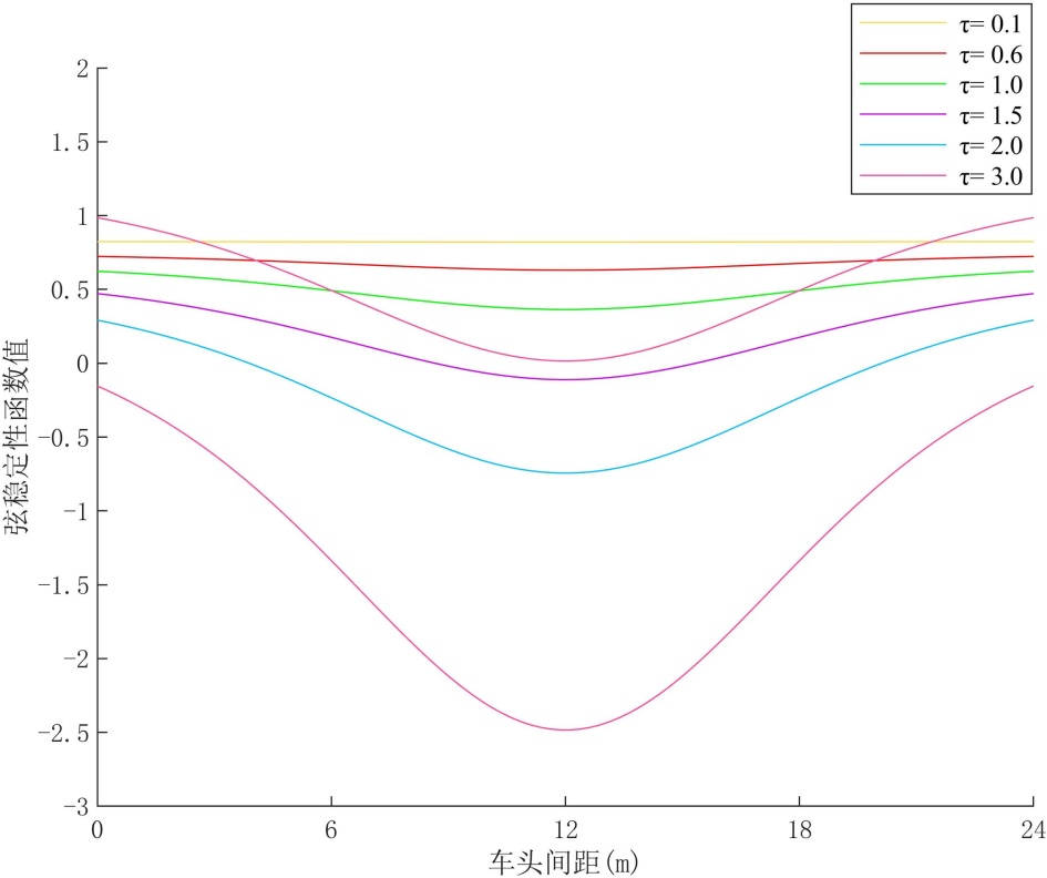
通过图1(b)可以看出,在历史窗口深度 τ=0.6s 的条件下,随着前车历史动力权重 P 1 的增大,交通流状态由不稳定逐渐过渡为稳定。然而,当 P 1 超过某一临界阈值(该条件下 P 1 =0.9 )后,系统稳定性会再次下降,交通流重新进入不稳定状态。进一步结合图1(a)~(c)可以发现,在保持 P 1 不变的条件下,历史窗口深度 τ 的取值会显著影响系统稳定性边界,随着 τ 的增加,对应的临界 P 1 阈值逐渐减小。

Figure 2. Linear stability curves under different historical window depths τ

2. 不同历史窗口深度 τ 下的线性稳定性曲线

进一步结合图2分析可知,在保持 P 1 不变的条件下,历史窗口深度 τ 对系统稳定性边界的影响显著,随着 τ 增大,系统先保持稳定,随后逐渐转为不稳定。因此,历史窗口深度不宜过大,适度的 τ 有助于维持交通流的稳定性。上述稳定性分析结果表明,通过合理选择前车历史动力权重 P 1 和历史窗口深度 τ 的参数取值,能够平滑车辆加减速行为,进而维持系统稳定性。

此外,为了进一步说明系统在均匀稳态运行点处的局部稳定性特征,考虑线性化系统的内部动力学。由传递函数的分母多项式可得系统的特征方程为:

D( s )= s 2 +( α+λ )s+α V ( h ) (8)

根据Routh–Hurwitz判据,二阶系统在平衡点处局部渐近稳定的充分必要条件为各系数均为正,即:

( α+λ )>0,α V ( h )>0 (9)

由于模型中参数满足 α>0,λ>0 ,且优化速度函数单调递增使得 V ( h )>0 ,因此系统在均匀稳态运行点处满足局部渐近稳定条件。

3.2. 非线性稳定性分析

尽管线性稳定性分析能够揭示交通流在微小扰动下的响应特性,但在实际交通环境中,车辆往往会受到中等乃至较大幅度的扰动,其加减速波动可能超出线性分析的适用范围。尤其是在扰动传播过程中,非线性效应往往主导交通波的形成与演化,仅依赖线性稳定性分析难以全面反映交通流的真实动力学特性。对于本文提出的基于前车历史动力协作的跟驰模型,非线性稳定性分析显得尤为关键。因此,本节将结合mKdV方程对模型在中等及较大扰动下的稳定性演化特性进行定性分析。

为了便于非线性分析,首先将公式(1)重新表述为如下形式:

d 2 Δ x n ( t ) d t 2 =α[ V( Δ x n+1 ( t ) )V( Δ x n ( t ) ) ]αΔ v n ( t )+λ( Δ v n+1 ( t )Δ v n ( t ) ) P 1 Δ a n+1 ( tτ ) (10)

为空间变量n和时间变量t引入慢变量XT

X=ε( n+mt ),T= ε 3 t,0<ε1 (11)

则相邻车辆间的车头间距可以表示为:

Δ x n ( t )=h+εR( X,T ) (12)

对公式(12)进行四阶求导,并将 Δ x n+1 ( tτ ) Δ v n+1 ( tτ ) 进行泰勒展开至 o( τ 3 ) ,代入到式(10)再用泰勒公式展开至 o( ε 5 ) ,得到,

ε 2 g 1 R X + ε 3 g 2 2 R X 2 + ε 4 ( R T g 3 ( R 3 ) X g 4 3 R X 3 ) + ε 5 ( g 5 2 R XT g 6 4 R X 4 g 7 ( R 3 ) X 2 )=0 (13)

其中系数, g i ( i=1,2,3,,7 ) 表1所示:

Table 1. Coefficients g i ( i=1,2,3,,7 ) in Equation (13)

1. 公式(13)中的中系数, g i ( i=1,2,3,,7 )

g 1

m V ( h )

g 2

( m 2 + α V ( h )/2 +λm+ P 1 m 2 )/α

g 3

V ( h )/6

g 4

( α V ( h )/6 + λm/2 + P 1 m 2 P 1 τ m 3 )/α

g 5

( λ+2 P 1 m2m )/α

g 6

( α V ( h )/ 24 + λm/6 + P 1 m 2 /2 P 1 τ m 3 + P 1 τ 2 m 4 /2 )/α

g 7

V ( h )/ 12

在临界车头间距h附近, α c =2λ2( P 1 1 ) V ( h ) α c /α =1+ ε 2 ,使 ε 2 的系数为0,则 m= V ( h ) ,利用主项平衡法化简公式(13),得:

ε 4 ( R T l 1 3 R X 3 + l 2 ( R 3 ) X )+ ε 5 ( l 3 2 R X 2 + l 4 4 R X 4 + l 5 ( R 3 ) X 2 )=0 (14)

其中系数,

l 1 = g 4 , l 2 = g 3 , l 3 = V ( h )/2 , l 4 = g 4 g 5 g 6 , l 5 = g 3 g 5 g 7 (15)

为了给出带有高阶小量的标准mKdV方程,进行以下变换,

T = l 1 T,R= l 1 / l 2 R (16)

将公式(14)化简为,

T R = X 3 R R X R ε ( l 3 X 2 R 2 + l 4 X 4 R + l 5 l 1 X 2 R 3 / l 2 )/ l 1 (17)

忽略 o( ε ) ,由矫正项的可解性条件,可得其扭结–反扭结波解:

R 0 ( X, T )= u tanh[ u 2 ( Xu T ) ] (18)

其中波速 u 为,

u= 5 l 2 l 3 2 l 2 l 4 3 l 1 l 5 (19)

于是得到车头间距的扭结–反扭结波解为,

Δ x n ( t )= h c + l 1 u l 2 | α c α 1 | tanh{ u 2 | α c α 1 | [ n+( 1u l 1 | α c d 1 | )t ] } (20)

扭结–反扭结波解的振幅是,

A= l 1 u l 2 | α c α 1 | (21)

其中,扭结解代表共存项,共存曲线可由下式绘出:

Δ x n ( t )= h c ±A (22)

由mKdV方程得到的扭结–反扭结波解表明,当系统参数进一步进入不稳定区域后,交通流扰动的非线性演化机制由弱非线性主导转变为强非线性主导过程,此时扰动不再以局部波动形式传播,而是演化为具有明显界面结构的相态跃迁型波动模式。该扭结–非扭结结构刻画了车流状态在不同稳定相之间的空间过渡过程,对应交通流中“自由流–拥挤流”或“低密度–高密度”状态之间的转换。因此,从非线性动力学角度,历史动力协作机制通过调控强非线性演化阶段的结构波动态形态,实现了对交通流失稳过程的深层次干预,为从源头抑制交通激波形成、延缓拥堵结构发展提供了理论支撑。这为后续通过参数优化实现交通流稳定性奠定了非线性理论基础。

4. 数值仿真验证

稳定性理论分析通常建立在线性化处理与弱非线性假设基础之上,其所得结果更多反映系统在小扰动条件下的局部动力学特征。因此,有必要在有限幅值扰动及更接近实际运行场景的条件下,对理论预测进行数值检验。基于此,本节通过构建数值仿真实验,对所提模型在不同参数设置下的稳定性表现进行定量评估,以验证理论分析的有效性并揭示其在实际运行环境中的动态响应特征。

考虑由N辆同质车辆组成的单车道跟驰系统,其中每辆车仅与直接前车发生跟驰关系,不涉及变道行为。利用周期边界条件以消除边界效应,从而聚焦于跟驰模型自身的内在动力学特性。对公式(1)中刻画的模型进行数值仿真,通过研究一段时间内系统对小扰动的抵抗能力来分析稳定性。初值条件如下:

Δ x n ( 0 )=Δ x n ( 1 )=Δ x 0 ,n100,Δ x n ( 0 )=Δ x n ( 1 )=Δ x 0 +C,n=100

相关参数为: N=100 辆, L=1000m C=6m Δ x 0 =9.94m α=0.8 λ=0.2

图3(a)~(f)展示了在历史窗口深度 τ=0.5s 条件下,不同前车历史动力权重 P 1 对交通流稳定性演化的影响。当 P 1 =0 时,对应对比的基准FVD模型,交通流呈现明显的不稳定特征,车流中出现明显的“走走停停”波动现象。随着 P 1 的逐渐增大,前车历史动力信息开始参与车辆控制过程,自车能够基于前车

(a) P 1 =0 (b) P 1 =0.2

(c) P 1 =0.4 (d) P 1 =0.8

(e) P 1 =0.84 (f) P 1 =0.85

Figure 3. Effect of different preceding-vehicle historical dynamic weights P 1 on traffic flow stability

3. 不同前车历史动力权重 P 1 对交通流稳定性的影响

运动演化趋势对扰动做出提前响应,从而有效抑制速度与加速度波动的传播与累积。当 P 1 增大至0.4时,交通流由不稳定状态转变为稳定状态。然而,当 P 1 进一步增大时,车辆对前车历史动力信息的依赖过强,系统响应出现明显滞后,扰动在非线性传播阶段反而被放大,交通流再次进入不稳定状态,且速度波动频率明显增大。上述结果表明,前车历史动力权重 P 1 对交通流稳定性的影响具有显著的非单调特性,适度的前车历史动力权重 P 1 有助于增强扰动耗散能力,而过大的 P 1 则会放大交通流中的加速度波动,这种放大效应会随着波动传播的增加,影响到更远距离的车辆,从而使交通流的不稳定性逐渐加剧。尤其是在高速或密集的交通环境中,微小的波动会被迅速放大,破坏系统的动态协调性。

(a) τ=0.2s (b) τ=1.1s

(c) τ=1.15s (d) τ=1.2s

Figure 4. Effect of different historical window depths τ on traffic flow stability ( P 1 =0.5 )

4. 不同历史窗口深度 τ 对交通流稳定性的影响( P 1 =0.5 )

图4(a)~(d)可知,在保持前车历史动力权重 P 1 =0.5 不变的条件下,历史窗口深度 τ 对交通流稳定性具有显著影响。在一定历史时间窗口范围内,随着 τ 的增大,交通流稳定性明显提升,车辆运行过程中的速度与加速度波动得到有效抑制。然而,当历史窗口深度 τ 继续增大并超过某一临界值(在 P 1 =0.5 条件下约为 τ=1.1s )后,系统稳定性开始下降,交通流重新表现出不稳定特征。该结果表明,历史窗口深度并非越大越好,当 τ 处于适度范围内时,前车历史动力信息能够有效抑制扰动的非线性放大,增强系统的扰动耗散能力,而当 τ 过大时,前车历史动力信息因过度滞后而引入明显的时滞效应,削弱系统对扰动的响应协调性,进而不利于交通流稳定性的维持。

进一步从图4(b)可知,在前车历史动力权重 P 1 =0.5 ,历史窗口深度 τ=1.1s 的条件下,系统处于稳定状态;而从图5(c)可看出,当 P 1 =0.7,τ=1.1s 时,系统已出现明显的不稳定特征。上述对比结果表明,在保持系统稳定的前提下,不同前车历史动力权重 P 1 所对应的历史窗口深度 τ 取值范围存在明显差异。随着前车历史动力权重 P 1 的增大,为维持交通流稳定运行,历史窗口深度 τ 的允许上界逐渐减小。

上述稳定性仿真结果表明,前车历史动力权重 P 1 与历史窗口深度 τ 之间存在显著的耦合关系,并共同影响交通流的稳定性演化。适度引入前车历史动力信息,有助于平滑车辆加速度变化,抑制扰动在

(a) τ=0.2s (b) τ=0.6s

(c) τ=1.1s (d) τ=1.3s

Figure 5. Effect of different historical window depths τ on traffic flow stability ( P 1 =0.7 )

5. 不同历史窗口深度 τ 对交通流稳定性的影响( P 1 =0.7 )

车流中的传播,从而提升交通流的整体稳定性。然而,较大的前车历史动力权重虽然能够增强加速度平滑效果,但同时也会放大历史动力信息所引入的时滞效应,降低系统对较大历史窗口的容忍度。当前车历史动力权重或历史窗口深度取值过大时,滞后效应逐渐占据主导,系统对扰动的响应能力明显削弱,进而导致交通流稳定性下降,重新出现“走走停停”现象。该结论与第3节中的线性稳定性分析结果相一致,从数值仿真的角度进一步验证了前车历史动力信息在提升系统稳定性与引入时滞效应之间存在的内在权衡关系。

5. 小结

本文围绕交通流稳定性问题,在经典FVD模型基础上构建了基于前车历史动力协作的新型跟驰模型,并对其稳定性特征进行了系统分析。通过线性稳定性理论推导,揭示了前车历史动力信息对加速度扰动传播与演化过程的调节作用,阐明了关键参数对稳定性边界及扰动耗散能力的影响规律。数值仿真结果进一步验证了理论分析的有效性,表明在合理参数范围内,引入前车历史动力信息能够显著抑制速度与加速度波动,增强交通流对有限扰动的抵抗能力,从而提升整体运行稳定性。上述结果为模型参数优化与工程应用提供了理论支撑。

基金项目

国家自然科学基金的资助(资助号:61773290);中央高校基础科研基金的资助(资助号:22120230311)。

参考文献

[1] Yadav, D., Kumar, S., Siwach, V. and Redhu, P. (2025) Analyzing the Impact of Visibility, Driver Attentiveness, and Energy Consumption in Severe Weather in the Car-Following Scenario under V2X Environment. Indian Journal of Physics, 99, 2965-2977. [Google Scholar] [CrossRef
[2] Liu, Q., Gao, F., Zhao, J. and Zhou, W. (2023) Prediction of Electric Vehicle Energy Consumption in an Intelligent and Connected Environment. Promet-Traffic & Transportation, 35, 662-680. [Google Scholar] [CrossRef
[3] Singh, N. and Kumar, K. (2024) A New Car Following Model Based on Weighted Average Velocity Field. Physica Scripta, 99, Article ID: 055244. [Google Scholar] [CrossRef
[4] Zhou, Z., Li, L., Qu, X. and Ran, B. (2024) A Self-Adaptive IDM Car-Following Strategy Considering Asymptotic Stability and Damping Characteristics. Physica A: Statistical Mechanics and Its Applications, 637, Article ID: 129539. [Google Scholar] [CrossRef
[5] Khound, P., Will, P., Tordeux, A. and Gronwald, F. (2021) Extending the Adaptive Time Gap Car-Following Model to Enhance Local and String Stability for Adaptive Cruise Control Systems. Journal of Intelligent Transportation Systems, 27, 36-56. [Google Scholar] [CrossRef
[6] Wang, X., Xu, C., Zhao, X., Li, H. and Jiang, X. (2024) Stability and Safety Analysis of Connected and Automated Vehicle Platoon Considering Dynamic Communication Topology. IEEE Transactions on Intelligent Transportation Systems, 25, 13442-13452. [Google Scholar] [CrossRef
[7] Yang, Y., Li, Z., Li, Y., Cao, T. and Li, Z. (2023) Stability Enhancement for Traffic Flow via Self-Stabilizing Control Strategy in the Presence of Packet Loss. Physica A: Statistical Mechanics and Its Applications, 622, Article ID: 128801. [Google Scholar] [CrossRef
[8] Yu, S. and Shi, Z. (2015) Dynamics of Connected Cruise Control Systems Considering Velocity Changes with Memory Feedback. Measurement, 64, 34-48. [Google Scholar] [CrossRef
[9] Zhang, G., Yin, L., Pan, D., Zhang, Y., Cui, B. and Jiang, S. (2020) Research on Multiple Vehicles’ Continuous Self-Delayed Velocities on Traffic Flow with Vehicle-to-Vehicle Communication. Physica A: Statistical Mechanics and its Applications, 541, Article ID: 123704. [Google Scholar] [CrossRef
[10] 蒙睿捷, 李志鹏. 编队运行中多车通信故障影响及其数据弥补研究[J]. 计算机科学与应用, 2023, 13(12): 2253-2267.
[11] Liu, Q., Ouyang, W., Zhao, J., Cai, Y. and Chen, L. (2023) Fuel Consumption Evaluation of Connected Automated Vehicles under Rear-End Collisions. Promet-Traffic & Transportation, 35, 331-348. [Google Scholar] [CrossRef
[12] Qin, Y., Liu, M. and Hao, W. (2024) Energy-Optimal Car-Following Model for Connected Automated Vehicles Considering Traffic Flow Stability. Energy, 298, Article ID: 131333. [Google Scholar] [CrossRef
[13] He, Z., Zhang, W. and Jia, N. (2020) Estimating Carbon Dioxide Emissions of Freeway Traffic: A Spatiotemporal Cell-Based Model. IEEE Transactions on Intelligent Transportation Systems, 21, 1976-1986. [Google Scholar] [CrossRef