基于核规范变量分析(KCVA)和长短期记忆网络(LSTM)的液压潜液泵故障诊断
Fault Diagnosis in Hydraulic Submerged Pumps Using Kernel Canonical Variate Analysis (KCVA) and Long Short-Term Memory (LSTM)
DOI: 10.12677/iae.2026.141013, PDF, HTML, XML,   
作者: 云泽霖:中海石油(中国)有限公司深圳分公司深水工程建设中心,广东 深圳;李洪强, 王远航, 周 闯:武汉船用机械有限责任公司,湖北 武汉
关键词: KCVALSTM液压潜液泵故障诊断KCVA LSTM Hydraulic Submerged Pump Fault Diagnosis
摘要: 本文针对液压潜液泵的电机过载、温度异常、液压系统泄漏及冷却系统效率低下等典型故障,开展故障诊断方法研究。传统方法多依赖振动信号与经验判断,难以应对多源高维数据中存在的强非线性、动态耦合及时序演化特性,导致故障识别能力不足。为此,本研究提出一种融合核规范变量分析(KCVA)与长短期记忆网络(LSTM)的两阶段诊断模型。该模型首先利用KCVA对原始监测数据进行非线性动态特征提取,挖掘变量间隐含的特征信息,进而将所提取的特征序列输入LSTM网络,对故障的长期演化建模,以实现对渐进性与交互性故障的精准辨识。本研究在特征提取与时序建模两个层面实现优化,提升了液压潜液泵故障诊断的准确性与可解释性,为复杂工业过程中的故障智能诊断提供了新的解决思路。
Abstract: This study focuses on the fault diagnosis methods of typical failures in hydraulic submerged pumps, such as motor overload, temperature anomalies, hydraulic system leakage, and cooling system inefficiency. Traditional methods, which largely rely on vibration signals and empirical judgment, struggle to handle the strong nonlinearity, dynamic coupling, and temporal evolution present in multi-source, high-dimensional data, resulting in insufficient fault identification capabilities. To address these limitations, this research proposes a two-stage diagnostic model that integrates Kernel Canonical Variate Analysis (KCVA) with Long Short-Term Memory (LSTM). The model first employs KCVA to perform nonlinear dynamic feature extraction from raw monitoring data, uncovering implicit characteristic information among variables. The extracted feature sequences are then fed into an LSTM network to model the long-term evolution of faults, enabling accurate identification of progressive and interactive failures. By optimizing both feature extraction and temporal modeling, this study enhances the accuracy and interpretability of fault diagnosis for hydraulic submerged pumps, offering a novel and effective solution for intelligent fault diagnosis in complex industrial processes.
文章引用:云泽霖, 李洪强, 王远航, 周闯. 基于核规范变量分析(KCVA)和长短期记忆网络(LSTM)的液压潜液泵故障诊断[J]. 仪器与设备, 2026, 14(1): 100-112. https://doi.org/10.12677/iae.2026.141013

1. 引言

液压潜液泵作为关键流体输送设备,广泛应用于石油化工、污水处理和海洋工程等领域,其长期在复杂、恶劣的工况下运行,关键部件易发生故障[1]。其中,电机过载、温度异常、液压系统泄漏以及冷却系统效率低下是较为常见且危害较大的四类典型故障。这些故障往往相互关联、互为因果(如冷却系统效率低会导致温度异常,进而可能引起电机过载,电机过载本身产生的额外热量还会反向加剧温度异常;液压系统泄漏可能导致冷却回路的流体循环量不足,间接降低冷却系统散热效率),若不及时诊断,极易引发连锁反应,造成巨大的经济损失。

传统故障诊断方法主要依赖振动信号分析和经验判断,难以应对复杂工况下的早期故障识别[2]。随着工业物联网技术的发展,多源传感器监测为液压系统故障诊断提供了海量数据基础[3]。然而,液压潜液泵多源、高维的运行数据具有强非线性、非平稳性及动态耦合特点,传统线性特征提取方法难以充分捕捉故障演化过程中变量间复杂的非线性作用及时序动态特性,导致故障特征的判别力不足。为了应对这一挑战,研究者们转向了更先进的非线性模型。近年来,深度学习等方法的引入,在提升对液压系统泄漏[4]、温度异常[5]等非线性故障的诊断性能方面展现了潜力。然而,现有方法在处理液压潜液泵故障诊断问题时,仍存在两个关键瓶颈:第一,多数深度学习方法直接从原始数据中学习特征,缺乏对过程数据中固有动态和非线性关系的显式、结构化挖掘,模型的可解释性和特征质量有待提升;第二,故障的发生和发展是一个动态时序过程,需要模型不仅能捕捉空间上的非线性相关性,更能精确建模故障特征在时间维度上的长期演化规律。针对上述瓶颈,前人学者的研究方向可大致分为三类。第一类是基于核方法的非线性捕捉,如核主成分分析(KPCA)虽能简洁有效捕捉数据的静态非线性特征,但无法显式建模特征数据间的动态时序关系[6]。第二类是深度学习,如自编码器(AE)虽然能通过非线性变换学习数据的层次化特征来捕捉非线性关系,但其优化目标(最小化输入数据的重构误差)更关注数据的静态重构,缺乏动态预测,而且其独立看待每个样本,忽略了故障诊断的动态特性[7]。第三类是将动态系统与非线性工具结合,如核规范变量分析(KCVA)向核空间引入“过去–未来”相关性最大化的思想,实现对非线性动态特征的显式挖掘[8] [9]。相关研究(如2021年提出的自适应混合核典型变量分析AMKCVA [10])也证实了KCVA方法在提升工业过程故障检测性能方面的有效性。

因此,为了系统性地解决上述问题,本文提出将核规范变量分析(Kernel Canonical Variate Analysis, KCVA)与长短期记忆网络(Long Short-Term Memory, LSTM)相结合的故障诊断模型。该模型的设计旨在构建一个“特征提取”与“时序建模”相协同的两阶段诊断框架:在特征提取层面,KCVA方法通过核技巧将原始数据非线性映射到高维特征空间,并在此基础上最大化过去与未来观测变量集之间的相关性。这一过程能够将原始数据转换为具有明确动态意义且对故障敏感的低维特征序列,在降低了数据的维度和复杂度的同时,也提升了特征的判别力,为后续诊断提供了更优质的特征输入。在时序建模层面,将KCVA提取出的高质量非线性动态特征序列输入至LSTM网络,LSTM不再需要从原始数据中费力地学习如何提取特征,而是从前者提供的优质特征的基础上学习复杂的时序演化模式,既不需大量数据又避免过拟合。LSTM作为一种时间递归神经网络,其独特的门控机制能有效捕捉时间序列中的长期依赖关系[11],精准学习故障特征随时间的演化模式,从而实现对渐进性故障和复合故障的准确辨识与分类。近年来,LSTM在与时序相关的故障诊断中的成功应用(如TCN-LSTM [12]、VDM-LSTM [2]等混合模型)为本研究提供了有力佐证。

本论文围绕液压潜液泵的故障诊断问题,针对其数据强非线性、动态耦合及时序演化等特点,提出了基于核规范变量分析与长短期记忆网络相结合的故障诊断模型。本研究的主要贡献可归纳为以下三个方面:提出了一种面向非线性动态过程的故障诊断新框架,实现了特征提取与时序建模的协同优化;突破了传统线性特征提取方法的精度瓶颈,实现了对故障潜在空间更深刻的表征;针对液压潜液泵的复合、渐进式故障,提升了诊断模型对时序长期依赖关系的建模能力。综上所述,本研究的核心贡献在于通过KCVA与LSTM的有机融合,构建了一个兼具非线性动态特征挖掘能力和长期时序依赖建模能力的诊断模型,为复杂工业过程,特别是液压潜液泵的精准故障诊断,提供了一种新颖且有效的解决方案。

2. 核规范变量分析

数据XN个样本,r维特征,xiX的第i列列向量。

X=[ x 1 x N ]=( x 11 x 1N x r1 x rN ) R r×N

将数据分割为历史数据和未来数据,并根据数据窗口长度T构造历史、未来Hankel矩阵PF。数据窗口长度T通过检查数据X的平方和的自相关性来确定:对X的每个样本求平方和得到新的序列St,根据St的自相关函数确定其95%置信区间对应的滞后临界值,即数据窗口长度T [13]

P=[ ( x T x NT x 1 x N2T+1 ) ]=[ p 1 p N2T+1 ] R Tr×( N2T+1 ) (1-1)

F=[ ( x T+1 x NT+1 x 2T x N ) ]=[ f 1 f N2T+1 ] R Tr×( N2T+1 ) (1-2)

使用非线性映射φPF映射到高维特征空间F,即 φ: R Tr F D 在特征空间F中,数据分布更接近线性。

φ( P )=[ φ( p 1 ) φ( p N2T+1 ) ] R D×( N2T+1 )

φ( F )=[ φ( f 1 ) φ( f N2T+1 ) ] R D×( N2T+1 )

CVA的目的是在特征空间F中找到投影方向 w F R D×L w P R D×L ,使投影后的 w F T φ F w P T φ P 的相关性最大,即

max w F T Σ FP w P w F T Σ FF w F w P T Σ PP w P

s.t. w F T Σ FF w F =E, w P T Σ PP w P =E (2)

相应协方差矩阵分别为:

Σ FP = φ F φ P T N2T R D×D

Σ FF = φ F φ F T N2T R D×D

Σ PP = φ P φ P T N2T R D×D

其中,非线性映射φ未显式定义,但 Σ FP Σ FF Σ PP 可以利用核技巧求得。根据表示定理,投影方向是φ的线性组合,即 w F φ F α T w P φ P β T ,则

w F T Σ FP w P =α φ F T ( φ F φ P T N2T ) φ P β T = α( φ F T φ F )( φ P T φ P ) β T N2T = α( K FF )( K PP ) β T N2T

w P T Σ PP w P =β φ P T ( φ P φ P T N2T ) φ P β T = β( φ P T φ P )( φ P T φ P ) β T N2T = β( K PP )( K PP ) β T N2T

w F T Σ FF w F =α φ F T ( φ F φ P T N2T ) φ F α= α( φ F T φ F )( φ F T φ F ) α T N2T = α( K FF )( K FF ) α T N2T

其中, K XX = φ X T φ X 是对称的核矩阵,引入核函数 k( x,y )= x T y   K XX [ i,j ]=k( x i , x j ) ,利用低维空间中的Hankel矩阵PF来计算其映射到特征空间F中后高维矩阵 φ( P ) φ( F ) 的点积[14]

为模拟特征空间F中的数据中心化,保证协方差矩阵的正确性,需对核矩阵进行中心化处理,以确保后续特征分解的有效性。

K c =K[ 1 ]KK[ 1 ]+[ 1 ]K[ 1 ]

其中, [ 1 ] D × D维矩阵,矩阵的每个元素都是 1/ ( N2T )

式(2)转化为:

max α( K FF c )( K PP c ) β T α( K FF c )( K FF c ) α T β( K PP c )( K PP c ) β T (3)

s.t.α( K FF c )( K FF c ) α T =E,β( K PP c )( K PP c ) β T =E

为最大化目标函数,采用约束优化,固定分母,构建拉格朗日函数,引入拉格朗日乘子λμ

J( α,β )=α( K FF c )( K PP c ) β T λ 2 ( α( K FF c )( K FF c ) α T E ) μ 2 ( β( K PP c )( K PP c ) β T E )

分别对αβ求偏导且设为0,代入公式(3)的约束,整理得

β( K PP c )( K FF c ) α T =λα( K FF c )( K FF c ) α T =λ (4)

α( K FF c )( K PP c ) β T =μβ( K PP c )( K PP c ) β T =μ (5)

α( K FF c )( K PP c ) β T 是标量,则 α( K FF c )( K PP c ) β T =β( K PP c )( K FF c ) α T ,所以

λ=μ=α( K FF c )( K PP c ) β T (6)

将式(6)代入方程式(4)、式(5),整理得

β[ ( K PP c )( K FF c )( K PP c ) c 2 ( K PP c )( K PP c ) ]=0 (7)

求式(7)的特征问题,选其贡献率 ≥ 85%的特征值对应的特征向量构成 β= [ β 1 β L ] T 。将特征空间中的历史数据 φ P 向投影方向 w P = φ P β T 投影得到降维后线性可分的数据PKCVA

P KCVA = w P T φ P =β φ P T φ P =β K PP R L×( N2T+1 )

由于系统模型为黑盒模型没有先验知识,数据间关系是非线性的,且本环节主要用于数据的降维并为后续分类做准备,因此核函数可以选择高斯径向基函数。

K( x,y )= e γ xy 2 , γ( 0,1 )

对于用于测试样本 X test =[ x test,1 x test,M ] R r×M ,其历史Hankel矩阵为:

P X test =[ ( x test,T x test,MT x test,1 x test,M2T+1 ) ]=[ p test,1 p test,M2T+1 ] R Tr×( M2T+1 ) (8)

将其映射到特征空间,然后投影到投影方向上,投影得分为:

P x test KCVA =β K P, x test R L×( M2T+1 ) (9)

其中, K P, x test =k( P, P X test )= φ P T φ P X test

3. 长短期记忆网络

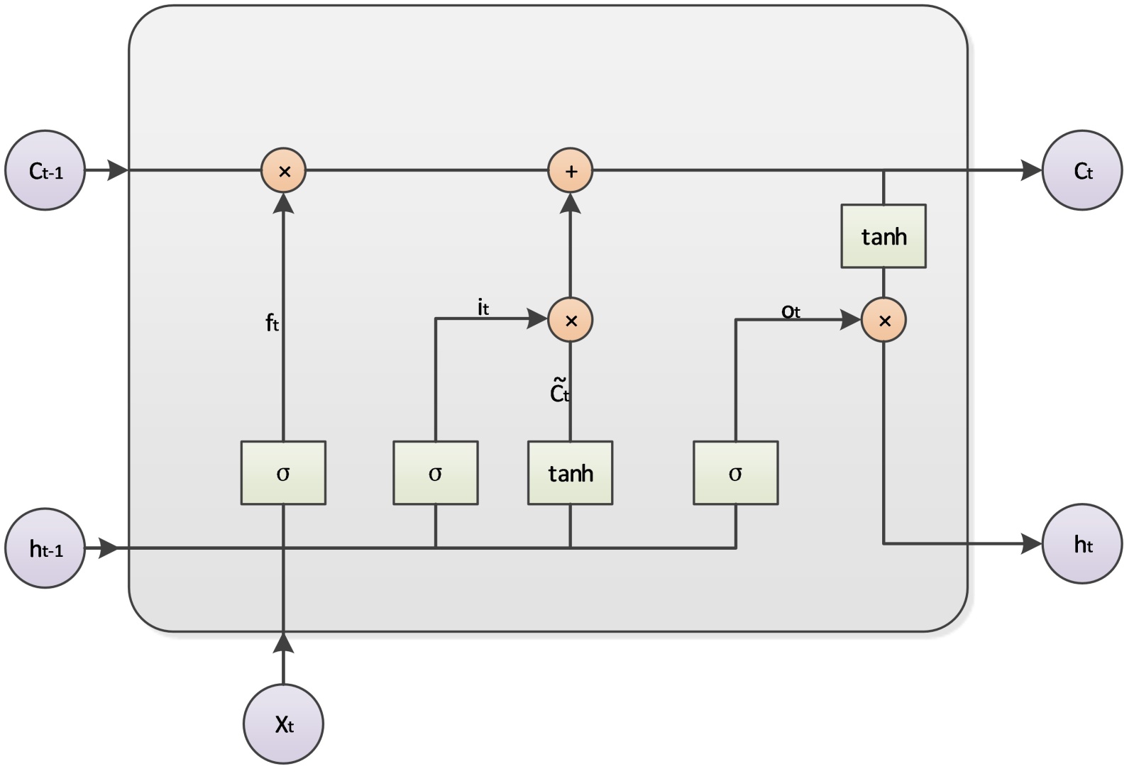
LSTM网络结构包括输入门、遗忘门、细胞状态和输出门,结构如图1所示[15]

沿时间轴,LSTM利用上述3个门控信息在细胞内的传递来更新当前细胞状态。输入门it决定了当前输入xt和前一层的隐藏状态ht1是否被存入细胞状态,用来筛选当前输入中的重要特征,学习新知识。

i t =σ( W ih h t1 + W ix x t + b i )

临时记忆状态 C ˜ t 是未被最终写入细胞状态的“临时版本”,表示当前输入和短期记忆共同生成的潜在新信息。与输入门的权重结合,决定实际存入细胞状态的内容。

C ˜ t =tanh( W Ch h t1 + W Cx x t + b c )

遗忘门ft决定前一个隐藏状态ht1和当前输入xt是否保留,用来过滤历史信息中与当前任务无关的内容,进行选择性遗忘。

Figure 1. LSTM network structure diagram

1. LSTM网络结构图

f t =σ( W fh h t1 + W fx x t + b f )

细胞状态Ct,是长期记忆的核心载体,存储跨时间步的核心知识。

C t = f t C t1 + i t C ˜ t

输出门ot控制当前时刻隐藏状态ht的输出内容,并利用tanh层判断输出哪些细胞状态Ct可以作为下一个细胞的隐藏状态输入。

o t =σ( W oh h t1 + W ox x t + b o )

h t = o t tanh( C t )

其中,b代表偏置项,W代表权重系数矩阵,tanh是双曲正切激活函数,σ是sigmoid激活函数, 是Hadamard积。

使用含偏差校正且能自动调整学习率的Adam算法和分类交叉熵作为损失函数来优化模型参数[16]

4. 基于KCVA-LSTM的故障诊断模型

故障诊断包括数据降维、学习训练、测试诊断三个过程。首先,将不同健康状态的数据按时序分割为训练集、数据集;再对训练集数据进行KCVA降维处理,获得规范变量;然后,将训练集输入到LSTM中进行参数学习,并用ADAM算法优化参数,使得损失函数值减小;最后,将测试集向规范变量方向投影并输入到训练好的LSTM模型,模型输出每个样本在各类故障类别的概率,取概率最大的类别作为诊断的故障类型。

在数据降维环节,先分析数据集X平方和的自相关性,对各类型数据使用公式(1)构造未来、历史Hankel矩阵(便于后续LSTM阶段切割数据窗口并标标签,避免边界窗口发生标签混合),再将其拼接成未来、全局历史Hankel矩阵PF。对矩阵PF做KCVA非线性降维,全局KCVA能保证数据映射到统一的低维空间,避免不同类型数据降维后的特征维度不一致,导致后续LSTM训练时需要额外学习不同维度空间之间的关系,增加模型复杂度。由于非线性降维是为了捕捉故障演化过程中变量间的非线性作用,帮助后续学习训练环节能够充分学习故障特征,最终能将不同故障类型数据区分开,故基于t-SNE算法观察降维后的数据在不同类别下的分离程度来评价非线性降维效果,核参数 γ 基于网格搜索优化。

在学习训练环节,降维后的数据 P KCVA 是LSTM故障学习训练的输入。先对训练集样本进行滑动窗口重叠采样[17],构建训练子序列。注意,Hankel矩阵的列方向的时间窗是用来表示系统的短期动态演变,并通过KCVA来揭示多变量时间序列中的动态关系。而训练集样本的滑动窗口的时间窗则是用来构造用于训练LSTM模型的短序列输入样本集。窗口长度的选择应该保证既能覆盖系统故障发生、表现的时间长度,又不会造成过大的计算负担。根据窗口数据所属故障类型对窗口标标签。窗口数量计算为:

N win = N data L win S win +1

其中, N win 表示窗口数量, N data 表示总数据点数, L win 表示窗口长度, S win 表示步长(即每次滑动的时间点数), 表示向下取整函数。

虽然在数据降维阶段已经对原始数据做过标准化处理,但经过核函数映射和高维空间中的线性变换后得到的降维数据的数值范围和分布特性会发生变化,新的特征向量各维度的量纲和尺度可能完全不同且不可预测。因此,降维后的数据转入LSTM训练前还需再次进行标准化处理。在LSTM输入层给定时间步timesteps和输入特征维度features,隐藏层的网络层数需结合数据维度及问题复杂程度综合考虑,考虑本文向LSTM模型输入的训练集数据是经KCVA降维后的且数据规模较小,核心的LSTM模型仅选用一层LSTM层即可,激活函数为tanh,神经元数量通过网格搜索确定,以测试集损失值为选择标准。引入一层正则化层,防止过拟合,提高模型泛化能力,给定Dropout比率。输出层根据故障模式类别数(包括正常状态)确定输出特征数,并选择激活函数为softmax、损失函数为多分类交叉熵、优化器为Adam。需更新优化的参数包括LSTM层的权重矩阵( W i , W f , W C , W o )和偏置矩阵( b i , b c , b f , b o )、输出层的权重矩阵( W out )、偏置向量( b out )和神经元数量。经过输出层的softmax函数分类后,模型可以预测出样本窗口 x sample 是故障类别 faul t i 的概率、样本 x sample 的输出故障状态概率向量、样本 x sample 的实际one-hot标签向量及损失函数为:

p( x sample |faul t i )= e ( w out ) sample T x+ ( b out ) sample i=1 N fault e ( w out ) i T x+ ( b out ) i

p out =[ p( x sample |faul t 1 ) p( x sample |faul t N fault ) ]

labe l x sample =[ labe l x sample 1 labe l x sample N fault ]

Los s CrossEntroy = i=1 N fault labe l x sample ( i )log( p out ( i ) )

其中, N fault 为故障类别数。

在测试诊断环节,先对测试集数据构造历史Hankel矩阵,按照公式(9)将其投影到投影方向上得到投影得分,然后将投影得分按滑动窗口重叠采样,对各窗口标标签,再输入LSTM模型判断其故障类型。边界窗口发生类型混合时按照多数投票法进行类型判断。

故障诊断过程如图2所示。

Figure 2. KCVA-LSTM network structure diagram

2. KCVA-LSTM网络结构图

5. 液压潜液泵的KCVA-LSTM故障诊断

本文的实验数据来源于中海石油某分公司的液压潜液泵实时状态监测系统。数据经西门子SIMATIC PCS 7分布式控制系统数据接口以1 Hz的频率进行连续记录和存储。除正常状态数据,在设备停机检修期间模拟四种常见故障状态:电机过载、温度异常、液压系统泄漏、冷却系统效率低。样本数据特征包括:液压系统压力、液压回油压力、液压系统温度、电机轴承温度、电机绕组温度、潜液泵控制压力、潜液泵出口压力、舱室液位、舱室体积、舱室温度。

对原始监测数据进行清洗、标准化预处理,得到处理后的数据。处理后的数据每组状态样本为2000个,全部状态的样本总量为10,000个,各状态样本状况见表1

Table 1. List of sample status under different conditions

1. 不同状态样本状况表

序号

状态

维度

One-hot码

训练集

样本长度

测试集

样本长度

1

正常运行(NO)

10

0000

1600

400

2

电机过载(MO)

10

0001

1600

400

3

温度异常(TA)

10

0010

1600

400

4

液压系统泄漏(HSL)

10

0100

1600

400

5

冷却系统效率低(CSLE)

10

1000

1600

400

在数据降维环节,根据数据平方和的自相关函数(如图3所示)及其95%置信界限的关系,确定窗口长度T为18。构造Hankel矩阵并对公式(7)求解KCVA的特征值问题,选取累计贡献率 = 87.3% (≥85%)的前L = 6个最大特征值所对应的特征向量作为投影方向。将监测数据投影到6维空间,得到低维时间序列,为后续的LSTM网络提供输入。

Figure 3. Autocorrelation function of data sequence square sum

3. 数据序列平方和的自相关函数

在学习训练环节,对降维后的训练集做滑动窗口采样,构造模型输入。考虑潜液泵设备响应状态,窗口长度设置为10 (对应物理时间10 s),步长为5 (重叠率50%)。每类状态的训练数据由一个原始长序列[6, 1565]滑动采样为312个[6, 10]短序列样本,共5类故障共1560个[6, 10]短序列样本。通过调优模型超参数提高模型的训练速度和性能,确定模型参数如下:隐藏层为单一LSTM层,包含64个神经元;输出层设5个神经元,对应5种设备状态,使用softmax激活函数进行多分类。模型训练采用Adam优化器,学习率0.001,批次大小32,最大训练迭代次数为100轮。为抑制过拟合,在训练过程中引入了早停机制(耐心值设置为10)并在隐藏层后添加了丢弃比率为0.2的Dropout层。

在测试诊断环节,设计对比实验以验证本文所提模型在故障诊断性能上的优劣。首先,固定时序建模器为LSTM,对比不同特征提取方法,包括传统非线性降维KPCA、深度学习AE、动态系统与非线性工具结合KCVA (本研究模型)和不进行额外特征提取的纯LSTM,以验证本模型在非线性降维方面的优势。绘制t-SNE散点图来展示不同特征提取方法在测试集下的数据特征可视化效果,如图4所示。原始数据因多维且特征间存在强耦合,导致不同健康状态的数据分布混杂,重叠严重,直接进行故障识别的难度大。经KPCA降维处理后的数据类间区分度相较原始数据有所改善,这是因为KPCA将数据映射到高维空间一定程度上展开了数据的非线性结构。但其改善效果有限,MO、TA、HSL、CSLE类别间仍然重叠明显,因为其优化目标是寻找全局方差最大的投影方向,对方差大、变化明显的特征给予更高权重,将相似样本强行投影到相近位置,为后续分类造成决策障碍。经AE降维处理后的数据在MO、TA、CSLE上存在显著重叠,这是因为三类故障都导致温度异常,而AE的静态数据重构目标使其对高方差特征(温度)更敏感,将具有相似温度的样本编码为相近特征。而NO和HSL的统计模式与这三类以温度为主导的故障差异明显,能较好地分离,形成相对独立紧凑的簇,但这种分离也是基于静态统计差异,不能体现故障的动态本质。经KCVA降维处理后的数据在紧凑程度上相较于其他方法最优且故障类间分离相对清晰。其中,MO、HSL相较于其他类别高度分离,这是因为KCVA能够挖掘数据过去与未来的动态关联,捕捉到电机动态与液压动态的系统差异。NO、CSLE存在有限重叠,但这种重叠与AE的故障重叠存在本质区别:KCVA中的重叠是局部的,这是因为轻微故障对系统动态扰动较小,轻微故障与健康状态具有连续性;而AE的重叠是全局的,是因为其对数据的静态的最优重构的依赖,不仅针对轻微故障也针对中等甚至严重故障。当故障发展到能够使系统动态关系发生显著变化时,KCVA能够有效区分NO和CSLE。这证明了KCVA所提取的是具有明确物理意义的动态特征,不仅判别力更强,也更能反映故障的演化过程,KCVA能够为后续故障识别提供更优的输入支撑。

(a) 原始数据 (b) KPCA

(c) AE (d) KCVA

Figure 4. Fault data visualization comparison chart

4. 故障数据可视化对比图

其次,固定特征提取方法为KCVA,对比不同时序建模器,包括GRU、Transformer和LSTM (本研究模型),以验证本模型在故障诊断性能的优势。绘制各模型在测试集上不同故障状态数据的分类混淆矩阵和对比模型准确率表,如图5表2所示。本研究模型的故障诊断性能最佳,准确率达到92.4%,相较于KCVA + GRU模型高出3.4%、相较于KCVA + Transformer模型高出7%。其性能差异是由于KCVA降维得到的特征与不同时序建模器的内在机制之间的匹配程度不同。KCVA提取的是能够表征系统非线性动态关联的特征序列,这些特征包含了特征间过去与未来状态的动态关系模式。如,电机过载故障会逐渐改变“电机绕组温度”与“液压系统压力”之间的动态传递关系,这种改变是渐进且具有记忆效应的。因此,对KCVA特征的建模,本质上是对其所代表的系统动态模式的时序演化过程进行建模。

GRU作为LSTM的简化变体,虽然参数更少、训练更快,但其内部状态更新机制相对简单,对长期历史信息的记忆和遗忘控制不如LSTM精细,在处理特征序列时无法充分捕捉那些在长时间跨度上才显著变化的动态模式微差。这导致了其对CSLE、HSL这些发展缓慢的故障,TA、MO这些可能由多种原因引发、动态模式复杂的故障,区分能力稍弱。

Transformer虽然其自注意力机制擅长捕捉序列内部的全局依赖关系,但也可能会过度关注某些时间步的静态特征强度,而相对淡化了对故障动态演变的建模。这使得它容易混淆那些在特定时刻特征值相似,但演变轨迹不同的故障,如,TA与MO可能在某个时间点特征相似,但两者的故障演变动态过程不同。因此,Transformer模型整体准确率最低。

LSTM的细胞状态和门控机制是建模长期依赖关系和时序演化过程的理想选择。这也与KCVA降维后特征的内在要求相契合。对于渐进性故障,LSTM的遗忘门可以决定保留多远的历史动态信息,输入门则控制如何将当前动态特征的变化整合进来。这种机制使其能够敏锐地捕捉到如CSLE这种缓慢、连续的特征漂移过程,从而将其与NO有效区分,即使它们的特征在t-SNE图中有局部重叠,但LSTM学习到的是完全不同的演变轨迹。对于交互性故障,如TA和MO这类可能相互关联或症状相似的故障,LSTM能学习它们各自的动态演化。LSTM通过分析整个时间窗口内特征的演变顺序和节奏,能够有效区分这些交互性故障。因此,“KCVA特征提取”与“LSTM时序建模”的结合,不仅在性能指标上最优,在模型决策逻辑的物理一致性上也更为合理。这进一步强化了本文模型在性能与可解释性上的双重优势。

(a) KCVA + GRU (b) KCVA + Transformer

(c) KCVA + LSTM

Figure 5. Confusion matrix for different fault categories in the test set

5. 测试集不同故障类别混淆矩阵

Table 2. Comparison model accuracy table

2. 对比模型准确率表

序号

模型

准确率

1

KCVA + GRU

89.0%

2

KCVA + Transformer

85.4%

3

KCVA + LSTM

92.4%

本文针对液压潜液泵故障数据非线性强、动态耦合的特点,提出了一种兼顾特征提取和时序建模的故障诊断模型,该模型使用KCVA提取数据深层的非线性动态特征,使用LSTM捕捉时间序列中的长期依赖关系,达到对长期缓慢故障、非线性交互影响故障的精准诊断。经过实验分析,得到如下结论:

1) 采用KCVA可以深度挖掘数据中隐藏的具有强判别力的非线性动态特征,为后续分类器输入提供了更优的特征支撑,进而提升了模型故障诊断的性能上限。

2) 采用LSTM可以捕捉故障缓慢演化过程中时序数据间的长时依赖关系,实现对缓慢故障、非线性交互影响故障的精准诊断。

3) 本文所提模型结合非线性特征提取与长期时序建模,能够更细致地捕捉故障的独特演化规律,从而有效区分原发故障与继发故障,对实际工程中遏制故障连锁蔓延具有重要的应用意义。

参考文献

[1] 李洪强, 等. 基于MBPLS的液压潜液泵故障检测方法[J]. 仪器与设备, 2024, 12(3): 388-395.
[2] 梁泽慧. 基于VMD-LSTM的液压泵健康状态识别研究[J]. 液压气动与密封, 2024, 44(6): 65-72.
[3] 饶泓. 基于多源信息融合与Rough集理论的液压机故障诊断方法研究[D]: [博士学位论文]. 南昌: 南昌大学, 2009.
[4] 董治国, 贺虎, 王晓晖. 基于PCA-RF-BP的液压系统异常状态诊断策略[J]. 液压气动与密封, 2024, 44(9): 104-111.
[5] 李贝利, 张达. 基于深度学习与多传感器信息融合的液压系统故障诊断[J]. 机床与液压, 2025, 53(14): 171-180.
[6] Ma, H., Wang, Y., Liu, X., Yuan, J. and Zhou, Y. (2025) Sliding Window-Aided Recursive Efficient Kernel Decomposition for KPI-Oriented Fault Detection of Complex Industrial Processes. Knowledge-Based Systems, 314, Article ID: 113140. [Google Scholar] [CrossRef
[7] Tang, X.C., Tao, N., Zhang, Y. and Li, Y. (2024). Data-Driven Fault Diagnosis Based on the Integrated Deep Nonlinear Dynamic System Model. 2024 43rd Chinese Control Conference (CCC), Kunming, 28-31 July 2024, 5076-5081.[CrossRef
[8] 任嵬, 索寒生, 蒋白桦, 等. 基于核典型相关分析的故障检测方法[J]. 控制工程, 2019, 26(4): 652-656.
[9] 邓晓刚, 田学民. 基于核规范变量分析的非线性故障诊断方法[J]. 控制与决策, 2006, 21(10): 1109-1113.
[10] 姚林, 张岩. 基于自适应混合核典型变量分析的工业过程质量相关故障检测[J]. 控制与决策, 2021, 36(4): 801-807.
[11] Brownlee, J. (2017) Long Short-Term Memory Networks with Python: Develop Sequence Prediction Models with Deep Learning. Machine Learning Mastery.
[12] 张文广, 贺东旭, 吴凯利, 等. 基于多元时间序列分析的控制系统执行器故障诊断方法研究[J]. 自动化与仪表, 2022, 37(2): 11-17.
[13] Chu, H., Wang, Z. and Nie, C. (2024) Monthly Streamflow Prediction of the Source Region of the Yellow River Based on Long Short-Term Memory Considering Different Lagged Months. Water, 16, Article No. 593. [Google Scholar] [CrossRef
[14] Lim Jit Bing. 考虑两维时变动态特性的空气处理机组故障检测方法研究[D]: [硕士学位论文]. 烟台: 山东建筑大学, 2024.
[15] 王喜莲, 秦嘉翼, 耿民. 基于d-q变换及WOA-LSTM的异步电机定子匝间短路故障诊断方法[J]. 电机与控制学报, 2024, 28(6): 56-65.
[16] 王磊, 孙志成, 王磊, 等. 基于DRSN-CW和LSTM的轴承故障诊断[J]. 电子科技大学学报, 2022, 51(6): 921-927.
[17] 宫文峰, 陈辉, Wang Danwei. 基于改进LSTM-SVM的多传感器船舶旋转机械快速故障诊断方法[J]. 船舶力学, 2021, 25(9): 1239-1250.